Chromosome-Scale, De Novo, Phased Genome Assemblies of Three Australian Limes: Citrus australasica, C. inodora, and C. glauca
Abstract
1. Introduction
2. Results
2.1. Genome Sequencing and De Novo Assembly of Australian Limes
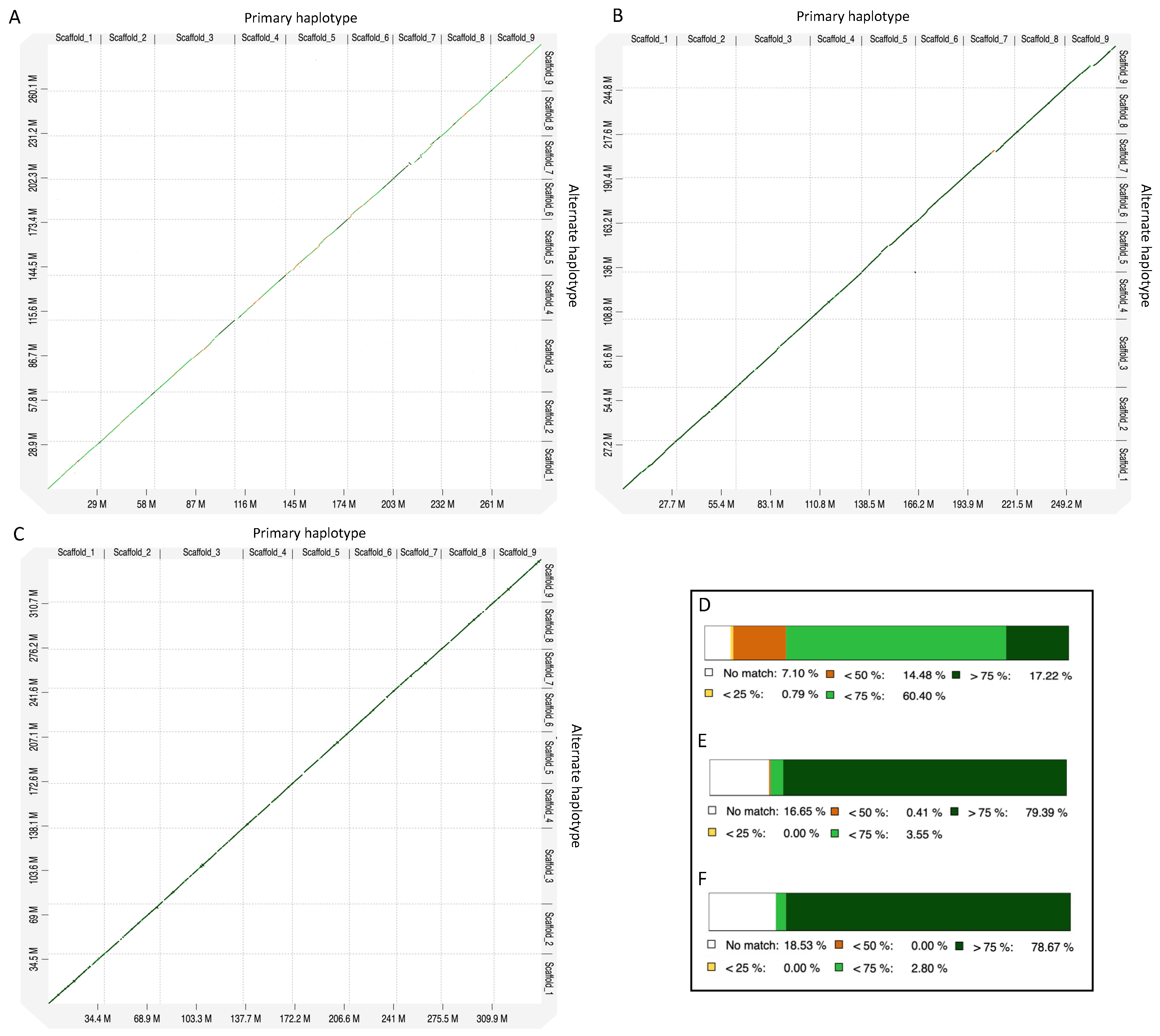
2.2. Genomic Variation between the Primary and Alternate Haplotypes in the Three Australian Limes
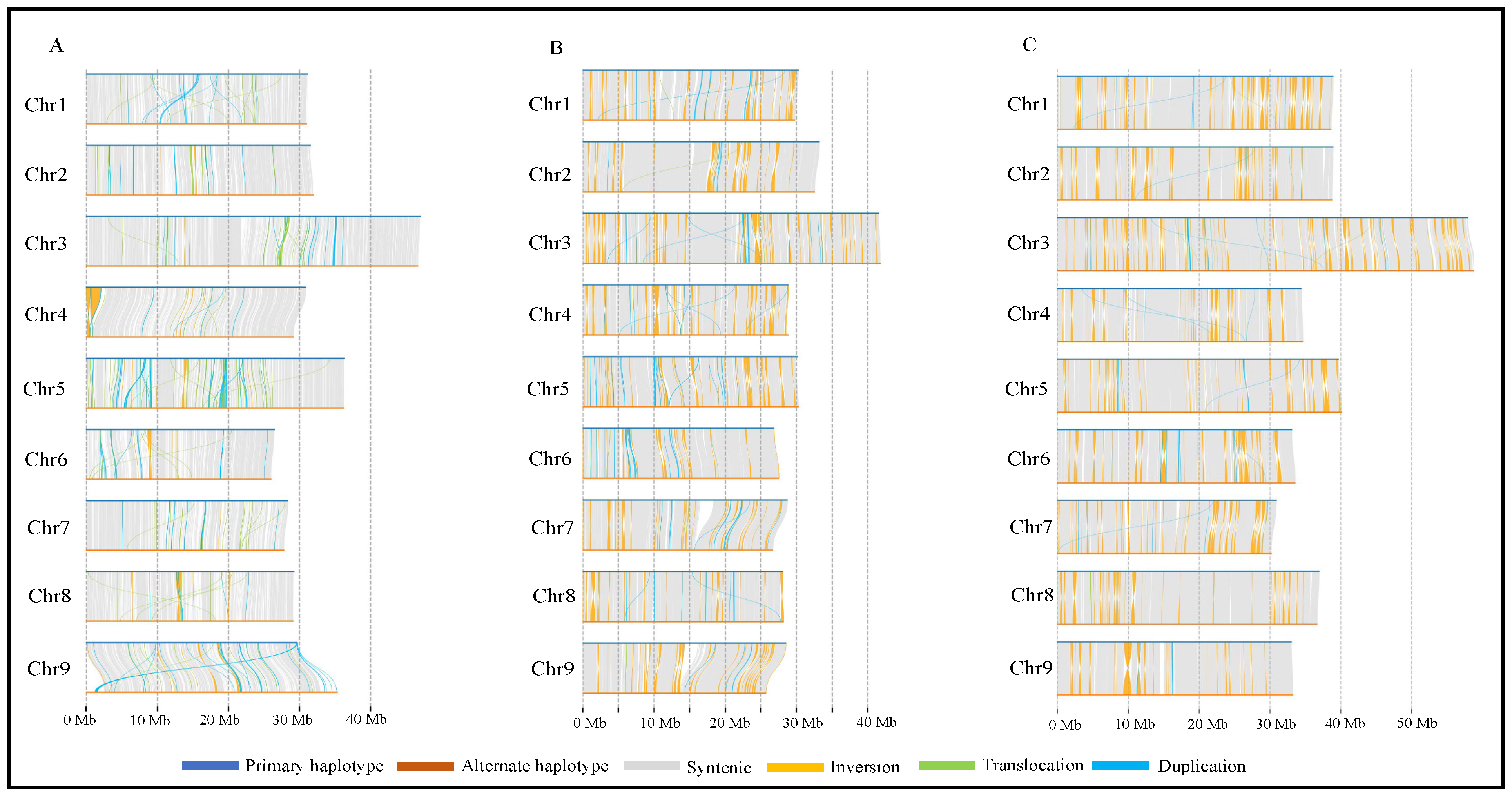
2.3. Syntenic Relationships of the Three Australian Lime Genomes with Reference Genomes
2.4. Divergence of Australian Lime Genomes Compared with Reference Genomes
2.5. Gene Annotations of Australian Lime Genomes
2.6. Identification and Classification of NBS-Based R Genes in Five Citrus Species
2.7. PP2 and Callose Synthase Gene Family Analysis
2.8. Analysis of RNA-Seq Data
3. Discussion
3.1. Characterization of the Three Australian Lime Genomes
3.2. Significant Size Variations between Primary and Alternate Haplotypes of Australian Limes
3.3. Australian Lime Gene Count Is Similar to Other Known Citrus Species
3.4. R Genes Scattered across Nine Chromosomes in Australian Limes
3.5. PP2 and CalS—Proposed Roles in HLB
3.6. De Novo Transcriptome Analysis Unveiled Genes Associated with “Response to Other Organisms”
4. Materials and Methods
4.1. Plant Materials and Sequencing
4.2. Genome Assembly and Chromosome-Scale Scaffold
4.3. BUSCO Score Analysis
4.4. Synteny Analysis between Primary and Alternate Haplotypes
4.5. Genomic Variation of Australian Limes with Reference Genomes
4.6. Transcriptome Analysis
4.7. Gene Annotation of the Assemblies
4.8. Identification and Classification of R Genes and Chromosomal Localization
4.9. Identification of Phloem Protein 2 and Callose Gene Family
5. Conclusions
Supplementary Materials
Author Contributions
Funding
Data Availability Statement
Acknowledgments
Conflicts of Interest
References
