Long-Term Straw Incorporation under Controlled Irrigation Improves Soil Quality of Paddy Field and Rice Yield in Northeast China
Abstract
1. Introduction
2. Results
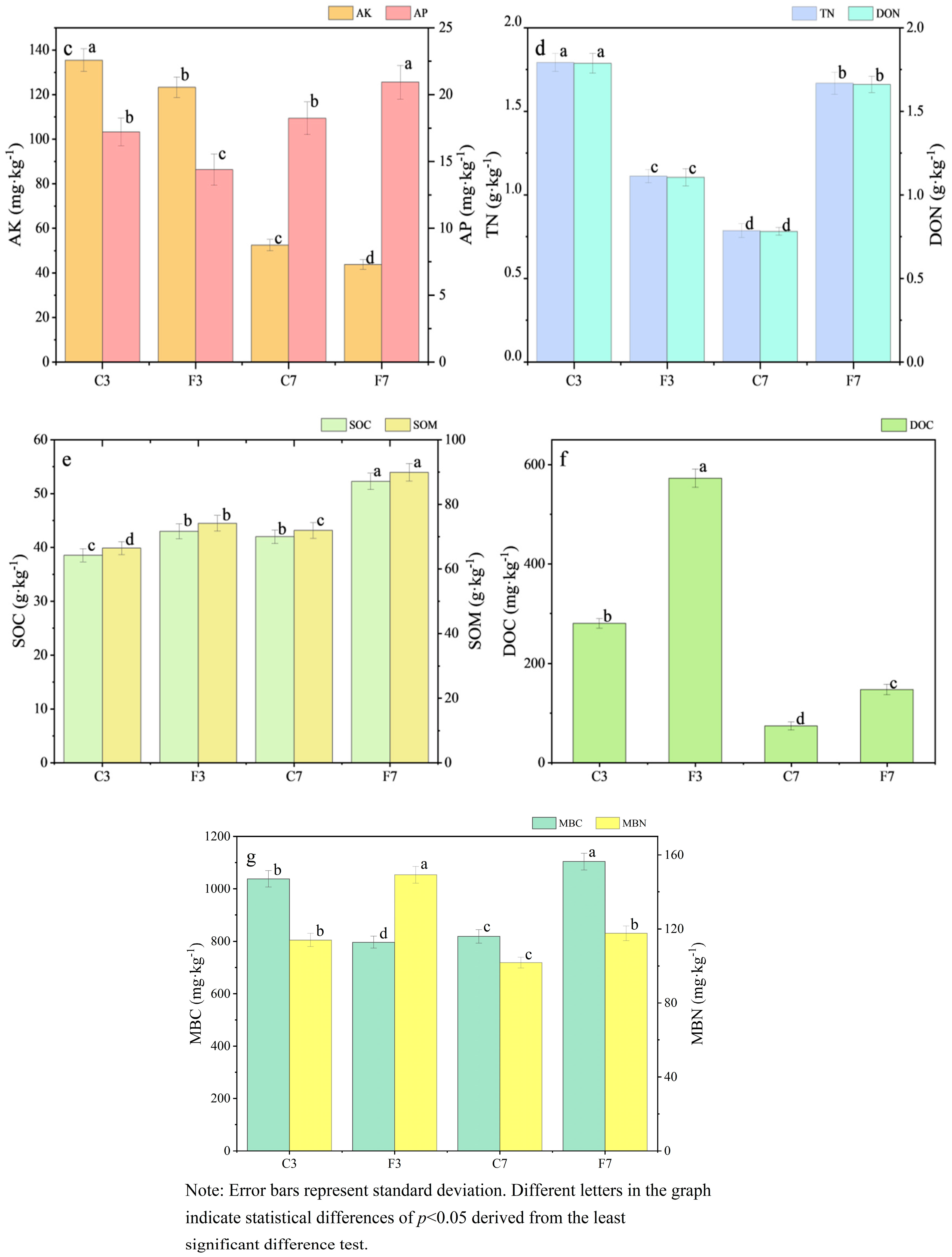
2.1. Soil Physical and Chemical Properties
2.2. Rice Yields in Different Treatments
2.3. Minimum Data Set Filtering
2.4. Soil Quality Index
2.5. Correlation between Rice Yield and MDS-SQI
3. Discussion
3.1. Changes in Soil Physicochemical Properties
3.2. MDS-Based Soil Quality Evaluation
4. Materials and Methods
4.1. Study Area
4.2. Experimental Design
4.3. Sample Collection and Determination
4.4. Establishment of TDS and MDS Metrics
4.5. Soil Quality Evaluation
4.6. Statistical Analysis
5. Conclusions
Supplementary Materials
Author Contributions
Funding
Data Availability Statement
Acknowledgments
Conflicts of Interest
References
- Muthayya, S.; Sugimoto, J.D.; Montgomery, S.; Maberly, G.F. An overview of global rice production, supply, trade, and consumption. Ann. N. Y. Acad. Sci. 2014, 1324, 7–14. [Google Scholar] [CrossRef] [PubMed]
- Zhao, X.; Chen, M.; Xie, H.; Luo, W.; Wei, G.; Zheng, S.; Wu, C.; Khan, S.; Cui, Y.; Luo, Y. Analysis of irrigation demands of rice: Irrigation decision-making needs to consider future rainfall. Agric. Water Manag. 2023, 280, 108196. [Google Scholar] [CrossRef]
- Ray, D.K.; Ramankutty, N.; Mueller, N.D.; West, P.C.; Foley, J.A. Recent patterns of crop yield growth and stagnation. Nat. Commun. 2012, 3, 1293. [Google Scholar] [CrossRef] [PubMed]
- Chen, S.; Elrys, A.S.; Zhao, C.; Cai, Z.; Zhang, J.; Müller, C. Global patterns and controls of yield and nitrogen use efficiency in rice. Sci. Total Environ. 2023, 898, 165484. [Google Scholar] [CrossRef] [PubMed]
- Shao, X.; Gao, J.; Liu, Y.; Wang, X.; Guo, L. Effects of plastic mulching and straw incorporation on rice yield and nitrogen use efficiency in a cold region. Eng. Agric. 2021, 41, 504–516. [Google Scholar] [CrossRef]
- Rinot, O.; Levy, G.J.; Steinberger, Y.; Svoray, T.; Eshel, G. Soil health assessment: A critical review of current methodologies and a proposed new approach. Sci. Total Environ. 2019, 648, 1484–1491. [Google Scholar] [CrossRef] [PubMed]
- Marion, L.F.; Schneider, R.; Cherubin, M.R.; Colares, G.S.; Wiesel, P.G.; da Costa, A.B.; Lobo, E.A. Development of a soil quality index to evaluate agricultural cropping systems in southern Brazil. Soil Tillage Res. 2022, 218, 150293. [Google Scholar] [CrossRef]
- Tang, L.; Hayashi, K.; Ohigashi, K.; Shimura, M.; Kohyama, K. Developing characterization factors to quantify management impacts on soil quality of paddy fields within life cycle assessment. J. Clean. Prod. 2019, 238, 117890. [Google Scholar] [CrossRef]
- Li, Y.; Ma, J.; Li, Y.; Jia, Q.; Shen, X.; Xia, X. Spatiotemporal variations in the soil quality of agricultural land and its drivers in China from 1980 to 2018. Sci. Total Environ. 2023, 892, 164649. [Google Scholar] [CrossRef]
- Dossou-Yovo, E.R.; Brüggemann, N.; Jesse, N.; Huat, J.; Ago, E.E.; Agbossou, E.K. Reducing soil CO2 emission and improving upland rice yield with no-tillage, straw mulch and nitrogen fertilization in northern Benin. Soil Tillage Res. 2016, 156, 44–53. [Google Scholar] [CrossRef]
