Photosynthetic Response to Phosphorus Fertilization in Drought-Stressed Common Beech and Sessile Oak from Different Provenances
Abstract
1. Introduction
- to examine the effects of drought, phosphorus fertilization and provenance on the photosynthesis of common beech and sessile oak;
- to determine how phosphorus fertilization under drought conditions affects the stomatal and non-stomatal control of net photosynthetic CO2 assimilation in common beech and sessile oak;
- to examine the differentiation in photosynthetic performance in common beech and sessile oak provenances.
2. Results
2.1. Soil Water Conditions
2.2. Leaf Phosphorus Concentrations
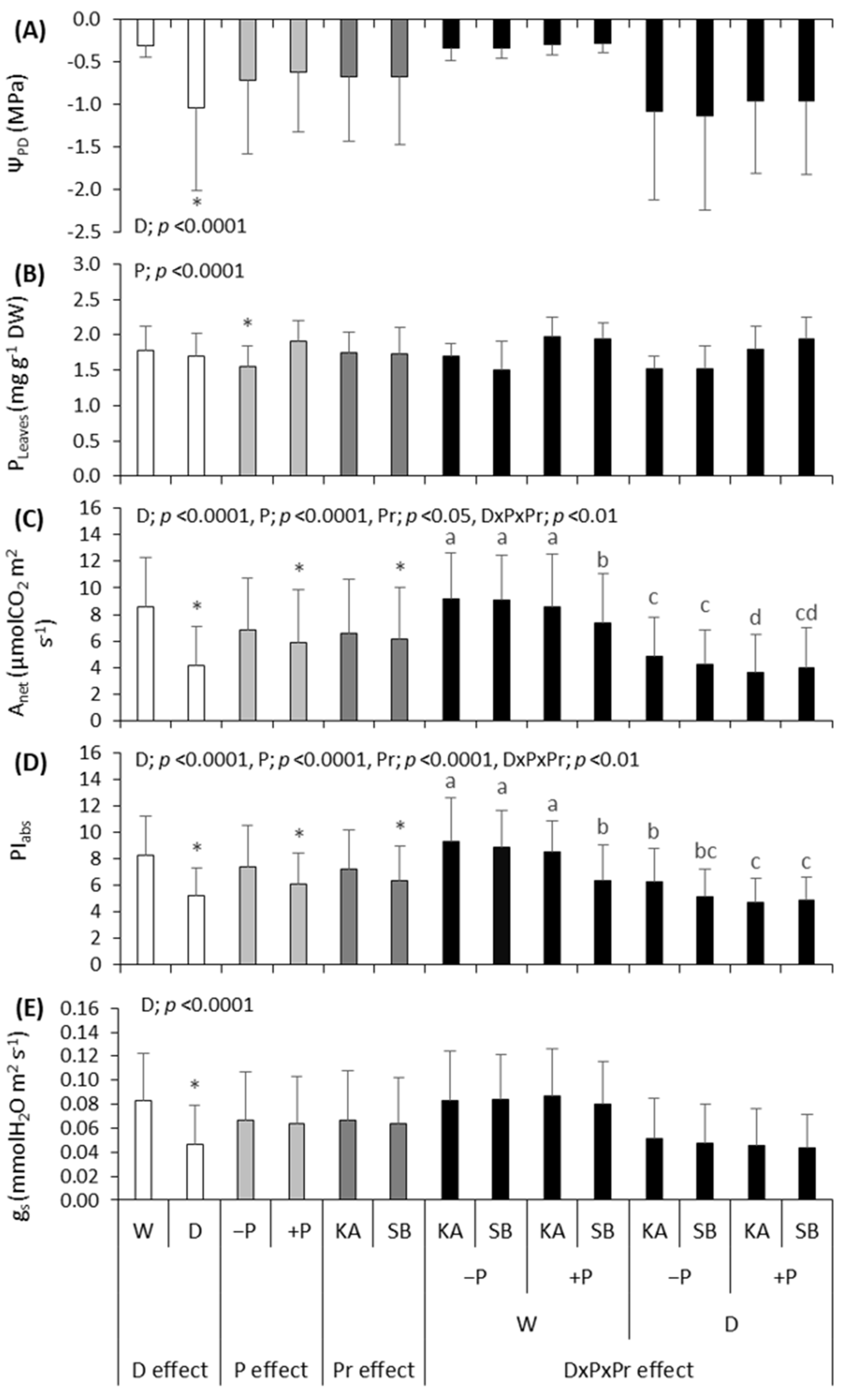
2.3. Sessile Oak Responses to Applied Effects
2.4. The Response of Photosynthetic Performance Parameters to Decreasing Leaf Water Potentials in Fertilized and Non-Fertilized Common Beech Saplings
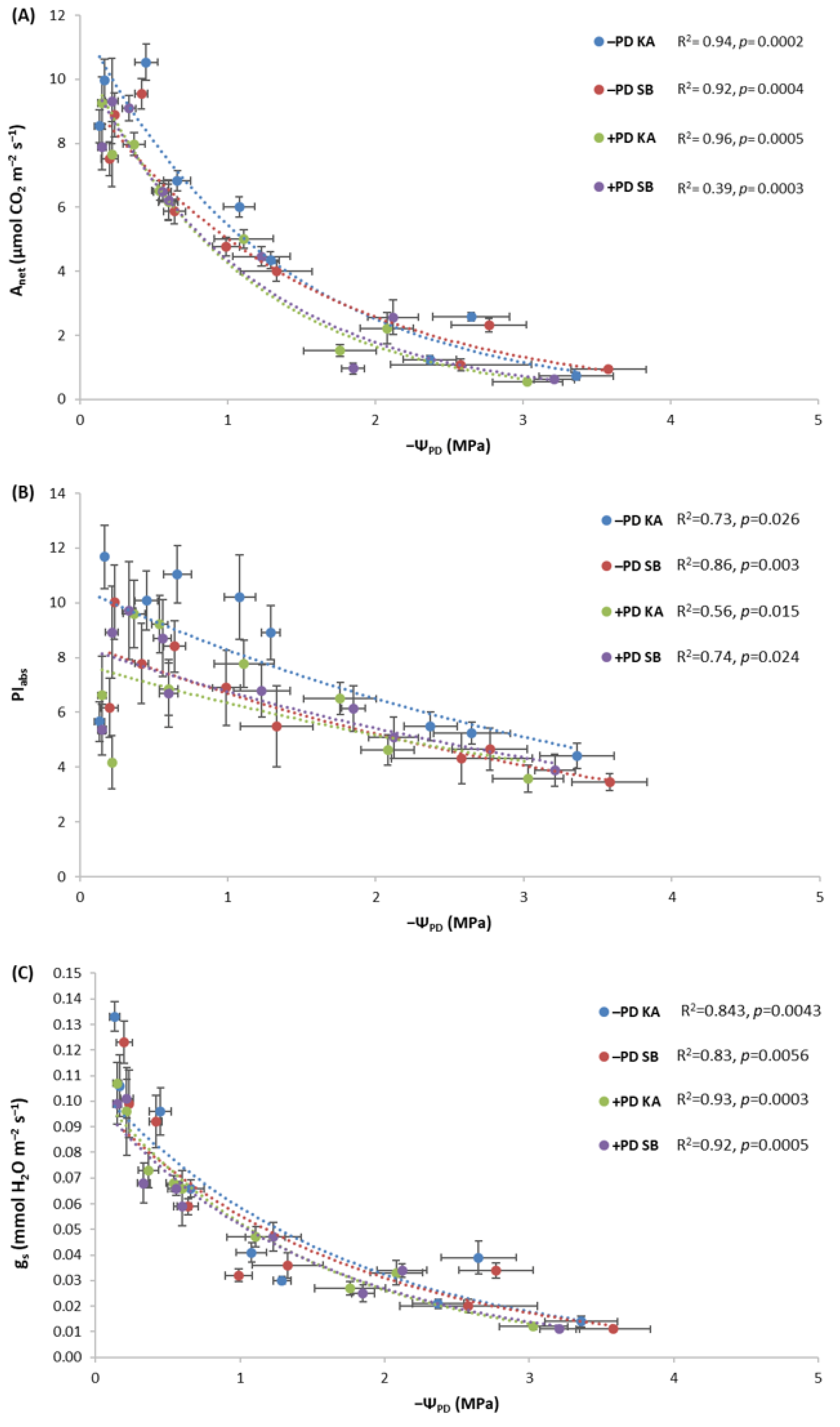
2.5. The Response of Photosynthetic Performance Parameters to Decreasing Leaf Water Potentials in Fertilized and Non-Fertilized Sessile Oak Saplings
3. Discussion
3.1. Effect of Drought on the Photosynthesis of Common Beech and Sessile Oak
3.2. Effect of Phosphorus Fertilization on the Photosynthesis of Common Beech and Sessile Oak
3.3. Effect of Provenance and Drought × Phosphorus Fertilization × Provenance Interaction on the Photosynthesis of Common Beech and Sessile Oak
4. Materials and Methods
4.1. Plant Material and Provenance Local Habitat Conditions
4.2. Experimental Design and Growth Conditions
4.3. Soil Water Content
4.4. Measurements of Net Photosynthesis, Stomatal Conductance, Chlorophyll Fluorescence and Leaf Water Potential
4.5. Leaf Phosphorus Concentrations
4.6. Statistical Analysis
5. Conclusions
Author Contributions
Funding
Data Availability Statement
Conflicts of Interest
References
- Arend, M.; Kuster, T.; Gunthardt-Goerg, M.S.; Dobbertin, M. Provenance-Specific Growth Responses to Drought and Air Warming in Three European Oak Species (Quercus robur, Q. petraea and Q. pubescens). Tree Physiol. 2011, 31, 287–297. [Google Scholar] [CrossRef] [PubMed]
- Günthardt-Goerg, M.S.; Kuster, T.M.; Arend, M.; Vollenweider, P. Foliage Response of Young Central European Oaks to Air Warming, Drought and Soil Type. Plant Biol. 2013, 15, 185–197. [Google Scholar] [CrossRef]
- Polle, A.; Chen, S.L.; Eckert, C.; Harfouche, A. Engineering Drought Resistance in Forest Trees. Front. Plant Sci. 2019, 9, 1875. [Google Scholar] [CrossRef] [PubMed]