- Halbert, S.E.; Manjunath, K.L. Asian citrus psyllids (Sternoarrhynca: Psyllidae) and greening disease of citrus: A literature review and assessment of risk in Florida. Fla. Entomol. 2004, 87, 330–353, 324. [Google Scholar] [CrossRef]
- Bové, J.M. Huanglongbing: A destructive, newly-emerging, century-old disease of citrus. J. Plant Pathol. 2006, 88, 7–37. [Google Scholar]
- Ramadugu, C.; Keremane, M.L.; Halbert, S.E.; Duan, Y.P.; Roose, M.L.; Stover, E.; Lee, R.F. Long-Term Field Evaluation Reveals Huanglongbing Resistance in Citrus Relatives. Plant Dis. 2016, 100, 1858–1869. [Google Scholar] [CrossRef] [PubMed]
- Alves, M.N.; Lopes, S.A.; Raiol-Junior, L.L.; Wulff, N.A.; Girardi, E.A.; Ollitrault, P.; Peña, L. Resistance to ‘Candidatus Liberibacter asiaticus,’ the Huanglongbing Associated Bacterium, in Sexually and/or Graft-Compatible Citrus Relatives. Front. Plant Sci. 2021, 11, 617664. [Google Scholar] [CrossRef] [PubMed]
- Alquézar, B.; Carmona, L.; Bennici, S.; Peña, L. Engineering of citrus to obtain huanglongbing resistance. Curr. Opin. Biotechnol. 2021, 70, 196–203. [Google Scholar] [CrossRef] [PubMed]
- Weber, K.C.; Mahmoud, L.M.; Stanton, D.; Welker, S.; Qiu, W.; Grosser, J.W.; Levy, A.; Dutt, M. Insights into the mechanism of Huanglongbing tolerance in the Australian finger lime (Citrus australasica). Front. Plant Sci. 2022, 13, 1019295. [Google Scholar] [CrossRef] [PubMed]
- Ramadugu, C.; Keremane, M.; Lee, R.F.; Hall, D.G.; McCollum, T.G.; Roose, M.L. Novel citrus hybrids with HLB resistance. Citrograph 2019, 10, 60–64. Available online: https://citrus-research-board-static.sfo2.digitaloceanspaces.com/citrograph/pdf/CRB-Citrograph-Mag-Q2-Spring-2019-Web.pdf (accessed on 1 January 2020).
- Ramadugu, C.; Keremane, M.; McCollum, T.G.; Hall, D.G.; Roose, M.L. Developing resitance to HLB. Citrograph 2016, 7, 46–51. Available online: https://citrus-research-board-static.sfo2.digitaloceanspaces.com/citrograph/pdf/CRB-Citrograph-Mag-Q2-2016-web.pdf (accessed on 1 January 2020).
- Mueller, F. Citrus australasica. Fragm. Phytogr. Aust. 1858, 1, 26. [Google Scholar]