- Amirahmadi, E.; Moudrý, J.; Konvalina, P.; Hörtenhuber, S.J.; Ghorbani, M.; Neugschwandtner, R.W.; Jiang, Z.; Krexner, T.; Kopecký, M. Environmental Life Cycle Assessment in Organic and Conventional Rice Farming Systems: Using a Cradle to Farm Gate Approach. Sustainability 2022, 14, 15870. [Google Scholar] [CrossRef]
- Liu, C.; Lu, M.; Cui, J.; Li, B.; Fang, C. Effects of straw carbon input on carbon dynamics in agricultural soils: A meta-analysis. Glob. Change Biol. 2014, 20, 1366–1381. [Google Scholar] [CrossRef] [PubMed]
- Yan, S.S.; Liu, C.X.; Li, J.A.; Li, J.W.; Cui, C.; Fan, J.S.; Gong, Z.P.; Zhang, Z.X.; Yan, C. Changes in the soil phosphorus supply with rice straw return in cold region. Agronomy 2023, 13, 2214. [Google Scholar] [CrossRef]
- Zhang, X.; Wang, J.; Feng, X.; Yang, H.; Li, Y.; Yakov, K.; Liu, S.; Li, F.-M. Effects of tillage on soil organic carbon and crop yield under straw return. Agric. Ecosyst. Environ. 2023, 354, 18053. [Google Scholar] [CrossRef]
- Li, Z.K.; Shen, Y.; Zhang, W.Y.; Zhang, H.; Liu, L.J.; Wang, Z.Q.; Gu, J.F.; Yang, J.C. Effects of long-term straw returning on rice yield and soil properties and bacterial community in a rice-wheat rotation system. Field Crops Res. 2023, 291, 108800. [Google Scholar] [CrossRef]
- Yang, S.; Chen, L.; Xiong, R.; Jiang, J.; Liu, Y.; Tan, X.; Liu, T.; Zeng, Y.; Pan, X.; Zeng, Y. Long-term straw return improves cooked indica rice texture by altering starch structural, physicochemical properties in South China. Food Chem. X 2023, 20, 100965. [Google Scholar] [CrossRef] [PubMed]
- Chen, K.; Ma, T.; Ding, J.; Yu, S.; Dai, Y.; He, P.; Ma, T. Effects of straw return with nitrogen fertilizer reduction on rice (Oryza sativa L.) morphology, photosynthetic capacity, yield and water–nitrogen use efficiency traits under different water regimes. Agronomy 2022, 13, 133. [Google Scholar] [CrossRef]
- Zhu, X.; Xie, H.; Masters, M.D.; Rui, Y.; Luo, Y.; He, H.; Zhang, X.; Liang, C. Microorganisms, their residues, and soil carbon storage under a continuous maize cropping system with eight years of variable residue retention. Appl. Soil Ecol. 2023, 187, 104846. [Google Scholar] [CrossRef]
- Liu, B.; Wu, Q.; Wang, F.; Zhang, B. Is straw return-to-field always beneficial? Evidence from an integrated cost-benefit analysis. Energy 2019, 171, 393–402. [Google Scholar] [CrossRef]
- Yu, F.; Chen, Y.; Huang, X.; Shi, J.; Xu, J.; He, Y. Does straw returning affect the root rot disease of crops in soil? A systematic review and meta-analysis. J. Environ. Manag. 2023, 336, 117673. [Google Scholar] [CrossRef]
- Chen, S.; Zheng, X.; Wang, D.; Chen, L.; Xu, C.; Zhang, X. Effect of long-term paddy-upland yearly rotations on rice (Oryza sativa) yield, soil properties, and bacteria community diversity. Sci. World J. 2012, 2012, 279641. [Google Scholar] [CrossRef]
- Liu, S.; Qin, Y.; Zou, J.; Liu, Q. Effects of water regime during rice-growing season on annual direct N2O emission in a paddy rice–winter wheat rotation system in southeast China. Sci. Total Environ. 2010, 408, 906–913. [Google Scholar] [CrossRef] [PubMed]
