Construction of Optimal Regeneration System for Chrysanthemum ‘11-C-2’ Stem Segment with Buds
Abstract
1. Introduction
2. Results
2.1. Optimal Medium for Adventitious Bud Differentiation of ‘11-C-2’
2.2. Optimal Rooting Medium for ‘11-C-2’
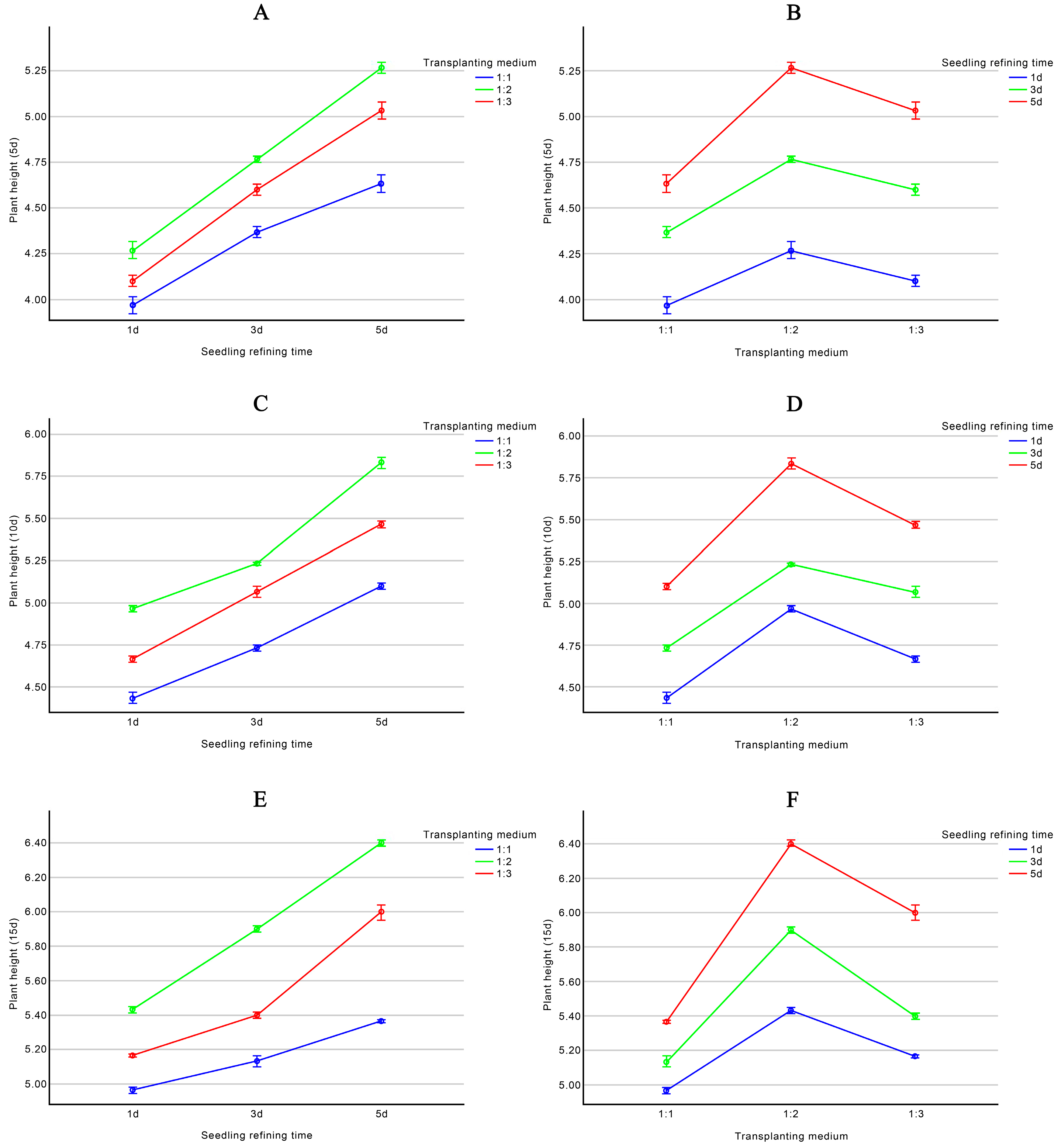
2.3. Optimal Hardening Time and Transplant Medium for ‘11-C-2’
2.4. Establishment of ‘11-C-2’ Regeneration System with Sprouted Stem Segments
3. Discussion
4. Materials and Methods
4.1. Experimental Material
4.2. Experimental Method
4.2.1. Aseptic Seedling Culture
4.2.2. Adventitious Bud Differentiation
4.2.3. Rooting Culture
4.2.4. Acclimatization and Transplantation
4.3. Data Analysis
5. Conclusions
Author Contributions
Funding
Data Availability Statement
Conflicts of Interest
Appendix A
| Dependent Variable | Influencing Factor | k1 | k2 | k3 | R |
|---|---|---|---|---|---|
| Differentiation coefficient (Stem segment with bud) | 6-BA | 6.11 | 10.44 | 6.33 | 4.33 |
| NAA | 7.33 | 6.56 | 9.00 | 2.44 | |
| 2,4-D | 9.33 | 7.44 | 6.11 | 3.22 | |
| TDZ | 8.44 | 8.11 | 6.33 | 2.11 | |
| Differentiation coefficient (Leaf) | 6-BA | 1.44 | 1.67 | 1.22 | 0.44 |
| NAA | 1.78 | 1.33 | 1.22 | 0.56 | |
| 2,4-D | 1.56 | 1.44 | 1.33 | 0.22 | |
| TDZ | 1.56 | 1.56 | 1.22 | 0.33 | |
| Rooting rate | Basic medium | 94.84 | 96.43 | 96.69 | 1.85 |
| NAA | 96.83 | 96.56 | 94.58 | 2.25 | |
| Root number | Basic medium | 7.48 | 10.90 | 9.50 | 3.42 |
| NAA | 11.99 | 8.43 | 7.46 | 4.53 | |
| Root length | Basic medium | 6.00 | 7.77 | 7.02 | 1.77 |
| NAA | 8.38 | 6.62 | 5.80 | 2.58 | |
| Plant height (0 d) | Seedling refining time | 3.22 | 3.24 | 3.34 | 0.12 |
| Substrate for transplanting | 3.25 | 3.26 | 3.29 | 0.04 | |
| Plant height (5 d) | Seedling refining time | 4.12 | 4.58 | 4.98 | 0.86 |
| Substrate for transplanting | 4.33 | 4.77 | 4.58 | 0.44 | |
| Plant height (10 d) | Seedling refining time | 4.69 | 5.01 | 5.47 | 0.78 |
| Substrate for transplanting | 4.75 | 5.35 | 5.07 | 0.60 | |
| Plant height (15 d) | Seedling refining time | 5.19 | 5.48 | 5.92 | 0.73 |
| Substrate for transplanting | 5.15 | 5.91 | 5.53 | 0.76 |
| Dependent Variable | The Source | Sum of Squares | Mean Square | F | p |
|---|---|---|---|---|---|
| Differentiation coefficient (Stem segment with bud) | 6-BA × NAA | 205.63 | 25.704 | 36.526 *** | 0.000 |
| Root number | Base medium × NAA | 157.076 | 19.635 | 27.369 *** | 0.000 |
| Root length | 46.192 | 5.774 | 25.336 *** | 0.000 | |
| Plant height (5 d) | Seedling refining time × transplanting medium | 4.38 | 0.548 | 8.167 *** | 0.000 |
| Plant height (10 d) | 4.373 | 0.547 | 21.706 *** | 0.000 | |
| Plant height (15 d) | 5.323 | 0.665 | 30.449 *** | 0.000 |
| Dependent Variable | Univariate | Level | Sum of Squares | Mean Square | F | p |
|---|---|---|---|---|---|---|
| Differentiation coefficient (Stem segment with bud) | 6-BA (mg/L) | 1 | 28.222 | 14.111 | 20.053 *** | 0.000 |
| 1.5 | 67.556 | 33.778 | 48.000 *** | 0.000 | ||
| 2 | 2.667 | 1.333 | 1.895 | 0.179 | ||
| NAA (mg/L) | 0.1 | 6.000 | 3.000 | 4.263 * | 0.031 | |
| 0.2 | 57.556 | 28.778 | 40.895 *** | 0.000 | ||
| 0.3 | 114.000 | 57.000 | 81.000 *** | 0.000 | ||
| Root number | Base medium | 1/4 MS | 29.609 | 14.804 | 20.636 *** | 0.000 |
| 1/2 MS | 42.007 | 21.003 | 29.277 *** | 0.000 | ||
| MS | 32.54 | 16.27 | 22.679 *** | 0.000 | ||
| NAA (mg/L) | 0.1 | 24.949 | 12.474 | 17.388 *** | 0.000 | |
| 0.2 | 9.887 | 4.943 | 6.891 ** | 0.006 | ||
| 0.3 | 20.16 | 10.08 | 14.051 *** | 0.000 | ||
| Root length | Base medium | 1/4 MS | 11.752 | 5.876 | 25.784 *** | 0.000 |
| 1/2 MS | 11.674 | 5.837 | 25.613 *** | 0.000 | ||
| MS | 8.502 | 4.251 | 18.653 *** | 0.000 | ||
| NAA (mg/L) | 0.1 | 5.431 | 2.716 | 11.916 *** | 0.001 | |
| 0.2 | 2.835 | 1.417 | 6.22 ** | 0.009 | ||
| 0.3 | 6.579 | 3.289 | 14.433 *** | 0.000 | ||
| Plant height (5 d) | Seedling refining time | 1 d | 0.136 | 0.068 | 1.011 | 0.384 |
| 3 d | 0.242 | 0.121 | 1.807 | 0.193 | ||
| 5 d | 0.616 | 0.308 | 4.591 * | 0.024 | ||
| Substrate for transplanting | 1:1 | 0.676 | 0.338 | 5.039 * | 0.018 | |
| 1:2 | 1.5 | 0.75 | 11.188 *** | 0.001 | ||
| 1:3 | 1.309 | 0.654 | 9.762 *** | 0.001 | ||
| Plant height (10 d) | Seedling refining time | 1 d | 0.429 | 0.214 | 8.515 ** | 0.002 |