- Gessler, A.; Bottero, A.; Marshall, J.; Arend, M. The Way Back: Recovery of Trees from Drought and Its Implication for Acclimation. New Phytol. 2020, 228, 1704–1709. [Google Scholar] [CrossRef] [PubMed]
- Gessler, A.; Bächli, L.; Rouholahnejad Freund, E.; Treydte, K.; Schaub, M.; Haeni, M.; Weiler, M.; Seeger, S.; Marshall, J.; Hug, C.; et al. Drought Reduces Water Uptake in Beech from the Drying Topsoil, but No Compensatory Uptake Occurs from Deeper Soil Layers. New Phytol. 2022, 233, 194–206. [Google Scholar] [CrossRef]
- Li, T.; Guo, L.; He, B.; Liu, L.; Yuan, W.; Chen, X.; Hao, X.; Liu, X.; Zheng, H.; Zheng, H.; et al. The Forest Resistance to Droughts Differentiated by Tree Height in Central Europe. JGR Biogeosci. 2023, 128, e2021JG006668. [Google Scholar] [CrossRef]
- Signarbieux, C.; Feller, U. Non-Stomatal Limitations of Photosynthesis in Grassland Species under Artificial Drought in the Field. Environ. Exp. Bot. 2011, 71, 192–197. [Google Scholar] [CrossRef]
- Luo, H.; Merope, T.; Zhang, Y.; Zhang, W. Combining Gas Exchange and Chlorophyll a Fluorescence Measurements to Analyze the Photosynthetic Activity of Drip-Irrigated Cotton under Different Soil Water Deficits. J. Integr. Agric. 2016, 15, 1256–1266. [Google Scholar] [CrossRef]
- Rohner, B.; Kumar, S.; Liechti, K.; Gessler, A.; Ferretti, M. Tree Vitality Indicators Revealed a Rapid Response of Beech Forests to the 2018 Drought. Ecol. Indic. 2021, 120, 106903. [Google Scholar] [CrossRef]
- Galle, A.; Esper, J.; Feller, U.; Ribas-Carbo, M.; Fonti, P. Responses of Wood Anatomy and Carbon Isotope Composition of Quercus pubescens Saplings Subjected to Two Consecutive Years of Summer Drought. Ann. For. Sci. 2010, 67, 809. [Google Scholar] [CrossRef]
- Wiley, E. Do Carbon Reserves Increase Tree Survival during Stress and Following Disturbance? Curr. For. Rep. 2020, 6, 14–25. [Google Scholar] [CrossRef]
- Hagedorn, F.; Joseph, J.; Peter, M.; Luster, J.; Pritsch, K.; Geppert, U.; Kerner, R.; Molinier, V.; Egli, S.; Schaub, M.; et al. Recovery of Trees from Drought Depends on Belowground Sink Control. Nat. Plants 2016, 2, 16111. [Google Scholar] [CrossRef] [PubMed]
- Torun, H.; Cocozza, C.; Petrík, P.; Stojnic, S. Editorial: Combined Abiotic Interactions in Woody Plants. Front. Plant Sci. 2024, 15, 1455459. [Google Scholar] [CrossRef] [PubMed]
- Netzer, F.; Thöm, C.; Celepirovic, N.; Ivankovic, M.; Alfarraj, S.; Dounavi, A.; Simon, J.; Herschbach, C.; Rennenberg, H. Drought Effects on C, N, and P Nutrition and the Antioxidative System of Beech Seedlings Depend on Geographic Origin. J. Plant Nutr. Soil Sci. 2016, 179, 135–150. [Google Scholar] [CrossRef]