- Champness, M.; Ballester, C.; Hornbuckle, J. Effect of soil moisture deficit on aerobic rice in temperate Australia. Agronomy 2023, 13, 168. [Google Scholar] [CrossRef]
- Nie, T.; Chen, P.; Zhang, Z.; Qi, Z.; Lin, Y.; Xu, D. Effects of Different Types of Water and Nitrogen Fertilizer Management on Greenhouse Gas Emissions, Yield, and Water Consumption of Paddy Fields in Cold Region of China. Int. J. Environ. Res. Public Health 2019, 16, 1639. [Google Scholar] [CrossRef]
- Wei, Q.; Wei, Q.; Xu, J.; Liu, Y.; Wang, D.; Chen, S.; Qian, W.; He, M.; Chen, P.; Zhou, X.; et al. Nitrogen losses from soil as affected by water and fertilizer management under drip irrigation: Development, hotspots and future perspectives. Agric. Water Manag. 2024, 296, 108791. [Google Scholar] [CrossRef]
- Peng, S.-Z.; Yang, S.-H.; Xu, J.-Z.; Luo, Y.-F.; Hou, H.-J. Nitrogen and phosphorus leaching losses from paddy fields with different water and nitrogen managements. Paddy Water Environ. 2011, 9, 333–342. [Google Scholar] [CrossRef]
- Han, Y.; Zhang, Z.; Li, T.; Chen, P.; Nie, T.; Zhang, Z.; Du, S. Straw return alleviates the greenhouse effect of paddy fields by increasing soil organic carbon sequestration under water-saving irrigation. Agric. Water Manag. 2023, 287, 108434. [Google Scholar] [CrossRef]
- Liu, L.; Cheng, M.; Yang, L.; Gu, X.; Jin, J.; Fu, M. Regulation of straw decomposition and its effect on soil function by the amount of returned straw in a cool zone rice crop system. Sci. Rep. 2023, 13, 15673. [Google Scholar] [CrossRef]
- Zhang, J.; Hou, J.; Zhang, H.; Meng, C.; Zhang, X.; Wei, C. Low soil temperature inhibits yield of rice under drip irrigation. Eur. J. Agron. 2019, 19, 228–236. [Google Scholar] [CrossRef]
- Bhaduri, D.; Purakayastha, T.J. Long-term tillage, water and nutrient management in rice–wheat cropping system: Assessment and response of soil quality. Soil Tillage Res. 2014, 144, 83–95. [Google Scholar] [CrossRef]
- Biswas, S.; Hazra, G.C.; Purakayastha, T.J.; Saha, N.; Mitran, T.; Singha Roy, S.; Basak, N.; Mandal, B. Establishment of critical limits of indicators and indices of soil quality in rice-rice cropping systems under different soil orders. Geoderma 2017, 292, 34–48. [Google Scholar] [CrossRef]
- Dengiz, O. Soil quality index for paddy fields based on standard scoring functions and weight allocation method. Arch. Agron. Soil Sci. 2019, 66, 301–315. [Google Scholar] [CrossRef]
- Wang, X.; Shi, W.; Sun, X.; Wang, M. Comprehensive benefits evaluation and its spatial simulation for well-facilitated farmland projects in the Huang-Huai-Hai Region of China. Land Degrad. Dev. 2020, 31, 1837–1850. [Google Scholar] [CrossRef]
- Gunasekaran, Y.; Kaliappan, S.B.; Porpavai, S. Developing soil quality indices for different crop rotations of deltaic inceptisol regions of India. Commun. Soil Sci. Plant Anal. 2021, 52, 1363–1376. [Google Scholar] [CrossRef]
- Majhi, P.; Rout, K.K.; Nanda, G.; Singh, M. Soil quality for rice productivity and yield sustainability under long-term fertilizer and manure application. Commun. Soil Sci. Plant Anal. 2019, 50, 1330–1343. [Google Scholar] [CrossRef]