- Swingle, W.T. Microcitrus, a new genus of Australian citrous fruits. J. Wash. Acad. Sci. 1915, 5, 569–578. [Google Scholar]
- Bailey, F.M. Citrus inodora. Rep. New Plants 1889, 1. [Google Scholar]
- Swingle, W.T. Eremocitrus, a new genus of hardy drouth-resistant citrous fruits from Australia. J. Agric. Res. 1914, 2, 85–100. [Google Scholar]
- Burkill, I.H. Citrus glauca. In Gardens’ Bulletin. Straits Settlements; Botanic Gardens: Singapore, 1932; Volume 5, p. 3. [Google Scholar]
- Mabberley, D.J. Australian Citreae with notes on other Aurantioideae (Rutaceae). Telopea 1998, 7, 333–344. [Google Scholar] [CrossRef]
- Schwartz, T.; Nylinder, S.; Ramadugu, C.; Antonelli, A.; Pfeil, B.E. The Origin of Oranges: A Multi-Locus Phylogeny of Rutaceae Subfamily Aurantioideae. Syst. Bot. 2015, 40, 1053–1062. [Google Scholar] [CrossRef]
- Andrews, A.C. Acclimatization of Citrus Fruits in the Mediterranean Region. Agric. Hist. 1961, 35, 35–46. [Google Scholar]
- Manni, M.; Berkeley, M.R.; Seppey, M.; Zdobnov, E.M. BUSCO: Assessing Genomic Data Quality and Beyond. Curr. Protoc. 2021, 1, e323. [Google Scholar] [CrossRef] [PubMed]
- Baucom, R.S.; Estill, J.C.; Chaparro, C.; Upshaw, N.; Jogi, A.; Deragon, J.M.; Westerman, R.P.; Sanmiguel, P.J.; Bennetzen, J.L. Exceptional diversity, non-random distribution, and rapid evolution of retroelements in the B73 maize genome. PLoS Genet. 2009, 5, e1000732. [Google Scholar] [CrossRef] [PubMed]
- Nakandala, U.; Masouleh, A.K.; Smith, M.W.; Furtado, A.; Mason, P.; Constantin, L.; Henry, R.J. Haplotype resolved chromosome level genome assembly of Citrus australis reveals disease resistance and other citrus specific genes. Hortic. Res. 2023, 10, uhad058. [Google Scholar] [CrossRef]
- United States Department of Agriculture, National Agricultural Statistics Service. Florida Citrus Statistics 2017–18; USDA Agricultural Marketing Service: Washington, DC, USA, 2019.