- Wu, Z.Z.; Ying, Y.Q.; Zhang, Y.B.; Bi, Y.F.; Wang, A.K.; Du, X.H. Alleviation of Drought Stress in Phyllostachys Edulis by N and P Application. Sci. Rep. 2018, 8, 228. [Google Scholar] [CrossRef] [PubMed]
- Xu, Z.; Zou, D.; Gao, K. Effects of Elevated CO2 and Phosphorus Supply on Growth, Photosynthesis and Nutrient Uptake in the Marine Macroalga Gracilaria lemaneiformis (Rhodophyta). Bot. Mar. 2010, 53, 123–129. [Google Scholar] [CrossRef]
- Stojnić, S.; Suchocka, M.; Benito-Garzón, M.; Torres-Ruiz, J.M.; Cochard, H.; Bolte, A.; Cocozza, C.; Cvjetković, B.; De Luis, M.; Martinez-Vilalta, J.; et al. Variation in Xylem Vulnerability to Embolism in European Beech from Geographically Marginal Populations. Tree Physiol. 2018, 38, 173–185. [Google Scholar] [CrossRef] [PubMed]
- Ganthaler, A.; Guggenberger, A.; Stöggl, W.; Kranner, I.; Mayr, S. Elevated Nutrient Supply Can Exert Worse Effects on Norway Spruce than Drought, Viewed through Chemical Defence against Needle Rust. Tree Physiol. 2023, 43, 1745–1757. [Google Scholar] [CrossRef]
- Ouyang, S.; Tie, L.; Saurer, M.; Bose, A.K.; Duan, H.; Li, M.; Xu, X.; Shen, W.; Gessler, A. Divergent Role of Nutrient Availability in Determining Drought Responses of Sessile Oak and Scots Pine Seedlings: Evidence from 13C and 15N Dual Labeling. Tree Physiol. 2023, 44, tpad105. [Google Scholar] [CrossRef]
- Clausing, S.; Pena, R.; Song, B.; Müller, K.; Mayer-Gruner, P.; Marhan, S.; Grafe, M.; Schulz, S.; Krüger, J.; Lang, F.; et al. Carbohydrate Depletion in Roots Impedes Phosphorus Nutrition in Young Forest Trees. New Phytol. 2021, 229, 2611–2624. [Google Scholar] [CrossRef] [PubMed]
- Liu, C.; Wang, Y.; Jin, Y.; Pan, K.; Zhou, X.; Li, N. Photoprotection Regulated by Phosphorus Application Can Improve Photosynthetic Performance and Alleviate Oxidative Damage in Dwarf Bamboo Subjected to Water Stress. Plant Physiol. Biochem. 2017, 118, 88–97. [Google Scholar] [CrossRef]
- Zhang, H.; Shi, L.; Lu, H.; Shao, Y.; Liu, S.; Fu, S. Drought Promotes Soil Phosphorus Transformation and Reduces Phosphorus Bioavailability in a Temperate Forest. Sci. Total Environ. 2020, 732, 139295. [Google Scholar] [CrossRef]
- Liu, C.; Wang, Y.; Pan, K.; Jin, Y.; Li, W.; Zhang, L. Effects of Phosphorus Application on Photosynthetic Carbon and Nitrogen Metabolism, Water Use Efficiency and Growth of Dwarf Bamboo (Fargesia rufa) Subjected to Water Deficit. Plant Physiol. Biochem. 2015, 96, 20–28. [Google Scholar] [CrossRef]
