Anthracene-Induced Alterations in Liverwort Architecture In Vitro: Potential for Bioindication of Environmental Pollution
Abstract
1. Introduction
2. Results
2.1. Gemma Germination
2.2. Plant Growth and Morpho-Architectural Traits
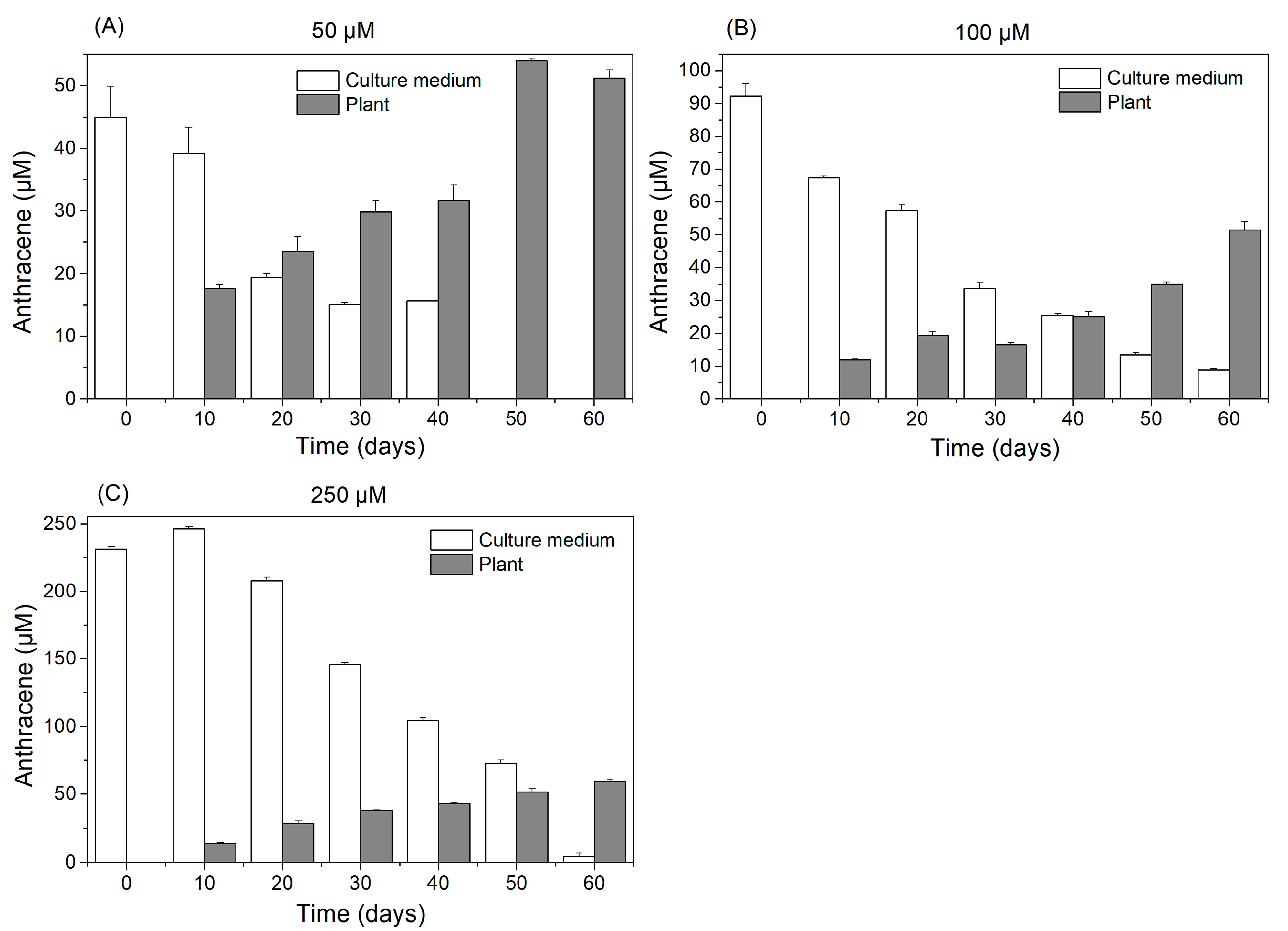
2.3. Evaluation of Anthracene over Time
3. Discussion
4. Conclusions
5. Materials and Methods
5.1. Biological Material
5.2. Chemicals and Reagents
5.3. Gemma Germination
5.4. Plant Growth and Morpho-Architectural Traits
5.5. Evaluation of Anthracene over Time
5.6. Data Analysis
Author Contributions
Funding
Data Availability Statement
Acknowledgments
Conflicts of Interest
References
- Idowu, O.; Semple, K.T.; Ramadass, K.; O’Connor, W.; Hansbro, P.; Thavamani, P. Beyond the obvious: Environmental health implications of polar polycyclic aromatic hydrocarbons. Environ. Int. 2019, 123, 543–557. [Google Scholar] [CrossRef] [PubMed]
- Naidu, R.; Biswas, B.; Willett, I.R.; Cribb, J.; Singh, B.K.; Nathanail, C.P.; Coulon, F.; Semple, K.T.; Jones, K.C.; Barclay, A.; et al. Chemical pollution: A growing peril and potential catastrophic risk to humanity. Environ. Int. 2021, 156, 106616. [Google Scholar] [CrossRef] [PubMed]
- Gao, S.; Sun, C.; Zhang, A. Chapter 5 Pollution of polycyclic aromatic hydrocarbons in China. In Developments in Environmental Science; Li, A., Tanabe, S., Jiang, G., Giesy, J.P., Lam, P.K.S., Eds.; Elsevier: Amsterdam, The Netherlands, 2007; Volume 7, pp. 237–287. [Google Scholar]
- Stańczyk-Mazanek, E.; Stępniak, L.; Kępa, U. Analysis of migration of polycyclic aromatic hydrocarbons from sewage sludge used for fertilization to soils, surface waters, and plants. Water 2019, 11, 1270. [Google Scholar] [CrossRef]
- Qiu, Y.Y.; Gong, Y.X.; Ni, H.G. Contribution of soil erosion to PAHs in surface water in China. Sci. Total Environ. 2019, 686, 497–504. [Google Scholar] [CrossRef] [PubMed]
- Cui, Z.; Wang, Y.; Du, L.; Yu, Y. Contamination level, sources, and health risk of polycyclic aromatic hydrocarbons in suburban vegetable field soils of Changchun, Northeast China. Sci. Rep. 2022, 12, 11301. [Google Scholar] [CrossRef] [PubMed]
- Kuppusamy, S.; Thavamani, P.; Venkateswarlu, K.; Lee, Y.B.; Naidu, R.; Megharaj, M. Remediation approaches for polycyclic aromatic hydrocarbons (PAHs) contaminated soils: Technological constraints, emerging trends and future directions. Chemosphere 2017, 168, 944–968. [Google Scholar] [CrossRef] [PubMed]
- Berrueco, C.; Álvarez, P.; Díez, N.; Granda, M.; Menéndez, R.; Blanco, C.; Smtamaria, R.; Millan, M. Characterization and feasibility as carbon fibre precursors of isotropic pitches derived from anthracene oil. Fuel 2012, 101, 9–15. [Google Scholar] [CrossRef]
- Van Damme, J.; Du Prez, F. Anthracene-containing polymers toward high-end applications. Prog. Polym. Sci. 2018, 82, 92–119. [Google Scholar] [CrossRef]