- United States Department of Agriculture, National Agricultural Statistics Service. 2021–2022 Citrus Summary, Production, Price and Value; USDA Agricultural Marketing Service: Washington, DC, USA, 2022.
- Bao, Y.; Zeng, Z.; Yao, W.; Chen, X.; Jiang, M.; Sehrish, A.; Wu, B.; Powell, C.A.; Chen, B.; Xu, J.; et al. A gap-free and haplotype-resolved lemon genome provides insights into flavor synthesis and huanglongbing (HLB) tolerance. Hortic. Res. 2023, 10, uhad020. [Google Scholar] [CrossRef] [PubMed]
- Di Guardo, M.; Moretto, M.; Moser, M.; Catalano, C.; Troggio, M.; Deng, Z.; Cestaro, A.; Caruso, M.; Distefano, G.; La Malfa, S.; et al. Correction to: The haplotype-resolved reference genome of lemon (Citrus limon L. Burm f.). Tree Genet. Genomes 2021, 17, 49. [Google Scholar] [CrossRef]
- Yu, H.; Zhang, C.; Lu, C.; Wang, Y.; Ge, C.; Huang, G.; Wang, H. The lemon genome and DNA methylome unveil epigenetic regulation of citric acid biosynthesis during fruit development. Hortic. Res. 2024, 11, uhae005. [Google Scholar] [CrossRef]
- Wang, X.; Xu, Y.; Zhang, S.; Cao, L.; Huang, Y.; Cheng, J.; Wu, G.; Tian, S.; Chen, C.; Liu, Y.; et al. Genomic analyses of primitive, wild and cultivated citrus provide insights into asexual reproduction. Nat. Genet. 2017, 49, 765–772. [Google Scholar] [CrossRef] [PubMed]
- Lu, Z.; Huang, Y.; Mao, S.; Wu, F.; Liu, Y.; Mao, X.; Adhikari, P.B.; Xu, Y.; Wang, L.; Zuo, H.; et al. The high-quality genome of pummelo provides insights into the tissue-specific regulation of citric acid and anthocyanin during domestication. Hortic. Res. 2022, 9, uhac175. [Google Scholar] [CrossRef]
- Wang, L.; Huang, Y.; Liu, Z.; He, J.; Jiang, X.; He, F.; Lu, Z.; Yang, S.; Chen, P.; Yu, H.; et al. Somatic variations led to the selection of acidic and acidless orange cultivars. Nat. Plants 2021, 7, 954–965. [Google Scholar] [CrossRef] [PubMed]
- Wang, Y.; Zhou, L.; Li, D.; Dai, L.; Lawton-Rauh, A.; Srimani, P.K.; Duan, Y.; Luo, F. Genome-wide comparative analysis reveals similar types of NBS genes in hybrid Citrus sinensis genome and original Citrus clementine genome and provides new insights into non-TIR NBS genes. PLoS ONE 2015, 10, e0121893. [Google Scholar] [CrossRef]
- Wu, G.A.; Prochnik, S.; Jenkins, J.; Salse, J.; Hellsten, U.; Murat, F.; Perrier, X.; Ruiz, M.; Scalabrin, S.; Terol, J.; et al. Sequencing of diverse mandarin, pummelo and orange genomes reveals complex history of admixture during citrus domestication. Nat. Biotechnol. 2014, 32, 656–662. [Google Scholar] [CrossRef]
- Wenger, A.M.; Peluso, P.; Rowell, W.J.; Chang, P.C.; Hall, R.J.; Concepcion, G.T.; Ebler, J.; Fungtammasan, A.; Kolesnikov, A.; Olson, N.D.; et al. Accurate circular consensus long-read sequencing improves variant detection and assembly of a human genome. Nat. Biotechnol. 2019, 37, 1155–1162. [Google Scholar] [CrossRef] [PubMed]
- Zheng, Y.; Yang, D.; Rong, J.; Chen, L.; Zhu, Q.; He, T.; Chen, L.; Ye, J.; Fan, L.; Gao, Y.; et al. Allele-aware chromosome-scale assembly of the allopolyploid genome of hexaploid Ma bamboo (Dendrocalamus latiflorus Munro). J. Integr. Plant Biol. 2022, 64, 649–670. [Google Scholar] [CrossRef]
- Wu, B.; Yu, Q.; Deng, Z.; Duan, Y.; Luo, F.; Gmitter, F., Jr. A chromosome-level phased genome enabling allele-level studies in sweet orange: A case study on citrus Huanglongbing tolerance. Hortic. Res. 2023, 10, uhac247. [Google Scholar] [CrossRef]
- Guk, J.Y.; Jang, M.J.; Choi, J.W.; Lee, Y.M.; Kim, S. De novo phasing resolves haplotype sequences in complex plant genomes. Plant Biotechnol. J. 2022, 20, 1031–1041. [Google Scholar] [CrossRef]
- Hasing, T.; Tang, H.; Brym, M.; Khazi, F.; Huang, T.; Chambers, A.H. A phased Vanilla planifolia genome enables genetic improvement of flavour and production. Nat. Food 2020, 1, 811–819. [Google Scholar] [CrossRef] [PubMed]
- Sekhwal, M.K.; Li, P.; Lam, I.; Wang, X.; Cloutier, S.; You, F.M. Disease Resistance Gene Analogs (RGAs) in Plants. Int. J. Mol. Sci. 2015, 16, 19248–19290. [Google Scholar] [CrossRef] [PubMed]