- Tariq, A.; Pan, K.; Olatunji, O.A.; Graciano, C.; Li, Z.; Sun, F.; Zhang, L.; Wu, X.; Chen, W.; Song, D.; et al. Phosphorous Fertilization Alleviates Drought Effects on Alnus cremastogyne by Regulating Its Antioxidant and Osmotic Potential. Sci. Rep. 2018, 8, 5644. [Google Scholar] [CrossRef]
- Tariq, A.; Pan, K.; Olatunji, O.A.; Graciano, C.; Li, Z.; Li, N.; Song, D.; Sun, F.; Wu, X.; Dakhil, M.A.; et al. Impact of Phosphorus Application on Drought Resistant Responses of Eucalyptus grandis Seedlings. Physiol. Plant. 2019, 166, 894–908. [Google Scholar] [CrossRef]
- Chea, L.; Meijide, A.; Meinen, C.; Pawelzik, E.; Naumann, M. Cultivar-Dependent Responses in Plant Growth, Leaf Physiology, Phosphorus Use Efficiency, and Tuber Quality of Potatoes Under Limited Phosphorus Availability Conditions. Front. Plant Sci. 2021, 12, 723862. [Google Scholar] [CrossRef]
- Waraich, E.A.; Ahmad, R.; Saifullah; Ashraf, M.Y.; Ehsanullah. Role of mineral nutrition in alleviation of drought stress in plants. Aust. J. Crop Sci. 2011, 5, 764–777. [Google Scholar]
- Wang, F.; Israel, D.; Ramírez-Valiente, J.-A.; Sánchez-Gómez, D.; Aranda, I.; Aphalo, P.J.; Robson, T.M. Seedlings from Marginal and Core Populations of European Beech (Fagus sylvatica L.) Respond Differently to Imposed Drought and Shade. Trees 2021, 35, 53–67. [Google Scholar] [CrossRef]
- Cocozza, C.; De Miguel, M.; Pšidová, E.; Ditmarová, L.; Marino, S.; Maiuro, L.; Alvino, A.; Czajkowski, T.; Bolte, A.; Tognetti, R. Variation in Ecophysiological Traits and Drought Tolerance of Beech (Fagus sylvatica L.) Seedlings from Different Populations. Front. Plant Sci. 2016, 7, 886. [Google Scholar] [CrossRef]
- Brodribb, T.J.; Powers, J.; Cochard, H.; Choat, B. Hanging by a Thread? Forests and Drought. Science 2020, 368, 261–266. [Google Scholar] [CrossRef]
- McDowell, N.; Pockman, W.T.; Allen, C.D.; Breshears, D.D.; Cobb, N.; Kolb, T.; Plaut, J.; Sperry, J.; West, A.; Williams, D.G.; et al. Mechanisms of Plant Survival and Mortality during Drought: Why Do Some Plants Survive While Others Succumb to Drought? New Phytol. 2008, 178, 719–739. [Google Scholar] [CrossRef] [PubMed]
- Pretzsch, H.; Bielak, K.; Block, J.; Bruchwald, A.; Dieler, J.; Ehrhart, H.-P.; Kohnle, U.; Nagel, J.; Spellmann, H.; Zasada, M.; et al. Productivity of Mixed versus Pure Stands of Oak (Quercus petraea (Matt.) Liebl. and Quercus robur L.) and European Beech (Fagus sylvatica L.) along an Ecological Gradient. Eur. J. For. Res. 2013, 132, 263–280. [Google Scholar] [CrossRef]