| 3 d | 0.389 | 0.194 | 7.721 ** | 0.004 | ||
| 5 d | 0.807 | 0.403 | 16.015 *** | 0.000 | ||
| Substrate for transplanting | 1:1 | 0.669 | 0.334 | 13.279 *** | 0.000 | |
| 1:2 | 1.182 | 0.591 | 23.471 *** | 0.000 | ||
| 1:3 | 0.96 | 0.48 | 19.059 *** | 0.000 | ||
| Plant height (15 d) | Seedling refining time | 1 d | 0.329 | 0.164 | 7.525 ** | 0.004 |
| 3 d | 0.909 | 0.454 | 20.797 *** | 0.000 | ||
| 5 d | 1.629 | 0.814 | 37.271 *** | 0.000 | ||
| Substrate for transplanting | 1:1 | 0.242 | 0.121 | 5.542 ** | 0.013 | |
| 1:2 | 1.402 | 0.701 | 32.085 *** | 0.000 | ||
| 1:3 | 1.109 | 0.554 | 25.373 *** | 0.000 |
| Ingredient | 1/4 MS (mg/L) | 1/2 MS (mg/L) | MS (mg/L) |
|---|---|---|---|
| KNO3 | 475 | 950 | 1900 |
| NH4NO3 | 412.5 | 825 | 1650 |
| KH2PO4 | 42.5 | 85 | 170 |
| MgSO4·7H2O | 92.5 | 185 | 370 |
| CaCl2·2H2O | 110 | 220 | 440 |
| KI | 0.83 | ||
| H3BO3 | 6.2 | ||
| MnSO4·H2O | 22.30 | ||
| ZnSO4·7H2O | 8.6 | ||
| Na2MoO4·2H2O | 0.25 | ||
| CuSO4·5H2O | 0.025 | ||
| CoCl2·6H2O | 0.025 | ||
| Na2–EDTA | 37.3 | ||
| FeSO4·4H2O | 27.8 | ||
| C6H12O6 | 100 | ||
| C2H5NO2 | 2 | ||
| C12H17ClN4OS·HCl | 0.1 | ||
| C8H12ClNO3 | 0.5 | ||
| C6H5NO2 | 0.5 | ||
| Sucrose | 30,000 | ||
| Agar | 7000 | ||
| Treatment | 6-BA (mg/L) | NAA (mg/L) | 2,4-D (mg/L) | TDZ (mg/L) |
|---|---|---|---|---|
| A-1 | 1 | 0.1 | 0 | 0 |
| A-2 | 1 | 0.3 | 0.3 | 0.1 |
| A-3 | 1 | 0.5 | 0.1 | 0.3 |
| A-4 | 1.5 | 0.1 | 0.3 | 0.3 |
| A-5 | 1.5 | 0.3 | 0.1 | 0 |
| A-6 | 1.5 | 0.5 | 0 | 0.1 |
| A-7 | 2 | 0.1 | 0.1 | 0.1 |
| A-8 | 2 | 0.3 | 0 | 0.3 |
| A-9 | 2 | 0.5 | 0.3 | 0 |
| Treatment | Base Medium | NAA (mg/L) |
|---|---|---|
| B-1 | 1/4 MS | 0.1 |
| B-2 | 0.2 | |
| B-3 | 0.3 | |
| B-4 | 1/2 MS | 0.1 |
| B-5 | 0.2 | |
| B-6 | 0.3 | |
| B-7 | MS | 0.1 |
| B-8 | 0.2 | |
| B-9 | 0.3 |
| Treatment | Seedling Refining Time (d) | Substrate for Transplanting |
|---|---|---|
| C-1 | 1 | 1:1 |
| C-2 | 1:2 | |
| C-3 | 1:3 | |
| C-4 | 3 | 1:1 |
| C-5 | 1:2 | |
| C-6 | 1:3 | |
| C-7 | 5 | 1:1 |
| C-8 | 1:2 | |
| C-9 | 1:3 |
References
- Zhang, S.L.; Dai, S.L. The Chinese Chrysanthemum Book; China Forestry Publishing House: Beijing, China, 2013. [Google Scholar]
- Zhang, D.C. Edible. Chrysanthemum Chin. Veg. 2017, 6, 61. [Google Scholar]
- Wang, T.C. Chrysanthemum and its cultivation. Xinjiang For. 2020, 4, 37–38. [Google Scholar]
- Su, J.; Jiang, J.; Zhang, F.; Liu, Y.; Ding, L.; Chen, S.; Chen, F. Current achievements and future prospects in the genetic breeding of chrysanthemum: A review. Hortic. Res. 2019, 6, 109. [Google Scholar] [CrossRef]
- Zou, Q.; Wang, T.; Guo, Q.; Yang, F.; Chen, J.; Zhang, W. Combined metabolomic and transcriptomic analysis reveals redirection of the phenylpropanoid metabolic flux in different colored medicinal Chrysanthemum morifolium. Ind. Crop. Prod. 2021, 164, 113343. [Google Scholar] [CrossRef]
- Zhou, L.J.; Wang, Y.; Wang, Y.; Song, A.; Jiang, J.; Chen, S.; Ding, B.; Guan, Z.; Chen, F. Transcription factor CmbHLH16 regulates petal anthocyanin homeostasis under different lights in chrysanthemum. Plant Physiol. 2022, 190, 1134–1152. [Google Scholar] [CrossRef]
- Lu, C.; Li, Y.; Wang, J.; Qu, J.; Chen, Y.; Chen, X.; Huang, H.; Dai, S. Flower color classification and correlation between color space values with pigments in potted multiflora chrysanthemum. Sci. Hortic. 2021, 283, 110082. [Google Scholar] [CrossRef]
- Wang, T.; Guo, Q.S.; Mao, P.F. Flavonoid accumulation during florescence in three Chrysanthemum morifolium Ramat. ‘Hangbai’ genotypes. Biochem. Syst. Ecol. 2014, 55, 79–83. [Google Scholar] [CrossRef]
- Yu, Q.; Chen, W.; Zhong, J.; Qing, D.; Yan, C. Structural elucidation of three novel oligosaccharides from ‘Kunlun’ Chrysanthemum flower tea and their bioactivities. Food Chem. Toxicol. 2021, 149, 112032. [Google Scholar] [CrossRef]
- Yuan, H.; Jiang, S.; Liu, Y.; Daniyal, M.; Jian, Y.; Peng, C.; Shen, J.; Liu, S.; Wang, W. The flower head of Chrysanthemum morifolium Ramat: A paradigm of flowers serving as Chinese dietary herbal medicine. J. Ethnopharmacol. 2020, 261, 113043. [Google Scholar] [CrossRef]