- Achor, D.; Welker, S.; Ben-Mahmoud, S.; Wang, C.; Folimonova, S.Y.; Dutt, M.; Gowda, S.; Levy, A. Dynamics of Candidatus Liberibacter asiaticus Movement and Sieve-Pore Plugging in Citrus Sink Cells. Plant Physiol. 2020, 182, 882–891. [Google Scholar] [CrossRef]
- Kim, J.S.; Sagaram, U.S.; Burns, J.K.; Li, J.L.; Wang, N. Response of sweet orange (Citrus sinensis) to ‘Candidatus Liberibacter asiaticus’ infection: Microscopy and microarray analyses. Phytopathology 2009, 99, 50–57. [Google Scholar] [CrossRef] [PubMed]
- Wang, Y.; Zhou, L.; Yu, X.; Stover, E.; Luo, F.; Duan, Y. Transcriptome Profiling of Huanglongbing (HLB) Tolerant and Susceptible Citrus Plants Reveals the Role of Basal Resistance in HLB Tolerance. Front. Plant Sci. 2016, 7, 933. [Google Scholar] [CrossRef]
- Shaw, R.; Tian, X.; Xu, J. Single-Cell Transcriptome Analysis in Plants: Advances and Challenges. Mol. Plant 2021, 14, 115–126. [Google Scholar] [CrossRef] [PubMed]
- Keremane, M.; Singh, K.; Ramadugu, C.; Krueger, R.R.; Skaggs, T.H. Next Generation Sequencing, and Development of a Pipeline as a Tool for the Detection and Discovery of Citrus Pathogens to Facilitate Safer Germplasm Exchange. Plants 2024, 13, 411. [Google Scholar] [CrossRef]
- Zhang, M.; Zhang, Y.; Scheuring, C.F.; Wu, C.C.; Dong, J.J.; Zhang, H.B. Preparation of megabase-sized DNA from a variety of organisms using the nuclei method for advanced genomics research. Nat. Protoc. 2012, 7, 467–478. [Google Scholar] [CrossRef] [PubMed]
- Sikorskaite, S.; Rajamäki, M.L.; Baniulis, D.; Stanys, V.; Valkonen, J.P. Protocol: Optimised methodology for isolation of nuclei from leaves of species in the Solanaceae and Rosaceae families. Plant Methods 2013, 9, 31. [Google Scholar] [CrossRef]
- Cheng, H.; Concepcion, G.T.; Feng, X.; Zhang, H.; Li, H. Haplotype-resolved de novo assembly using phased assembly graphs with hifiasm. Nat. Methods 2021, 18, 170–175. [Google Scholar] [CrossRef]
- Wick, R.R.; Schultz, M.B.; Zobel, J.; Holt, K.E. Bandage: Interactive visualization of de novo genome assemblies. Bioinformatics 2015, 31, 3350–3352. [Google Scholar] [CrossRef]
- Lieberman-Aiden, E.; van Berkum, N.L.; Williams, L.; Imakaev, M.; Ragoczy, T.; Telling, A.; Amit, I.; Lajoie, B.R.; Sabo, P.J.; Dorschner, M.O.; et al. Comprehensive Mapping of Long-Range Interactions Reveals Folding Principles of the Human Genome. Science 2009, 326, 289–293. [Google Scholar] [CrossRef] [PubMed]
- Li, H.; Durbin, R. Fast and accurate long-read alignment with Burrows–Wheeler transform. Bioinformatics 2010, 26, 589–595. [Google Scholar] [CrossRef] [PubMed]
- Faust, G.G.; Hall, I.M. SAMBLASTER: Fast duplicate marking and structural variant read extraction. Bioinformatics 2014, 30, 2503–2505. [Google Scholar] [CrossRef] [PubMed]
- Li, H.; Handsaker, B.; Wysoker, A.; Fennell, T.; Ruan, J.; Homer, N.; Marth, G.; Abecasis, G.; Durbin, R. The Sequence Alignment/Map format and SAMtools. Bioinformatics 2009, 25, 2078–2079. [Google Scholar] [CrossRef] [PubMed]
- Kronenberg, Z.N.; Rhie, A.; Koren, S.; Concepcion, G.T.; Peluso, P.; Munson, K.M.; Porubsky, D.; Kuhn, K.; Mueller, K.A.; Low, W.Y.; et al. Extended haplotype-phasing of long-read de novo genome assemblies using Hi-C. Nat. Commun. 2021, 12, 1935. [Google Scholar] [CrossRef] [PubMed]
- Durand, N.C.; Robinson, J.T.; Shamim, M.S.; Machol, I.; Mesirov, J.P.; Lander, E.S.; Aiden, E.L. Juicebox Provides a Visualization System for Hi-C Contact Maps with Unlimited Zoom. Cell Syst. 2016, 3, 99–101. [Google Scholar] [CrossRef] [PubMed]
- Simão, F.A.; Waterhouse, R.M.; Ioannidis, P.; Kriventseva, E.V.; Zdobnov, E.M. BUSCO: Assessing genome assembly and annotation completeness with single-copy orthologs. Bioinformatics 2015, 31, 3210–3212. [Google Scholar] [CrossRef] [PubMed]
- Li, H. Minimap2: Pairwise alignment for nucleotide sequences. Bioinformatics 2018, 34, 3094–3100. [Google Scholar] [CrossRef]
- R Core Team. R: A Language and Environment for Statistical Computing; R Foundation for Statistical Computing: Vienna, Austria, 2022; Available online: http://www.R-project.org/ (accessed on 30 July 2023).