- Arend, M.; Brem, A.; Kuster, T.M.; Günthardt-Goerg, M.S. Seasonal Photosynthetic Responses of European Oaks to Drought and Elevated Daytime Temperature. Plant Biol. 2013, 15, 169–176. [Google Scholar] [CrossRef] [PubMed]
- Kuster, T.M.; Arend, M.; Günthardt-Goerg, M.S.; Schulin, R. Root Growth of Different Oak Provenances in Two Soils under Drought Stress and Air Warming Conditions. Plant Soil 2013, 369, 61–71. [Google Scholar] [CrossRef]
- Mette, T.; Dolos, K.; Meinardus, C.; Bräuning, A.; Reineking, B.; Blaschke, M.; Pretzsch, H.; Beierkuhnlein, C.; Gohlke, A.; Wellstein, C. Climatic Turning Point for Beech and Oak under Climate Change in Central Europe. Ecosphere 2013, 4, 00115.1. [Google Scholar] [CrossRef]
- Yang, N.; Zavišić, A.; Pena, R.; Polle, A. Phenology, Photosynthesis, and Phosphorus in European Beech (Fagus sylvatica L.) in Two Forest Soils with Contrasting P Contents. J. Plant Nutr. Soil Sci. 2016, 179, 151–158. [Google Scholar] [CrossRef]
- Netzer, F.; Herschbach, C.; Oikawa, A.; Okazaki, Y.; Dubbert, D.; Saito, K.; Rennenberg, H. Seasonal Alterations in Organic Phosphorus Metabolism Drive the Phosphorus Economy of Annual Growth in F. sylvatica Trees on P-Impoverished Soil. Front. Plant Sci. 2018, 9, 723. [Google Scholar] [CrossRef] [PubMed]
- Meller, S.; Frossard, E.; Luster, J. Phosphorus Allocation to Leaves of Beech Saplings Reacts to Soil Phosphorus Availability. Front. Plant Sci. 2019, 10, 744. [Google Scholar] [CrossRef] [PubMed]
- Yang, F.; Magh, R.-K.; Ivanković, M.; Lanšćak, M.; Haberstroh, S.; Du, B.; Dannenmann, M.; Rennenberg, H.; Herschbach, C. Foliar P Nutrition of European Beech (Fagus sylvatica L.) Depends on the Season but Remains Unaffected by Co-Cultivation with Silver Fir (Abies Alba Mill.). Eur. J. For. Res. 2020, 139, 853–868. [Google Scholar] [CrossRef]
- Newnham, R.M.; Carlisle, A. The Nitrogen and Phosphorus Nutrition of Seedlings of Quercus robur L. and Q. Petraea (Mattuschka) Liebl. J. Ecol. 1969, 57, 271. [Google Scholar] [CrossRef]
- Vukmirović, A.; Škvorc, Ž.; Bogdan, S.; Krstonošić, D.; Katičić Bogdan, I.; Karažija, T.; Bačurin, M.; Brener, M.; Sever, K. Effects of Drought, Phosphorus Fertilization and Provenance on the Growth of Common Beech and Sessile Oak. Forests 2024, 15, 219. [Google Scholar] [CrossRef]