- Paz-Ferreiro, J.; Liu, Z.; Rong, Q.; Zhou, W.; Liang, G. Effects of inorganic and organic amendment on soil chemical properties, enzyme activities, microbial community and soil quality in yellow clayey soil. PLoS ONE 2017, 12, e0172767. [Google Scholar] [CrossRef]
- Yang, E.; Zhao, X.; Qin, W.; Jiao, J.; Han, J.; Zhang, M. Temporal impacts of dryland-to-paddy conversion on soil quality in the typical black soil region of China: Establishing the minimum data set. Catena 2023, 231, 107303. [Google Scholar] [CrossRef]
- Dinh Thi, L.; Thi Hang, N.; Nguyen, H.; Nguyen, L. Rice growth, grain zinc, and soil properties under saline irrigation conditions. J. Ecol. Eng. 2021, 22, 58–69. [Google Scholar] [CrossRef]
- Liu, Y.; Li, J.; Jiao, X.; Li, H.; Hu, T.; Jiang, H.; Mahmoud, A. Effects of biochar on water quality and rice productivity under straw returning condition in a rice-wheat rotation region. Sci. Total Environ. 2022, 819, 152063. [Google Scholar] [CrossRef] [PubMed]
- Xin, F.; Xiao, X.; Dong, J.; Zhang, G.; Zhang, Y.; Wu, X.; Li, X.; Zou, Z.; Ma, J.; Du, G.; et al. Large increases of paddy rice area, gross primary production, and grain production in Northeast China during 2000–2017. Sci. Total Environ. 2020, 711, 135183. [Google Scholar] [CrossRef] [PubMed]
- Yang, D.; Wang, Y.; Wu, Q. Impact of Tillage and Straw Management on Soil Properties and Rice Yield in a Rice-Ratoon Rice System. Agronomy 2023, 13, 1762. [Google Scholar] [CrossRef]
- Wang, E.; Lin, X.; Tian, L.; Wang, X.; Ji, L.; Jin, F.; Tian, C. Effects of short-term rice straw return on the soil microbial community. Agriculture 2021, 11, 561. [Google Scholar] [CrossRef]
- Hou, Y.; Xu, X.; Kong, L.; Zhang, L.; Wang, L. The combination of straw return and appropriate K fertilizer amounts enhances both soil health and rice yield in Northeast China. Agron. J. 2021, 113, 5424–5435. [Google Scholar] [CrossRef]
- Jiao, F.; Zhang, D.; Chen, Y.; Wu, J.; Zhang, J. Effects of long-term straw returning and nitrogen fertilizer reduction on soil microbial diversity in black soil in Northeast China. Agronomy 2023, 13, 2036. [Google Scholar] [CrossRef]
- Du, S.; Zhang, Z.; Li, T.; Wang, Z.; Zhou, X.; Gai, Z.; Qi, Z. Response of rice harvest index to different water and nitrogen management modes in the black soil region of Northeast China. Agriculture 2022, 12, 115. [Google Scholar] [CrossRef]
- Sun, Y.; Lai, Y.; Wang, Q.; Song, Q.; Jin, L.; Zeng, X.; Feng, Y.; Lu, X. Combination of water-saving irrigation and nitrogen fertilization regulates greenhouse gas emissions and increases rice yields in high-cold regions, Northeast China. Int. J. Environ. Res. Public Health 2022, 19, 16506. [Google Scholar] [CrossRef]
- He, H.; Li, D.; Wu, Z.; Wu, Z.; Hu, Z.; Yang, S. Assessment of the straw and biochar application on greenhouse gas emissions and yield in paddy fields under intermittent and controlled irrigation patterns. Agric. Ecosyst. Environ. 2024, 359, 108745. [Google Scholar] [CrossRef]
- Yang, H.; Feng, J.; Weih, M.; Meng, Y.; Li, Y.; Zhai, S.; Zhang, W. Yield reduction of direct-seeded rice under returned straw can be mitigated by appropriate water management improving soil phosphorus availability. Crop Pasture Sci. 2020, 71, 134–146. [Google Scholar] [CrossRef]