- Wang, R.R. Study on Cryopreservation Technology and Virulence Elimination of Germplasm Resources of Chrysanthemum, Jujube and Potato. Ph.D. Thesis, Northwest A&F University, Xianyang, China, 2014. [Google Scholar]
- Gao, H. Effects of Trace Elements in Chrysanthemum on Anti-Inflammatory Activity. J. Tradit. Chin. Med. Manag. 2006, 1, 24–25. [Google Scholar]
- Jiang, J.R. Reserch into the Effect and Mechanism of WCWE on HepG2 Cells. Ph.D. Thesis, Chengdu University of Traditional Chinese Medicine, Chengdu, China, 2017. [Google Scholar]
- Liu, D.M.; Zhu, S.M.; Yang, H.K.; Zhou, J.; Dong, X.R. Optimization of the extraction process of antioxidant active components from Huangshan Tributary Chrysanthemum and analysis of it by HPLC-MS. Sci. Technol. Food Ind. 2020, 41, 150–156. [Google Scholar]
- Jiang, H.D. Study on Cardiovascular System and Active Components of ‘Hangbai’ Chrysanthemum. Ph.D. Thesis, Zhejiang University, Hangzhou, China, 2004. [Google Scholar]
- Yuan, L.H. Research progress on antitumor effect of apigenin. China Public Health 2004, 2, 117–118. [Google Scholar]
- Hadizadeh, H.; Samiei, L.; Shakeri, A. Chrysanthemum, an ornamental genus with considerable medicinal value: A comprehensive review. S. Afr. J. Bot. 2022, 144, 23–43. [Google Scholar] [CrossRef]
- Zhong, X.; Yang, L.; Li, J.; Tang, Z.; Wu, C.; Zhang, L.; Zhou, X.; Wang, Y.; Wang, Z. Integrated next-generation sequencing and comparative transcriptomic analysis of leaves provides novel insights into the ethylene pathway of Chrysanthemum morifolium in response to a Chinese isolate of chrysanthemum virus B. Virol. J. 2022, 19, 182. [Google Scholar] [CrossRef]
- Liu, D.D.; Miao, M.S. Modern research and functional characteristics of chrysanthemum. J. Tradit. Chin. Med. 2014, 29, 551–553. [Google Scholar]
- Wang, Y.H. Establishment of Virus-Free System of Three Chrysanthemum Cultivars for Tea. Master’s Thesis, Nanjing Agricultural University, Nanjing, China, 2019. [Google Scholar]
- Zhan, G.; Sun, M.Y.; Li, J.; Qu, F.L.; Long, M. Amino acid composition and nutritional value evaluation of five chrysanthemum species from different habitats. J. Anhui Agric. Univ. 2019, 46, 908–914. [Google Scholar]
- Cheng, C.G.; Li, D.T.; Liu, X.H.; Hong, Q.H. Comparison of Trace elements of Chrysanthemum and Chrysanthemum. Spectrosc. Spectr. Anal. 2006, 1, 156–158. [Google Scholar]
- Nakano, M.; Hirakawa, H.; Fukai, E.; Toyoda, A.; Kajitani, R.; Minakuchi, Y.; Itoh, T.; Higuchi, Y.; Kozuka, T.; Bono, H.; et al. A chromosome-level genome sequence of Chrysanthemum seticuspe, a model species for hexaploid cultivated chrysanthemum. Commun. Biol. 2021, 4, 1167. [Google Scholar] [CrossRef]
- Eisa, E.A.; Tilly-Mándy, A.; Honfi, P.; Shala, A.Y.; Gururani, M.A. Chrysanthemum: A comprehensive review on recent developments on in vitro regeneration. Biology 2022, 11, 1774. [Google Scholar] [CrossRef]
- Guan, Y.; He, X.; Wen, D.; Chen, S.; Chen, F.; Chen, F.; Jiang, Y. Fusarium oxysporum infection on root elicit aboveground terpene production and salicylic acid accumulation in Chrysanthemum morifolium. Plant Physiol. Biochem. 2022, 190, 11–23. [Google Scholar] [CrossRef]
- Li, J.; Wu, X.; Liu, H.; Wang, X.; Yi, S.; Zhong, X.; Wang, Y.; Wang, Z. Identification and Molecular Characterization of a Novel Carlavirus Infecting Chrysanthemum morifolium in China. Viruses 2023, 15, 1029. [Google Scholar] [CrossRef] [PubMed]
- Cho, W.K.; Jo, Y.; Jo, K.-M.; Kim, K.-H. A Current overview of two viroids that infect Chrysanthemums: Chrysanthemum stunt viroid and Chrysanthemum chlorotic mottle viroid. Viruses 2013, 5, 1099–1113. [Google Scholar] [CrossRef]
- Palukaitis, P. Chrysanthemum stunt viroid. In Viroids and Satellites; Hadidi, A., Flores, R., Randles, J.W., Palukaitis, P., Eds.; Elsevier: London, UK, 2017; pp. 181–190. ISBN 9780128014981. [Google Scholar]
- Verhoeven, J.T.J.; Hammond, R.W.; Stancanelli, G. Economic significance of viroids in ornamental crops. In Viroids and Satellites; Hadidi, A., Flores, R., Randles, J.W., Palukaitis, P., Eds.; Elsevier: London, UK, 2017; pp. 27–38. ISBN 9780128014981. [Google Scholar]
- Gobatto, D.; Chaves, A.L.R.; Harakava, R.; Marque, J.M.; Daròs, J.A.; Eiras, M. Chrysanthemum stunt viroid in Brazil: Survey, identification, biological and molecular characterization and detection methods. J. Plant Pathol. 2014, 96, 111–119. [Google Scholar]
