Effects of Water and Nitrogen Regulation on Apple Tree Growth, Yield, Quality, and Their Water and Nitrogen Utilization Efficiency
Abstract
1. Introduction
2. Results
2.1. Response of Leaf Nitrogen Content to Water and Nitrogen Regulation in Apple Trees
2.2. Growth Status of Apple Tree New Shoots (Spring Shoots) in Response to Water and Nitrogen Regulation
2.3. Response of Intrinsic Quality of Apple to Water and Nitrogen Regulation
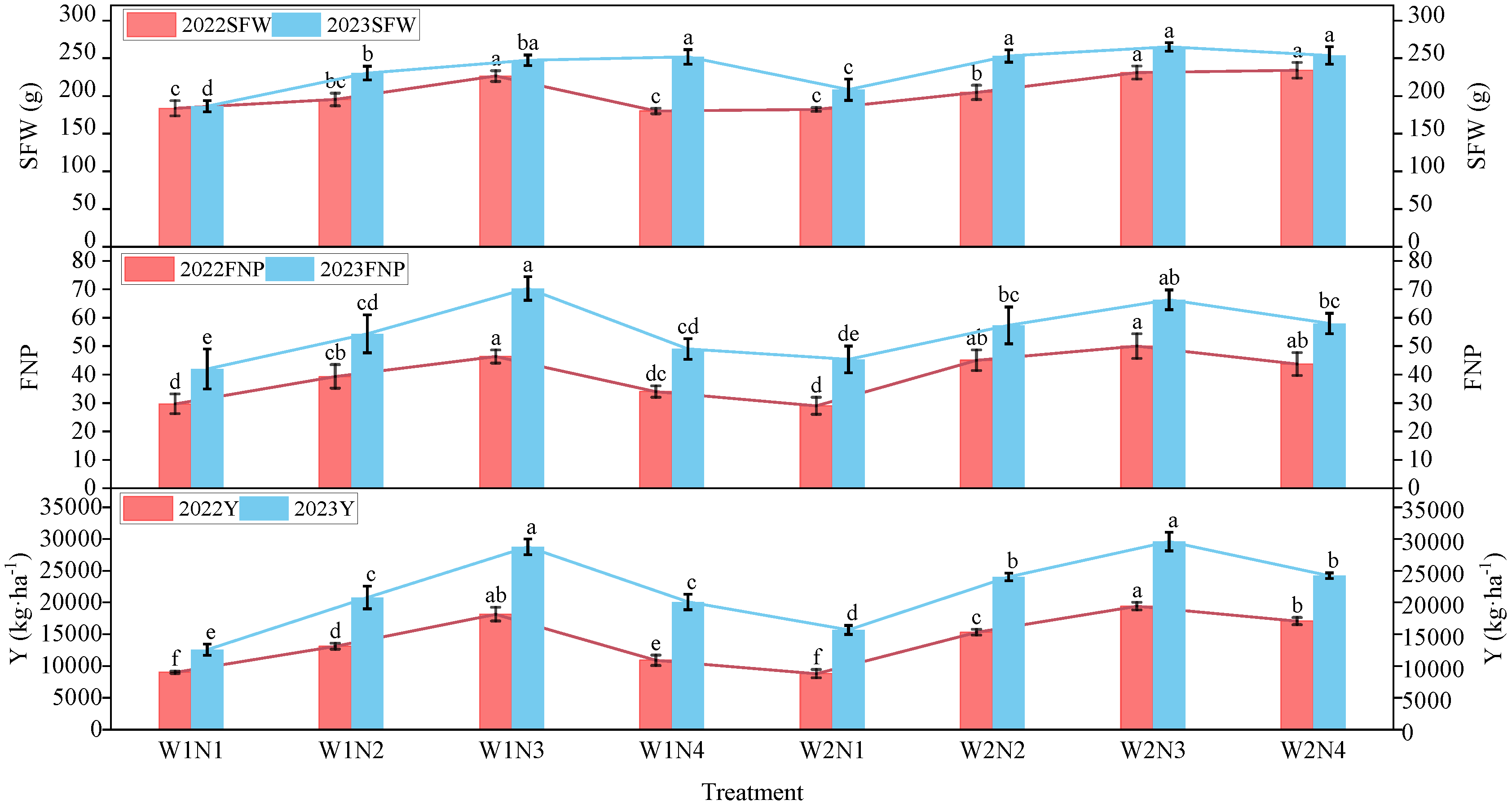
2.4. Response of Yield and Its Components to Water and Nitrogen Regulation
2.5. Effect of Water Consumption on Water Productivity and Yield of Apple Trees
2.6. Effect of Nitrogen Application on Nitrogen Partial Factor Productivity and Yield of Apple Trees
3. Discussion
3.1. Effects of Water and Nitrogen Regulation on Leaf Nitrogen Content and Growth of Apple Trees
3.2. Impact of Water and Nitrogen Regulation on Apple Yield and Quality
3.3. Effects of Water and Nitrogen Regulation on Water Consumption and Nitrogen Utilization in Apple Trees
4. Material and Methods
4.1. Experiment Location
4.2. Experimental Design
| Growth Period | Time | Experiment Year | |||||
|---|---|---|---|---|---|---|---|
| 2021–2022 | 2022–2023 | ||||||
| N | P2O5 | K2O | N | P2O5 | K2O | ||
| % | % | % | % | % | % | ||
| After harvest (base fertilizer) | early-October | 20 | 16 | 8 | 20 | 16 | 8 |
| Budding stage | late-March | 30 | 31 | 15 | 30 | 31 | 15 |
| New shoot growth stage | mid-April | 10 | 16 | 8 | 10 | 16 | 8 |
| Flowering stage | early-May | 20 | 12 | 9 | 20 | 12 | 9 |
| Fruit setting | early-June | 10 | 10 | 10 | 10 | 10 | 10 |
| Early fruit enlargement stage | late-June | 10 | 5 | 10 | 10 | 5 | 10 |