- Borin, J.B.M.; Carmona, F.d.C.; Anghinoni, I.; Martins, A.P.; Jaeger, I.R.; Marcolin, E.; Hernandes, G.C.; Camargo, E.S. Soil solution chemical attributes, rice response and water use efficiency under different flood irrigation management methods. Agric. Water Manag. 2016, 176, 9–17. [Google Scholar] [CrossRef]
- Wang, J.; Wang, D.; Zhang, G.; Wang, Y.; Wang, C.; Teng, Y.; Christie, P. Nitrogen and phosphorus leaching losses from intensively managed paddy fields with straw retention. Agric. Water Manag. 2014, 141, 66–73. [Google Scholar] [CrossRef]
- Shaaban, M.; Peng, Q.-a.; Bashir, S.; Wu, Y.; Younas, A.; Xu, X.; Rashti, M.R.; Abid, M.; Zafar-ul-Hye, M.; Núñez-Delgado, A.; et al. Restoring effect of soil acidity and Cu on N2O emissions from an acidic soil. J. Environ. Manag. 2019, 250, 109535. [Google Scholar] [CrossRef]
- Shaaban, M.; Wu, Y.; Khalid, M.S.; Peng, Q.-a.; Xu, X.; Wu, L.; Younas, A.; Bashir, S.; Mo, Y.; Lin, S.; et al. Reduction in soil N2O emissions by pH manipulation and enhanced nosZ gene transcription under different water regimes. Environ. Pollut. 2018, 235, 625–631. [Google Scholar] [CrossRef]
- Wang, H.; Ahan, J.; Wu, Z.; Shi, D.; Liu, B.; Yang, C. Alteration of nitrogen metabolism in rice variety ‘Nipponbare’ induced by alkali stress. Plant Soil 2011, 355, 131–147. [Google Scholar] [CrossRef]
- Xiong, Z.; Zhu, D.; Lu, Y.; Lu, J.; Liao, Y.; Ren, T.; Li, X. Continuous potassium fertilization combined with straw return increased soil potassium availability and risk of potassium loss in rice-upland rotation systems. Chemosphere 2023, 344, 140390. [Google Scholar] [CrossRef]
- Nath, C.P.; Kumar, N.; Das, K.; Hazra, K.K.; Praharaj, C.S.; Singh, N.P. Impact of variable tillage based residue management and legume based cropping for seven years on enzymes activity, soil quality index and crop productivity in rice ecology. Environ. Sustain. Indic. 2021, 10, 100107. [Google Scholar] [CrossRef]
- Zhang, J.; Nie, J.; Cao, W.; Gao, Y.; Lu, Y.; Liao, Y. Long-term green manuring to substitute partial chemical fertilizer simultaneously improving crop productivity and soil quality in a double-rice cropping system. Eur. J. Agron. 2023, 142, 126641. [Google Scholar] [CrossRef]
- Liu, Z.; Zhou, W.; Shen, J.; He, P.; Lei, Q.; Liang, G. A simple assessment on spatial variability of rice yield and selected soil chemical properties of paddy fields in South China. Geoderma 2014, 235–236, 39–47. [Google Scholar] [CrossRef]
- Pan, G.; Smith, P.; Pan, W. The role of soil organic matter in maintaining the productivity and yield stability of cereals in China. Agric. Ecosyst. Environ. 2009, 129, 344–348. [Google Scholar] [CrossRef]
- Wang, S.; Zhai, L.; Guo, S.; Zhang, F.; Hua, L.; Liu, H. Returned straw reduces nitrogen runoff loss by influencing nitrification process through modulating soil C:N of different paddy systems. Agric. Ecosyst. Environ. 2023, 354, 108438. [Google Scholar] [CrossRef]