- Peng, Z.; Bredeson, J.V.; Wu, G.A.; Shu, S.; Rawat, N.; Du, D.; Parajuli, S.; Yu, Q.; You, Q.; Rokhsar, D.S.; et al. A chromosome-scale reference genome of trifoliate orange (Poncirus trifoliata) provides insights into disease resistance, cold tolerance and genome evolution in Citrus. Plant J. 2020, 104, 1215–1232. [Google Scholar] [CrossRef]
- Goel, M.; Sun, H.; Jiao, W.B.; Schneeberger, K. SyRI: Finding genomic rearrangements and local sequence differences from whole-genome assemblies. Genome Biol. 2019, 20, 277. [Google Scholar] [CrossRef]
- Flynn, J.M.; Hubley, R.; Goubert, C.; Rosen, J.; Clark, A.G.; Feschotte, C.; Smit, A.F. RepeatModeler2 for automated genomic discovery of transposable element families. Proc. Natl. Acad. Sci. USA 2020, 117, 9451–9457. [Google Scholar] [CrossRef]
- Brůna, T.; Hoff, K.J.; Lomsadze, A.; Stanke, M.; Borodovsky, M. BRAKER2: Automatic eukaryotic genome annotation with GeneMark-EP+ and AUGUSTUS supported by a protein database. NAR Genom. Bioinform. 2021, 3, lqaa108. [Google Scholar] [CrossRef]
- Dobin, A.; Davis, C.A.; Schlesinger, F.; Drenkow, J.; Zaleski, C.; Jha, S.; Batut, P.; Chaisson, M.; Gingeras, T.R. STAR: Ultrafast universal RNA-seq aligner. Bioinformatics 2013, 29, 15–21. [Google Scholar] [CrossRef]
- Brůna, T.; Lomsadze, A.; Borodovsky, M. GeneMark-EP+: Eukaryotic gene prediction with self-training in the space of genes and proteins. NAR Genom. Bioinform. 2020, 2, lqaa026. [Google Scholar] [CrossRef] [PubMed]
- Gabriel, L.; Hoff, K.J.; Brůna, T.; Borodovsky, M.; Stanke, M. TSEBRA: Transcript selector for BRAKER. BMC Bioinform. 2021, 22, 566. [Google Scholar] [CrossRef]
- Caballero, M.; Wegrzyn, J. gFACs: Gene Filtering, Analysis, and Conversion to Unify Genome Annotations Across Alignment and Gene Prediction Frameworks. Genom. Proteom. Bioinform. 2019, 17, 305–310. [Google Scholar] [CrossRef] [PubMed]
- Hart, A.J.; Ginzburg, S.; Xu, M.S.; Fisher, C.R.; Rahmatpour, N.; Mitton, J.B.; Paul, R.; Wegrzyn, J.L. EnTAP: Bringing faster and smarter functional annotation to non-model eukaryotic transcriptomes. Mol. Ecol. Resour. 2020, 20, 591–604. [Google Scholar] [CrossRef]
- Emms, D.M.; Kelly, S. OrthoFinder: Phylogenetic orthology inference for comparative genomics. Genome Biol. 2019, 20, 238. [Google Scholar] [CrossRef] [PubMed]
- Katoh, K.; Standley, D.M. MAFFT multiple sequence alignment software version 7: Improvements in performance and usability. Mol. Biol. Evol. 2013, 30, 772–780. [Google Scholar] [CrossRef]
- Tian, T.; Liu, Y.; Yan, H.; You, Q.; Yi, X.; Du, Z.; Xu, W.; Su, Z. agriGO v2.0: A GO analysis toolkit for the agricultural community, 2017 update. Nucleic Acids Res. 2017, 45, W122–W129. [Google Scholar] [CrossRef]
- Paysan-Lafosse, T.; Blum, M.; Chuguransky, S.; Grego, T.; Pinto, B.L.; Salazar, G.A.; Bileschi, M.L.; Bork, P.; Bridge, A.; Colwell, L.; et al. InterPro in 2022. Nucleic Acids Res. 2023, 51, D418–D427. [Google Scholar] [CrossRef] [PubMed]
- Chen, C.; Chen, H.; Zhang, Y.; Thomas, H.R.; Frank, M.H.; He, Y.; Xia, R. TBtools: An Integrative Toolkit Developed for Interactive Analyses of Big Biological Data. Mol. Plant 2020, 13, 1194–1202. [Google Scholar] [CrossRef] [PubMed]
- Zuo, R.; Xie, M.; Gao, F.; Sumbal, W.; Cheng, X.; Liu, Y.; Bai, Z.; Liu, S. The Characterization of the Phloem Protein 2 Gene Family Associated with Resistance to Sclerotinia sclerotiorum in Brassica napus. Int. J. Mol. Sci. 2022, 23, 3934. [Google Scholar] [CrossRef] [PubMed]