| Rapid fruit enlargement stage | mid-July | 0 | 5 | 20 | 0 | 5 | 20 |
| Later fruit enlargement stage | early-August | 0 | 5 | 20 | 0 | 5 | 20 |
4.3. Plant Measurements
4.3.1. Measurement of New Shoot (Spring) Growth
4.3.2. Measurement of Leaf Nitrogen Content
4.3.3. Measurement of Yield and Its Components
4.3.4. Measurement of Fruit Quality Indicators
4.4. Calculation of Water Consumption
4.5. Calculation of Water and Nitrogen Utilization Efficiency
- (1)
- Water productivity (WP) [47]
- (2)
- Nitrogen partial factor productivity (NPFP) [48]
4.6. Model Description and Application
4.7. Meteorological Factors
4.8. Statistical Analysis and Computation
5. Conclusions
Author Contributions
Funding
Data Availability Statement
Conflicts of Interest
Abbreviations
| Abbreviation | Interpretations |
| FC | field capacity |
| WP | water productivity |
| NPFP | nitrogen partial factor productivity |
| SWC | soil water content |
| FF | flesh firmness |
| TSS | total soluble solids |
| SSC | soluble sugars content |
| TA | titratable acidity |
| VC | vitamin C |
| SFW | single fruit weight |
| FNP | the number of fruits per plant |
| ET | water consumption |
| LAI | leaf area index |
References
- Buttaro, D.; Santamaria, P.; Signore, A.; Cantore, V.; Boari, F.; Montesano, F.F.; Parente, A. Irrigation management of greenhouse tomato and cucumber using tensiometer: Effects on yield, quality and water use. Agric. Agric. Sci. Procedia 2015, 4, 440–444. [Google Scholar] [CrossRef]
- FAO. Water for Sustainable Food and Agriculture: A Report Produced for the G20 Presidency of Germany; FAO: Rome, Italy, 2017.