- Yoon, J.Y.; Baek, E.; Palukaitis, P. Are there strains of Chrysanthemum stunt viroid? J. Plant Pathol. 2012, 94, 697–701. [Google Scholar]
- Yoon, J.Y.; Palukaitis, P. Sequence comparisons of global Chrysanthemum stunt viroid variants: Multiple polymorphic positions scattered through the viroid genome. Virus Genes. 2013, 46, 97–104. [Google Scholar] [CrossRef] [PubMed]
- Dong, W.; Yu, Y.L.; Yang, H.Q.; Xu, L.J.; Tan, Z.W.; Xia, W.; Liang, H.Z. Establishment of a tissue culture and rapid propagation System of ‘Yutai 1′. Mol. Plant Breed. 2019, 17, 6751–6755. [Google Scholar]
- Bettoni, J.C.; Bonnart, R.; Volk, G.M. Challenges in implementing plant shoot tip cryopreservation technologies. Plant Cell 2021, 144, 21–34. [Google Scholar] [CrossRef]
- Wu, X.Y.; Liao, M.L.; Li, X.R.; Shu, Z.C.; Xin, J.T.; Zhang, B.H.; Dai, S.L. Establishment of regeneration system of Chrysanthemum vestitum with Three Floret Forms. Chin. Bull. Bot. 2023, 58, 245–256. [Google Scholar]
- Wu, Z.P.; Gao, Y.K.; Fan, M.; Gao, Y.H. Construction of regeneration and transformation system of Chrysanthemum ‘Jinbudiao’. Mol. Plant Breed. 2020, 18, 150–158. [Google Scholar]
- Li, W.Q.; Zheng, Q.; Wang, Y.; Liu, X.M.; Qi, H.Y.; Ren, R.Y. Establishment of regeneration system of Cosmos bipinnata Cav. Mol. Plant Breed. 2021, 8, 1–8. [Google Scholar]
- Su, P.F.; Wang, D.C.; Kan, W.J.; Ding, S.S.; Yao, Y.Y.; Hou, J.Y.; Wu, L.F. Establishment of regeneration system for Chrysanthemum morifolium Ramat. and the effects of melatonin on induction of Adventitious Roots and Drought Resistance. J. Anhui Univ. (Nat. Sci. Ed.) 2021, 45, 99–108. [Google Scholar]
- Quan, Y.J.; Ren, M.R.; Yang, W.T.; Zhang, J.N.; He, Z.H.; Gao, R. Establishment of regeneration system and genetic transformation system of ‘Yingjie Hongfei’ of Chrysanthemum indicum. North. Hortic. 2021, 21, 72–77. [Google Scholar]
- Luo, Y.L.; Huang, H.; Lian, L.; Dai, S.L. The Construction of Regeneration System for the Ray Floret of Senecio cruentus. In Advances in Ornamental Horticulture of China; China Forestry Publishing House: Beijing, China, 2017; pp. 252–259. [Google Scholar]
- Liu, Y.T.; Huang, H.; Ye, F.; Dai, S.L. The construction of regeneration system for hypocotyl of Senecio cruentus. In Advances in Ornamental Horticulture of China; China Forestry Publishing House: Beijing, China, 2018; pp. 493–501. [Google Scholar]
- Han, K.T.; Wang, J.; Dai, S.L. Study on Adventitious Bud yegeneration from internodal thin section in Multi-flowered Cut Chrysanthemum. J. Beijing For. Univ. 2009, 31, 102–107. [Google Scholar]
- Li, Y.J.; Li, Y.; Huang, H.; Dai, S.L. Establishment of an Efficient regeneration system for Cut Chrysanthemum ‘Fenguiren’. In Research Progress in Chinese Ornamental Horticulture; China Forestry Publishing House: Beijing, China, 2018; pp. 427–434. [Google Scholar]
- Fu, J.X.; Zhang, C.; Wang, Y.; Dai, S.L. Establishment of an In Vitro regeneration system for the hypocotyls of chamomile. J. Beijing For. Univ. 2012, 34, 91–96. [Google Scholar]
- Wu, X.Y.; Wen, X.H.; Ma, Z.F.; Dai, S.L. A method for rapid induction of regenerated plants from chamomile leaf explants. In Advances in Research on Ornamental Horticulture in China; China Forestry Publishing House: Beijing, China, 2018; pp. 461–468. [Google Scholar]
- Chen, P.Y. Research on the Establishment of Regeneration System in Chrysanth. Koreanum . Master’s Thesis, Liaoning Normal University, Dalian, China, 2010. [Google Scholar]
- Chen, H.; Wang, Y.F.; Chen, S.M.; Liu, S.Y.; Teng, N.J.; Lan, W.; Chen, F.D. Tissue culture study of five closely related species of Chrysanthemum. J. Nanjing Agric. Univ. 2009, 32, 30–35. [Google Scholar]
- Ren, J.S.; Gu, X.Q.; Pu, Y.; Huang, H. Establishment of a regeneration system for ray florets of Chrysanthemum indicum var. huludoensis. Mod. Hortic. 2021, 24, 3–7. [Google Scholar]
- Liao, M.L.; Pu, Y.; Wu, X.Y.; Ma, Z.F.; Wang, W.K.; Dai, S.L. Establishment of Regeneration System of Chrysanthemum indicum in Pingtan with Various Ligulate Floret Form. Chin. Bull. Bot. 2023, 58, 449–460. [Google Scholar]