- Bačurin, M.; Bogdan, S.; Katičić Bogdan, I.; Sever, K. Leaf Phenological Responses of Juvenile Beech and Oak Provenances to Elevated Phosphorus. Forests 2023, 14, 834. [Google Scholar] [CrossRef]
- Hacket-Pain, A.J.; Cavin, L.; Friend, A.D.; Jump, A.S. Consistent Limitation of Growth by High Temperature and Low Precipitation from Range Core to Southern Edge of European Beech Indicates Widespread Vulnerability to Changing Climate. Eur. J. For. Res. 2016, 135, 897–909. [Google Scholar] [CrossRef]
- Spinoni, J.; Vogt, J.V.; Naumann, G.; Barbosa, P.; Dosio, A. Will Drought Events Become More Frequent and Severe in Europe? Intl. J. Climatol. 2018, 38, 1718–1736. [Google Scholar] [CrossRef]
- Mellert, K.H.; Göttlein, A. Comparison of New Foliar Nutrient Thresholds Derived from van Den Burg’s Literature Compilation with Established Central European References. Eur. J. For. Res. 2012, 131, 1461–1472. [Google Scholar] [CrossRef]
- Gallé, A.; Feller, U. Changes of Photosynthetic Traits in Beech Saplings (Fagus sylvatica) under Severe Drought Stress and during Recovery. Physiol. Plant. 2007, 131, 412–421. [Google Scholar] [CrossRef]
- Zang, U.; Goisser, M.; Häberle, K.; Matyssek, R.; Matzner, E.; Borken, W. Effects of Drought Stress on Photosynthesis, Rhizosphere Respiration, and Fine-root Characteristics of Beech Saplings: A Rhizotron Field Study. Z. Pflanzenernähr. Bodenk. 2014, 177, 168–177. [Google Scholar] [CrossRef]
- Aranda, I.; Sánchez-Gómez, D.; Cadahía, E.; De Simón, B.F. Ecophysiological and Metabolic Response Patterns to Drought under Controlled Condition in Open-Pollinated Maternal Families from a Fagus sylvatica L. Population. Environ. Exp. Bot. 2018, 150, 209–221. [Google Scholar] [CrossRef]
- Nadal-Sala, D.; Ruehr, N.K.; Sabaté, S. Overcoming Drought: Life Traits Driving Tree Strategies to Confront Drought Stress. J. Exp. Bot. 2024, 75, 3758–3761. [Google Scholar] [CrossRef] [PubMed]
- Aranda, I.; Gil, L.; Pardos, J.A. Seasonal Changes in Apparent Hydraulic Conductance and Their Implications for Water Use of European Beech (Fagus sylvatica L.) and Sessile Oak [Quercus petraea (Matt.) Liebl] in South Europe. Plant Ecol. 2005, 179, 155–167. [Google Scholar] [CrossRef]
- Flexas, J.; Bota, J.; Escalona, J.M.; Sampol, B.; Medrano, H. Effects of Drought on Photosynthesis in Grapevines under Field Conditions: An Evaluation of Stomatal and Mesophyll Limitations. Funct. Plant Biol. 2002, 29, 461. [Google Scholar] [CrossRef]