- León-Borges, J.A.; Lizardi-Jiménez, M.A. Hydrocarbon pollution in underwater sinkholes of the Mexican Caribbean caused by tourism and asphalt: Historical data series and cluster analysis. Tourism Manag. 2017, 63, 179–186. [Google Scholar] [CrossRef]
- Rao, P.S. Anthracene. In Encyclopedia of Toxicology, 3rd ed.; Wexler, P., Ed.; Elsevier: Amsterdam, The Netherlands, 2014; pp. 260–261. [Google Scholar]
- Sunil, D.; Muthamma, K.; Kulkarni, S.D.; Fernandes, R.S.; Dey, N. Barbituric acid derivative as fluorescent pigment in water-based flexographic ink for security applications. Chem. Pap. 2023, 77, 119–127. [Google Scholar] [CrossRef]
- Lipińska, A.; Kucharski, J.; Wyszkowska, J. Activity of phosphatases in soil contaminated with PAHs. Water Air Soil Pollut. 2019, 230, 298. [Google Scholar] [CrossRef]
- Chakravarty, P.; Chowdhury, D.; Deka, H. Ecological risk assessment of priority PAHs pollutants in crude oil contaminated soil and its impacts on soil biological properties. J. Hazard. Mater. 2022, 437, 129325. [Google Scholar] [CrossRef] [PubMed]
- Gawryluk, A.; Stępniowska, A.; Lipińska, H. Effect of soil contamination with polycyclic aromatic hydrocarbons from drilling waste on germination and growth of lawn grasses. Ecotoxicol. Environ. Saf. 2022, 236, 113492. [Google Scholar] [CrossRef] [PubMed]
- Somtrakoon, K.; Sangdee, A.; Chouychai, W. Effect of Streptomyces sp. St1 on growth of and potential to stimulate anthracene removal by sunn hemp (Crotalaria juncea) grown in anthracene-contaminated soil. Songklanakarin J. Sci. Technol. 2021, 43, 615. [Google Scholar]
- Jajoo, A. Effects of environmental pollutants polycyclic aromatic hydrocarbons (PAH) on photosynthetic processes. In Photosynthesis: Structures, Mechanisms, and Applications; Hou, H., Najafpour, M., Moore, G., Allakhverdiev, S., Eds.; Springer: Cham, Switzerland; New York, NY, USA, 2017; pp. 249–259. [Google Scholar]
- Tomar, R.S.; Singh, B.; Jajoo, A. Effects of organic pollutants on photosynthesis. In Photosynthesis, Productivity and Environmental Stress; Ahmad, P., Abass Ahanger, M., Nasser Alyemeni, M., Alam, P., Eds.; John Wiley & Sons Ltd.: Chichester, UK, 2019; pp. 1–26. [Google Scholar]
- Kaur, H.; Kaur, R.; Manchanda, G.; Bindra, S.; Sharma, A. Screening of Cicer arietinum L. genotypes under combined presence of NaCl and anthracene using membership function value of stress tolerance. Plant Gene 2022, 31, 100371. [Google Scholar] [CrossRef]
- Spinedi, N.; Rojas, N.; Storb, R.; Cabrera, J.; Aranda, E.; Salierno, M.; Svriz, M.; Scervino, J.M. Exploring the response of Marchantia polymorpha: Growth, morphology and chlorophyll content in the presence of anthracene. Plant Physiol. Biochem. 2019, 135, 570–574. [Google Scholar] [CrossRef]