- Liu, M.M. Establishment of a High-Frequency Regeneration System and In Vitro Flowering Study of Potted Chrysanthemum. Master’s Thesis, Ningxia University, Yinchuan, China, 2017. [Google Scholar]
- Li, F.; Ma, H.X.; Li, Z.A.; Wang, Z.C. Establishment of a tissue culture regeneration system for Artemisia annua. North. Hortic. 2016, 8, 93–96. [Google Scholar]
- Bao, H.; Zhang, R.; Zhang, M.L.; Zhang, H.; Chen, R. Establishment of a leaf explant regeneration system for Stevia rebaudiana. North. Hortic. 2018, 6, 16–22. [Google Scholar]
- Wang, L.P.; Chen, Q.Q.; Liang, J.; Yang, P.P.; Wang, Q. Construction of Tissue Culture System and Genetic Transformation in Senecio scanden. Mol. Plant Breed. 2019, 17, 6000–6005. [Google Scholar]
- Chen, H.; Li, P.; Liu, J.; Li, Y.X. Establishment and optimization of tissue culture cystem for Taraxacum officinale. J. Biol. Eng. 2005, 2, 244–249. [Google Scholar]
- Jing, T.R.; Xu, S.Y.; Ni, Y.F.; Zhang, Y.J.; Guo, B.; Wei, Y.H. Advances in Biotechnology Saussurea involuerata Kar. et Kir. Genom. Appl. Biol. 2016, 35, 2201–2210. [Google Scholar]
- Wang, K.C.; Zhang, X.Q.; Mao, Y.Y. Tissue culture of chrysanthemum petals. Chin. Herb. Med. 2000, 8, 70–72. [Google Scholar]
- Luo, H.; Wen, X.H.; Zhou, Y.Y.; Dai, S.L. Establishment of in vitro regeneration system of Helenium aromaticum. Chin. Bull. Bot. 2019, 55, 318–328. [Google Scholar]
- Tanaka, K.; Kanno, Y.; Kudo, S.; Suzuki, M. Somatic embryogenesis and plantregeneration in chrysanthemum (Dendranthema grandiflorum (Ramat.) Kitamura). Plant Cell Rep. 2000, 19, 946–953. [Google Scholar] [CrossRef]
- Kumar, K.R.; Singh, K.P.; Raju, D.; Bhatia, R.; Panwar, S. Influence of genotypes, growth regulators and basal media on direct differentiation of shoot buds from leafsegments of marigold (Tagetes spp.). Indian. J. Exp. Biol. 2019, 57, 30–39. [Google Scholar]
- Aswath, C.R.; Mo, S.Y.; Kim, S.H.; Kim, D.H. IbMADS4 regulates the vegetative shoot development in transgenic chrysanthemum (Dendrathema grandiflora (Ramat.) Kitamura). Plant Sci. 2004, 166, 847–854. [Google Scholar] [CrossRef]
- Kumar, K.R.; Singh, K.P.; Jain, P.K.; Raju, D.; Kumar, P.; Bhatia, R.; Panwar, S. Influenceof growth regulators on callus induction and plant regeneration from anthers of Tagetes spp. Indian. J. Agric. Sci. 2018, 88, 970–977. [Google Scholar] [CrossRef]
- Waseem, K.; Jilan, M.S.; Jaskani, M.J.; Khan, M.S.; Kiran, M.; Khan, G.U. Significance ofdifferent plant growth regulators on the regeneration of chrysanthemum plantlets (Dendranthema morifolium L.) through shoot tip culture. Pak. J. Bot. 2011, 43, 1843–1848. [Google Scholar]
- Xu, P.; Zhang, Z.; Wang, B. Somatic embryogenesis and plant regeneration in chrysanthemum (Yuukou). J. Plant Cell. Tissue Organ. Culture 2012, 111, 393–397. [Google Scholar] [CrossRef]
- Cheng, Y. Establishment of the Regeneration System of Chrysanthemum Brain. Master’s Thesis, Nanjing Agricultural University, Yinchuan, China, 2014. [Google Scholar]
- Xu, Q.Y. Study on Efficient Adventitious Bud Regeneration System of Five Important Chrysanthemum Cultivars. Master’s Thesis, Beijing Forestry University, Beijing, China, 2005. [Google Scholar]
- Zhao, Z.G.; Zeng, L.; Tang, K.X.; Ji, C.J.; Sun, J.; Yang, F. Pigment marigold blade and establishment of regeneration system of optimization. J. Gard. 2010, 5, 655–660. [Google Scholar]
- Jiang, X.W.; Chen, F.J.; Lu, M.; Cai, M.; Zhang, Q.X. Study on direct somatic embryogenesis of ground cover chrysanthemum. J. Beijing For. Univ. 2008, 2, 65–70. [Google Scholar]
- Su, B.L.; Su, Y.; Feng, B.Y.; Liang, J.; Liang, W.P. Study on callus induction of chrysanthemum. J. Liaoning Agric. Sci. 2003, 5, 15–16. [Google Scholar]
- Mao, H.Y.; Zhou, Y.; Liu, D.; Jia, H.M. Establishment of receptor and genetic transformation system of Dendranthema morifolium ‘China Red’. J. Shenyang Agric. Univ. 2015, 46, 672–677. [Google Scholar]
- Wang, L.H.; Wang, Y.Q.; Chen, W.D.; Peng, P.H. Study on technology system of tissue culture of chrysanthemum. J. Anhui Agric. Sci. 2005, 8, 1416–1417. [Google Scholar]
- Zhang, X.H.; Wang, D.; Liang, Z.X.; Sun, M.Y.; Zhang, J.Z.; Shi, L. Establishment of callus induction and plant regeneration system of Lilium candidum. J. Acta Bot. Sin. 2018, 53, 840–847. [Google Scholar]