- Fan, J.; Chen, C.; Yu, Q.; Khalaf, A.; Achor, D.S.; Brlansky, R.H.; Moore, G.A.; Li, Z.G.; Gmitter, F.G., Jr. Comparative transcriptional and anatomical analyses of tolerant rough lemon and susceptible sweet orange in response to ‘Candidatus Liberibacter asiaticus’ infection. Mol. Plant Microbe Interact. 2012, 25, 1396–1407. [Google Scholar] [CrossRef] [PubMed]
- Singh, K.; Zouhar, M.; Mazakova, J.; Rysanek, P. Genome wide identification of the immunophilin gene family in Leptosphaeria maculans: A causal agent of Blackleg disease in Oilseed Rape (Brassica napus). Omics 2014, 18, 645–657. [Google Scholar] [CrossRef] [PubMed]
- Singh, K.; Winter, M.; Zouhar, M.; Ryšánek, P. Cyclophilins: Less Studied Proteins with Critical Roles in Pathogenesis. Phytopathology 2018, 108, 6–14. [Google Scholar] [CrossRef]







| Citrus australasica | C. inodora | C. glauca | ||||
|---|---|---|---|---|---|---|
| Haplotype | Primary | Alternate | Primary | Alternate | Primary | Alternate |
| Estimated genome size (Mb) | 336.7 | 335.2 | 303.7 | 298.8 | 376.4 | 379.2 |
| Number of scaffolds | 270 | 270 | 299 | 299 | 83 | 83 |
| N50 (Mb) | 30.0 | 30.2 | 28.9 | 28.9 | 36.9 | 36.7 |
| N90 (Mb) | 23.7 | 22.3 | 26.9 | 25.7 | 30.9 | 30.2 |
| Largest scaffold (Mb) | 47 | 46.7 | 41.6 | 41.8 | 57.9 | 58.9 |
| Largest scaffold (%) | 13.9 | 13.9 | 13.7 | 14 | 15.4 | 15.5 |
| 9 Chromosomes (Mb) | 290 | 289.2 | 276.9 | 272 | 344.3 | 345.1 |
| 9 Chromosomes (% of genome) | 86.1 | 86.2 | 91.2 | 91 | 91.5 | 91 |
| % GC content | 36.5% | 36.4% | 36.4% | 36.4% | 37.1% | 37.1% |
| NCBI accession | PRJNA924094 | PRJNA924095 | PRJNA924048 | PRJNA924114 | PRJNA924119 | PRJNA924121 |
| Genome a | Annotation b | ||||
|---|---|---|---|---|---|
| Species | Haplotype | Eudicot (%) | Viridiplantae (%) | Eudicot (%) | Viridiplantae (%) |
| Citrus australasica | Primary | 98.70 | 99.10 | 96.80 | 99.10 |
| Alternate | 98.80 | 99.20 | 97.50 | 99.10 | |
| C. inodora | Primary | 96.68 | 96.70 | 93.30 | 94.20 |
| Alternate | 96.68 | 96.70 | 92.80 | 94.60 | |
| C. glauca | Primary | 96.90 | 97.20 | 94.50 | 97.40 |
| Alternate | 96.90 | 97.20 | 94.90 | 96.70 | |
| Species | SNP a | Inversion | Translocation | Duplication | Insertion | Deletion | HDR b |
|---|---|---|---|---|---|---|---|
| Citrus australasica | 1,753,794 | 120,866 | 148,742 | 6251 | 133,808 | 134,289 | 8448 |
| C. inodora | 2,245,738 | 185,236 | 158,654 | 12,899 | 167,345 | 147,099 | 11,897 |
| C. glauca | 2,216,981 | 211,143 | 152,934 | 10,614 | 158,513 | 143,167 | 9386 |
| Species | Citrus australasica | C. inodora | C. glauca | |||
|---|---|---|---|---|---|---|
| Haplotype | Primary | Alternate | Primary | Alternate | Primary | Alternate |
| Genes (BRAKER) | 27,358 | 25,461 | 28,176 | 27,665 | 30,067 | 33,673 |
| Proteins (gFACs) | 27,348 | 25,451 | 28,173 | 27,664 | 30,066 | 33,672 |
| EnTAP-Functional Filtering | 22,942 | 22,912 | 24,330 | 23,885 | 24,136 | 24,448 |
| Exons | 139,684 | 137,485 | 143,260 | 141,940 | 157,064 | 161,029 |
| Introns | 109,469 | 109,259 | 111,706 | 110,794 | 123,639 | 123,804 |
| CDS | 139,709 | 137,511 | 143,337 | 142,039 | 157,079 | 161,049 |
| Transcripts | 30,242 | 28,257 | 31,632 | 31,245 | 33,440 | 37,246 |