- Calzadilla, A.; Rehdanz, K.; Tol, R.S.J. Water scarcity and the impact of improved irrigation management: A computable general equilibrium analysis. Agric. Econ. 2011, 42, 305–323. [Google Scholar] [CrossRef]
- Chen, Z.; Sarkar, A.; Hasan, A.K.; Li, X.; Xia, X. Evaluation of farmers’ ecological cognition in responses to specialty orchard fruit planting behavior: Evidence in Shaanxi and Ningxia, China. Agric. Agric. Sci. Procedia 2021, 11, 1056. [Google Scholar] [CrossRef]
- Carranca, C.; Brunetto, G.; Tagliavini, M. Nitrogen nutrition of fruit trees to reconcile productivity and environmental concerns. Plants 2018, 7, 4. [Google Scholar] [CrossRef] [PubMed]
- Jackson, L.E.; Burger, M.; Cavagnaro, T.R. Roots, nitrogen transformations, and ecosystem services. Annu. Rev. Plant Biol. 2008, 59, 341–363. [Google Scholar] [CrossRef]
- Tang, L.; Cao, H.; Li, H.; Li, T.; Ming, G. Influence of drip irrigation levels to yield and quality of apple under different amount of nitrogen. Agric. Res. Arid. Areas 2017, 35, 10–18. [Google Scholar] [CrossRef]
- Zhou, Y.; Qin, S.; Ma, X.; Zhang, J.; Zhou, P.; Sun, M.; Wang, B.; Zhou, H.; Lyu, D. Effect of interstocks on the photosynthetic characteristics and carbon distribution of young apple trees during the vigorous growth period of shoots. Eur. J. Hortic. Sci. 2015, 80, 296–305. [Google Scholar] [CrossRef]
- Cheng, L.; Xia, G.; Lakso, A.; Goffinet, M. How does nitrogen supply affect ‘Gala’fruit size? N. Y. Fruit Q. 2007, 15, 3–5. [Google Scholar]
- Porro, D.; Pantezzi, T.; Pedò, S.; Bertoldi, D. Interaction of fertigation and water management on apple tree productivity, orchard nutrient status, and fruit quality. In Proceedings of the VII International Symposium on Mineral Nutrition of Fruit Crops, Chanthaburi, Thailand, 19–25 May 2012; pp. 203–210. [Google Scholar]
- Wojcik, P.; Treder, W. Effects of drip boron fertigation on yield and fruit quality in a high-density apple orchard. J. Plant Nutr. 2006, 29, 2199–2213. [Google Scholar] [CrossRef]
- Neilsen, G.H.; Neilsen, D.; Herbert, L. Nitrogen fertigation concentration and timing of application affect nitrogen nutrition, yield, firmness, and color of apples grown at high density. HortScience 2009, 44, 1425–1431. [Google Scholar] [CrossRef]
- Tian, G.; Wang, F.; Xu, X.; Jia, Z.; Ge, S.; Jiang, Y. Dynamics of growth and nitrogen accumulation and utilization of young apple trees. Chin. J. Appl. Ecol. 2018, 29, 7. [Google Scholar] [CrossRef]
- Zhou, H.; Zhang, F.; Kjelgren, R.; Wu, L.; Fan, J.; Xiang, Y. Effects of Water and Fertilizer Coupling on Yield, fruit quality, and water and fertilizer use efficiency in young apple trees. Trans. Chin. Soc. Agric. Mach. 2015, 46, 173–183. [Google Scholar] [CrossRef]
- Ding, D.; Feng, H.; Zhao, Y.; Hill, R.L.; Yan, H.; Chen, H.; Hou, H.; Chu, X.; Liu, J.; Wang, N. Effects of continuous plastic mulching on crop growth in a winter wheat-summer maize rotation system in the Loess Plateau of China. Agric. For. Meteorol. 2019, 271, 385–397. [Google Scholar] [CrossRef]
- Yin, X.; Goudriaan, J.; Lantinga, E.A.; Vos, J.; Spiertz, H.J. A flexible sigmoid function of determinate growth. Ann. Bot. 2003, 91, 361–371. [Google Scholar] [CrossRef]
- Almanza-Merchán, P.J.; Arévalo, Y.A.; Cely, R.G.E.; Pinzón, E.H.; Serrano, C.P.A. Fruit growth characterization of tomato (Solanum lycopersicum L.) hybrid Ichiban’grown under cover. Agron. Colomb. 2016, 34, 155–162. [Google Scholar] [CrossRef]