- Fan, S.; Zhang, Q.; Qiu, L.; Li, G.; Yang, H.; Jiang, M. Preliminary study on the factors on callus induction of phalaenopsis. In Proceedings of the 2010 4th International Conference on Bioinformatics and Biomedical Engineering, Chengdu, China, 18–20 June 2010; pp. 1–4. [Google Scholar]
- Xue, J.P.; Zhao, X.Q.; Zhang, A.M.; Huang, Y.Q. Application of orthogonal test in tissue culture of Chinese yam. J. Chin. J. Tradit. Chin. Med. 2008, 16, 1952–1955. [Google Scholar]
- Li, Y.; Wang, Q.; Li, Y.H.; Wang, H.X. Application of orthogonal design in tissue culture of Nematanthus glabra. Acta Hortic. Sin. 2001, 6, 570–571. [Google Scholar]
- Liu, X.H.; Wang, Y.F.; Lv, W.J.; Guo, Y.J.; Yang, Y.Q. Optimization of the rooting culture system of Chrysanthemum morifolium tissue culture seedlings based on orthogonal experiment. Plant Physiol. J. 2023, 59, 782–791. [Google Scholar]
- Zhang, Y.Y.; Gu, D.F. Orthogonal test optimization of Lonicera edulis Turcz. plant tissue culture conditions. Jiangsu Agric. Sci. 2016, 44, 68–70. [Google Scholar]
- Zhao, X.T.; Jiang, L.W.; Wang, M.; Zhu, Y.T.; Zhang, W.F.; Li, M.J. Establishment of indirect somatic embryogenesis regeneration system of Chrysanthemum morifolium Ramat. and genetic transformation of CmTGA1. Acta Bot. Sin. 2016, 51, 525–532. [Google Scholar]
- Li, X.X.; Yan, Y.; Bai, Z.Q.; Wang, Y.F. Establishment of regeneration system of Atractylodes chinensis. Mol. Plant Breed. 2024, 23, 1–13. [Google Scholar]
- Ding, X.X. Research Progress on Regeneration system of chrysanthemum in tissue culture. Liaoning For. Sci. Technol. 2018, 4, 64–68. [Google Scholar]
- Cheng, M.M. Establishment of High-Frequency Regeneration System and Polyploid Induction of Callistephus chinensis L. Nees. Master’s Thesis, Southwest University, Chongqing, China, 2015. [Google Scholar]
- Deng, N.F.; Wu, G.R. Study on tissue culture and rapid propagation of chrysanthemum petals. J. Hezhou Univ. 2007, 3, 144–145. [Google Scholar]
- Wang, H.; Liu, Y.; Yuan, Y.; Li, X.; Du, F.G. Study on the in vitro rapid propagation technology of Locusta migratoria. Acta Physiol. Plant. 2015, 51, 2275–2279. [Google Scholar]
- Hao, Z.H.; Gu, R.C.; Huang, J.L.; Wu, Y.B.; Tian, L. Research progress on propagation techniques of common succulent plants. Guangdong Seric. 2017, 51, 13–16. [Google Scholar]
- Wang, B.Y. Research on Regeneration and Genetic Transformation System of Chrysanthemum. Master’s Thesis, Shenyang Agricultural University, Shenyang, China, 2017. [Google Scholar]
- Liu, Y.T.; Zhao, X.Z.; Yang, Y.X.; Yue, D.X.; Wei, W.C. Effects of different hormone concentrations on tissue culture of Edible Chrysanthemum. Acta Agric. Sin. 2014, 5, 67–69. [Google Scholar]
- Annadana, S.; Rademaker, W.; Ramanna, M.S.; Udayakumar, M.; Jong, J.F. Response of stem explants to screening and explant source as a basis for methodical advancing of regeneration protocols for chrysanthemum. Plant Cell Tissue Organ. Cult. 2000, 62, 47–55. [Google Scholar] [CrossRef]
- Deng, Y.M.; Chu, F.L.; Hua, R.Z. Study on virus-free technology of ‘Chuzhou’ Chrysanthemum tissue Culture. J. Anhui Agric. Sci. 2007, 14, 4130. [Google Scholar]
- Wang, Z.B.; Mo, G.X.; Luo, H.L.; Zhang, D.Y. Study on tissue culture and rapid propagation of chrysanthemum with different explants and their regeneration system. North. Hortic. 2015, 39, 106–109. [Google Scholar]
- Gao, Y.K.; Zhao, B.; Ding, G.X.; Zhang, Q.X. Study on the regeneration system of chrysanthemum stem and leaf explants. J. Beijing For. Univ. 2001, 23, 32–33. [Google Scholar]
- Jahan, M.T.; Islam, M.R.; Islam, S.S.; Das, P.; Islam, M.M.; Kabir, M.H.; Mamun, A.N.K. Clonal propagation of Chrysanthemum morifolium Ramat. using various explants obtained from field grown plants. GSC Biol. Pharm. Sci. 2021, 16, 87–93. [Google Scholar] [CrossRef]
- Murashige, T.; Skoog, F. A revised medium for rapid growth and bio Assays with tobacco tissue cultures. Physiol. Plant 1962, 15, 473–497. [Google Scholar] [CrossRef]
- Li, H.P.; Zhang, L.G.; Zhang, J.; Ru, L.; Liu, X.C.; Sun, X.L. Establishment of high-frequency regeneration system for Radish cotyledon with petiole. Acta Bot. Sin. 2011, 46, 331–337. [Google Scholar]