- Spinedi, N.; Storb, R.; Aranda, E.; Romani, F.; Svriz, M.; Varela, S.A.; Moreno, J.E.; Fracchia, S.; Cabrera, J.; Batista-García, R.A.; et al. Ros-scavenging enzymes as an antioxidant response to high concentration of anthracene in the liverwort Marchantia polymorpha L. Plants 2021, 10, 1478. [Google Scholar] [CrossRef] [PubMed]
- Storb, R.; Spinedi, N.; Aranda, E.; Fracchia, S.; Scervino, J.M. Respuesta fisiológica de Lunularia cruciata (phylum Marchantiophyta) a la presencia del hidrocarburo aromático policíclico antraceno. Bull. Soc. Argent. Bot. 2021, 56, 479–487. [Google Scholar] [CrossRef]
- Shimamura, M. Marchantia polymorpha: Taxonomy, Phylogeny and Morphology of a Model System. Plant Cell Physiol. 2016, 57, 230–256. [Google Scholar] [CrossRef]
- Streubel, S.; Deiber, S.; Rötzer, J.; Mosiolek, M.; Jandrasits, K.; Dolan, L. Meristem dormancy in Marchantia polymorpha is regulated by a liverwort-specific miRNA and a clade III SPL gene. Curr. Biol. 2023, 33, 660–674. [Google Scholar] [CrossRef]
- Maresca, V.; Teta, R.; Finamore, C.; Cianciullo, P.; Sorbo, S.; D’Auria, M.V.; Basile, A. Heavy metal stress induces adaptative responses in the liverwort Conocephalum conicum L. (Dum.): An integrated biologic and metabolomic study. Environ. Exp. Bot. 2023, 209, 105292. [Google Scholar] [CrossRef]
- Bellini, E.; Betti, C.; Sanità di Toppi, L. Responses to Cadmium in Early-Diverging Streptophytes (Charophytes and Bryophytes): Current Views and Potential Applications. Plants 2021, 10, 770. [Google Scholar] [CrossRef] [PubMed]
- Fasani, E.; Li, M.; Varotto, C.; Furini, A.; DalCorso, G. Metal detoxification in land plants: From bryophytes to vascular plants. State of the art and opportunities. Plants 2022, 11, 237. [Google Scholar] [CrossRef]
- Li, M.; Leso, M.; Buti, M.; Bellini, E.; Bertoldi, D.; Saba, A.; Larcher, R.; Sanità di Toppi, L.; Varotto, C. Phytochelatin synthase de-regulation in Marchantia polymorpha indicates cadmium detoxification as its primary ancestral function in land plants and provides a novel visual bioindicator for detection of this metal. J. Hazard. Mater. 2022, 440, 129844. [Google Scholar] [CrossRef]
- Holt, E.A.; Miller, S.W. Bioindicators: Using organisms to measure environmental impacts. Nature 2010, 3, 8. [Google Scholar]
- Oishi, Y.; Hiura, T. Bryophytes as bioindicators of the atmospheric environment in urban-forest landscapes. Landsc. Urban Plan. 2017, 167, 348–355. [Google Scholar] [CrossRef]
- Carginale, V.; Sorbo, S.; Capasso, C.; Trinchella, F.; Cafiero, G.; Basile, A. Accumulation, localization, and toxic effects of cadmium in the liverwort Lunularia cruciate. Protoplasma 2004, 223, 53–61. [Google Scholar] [CrossRef]
- Faizan, M.; Alam, P.; Rajput, V.D.; Faraz, A.; Afzal, S.; Ahmed, S.M.; Yu, Y.-F.; Minkina, T.; Hayat, S. Nanoparticle mediated plant tolerance to heavy metal stress: What we know? Sustainability 2023, 15, 1446. [Google Scholar] [CrossRef]