| Citrus Species | NLR | CNL | TNL | NL |
|---|---|---|---|---|
| C. australasica a | 576 | 195 | 119 | 262 |
| C. australasica b | 545 | 172 | 129 | 244 |
| C. inodora a | 319 | 109 | 69 | 141 |
| C. inodora b | 325 | 107 | 71 | 147 |
| C. glauca a | 449 | 114 | 105 | 230 |
| C. glauca b | 459 | 116 | 112 | 231 |
| C. clementina | 579 | 205 | 104 | 270 |
| C. sinensis | 651 | 214 | 145 | 292 |
| Species | Haplotype | Phloem Protein (PP2) | Callose Synthases (CalS) |
|---|---|---|---|
| Citrus australasica v1.0 | Primary | 17 | 11 |
| Alternate | 30 | 11 | |
| C. inodora v1.0 | Primary | 25 | 9 |
| Alternate | 26 | 11 | |
| C. glauca v1.0 | Primary | 19 | 9 |
| Alternate | 37 | 10 | |
| C. clementina v1.0 | 41 | 15 | |
| C. sinensis v2.0 | 34 (37 a) | 11 (17 a) | |
| C. medica v1.0 | 34 (36 a) | 10 (18 a) | |
| C. trifoliata v1.3 | 25 (39 a) | 8 (11 a) |
| C. australasica | C.inodora | C. glauca | ||||
|---|---|---|---|---|---|---|
| Read Mapping Results | No. of Reads in Millions | Percentage | No. of Reads in Millions | Percentage | No. of Reads in Millions | Percentage |
| Total reads | 585.6 | 415.1 | 470.1 | |||
| Mapped reads | 472.6 | 80.7 | 385.9 | 93 | 443.1 | 94.3 |
| Reads in pairs (PE) | 414.7 | 70.8 | 361.1 | 87 | 409.6 | 87.1 |
| Broken PE | 57.9 | 9.9 | 24.7 | 5.95 | 33.6 | 7.1 |
| Not mapped | 112.9 | 19.3 | 29.2 | 7 | 26.9 | 5.7 |
Disclaimer/Publisher’s Note: The statements, opinions and data contained in all publications are solely those of the individual author(s) and contributor(s) and not of MDPI and/or the editor(s). MDPI and/or the editor(s) disclaim responsibility for any injury to people or property resulting from any ideas, methods, instructions or products referred to in the content. |
© 2024 by the authors. Licensee MDPI, Basel, Switzerland. This article is an open access article distributed under the terms and conditions of the Creative Commons Attribution (CC BY) license (https://creativecommons.org/licenses/by/4.0/).
Share and Cite
Singh, K.; Huff, M.; Liu, J.; Park, J.-W.; Rickman, T.; Keremane, M.; Krueger, R.R.; Kunta, M.; Roose, M.L.; Dardick, C.; et al. Chromosome-Scale, De Novo, Phased Genome Assemblies of Three Australian Limes: Citrus australasica, C. inodora, and C. glauca. Plants 2024, 13, 1460. https://doi.org/10.3390/plants13111460
Singh K, Huff M, Liu J, Park J-W, Rickman T, Keremane M, Krueger RR, Kunta M, Roose ML, Dardick C, et al. Chromosome-Scale, De Novo, Phased Genome Assemblies of Three Australian Limes: Citrus australasica, C. inodora, and C. glauca. Plants. 2024; 13(11):1460. https://doi.org/10.3390/plants13111460
Chicago/Turabian StyleSingh, Khushwant, Matthew Huff, Jianyang Liu, Jong-Won Park, Tara Rickman, Manjunath Keremane, Robert R. Krueger, Madhurababu Kunta, Mikeal L. Roose, Chris Dardick, and et al. 2024. "Chromosome-Scale, De Novo, Phased Genome Assemblies of Three Australian Limes: Citrus australasica, C. inodora, and C. glauca" Plants 13, no. 11: 1460. https://doi.org/10.3390/plants13111460
APA StyleSingh, K., Huff, M., Liu, J., Park, J.-W., Rickman, T., Keremane, M., Krueger, R. R., Kunta, M., Roose, M. L., Dardick, C., Staton, M., & Ramadugu, C. (2024). Chromosome-Scale, De Novo, Phased Genome Assemblies of Three Australian Limes: Citrus australasica, C. inodora, and C. glauca. Plants, 13(11), 1460. https://doi.org/10.3390/plants13111460