- Li, J.T.; Wu, Y.N.; Ding, B.; Qi, X.J.; Zhang, Y.; Xie, L.N. Establishment of regeneration systems for four species of chrysanthemum in open field. North. Hortic. 2016, 40, 119–124. [Google Scholar]
- Renou, J.P.; Brochard, P.; Jalouzot, R. Recovery of transgenic chrysanthemum (Dendranthema grandiflora Tzvelev) after hygromycin resistance selection. Plant Sci. 1993, 89, 185–197. [Google Scholar] [CrossRef]
- Liu, C.X.; Ma, X.; Dong, F.L.; Zhou, Y.W. Establishment of regeneration systems of Chrysanthemum morifolium ‘Ziyan’ and ‘New 9722’. Pratac. Sci. 2015, 32, 188–195. [Google Scholar]
- Xu, S.J. Establishment and Optimization of Regeneration System for Taraxacum ohwianum Leaves. Master’s Thesis, Shenyang Agricultural University, Shenyang, China, 2016. [Google Scholar]
- Wu, H.Y. Screening of Blue Color Transgenic Recipient Chrysanthemum Cultivars and Establishment of Regeneration System. Master’s Thesis, Nanjing Agricultural University, Yinchuan, China, 2015. [Google Scholar]
- Fu, Y.L.; Wang, Y.Z.; Guo, Q.H.; Jia, H.Y. Tissue culture and rapid propagation of Compositum cerebrum. J. Anhui Agric. Sci. 2010, 24, 13367–13368. [Google Scholar]
- Yuan, C.Z.; Li, B.; Yang, W.R.; Zhu, C.M. Effects of hormone on callus induction and cluster bud differentiation of Chrysanthemum. North. Hortic. 2010, 1, 162–164. [Google Scholar]
- Huang, D.F.; Wang, J.X.; Mao, Y. Experiments on tissue culture and rapid propagation of a new variety of Cut Chrysanthemum. Shanghai Agric. Sci. Technol. 1992, 2, 38–39. [Google Scholar]
- Liu, P.; Liu, J.; Zhao, Y.H.; Liu, Q.X.; Zhang, W.G. Study on tissue culture, virus-free and rapid propagation of Chrysanthemum. J. Inn. Mong. Univ. Natl. Nat. Sci. Ed. 2005, 4, 410–413. [Google Scholar]
- Zhao, W.P.; Wang, Y.Q.; Liu, Y.; Huang, B.B.; Cai, H. Research progress of tissue culture technology of chrysanthemum. Anhui Agric. Sci. Bull. 2019, 25, 36–38. [Google Scholar]
- Jiang, X.W.; Liu, G.F.; Bao, M.Z. Establishment of rapid and efficient regeneration system for leaves and stem segments of 9 cultivars of Chrysanthemum. J. Huazhong Agric. Univ. 2003, 2, 162–166. [Google Scholar]
- Wang, F. Research on Resources, Seedling Breeding and Quality Analysis of Chrysanthemum. Master’s thesis, Anhui Agricultural University, Hefei, China, 2013.
- Chen, X.L.; Chen, X.B.; Chen, Q.L. Application of tissue culture and rapid propagation technology of chrysanthemum in practical production. Fujian Hot Crop Sci. Technol. 2009, 4, 28–29. [Google Scholar]









| Treatment | Factor A | Factor B | Factor C | Factor D | Differentiation Coefficient | |
|---|---|---|---|---|---|---|
| 6-BA (mg/L) | NAA (mg/L) | 2,4-D (mg/L) | TDZ (mg/L) | Stem Segment with Bud | Leaf | |
| A-1 | 1.0 | 0.1 | 0 | 0 | 8.33 ± 0.58 c | 2.00 ± 1.00 a |
| A-2 | 1.0 | 0.3 | 0.3 | 0.1 | 4.00 ± 1.00 f | 1.33 ± 0.58 a |
| A-3 | 1.0 | 0.5 | 0.1 | 0.3 | 6.00 ± 1.00 de | 1.00 ± 0 a |
| A-4 | 1.5 | 0.1 | 0.3 | 0.3 | 7.33 ± 0.58 cd | 1.67 ± 0.58 a |
| A-5 | 1.5 | 0.3 | 0.1 | 0 | 10.00 ± 1.00 b | 1.67 ± 0.58 a |
| A-6 | 1.5 | 0.5 | 0 | 0.1 | 14.00 ± 1.00 a | 1.67 ± 0.58 a |
| A-7 | 2.0 | 0.1 | 0.1 | 0.1 | 6.33 ± 0.58 de | 1.67 ± 0.58 a |
| A-8 | 2.0 | 0.3 | 0 | 0.3 | 5.67 ± 0.58 e | 1.00 ± 1.00 a |
| A-9 | 2.0 | 0.5 | 0.3 | 0 | 7.00 ± 1.00 cde | 1.00 ± 0 a |
| Dependent Variable | Source of Variance | Sum of Squares | Mean Square | F | p |
|---|---|---|---|---|---|
| Differentiation coefficient (Stem segment with bud) | 6-BA | 107.185 | 53.593 | 76.158 *** | 0.000 |
| NAA | 28.074 | 14.037 | 19.947 *** | 0.000 | |
| 2,4-D | 47.185 | 23.593 | 33.526 *** | 0.000 | |
| TDZ | 23.185 | 11.593 | 16.474 *** | 0.000 | |
| Differentiation coefficient (Leaf) | 6-BA | 0.889 | 0.444 | 1.091 | 0.357 |
| NAA | 1.556 | 0.778 | 1.909 | 0.177 | |
| 2,4-D | 0.222 | 0.111 | 0.273 | 0.764 | |
| TDZ | 0.667 | 0.333 | 0.818 | 0.457 |
| Treatment | Factor A | Factor B | Rooting Rate (%) | Root Number | Root Length (cm) |
|---|---|---|---|---|---|
| Basic Medium | NAA (mg/L) | ||||
| B-1 | 1/4 MS | 0.1 | 95.24 ± 4.12 a | 9.87 ± 1.47 c | 7.46 ± 0.90 c |
| B-2 | 0.2 | 94.84 ± 4.51 a | 7.12 ± 0.40 e | 5.87 ± 0.35 e | |
| B-3 | 0.3 | 94.44 ± 4.81 a | 5.45 ± 0.59 f | 4.67 ± 0.11 f | |