- Iqbal, A.; Huiping, G.; Qiang, D.; Xiangru, W.; Hengheng, Z.; Xiling, Z.; Meizhen, S. Differential Responses of Contrasting Low Phosphorus Tolerant Cotton Genotypes under Low Phosphorus and Drought Stress. BMC Plant Biol. 2023, 23, 168. [Google Scholar] [CrossRef]
- Fahad, S.; Bajwa, A.A.; Nazir, U.; Anjum, S.A.; Farooq, A.; Zohaib, A.; Sadia, S.; Nasim, W.; Adkins, S.; Saud, S.; et al. Crop Production under Drought and Heat Stress: Plant Responses and Management Options. Front. Plant Sci. 2017, 8, 1147. [Google Scholar] [CrossRef]
- Chtouki, M.; Laaziz, F.; Naciri, R.; Garré, S.; Nguyen, F.; Oukarroum, A. Interactive Effect of Soil Moisture Content and Phosphorus Fertilizer Form on Chickpea Growth, Photosynthesis, and Nutrient Uptake. Sci. Rep. 2022, 12, 6671. [Google Scholar] [CrossRef] [PubMed]
- Pilon, C.; Snider, J.L.; Sobolev, V.; Chastain, D.R.; Sorensen, R.B.; Meeks, C.D.; Massa, A.N.; Walk, T.; Singh, B.; Earl, H.J. Assessing Stomatal and Non-Stomatal Limitations to Carbon Assimilation under Progressive Drought in Peanut (Arachis hypogaea L.). J. Plant Physiol. 2018, 231, 124–134. [Google Scholar] [CrossRef] [PubMed]
- Tariq, A.; Pan, K.; Olatunji, O.A.; Graciano, C.; Li, Z.; Sun, F.; Sun, X.; Song, D.; Chen, W.; Zhang, A.; et al. Phosphorous Application Improves Drought Tolerance of Phoebe Zhennan. Front. Plant Sci. 2017, 8, 1561. [Google Scholar] [CrossRef]
- Takagi, D.; Miyagi, A.; Tazoe, Y.; Suganami, M.; Kawai-Yamada, M.; Ueda, A.; Suzuki, Y.; Noguchi, K.; Hirotsu, N.; Makino, A. Phosphorus Toxicity Disrupts Rubisco Activation and Reactive Oxygen Species Defence Systems by Phytic Acid Accumulation in Leaves. Plant Cell Environ. 2020, 43, 2033–2053. [Google Scholar] [CrossRef]
- Ben Hamed, S.; Lefi, E.; Chaieb, M. Effect of Phosphorus Concentration on the Photochemical Stability of PSII and CO2 Assimilation in Pistacia vera L. and Pistacia atlantica Desf. Plant Physiol. Biochem. 2019, 142, 283–291. [Google Scholar] [CrossRef] [PubMed]
- Gessler, A.; Schaub, M.; McDowell, N.G. The Role of Nutrients in Drought-induced Tree Mortality and Recovery. New Phytol. 2017, 214, 513–520. [Google Scholar] [CrossRef] [PubMed]
- Turcsán, A.; Steppe, K.; Sárközi, E.; Erdélyi, É.; Missoorten, M.; Mees, G.; Mijnsbrugge, K.V. Early Summer Drought Stress During the First Growing Year Stimulates Extra Shoot Growth in Oak Seedlings (Quercus petraea). Front. Plant Sci. 2016, 7, 193. [Google Scholar] [CrossRef]
- Prigoliti, M.; Chiofalo, M.T.; Petruzzellis, F.; Lo Gullo, M.A.; Trifilò, P. Ecophysiological Behavior of Fagus sylvatica L. Growing at Its Southern Distribution Limit: Insights for Understanding the Fate of the European Beech under Warmer and Dryer Growth Conditions. Forests 2023, 14, 2058. [Google Scholar] [CrossRef]