- Dong, Z.; Li, H.; Xiao, J.; Sun, J.; Liu, R.; Zhang, A. Soil multifunctionality of paddy field is explained by soil pH rather than microbial diversity after 8-years of repeated applications of biochar and nitrogen fertilizer. Sci. Total Environ. 2022, 853, 158620. [Google Scholar] [CrossRef] [PubMed]
- Aumtong, S.; Chotamonsak, C.; Glomchinda, T. Study of the interaction of dissolved organic Carbon, available nutrients, and clay content driving soil carbon storage in the rice rotation cropping system in Northern Thailand. Agronomy 2023, 13, 142. [Google Scholar] [CrossRef]
- Park, S.-I.; Yang, H.I.; Park, H.-J.; Seo, B.-S.; Jeong, Y.-J.; Lim, S.-S.; Kwak, J.-H.; Kim, H.-Y.; Yoon, K.-S.; Lee, S.-M.; et al. Rice straw cover decreases soil erosion and sediment-bound C, N, and P losses but increases dissolved organic C export from upland maize fields as evidenced by δ13C. Sci. Total Environ. 2021, 753, 142053. [Google Scholar] [CrossRef]
- Al-Kaisi, M.M.; Yin, X.; Licht, M.A. Soil carbon and nitrogen changes as influenced by tillage and cropping systems in some Iowa soils. Agric. Ecosyst. Environ. 2005, 105, 635–647. [Google Scholar] [CrossRef]
- Bashir, M.A.; Zhai, L.-m.; Wang, H.-y.; Liu, J.; Raza, Q.-U.-A.; Geng, Y.-c.; Rehim, A.; Liu, H.-b. Apparent variations in nitrogen runoff and its uptake in paddy rice under straw incorporation. J. Integr. Agric. 2022, 21, 3356–3367. [Google Scholar] [CrossRef]
- Cui, S.; Zhu, X.; Cao, G. Effects of years of rice straw return on soil nitrogen components from rice–wheat cropped fields. Agronomy 2022, 12, 1247. [Google Scholar] [CrossRef]
- Liu, N.; Li, Y.; Cong, P.; Wang, J.; Guo, W.; Pang, H.; Zhang, L. Depth of straw incorporation significantly alters crop yield, soil organic carbon and total nitrogen in the North China Plain. Soil Tillage Res. 2021, 205, 104772. [Google Scholar] [CrossRef]
- Das, S.; Bhattacharyya, R.; Das, T.K.; Sharma, A.R.; Dwivedi, B.S.; Meena, M.C.; Dey, A.; Biswas, S.; Aditya, K.; Aggarwal, P.; et al. Soil quality indices in a conservation agriculture based rice-mustard cropping system in North-western Indo-Gangetic Plains. Soil Tillage Res. 2021, 208, 104914. [Google Scholar] [CrossRef]
- Bu, R.; Ren, T.; Lei, M.; Liu, B.; Li, X.; Cong, R.; Zhang, Y.; Lu, J. Tillage and straw-returning practices effect on soil dissolved organic matter, aggregate fraction and bacteria community under rice-rice-rapeseed rotation system. Agric. Ecosyst. Environ. 2020, 287, 106681. [Google Scholar] [CrossRef]
- Li, Y.; Feng, H.; Dong, Q.; Xia, L.; Li, J.; Li, C.; Zang, H.; Andersen, M.N.; Olesen, J.E.; Jørgensen, U.; et al. Ammoniated straw incorporation increases wheat yield, yield stability, soil organic carbon and soil total nitrogen content. Field Crops Res. 2022, 284, 108558. [Google Scholar] [CrossRef]
- Liu, X.; Liu, H.; Zhang, Y.; Chen, G.; Li, Z.; Zhang, M. Straw return drives soil microbial community assemblage to change metabolic processes for soil quality amendment in a rice-wheat rotation system. Soil Biol. Biochem. 2023, 185, 109131. [Google Scholar] [CrossRef]
- Rahmanipour, F.; Marzaioli, R.; Bahrami, H.A.; Fereidouni, Z.; Bandarabadi, S.R. Assessment of soil quality indices in agricultural lands of Qazvin Province, Iran. Ecol. Indic. 2014, 40, 19–26. [Google Scholar] [CrossRef]