| B-4 | 1/2 MS | 0.1 | 97.62 ± 4.12 a | 13.92 ± 0.70 a | 9.36 ± 0.71 a |
| B-5 | 0.2 | 97.22 ± 4.81 a | 9.71 ± 1.15 c | 7.22 ± 0.40 c | |
| B-6 | 0.3 | 94.44 ± 4.81 a | 9.08 ± 0.43 cd | 6.74 ± 0.32 cd | |
| B-7 | MS | 0.1 | 97.62 ± 4.12 a | 12.18 ± 0.69 b | 8.32 ± 0.20 b |
| B-8 | 0.2 | 97.62 ± 4.12 a | 8.45 ± 1.07 | 6.77 ± 0.38 cd | |
| B-9 | 0.3 | 94.84 ± 4.51 a | 7.86 ± 0.45 de | 5.98 ± 0.40 de |
| Character | Source of Variance | Sum of Squares | Mean Square | F | p |
|---|---|---|---|---|---|
| Rooting rate | Basic medium | 18.042 | 9.021 | 0.547 | 0.587 |
| NAA | 27.168 | 13.584 | 0.823 | 0.452 | |
| Root number | Basic medium | 53.295 | 26.647 | 39.101 *** | 0.000 |
| NAA | 102.348 | 51.174 | 75.091 *** | 0.000 | |
| Root length | Basic medium | 14.263 | 7.132 | 33.498 *** | 0.000 |
| NAA | 31.347 | 15.674 | 73.621 *** | 0.000 |
| Treatment | Factor A | Factor B | Plant Height (0 d) | Plant Height (5 d) | Plant Height (10 d) | Plant Height (15 d) |
|---|---|---|---|---|---|---|
| Seedling Refining Time (d) | Substrate for Transplanting | |||||
| C-1 | 1 | 1:1 | 3.21 ± 0.10 ab | 3.98 ± 0.31 e | 4.43 ± 0.23 f | 4.97 ± 0.15 e |
| C-2 | 1:2 | 3.26 ± 0.06 ab | 4.26 ± 0.32 de | 4.97 ± 0.12 cd | 5.43 ± 0.15 c | |
| C-3 | 1:3 | 3.18 ± 0.12 b | 4.11 ± 0.20 e | 4.67 ± 0.12 ef | 5.17 ± 0.06 cde | |
| C-4 | 3 | 1:1 | 3.12 ± 0.06 b | 4.38 ± 0.21 cde | 4.72 ± 0.15 de | 5.12 ± 0.21 de |
| C-5 | 1:2 | 3.28 ± 0.15 ab | 4.78 ± 0.15 bc | 5.23 ± 0.06 bc | 5.90 ± 0.10 b | |
| C-6 | 1:3 | 3.31 ± 0.20 ab | 4.59 ± 0.20 bcd | 5.07 ± 0.21 c | 5.41 ± 0.10 cd | |
| C-7 | 5 | 1:1 | 3.42 ± 0.15 a | 4.64 ± 0.35 bcd | 5.10 ± 0.10 c | 5.37 ± 0.06 cd |
| C-8 | 1:2 | 3.23 ± 0.15 ab | 5.27 ± 0.21 a | 5.84 ± 0.21 a | 6.40 ± 0.10 a | |
| C-9 | 1:3 | 3.37 ± 0.12 ab | 5.03 ± 0.31 ab | 5.47 ± 0.15 b | 6.00 ± 0.26 b |
| Character | Source of Variance | Sum of Squares | Mean Square | F | p |
|---|---|---|---|---|---|
| Plant height (0 d) | Seedling refining time | 0.092 | 0.046 | 2.36 | 0.118 |
| Substrate for transplanting | 0.003 | 0.001 | 0.076 | 0.927 | |
| Plant height (5 d) | Seedling refining time | 3.387 | 1.693 | 28.559 *** | 0.000 |
| Substrate for transplanting | 0.896 | 0.448 | 7.552 ** | 0.003 | |
| Plant height (10 d) | Seedling refining time | 2.749 | 1.374 | 58.651 *** | 0.000 |
| Substrate for transplanting | 1.562 | 0.781 | 33.332 *** | 0.000 | |
| Plant height (15 d) | Seedling refining time | 2.456 | 1.228 | 39.137 *** | 0.000 |
| Substrate for transplanting | 2.570 | 1.285 | 40.943 *** | 0.000 |
Disclaimer/Publisher’s Note: The statements, opinions and data contained in all publications are solely those of the individual author(s) and contributor(s) and not of MDPI and/or the editor(s). MDPI and/or the editor(s) disclaim responsibility for any injury to people or property resulting from any ideas, methods, instructions or products referred to in the content. |
© 2024 by the authors. Licensee MDPI, Basel, Switzerland. This article is an open access article distributed under the terms and conditions of the Creative Commons Attribution (CC BY) license (https://creativecommons.org/licenses/by/4.0/).
Share and Cite
Chen, Q.; Gao, K.; Pan, B.; Wang, Y.; Chen, L.; Yu, J.; Wang, L.; Fan, Y.; Li, H.; Huang, C. Construction of Optimal Regeneration System for Chrysanthemum ‘11-C-2’ Stem Segment with Buds. Plants 2024, 13, 2403. https://doi.org/10.3390/plants13172403
Chen Q, Gao K, Pan B, Wang Y, Chen L, Yu J, Wang L, Fan Y, Li H, Huang C. Construction of Optimal Regeneration System for Chrysanthemum ‘11-C-2’ Stem Segment with Buds. Plants. 2024; 13(17):2403. https://doi.org/10.3390/plants13172403
Chicago/Turabian StyleChen, Qingbing, Kang Gao, Bo Pan, Yaoyao Wang, Lijie Chen, Junjun Yu, Lili Wang, Yongming Fan, Haiying Li, and Conglin Huang. 2024. "Construction of Optimal Regeneration System for Chrysanthemum ‘11-C-2’ Stem Segment with Buds" Plants 13, no. 17: 2403. https://doi.org/10.3390/plants13172403
APA StyleChen, Q., Gao, K., Pan, B., Wang, Y., Chen, L., Yu, J., Wang, L., Fan, Y., Li, H., & Huang, C. (2024). Construction of Optimal Regeneration System for Chrysanthemum ‘11-C-2’ Stem Segment with Buds. Plants, 13(17), 2403. https://doi.org/10.3390/plants13172403