- Liu, T.; Li, T.; Zhang, L.; Li, H.; Liu, S.; Yang, S.; An, Q.; Canping Pan, C.; Zou, N. Exogenous salicylic acid alleviates the accumulation of pesticides and mitigates pesticide-induced oxidative stress in cucumber plants (Cucumis sativus L.). Ecotoxicol. Environ. Saf. 2021, 208, 111654. [Google Scholar] [CrossRef]
- Kottuparambil, S.; Park, J. Anthracene phytotoxicity in the freshwater flagellate alga Euglena agilis Carter. Sci. Rep. 2019, 9, 15323. [Google Scholar] [CrossRef]
- Gabriele, I.; Bianco, F.; Race, M.; Papirio, S.; Esposito, G. Phytoremediation of PAH-and Cu-contaminated soil by Cannabis sativa L.: Preliminary experiments on a laboratory scale. Sustainability 2023, 15, 1852. [Google Scholar] [CrossRef]
- Hu, J.; Chen, J.; Wang, W.; Zhu, L. Mechanism of growth inhibition mediated by disorder of chlorophyll metabolism in rice (Oryza sativa) under the stress of three polycyclic aromatic hydrocarbons. Chemosphere 2023, 329, 138554. [Google Scholar] [CrossRef] [PubMed]
- Burritt, D.J. The polycyclic aromatic hydrocarbon phenanthrene causes oxidative stress and alters polyamine metabolism in the aquatic liverwort Riccia fluitans L. Plant Cell Environ. 2008, 31, 1416–1431. [Google Scholar] [CrossRef]
- Gworek, B.; Klimczak, K.; Kijeńska, M. The relation between polyaromatic hydrocarbon concentration in sewage sludge and its uptake by plants: Phragmites communis, Polygonum persicaria and Bidens tripartita. PLoS ONE 2014, 9, e109548. [Google Scholar] [CrossRef] [PubMed]
- Yang, M.; Luo, F.; Zhang, X.; Wang, X.; Sun, H.; Lou, Z.; Zhou, L.; Chen, Z. Uptake, translocation, and metabolism of anthracene in tea plants. Sci. Total Environ. 2022, 821, 152905. [Google Scholar] [CrossRef] [PubMed]
- González, A.; Vidal, C.; Espinoza, D.; Moenne, A. Anthracene induces oxidative stress and activation of antioxidant and detoxification enzymes in Ulva lactuca (Chlorophyta). Sci. Rep. 2021, 11, 7748. [Google Scholar] [CrossRef] [PubMed]
- Pérez-Hernández, V.; Ventura-Canseco, L.M.C.; Gutiérrez-Miceli, F.A.; Pérez-Hernández, I.; Hernández-Guzmán, M.; Enciso-Sáenz, S. The potential of Mimosa pigra to restore contaminated soil with anthracene and phenanthrene. Terra Latinoam. 2020, 38, 755–769. [Google Scholar] [CrossRef]
- Alves, W.S.; Manoel, E.A.; Santos, N.S.; Nunes, R.O.; Domiciano, G.C.; Soares, M.R. Phytoremediation of polycyclic aromatic hydrocarbons (PAH) by cv. Crioula: A Brazilian alfalfa cultivar. Int. J. Phytoremediat. 2018, 20, 747–755. [Google Scholar] [CrossRef] [PubMed]
- Bécard, G.; Fortin, J.A. Early events of vesicular–arbuscular mycorrhiza formation on Ri T-DNA transformed roots. New Phytol. 1988, 108, 211–218. [Google Scholar] [CrossRef]
- Aranda, E.; Scervino, M.J.; Godoy, P.; Reina, R.; Ocampo, J.A.; Wittich, R.M.; García-Romera, I. Role of arbuscular mycorrhizal fungus Rhizophagus custos in the dissipation of PAHs under root-organ culture conditions. Environ. Pollut. 2013, 181, 182–189. [Google Scholar] [CrossRef]