- Jin, H.; Shi, D.; Lou, Y.B.; Zhang, J.; Ye, Q.; Jiang, N. Evaluation of the quality of cultivated-layer soil based on different degrees of erosion in sloping farmland with purple soil in China. Catena 2021, 198, 105048. [Google Scholar] [CrossRef]
- Wang, X.; Wang, Q.; Zhang, Y.; Zhang, J.; Xia, S.; Qin, H.; Feng, C.; Bie, S. Influence of decomposition agent application and schedule in wheat straw return practice on soil quality and crop yield. Chem. Biol. Technol. Agric. 2023, 10. [Google Scholar] [CrossRef]
- Adak, S.; Bandyopadhyay, K.; Purakayastha, T.J.; Sen, S.; Sahoo, R.N.; Shrivastava, M.; Krishnan, P. Impact of contrasting tillage, residue mulch and nitrogen management on soil quality and system productivity under maize-wheat rotation in the north-western Indo-Gangetic Plains. Front. Sustain. Food Syst. 2023, 7, 1230207. [Google Scholar] [CrossRef]
- Zhu, D.; Lu, J.; Cong, R.; Ren, T.; Zhang, W.; Li, X. Potassium management effects on quantity/intensity relationship of soil potassium under rice-oilseed rape rotation system. Arch. Agron. Soil Sci. 2019, 66, 1274–1287. [Google Scholar] [CrossRef]
- Chang, F.; Zhang, H.; Song, J.; Yu, R.; Zhang, X.; Li, H.; Wang, J.; Kan, Z.; Li, Y. Once-middle amount of straw interlayer enhances saline soil quality and sunflower yield in semi-arid regions of China: Evidence from a four-year experiment. J. Environ. Manag. 2023, 344, 118530. [Google Scholar] [CrossRef]
- Moyano, F.E.; Manzoni, S.; Chenu, C. Responses of soil heterotrophic respiration to moisture availability: An exploration of processes and models. Soil Biol. Biochem. 2013, 59, 72–85. [Google Scholar] [CrossRef]
- Mi, W.; Sun, T.; Ma, Y.; Chen, C.; Ma, Q.; Wu, L.; Wu, Q.; Xu, Q. Higher yield sustainability and soil quality by manure amendment than straw returning under a single-rice cropping system. Field Crops Res. 2023, 292, 108805. [Google Scholar] [CrossRef]
- Nie, T.; Huang, J.; Zhang, Z.; Chen, P.; Li, T.; Dai, C. The inhibitory effect of a water-saving irrigation regime on CH4 emission in Mollisols under straw incorporation for 5 consecutive years. Agric. Water Manag. 2023, 278, 108163. [Google Scholar] [CrossRef]
- Ran, C.; Gao, D.; Liu, W.; Guo, L.; Bai, T.; Shao, X.; Geng, Y. Straw and nitrogen amendments improve soil, rice yield, and roots in a saline sodic soil. Rhizosphere 2022, 24, 100606. [Google Scholar] [CrossRef]
- Qi, Y.; Darilek, J.L.; Huang, B.; Zhao, Y.; Sun, W.; Gu, Z. Evaluating soil quality indices in an agricultural region of Jiangsu Province, China. Geoderma 2009, 149, 325–334. [Google Scholar] [CrossRef]
- Zhang, X.; You, Y.; Wang, D.; Zhu, L. Quality evaluation of the soil-root composites layer of Leymus chinensis grassland based on different degradation degrees. Catena 2022, 215, 106330. [Google Scholar] [CrossRef]
- Lin, S.; Lei, Q.; Liu, Y.; Zhao, Y.; Su, L.; Wang, Q.; Tao, W.; Deng, M. Quantifying the impact of organic fertilizers on soil quality under varied irrigation water sources. Water 2023, 15, 3618. [Google Scholar] [CrossRef]