- Wubs, A.M.; Ma, Y.T.; Heuvelink, E.; Hemerik, L.; Marcelis, L.F. Model selection for nondestructive quantification of fruit growth in pepper. J. Am. Soc. Hortic. Sci. 2012, 137, 71–79. [Google Scholar] [CrossRef]
- Ribeiro, T.D.; Savian, T.V.; Fernandes, T.J.; Muniz, J.A. The use of the nonlinear models in the growth of pears of ‘Shinseiki’cultivar. Ciência Rural. 2017, 48, e20161097. [Google Scholar] [CrossRef]
- Sanchez, E.E.; Khemira, H.; Sugar, D.; Righetti, T.L. Nitrogen management in orchards. Nitrogen Fertil. Environ. 1995, 42, 327–380. [Google Scholar]
- Tagliavini, M.; Scudellazi, D.; Toselli, B.M. Nitrogen fertilization management in orchards to reconcile productivity and environmental aspects. Nutr. Cycl. Agroecosyst. 1995, 43, 93–102. [Google Scholar] [CrossRef]
- Colpaert, B.; Steppe, K.; Gomand, A.; Vanhoutte, B.; Remy, S.; Boeckx, P. Experimental approach to assess fertilizer nitrogen use, distribution, and loss in pear fruit trees. Plant Physiol. Biochem. 2021, 165, 207–216. [Google Scholar] [CrossRef]
- Fallahi, E.; Kiester, M.J.; Fallahi, B.; Mahdavi, S. Rootstock, canopy architecture, bark girdling, and scoring influence on growth, productivity, and fruit quality at harvest in Aztec Fuji’ Apple. HortScience 2018, 53, 1629–1633. [Google Scholar] [CrossRef]
- Musacchi, S. Innovations in apple tree cultivation to manage crop load and ripening. Duane Greene, University of Massachusetts, USA. In Achieving Sustainable Cultivation of Apples; Burleigh Dodds Science Publishing: Sawston, UK, 2017; pp. 219–262. [Google Scholar]
- He, Z.; Hu, Q.; Zhang, Y.; Cao, H.; Nan, X. Effects of irrigation and nitrogen management strategies on soil nitrogen and apple yields in loess plateau of China. Agric. Water Manag. 2023, 280, 108220. [Google Scholar] [CrossRef]
- Liao, Y.; Cao, H.; Xue, W.; Liu, X. Effects of the combination of mulching and deficit irrigation on the soil water and heat, growth and productivity of apples. Agric. Water Manag. 2021, 243, 106482. [Google Scholar] [CrossRef]
- Njira, K.O.; Nabwami, J. A review of effects of nutrient elements on crop quality. Afr. J. Food Agric. Nutr. Dev. 2015, 15, 9777–9793. [Google Scholar] [CrossRef]
- Zaman, M.; Kurepin, L.V.; Catto, W.; Pharis, R.P. Enhancing crop yield with the use of N-based fertilizers co-applied with plant hormones or growth regulators. J. Sci. Food Agric. 2015, 95, 1777–1785. [Google Scholar] [CrossRef]
- Nava, G.; Dechen, A.R.; Nachtigall, G.R. Nitrogen and potassium fertilization affects apple fruit quality in southern Brazil. Commun. Soil Sci. Plant Anal. 2007, 39, 96–107. [Google Scholar] [CrossRef]
- Dzanagov, S.K.; Gazdanov, A.; Lazarov, T.; Asaeva, T.; Basiev, A.; Kanukov, Z. Fertilizers effect on yield and apples’ fruits quality on leached chernozem. In Proceedings of the IOP Conference Series: Earth and Environmental Science, Omsk City, Russian, 4–5 July 2020; p. 012201. [Google Scholar]
- Zhang, Y.; Cheng, C.; Zhao, D.; Zhou, J.; Chen, Y.; Zhang, H.; Xie, B. Effects of nitrogen application levels on fruit Ca forms and quality of ‘Fuji’ apples. J. Plant Nutr. Fertil. 2021, 27, 87–96. [Google Scholar] [CrossRef]
- Gan, L.; Xie, Y.; Wu, X.; Xia, X. Variation Pattern of Sugar, Acid and Vitamin C Content during Fruit Development in Jujube. Acta Hortic. Sin. 2000, 27, 317–320. [Google Scholar] [CrossRef]
- Ye, J.; Yang, X.; Chen, Q.; Xu, F.; Wang, G. Promotive effects of 5-aminolevulinic acid on fruit quality and coloration of Prunus persica (L.) Batsch. Sci. Hortic. 2017, 217, 266–275. [Google Scholar] [CrossRef]