- Byron, C.M.; Werner, T.C. Experiments in synchronous fluorescence spectroscopy for the undergraduate instrumental chemistry course. J. Chem. Educ. 1991, 68, 433. [Google Scholar] [CrossRef]
- R Development Core Team. R: A Language and Environment for Statistical Computing; R Foundation for Statistical Computing: Vienna, Austria, 2018. [Google Scholar]





| Variables | Treatments | p-Value | |||
|---|---|---|---|---|---|
| 0 µM | 50 µM | 100 µM | 250 µM | ||
| Diameter (mm) | 33.15 ± 2.61 a | 27.85 ± 1.84 ab | 21.56 ± 1.43 bc | 20.53 ± 1.35 c | <0.001 |
| Number reached nodes | 5.22 ± 0.14 | 4.87 ± 0.12 | 4.37 ± 0.26 | 4.2 ± 0.13 | 0.734 |
| Number of tips observed | 29.33 ± 2.10 a | 21.50 ± 1.05 b | 14.37 ± 0.88 c | 14.60 ± 1.09 c | <0.001 |
| Symmetry index | 1.27 ± 0.18 a | 1.51 ± 0.08 a | 2.29 ± 0.17 b | 2.30 ± 0.17 b | <0.001 |
| Diameter/tips observed | 1.13 ± 0.06 a | 1.32 ± 0.12 ab | 1.51 ± 0.07 b | 1.43 ± 0.07 b | 0.027 |
Disclaimer/Publisher’s Note: The statements, opinions and data contained in all publications are solely those of the individual author(s) and contributor(s) and not of MDPI and/or the editor(s). MDPI and/or the editor(s) disclaim responsibility for any injury to people or property resulting from any ideas, methods, instructions or products referred to in the content. |
© 2024 by the authors. Licensee MDPI, Basel, Switzerland. This article is an open access article distributed under the terms and conditions of the Creative Commons Attribution (CC BY) license (https://creativecommons.org/licenses/by/4.0/).
Share and Cite
Svriz, M.; Torres, C.D.; Mongiat, L.; Aranda, E.; Spinedi, N.; Fracchia, S.; Scervino, J.M. Anthracene-Induced Alterations in Liverwort Architecture In Vitro: Potential for Bioindication of Environmental Pollution. Plants 2024, 13, 2060. https://doi.org/10.3390/plants13152060
Svriz M, Torres CD, Mongiat L, Aranda E, Spinedi N, Fracchia S, Scervino JM. Anthracene-Induced Alterations in Liverwort Architecture In Vitro: Potential for Bioindication of Environmental Pollution. Plants. 2024; 13(15):2060. https://doi.org/10.3390/plants13152060
Chicago/Turabian StyleSvriz, Maya, Cristian D. Torres, Lucas Mongiat, Elisabet Aranda, Nahuel Spinedi, Sebastian Fracchia, and José Martín Scervino. 2024. "Anthracene-Induced Alterations in Liverwort Architecture In Vitro: Potential for Bioindication of Environmental Pollution" Plants 13, no. 15: 2060. https://doi.org/10.3390/plants13152060
APA StyleSvriz, M., Torres, C. D., Mongiat, L., Aranda, E., Spinedi, N., Fracchia, S., & Scervino, J. M. (2024). Anthracene-Induced Alterations in Liverwort Architecture In Vitro: Potential for Bioindication of Environmental Pollution. Plants, 13(15), 2060. https://doi.org/10.3390/plants13152060