- Sever, K.; Vukmirović, A.; Hodak, L.; Bogdan, S.; Katičić Bogdan, I.; Krstonošić, D.; Karažija, T.; Franjić, J.; Škvorc, Ž. Funkcionalna Prilagodba Prirodnog Pomlatka Hrasta Kitnjaka i Obične Bukve na Različite Stanišne Prilike. Šumar. List 2022, 146, 293–307. [Google Scholar] [CrossRef]
- AOAC. Official Methods of Analysis, 17th ed.; Association of Official Analytical Chemists: Washington, DC, USA, 2000. [Google Scholar]






Disclaimer/Publisher’s Note: The statements, opinions and data contained in all publications are solely those of the individual author(s) and contributor(s) and not of MDPI and/or the editor(s). MDPI and/or the editor(s) disclaim responsibility for any injury to people or property resulting from any ideas, methods, instructions or products referred to in the content. |
© 2024 by the authors. Licensee MDPI, Basel, Switzerland. This article is an open access article distributed under the terms and conditions of the Creative Commons Attribution (CC BY) license (https://creativecommons.org/licenses/by/4.0/).
Share and Cite
Vukmirović, A.; Škvorc, Ž.; Bogdan, S.; Krstonošić, D.; Bogdan, I.K.; Karažija, T.; Bačurin, M.; Brener, M.; Sever, K. Photosynthetic Response to Phosphorus Fertilization in Drought-Stressed Common Beech and Sessile Oak from Different Provenances. Plants 2024, 13, 2270. https://doi.org/10.3390/plants13162270
Vukmirović A, Škvorc Ž, Bogdan S, Krstonošić D, Bogdan IK, Karažija T, Bačurin M, Brener M, Sever K. Photosynthetic Response to Phosphorus Fertilization in Drought-Stressed Common Beech and Sessile Oak from Different Provenances. Plants. 2024; 13(16):2270. https://doi.org/10.3390/plants13162270
Chicago/Turabian StyleVukmirović, Antonia, Željko Škvorc, Saša Bogdan, Daniel Krstonošić, Ida Katičić Bogdan, Tomislav Karažija, Marko Bačurin, Magdalena Brener, and Krunoslav Sever. 2024. "Photosynthetic Response to Phosphorus Fertilization in Drought-Stressed Common Beech and Sessile Oak from Different Provenances" Plants 13, no. 16: 2270. https://doi.org/10.3390/plants13162270
APA StyleVukmirović, A., Škvorc, Ž., Bogdan, S., Krstonošić, D., Bogdan, I. K., Karažija, T., Bačurin, M., Brener, M., & Sever, K. (2024). Photosynthetic Response to Phosphorus Fertilization in Drought-Stressed Common Beech and Sessile Oak from Different Provenances. Plants, 13(16), 2270. https://doi.org/10.3390/plants13162270