- Pereira, L.S. Water, agriculture, and food: Challenges and issues. Water Resour. Manag. 2017, 31, 2985–2999. [Google Scholar] [CrossRef]
- Wang, S.; An, J.; Zhao, X.; Gao, X.; Wu, P.; Huo, G.; Robinson, B.H. Age-and-climate-related water use patterns of apple trees in China’s Loess Plateau. J. Hydrol. 2020, 582, 124462. [Google Scholar] [CrossRef]
- Zhong, Y.; Fei, L.; Li, Y.; Zeng, J.; Dai, Z. Response of fruit yield, fruit quality, and water use efficiency to water deficits for apple trees under surge-root irrigation in the Loess Plateau of China. Agric. Water Manag. 2019, 222, 221–230. [Google Scholar] [CrossRef]
- Zhang, S.; Hu, T.; Chen, S.; Ye, R.; Chen, J.; Geng, C. Responses of root physiology and yield of apple trees to water and nitrogen amounts under drip fertigation. J. Plant Growth Regul. 2023, 42, 2787–2799. [Google Scholar] [CrossRef]
- Chen, Q.; Ding, N.; Peng, L.; Zhu, Z.; Ge, S.; Jiang, Y. Nitrogen application technology in dwarfed apple trees. Chin. J. Appl. Ecol. 2018, 29, 1429–1436. [Google Scholar] [CrossRef]
- Yan, Z.; Zhang, H.; Guo, G.; Zhang, S.; Liu, Z. Selection of a new early-ripening apple cultivar—Huashuo. J. Fruit Sci. 2010, 27, 655–656+480. [Google Scholar] [CrossRef]
- Martínez, R.; Legua, P.; Martínez-Nicolás, J.; Melgarejo, P. Phenological growth stages of “Pero de Cehegín” (Malus domestica Borkh): Codification and description according to the BBCH scale. Sci. Hortic. 2019, 246, 826–834. [Google Scholar] [CrossRef]
- Yan, S.; Wu, Y.; Fan, J.; Zhang, F.; Qiang, S.; Zheng, J.; Xiang, Y.; Guo, J.; Zou, H. Effects of water and fertilizer management on grain-filling characteristics, grain weight, and productivity of drip-fertigated winter wheat. Agric. Water Manag. 2019, 213, 983–995. [Google Scholar] [CrossRef]
- Perry, E.M.; Davenport, J.R. Spectral and spatial differences in the response of vegetation indices to nitrogen treatments in apples. Comput. Electron. Agric. 2007, 59, 56–65. [Google Scholar] [CrossRef]
- Bubán, T.; Lakatos, T. Fertigation in young apple orchards using different forms of nitrogen. In Proceedings of the International Conference on Integrated Fruit Production, Leuven, Belgium, 27 July–1 August 1998; pp. 201–208. [Google Scholar]
- Li, H. Plant Physiological Experts; Higher Education Press: Beijing, China, 2000. [Google Scholar]
- Wu, Y.; Yan, H.; Fan, J.; Zhang, F.; Xiang, Y.; Zheng, J.; Guo, J. Responses of the growth, fruit yield, quality, and water productivity of greenhouse tomatoes to deficit drip irrigation. Sci. Hortic. 2021, 275, 109710. [Google Scholar] [CrossRef]
- Oweis, T.Y.; Farahani, H.J.; Hachum, A. Evapotranspiration and water use of full and deficit irrigated cotton in the Mediterranean environment in northern Syria. Agric. Water Manag. 2011, 98, 1239–1248. [Google Scholar] [CrossRef]
- Fernández, E. Editorial note on terms for crop evapotranspiration, water use efficiency and water productivity. Agric. Water Manag. 2023, 289, 108548. [Google Scholar] [CrossRef]
- Cassman, K.; Gines, G.; Dizon, M.; Samson, M.; Alcantara, J. Nitrogen-use efficiency in tropical lowland rice systems: Contribution from indigenous and applied nitrogen. Field Crops Res. 1996, 47, 1–12. [Google Scholar] [CrossRef]
- Allen, R.G. Crop evapotranspiration: Guidelines for computing crop water requirements. FAO Irrig. Drain. 1998, 56, 147–151. [Google Scholar]












| Years | Factor | Flowing Stage | Perennial Growth Stage | Young Fruit Stage | Early Fruit Expansion | Rapid Fruit Expansion | Fruit Coloring Stage | Harvest Stage |
|---|---|---|---|---|---|---|---|---|
| 2022 | W | NS | NS | * | NS | NS | NS | NS |
| N | NS | ** | ** | ** | ** | ** | ** | |
| W × N | * | NS | NS | NS | NS | NS | NS | |
| 2023 | W | ** | ** | ** | * | ** | ** | ** |
| N | ** | ** | ** | ** | ** | ** | ** | |
| W × N | NS | NS | NS | NS | NS | NS | NS |
| Years | Treatments | Model Parameters | Characteristic Parameters | |||||
|---|---|---|---|---|---|---|---|---|
| K (cm) | a | b | tm (d) | vm (cm·d−1) | Tm (d) | R2 | ||
| 2022 | W1N1 | 27.63 | 2.21 | 1.51 | 20.93 | 0.58 | 69.59 | 0.928 |
| W1N2 | 22.81 | 3.03 | 4.18 | 10.60 | 1.11 | 25.23 | 0.990 | |
| W1N3 | 20.42 | 3.67 | 4.81 | 10.81 | 1.24 | 21.90 | 0.993 | |
| W1N4 | 20.37 | 2.88 | 3.96 | 10.70 | 1.05 | 26.63 | 0.991 | |
| W2N1 | 19.41 | 2.97 | 4.07 | 10.72 | 1.07 | 25.91 | 0.993 | |
| W2N2 | 23.65 | 2.85 | 4.10 | 10.22 | 1.08 | 25.72 | 0.991 | |
| W2N3 | 21.95 | 3.46 | 4.35 | 11.41 | 1.13 | 24.20 | 0.992 | |
| W2N4 | 21.62 | 2.86 | 3.66 | 11.47 | 0.98 | 28.78 | 0.994 | |
| 2023 | W1N1 | 18.74 | 2.22 | 3.17 | 10.05 | 0.90 | 33.25 | 0.994 |
| W1N2 | 30.08 | 4.12 | 2.72 | 20.78 | 0.96 | 38.68 | 0.994 | |
| W1N3 | 27.45 | 3.97 | 3.56 | 15.50 | 1.04 | 29.59 | 0.999 | |
| W1N4 | 26.94 | 3.50 | 3.18 | 15.78 | 0.98 | 33.17 | 0.997 | |
| W2N1 | 20.29 | 3.39 | 2.88 | 16.97 | 0.90 | 36.62 | 0.998 | |
| W2N2 | 31.21 | 4.76 | 2.37 | 26.32 | 0.95 | 44.46 | 0.997 | |
| W2N3 | 30.59 | 4.41 | 2.71 | 21.91 | 0.97 | 38.88 | 0.997 | |
| W2N4 | 28.31 | 4.76 | 2.86 | 21.82 | 1.01 | 36.85 | 0.999 | |
| Treatment | The Lower Limit of Irrigation | Nitrogen Fertilizer Amount in Each Experiment Year (kg⸱ha−1) |
|---|---|---|
| W1N1 | 55%FC | 0 |
| W1N2 | 55%FC | 120 |
| W1N3 | 55%FC | 240 |
| W1N4 | 55%FC | 360 |
| W2N1 | 75%FC | 0 |
| W2N2 | 75%FC | 120 |
| W2N3 | 75%FC | 240 |
| W2N4 | 75%FC | 360 |
Disclaimer/Publisher’s Note: The statements, opinions and data contained in all publications are solely those of the individual author(s) and contributor(s) and not of MDPI and/or the editor(s). MDPI and/or the editor(s) disclaim responsibility for any injury to people or property resulting from any ideas, methods, instructions or products referred to in the content. |
© 2024 by the authors. Licensee MDPI, Basel, Switzerland. This article is an open access article distributed under the terms and conditions of the Creative Commons Attribution (CC BY) license (https://creativecommons.org/licenses/by/4.0/).
Share and Cite
Li, X.; Li, S.; Qiang, X.; Yu, Z.; Sun, Z.; Wang, R.; He, J.; Han, L.; Li, Q. Effects of Water and Nitrogen Regulation on Apple Tree Growth, Yield, Quality, and Their Water and Nitrogen Utilization Efficiency. Plants 2024, 13, 2404. https://doi.org/10.3390/plants13172404
Li X, Li S, Qiang X, Yu Z, Sun Z, Wang R, He J, Han L, Li Q. Effects of Water and Nitrogen Regulation on Apple Tree Growth, Yield, Quality, and Their Water and Nitrogen Utilization Efficiency. Plants. 2024; 13(17):2404. https://doi.org/10.3390/plants13172404
Chicago/Turabian StyleLi, Xingqiang, Siqi Li, Xiaolin Qiang, Zhao Yu, Zhaojun Sun, Rong Wang, Jun He, Lei Han, and Qian Li. 2024. "Effects of Water and Nitrogen Regulation on Apple Tree Growth, Yield, Quality, and Their Water and Nitrogen Utilization Efficiency" Plants 13, no. 17: 2404. https://doi.org/10.3390/plants13172404
APA StyleLi, X., Li, S., Qiang, X., Yu, Z., Sun, Z., Wang, R., He, J., Han, L., & Li, Q. (2024). Effects of Water and Nitrogen Regulation on Apple Tree Growth, Yield, Quality, and Their Water and Nitrogen Utilization Efficiency. Plants, 13(17), 2404. https://doi.org/10.3390/plants13172404