- Karaca, S.; Dengiz, O.; Demirağ Turan, İ.; Özkan, B.; Dedeoğlu, M.; Gülser, F.; Sargin, B.; Demirkaya, S.; Ay, A. An assessment of pasture soils quality based on multi-indicator weighting approaches in semi-arid ecosystem. Ecol. Indic. 2021, 121, 107001. [Google Scholar] [CrossRef]







| F3 Principal Component | C3 Principal Component | C7 Principal Component | F7 Principal Component | |||||||||||||
|---|---|---|---|---|---|---|---|---|---|---|---|---|---|---|---|---|
| 1 | 2 | 3 | 4 | 1 | 2 | 3 | 4 | 1 | 2 | 3 | 4 | 1 | 2 | 3 | 4 | |
| Eigenvalues | 4.73 | 4.38 | 2.88 | 1.06 | 5.12 | 4.01 | 2.66 | 1.82 | 4.12 | 3.55 | 3.38 | 2.54 | 3.96 | 3.76 | 3.31 | 2.69 |
| Contribution rate (%) | 33.78 | 31.28 | 20.60 | 7.60 | 36.56 | 28.67 | 18.97 | 12.98 | 29.42 | 25.39 | 24.11 | 18.13 | 28.30 | 26.82 | 23.66 | 19.24 |
| Cumulative contribution rate (%) | 33.78 | 65.06 | 85.66 | 93.26 | 36.56 | 65.23 | 84.20 | 97.18 | 29.42 | 54.81 | 79.92 | 97.05 | 28.30 | 55.13 | 78.79 | 98.03 |
| Soil indicators | ||||||||||||||||
| pH | 0.50 | 0.36 | 0.70 | 0.01 | 0.47 | 0.22 | 0.29 | 0.77 | 0.40 | 0.11 | 0.23 | 0.87 | 0.37 | 0.26 | 0.04 | 0.88 |
| NH4+-N | −0.08 | 0.14 | 0.97 | −0.07 | 0.50 | 0.20 | 0.74 | −0.07 | 0.36 | 0.59 | 0.29 | 0.59 | 0.39 | 0.28 | 0.12 | 0.86 |
| NO3−-N | −0.03 | 0.02 | 0.97 | 0.09 | 0.04 | 0.03 | −0.35 | 0.92 | 0.32 | −0.03 | 0.11 | 0.93 | 0.21 | −0.02 | 0.62 | 0.73 |
| AK | 0.27 | 0.72 | −0.13 | 0.21 | 0.10 | 0.52 | 0.80 | 0.10 | 0.06 | −0.22 | 0.89 | 0.27 | 0.01 | 0.95 | 0.02 | 0.21 |
| AP | −0.43 | 0.76 | 0.43 | 0.09 | 0.23 | −0.07 | 0.93 | −0.17 | −0.01 | 0.97 | 0.01 | 0.10 | 0.01 | 0.96 | −0.14 | 0.17 |
| DOC | 0.12 | 0.97 | 0.15 | −0.06 | 0.17 | 0.98 | 0.02 | 0.12 | 0.16 | 0.98 | −0.02 | −0.05 | 0.29 | −0.03 | 0.94 | 0.09 |
| SOC | 0.19 | 0.95 | 0.13 | −0.10 | 0.24 | 0.96 | 0.14 | 0.06 | 0.27 | 0.16 | 0.92 | 0.11 | 0.31 | 0.46 | 0.81 | 0.13 |
| Treatments | MDS |
|---|---|
| F3 | MBC/MBN, DOC, NO3−_N, C/N |
| C3 | MBC/MBN, SOC, AP, NO3−_N |
| C7 | DON, SOM, DOC, NO3−_N |
| F7 | MBN, AK, DOC, pH |
| Indicators | Values |
|---|---|
| pH | 7.05 |
| Total C (%) | 37.06 |
| Total N (g kg−1) | 6.34 |
| Total P (g kg−1) | 2.31 |
| Total K (g kg−1) | 10.67 |
| Treatments | Irrigation Regimes | Straw Incorporation Years | Regreening Stage | Tillering Stage | Later Tillering | Booting Stage | Flowering Stage | Milk Stage | Mature Stage |
|---|---|---|---|---|---|---|---|---|---|
| C3 | Controlled irrigation | 3 | 0~30 mm | 70%~100% θs | Drainage | 80%~100% θs | 80%~100% θs | 70%~100% θs | Naturally drying |
| C7 | |||||||||
| F3 | Flooded irrigation | 7 | 0~30 mm | 20~50 mm | Drainage | 60~80 mm | 60~80 mm | 0~30 mm | |
| F7 |
| Soil Indicators | Methods | Abbreviations | References |
|---|---|---|---|
| Soil Acidity and Alkalinity | pH meter | pH | Ran et al. [80] |
| Ammonium Nitrogen | Indophenol blue colorimetric | NH4+-N | Nie et al. [79] |
| Nitrate Nitrogen | UV dual-wavelength | NO3−-N | |
| Available Phosphorus | NaHCO3-leaching—molybdenum antimony colorimetric | AP | Yang et al. [37] |
| Available Potassium | Flame photometer analysis | AK | |
| Total Nitrogen | Kjeldahl method | TN | Qi et al. [81] |
| Soil Organic Carbon | Dichromate oxidation | SOC | Das et al. [67] |
| Soil Organic Matter | SOM | ||
| Dissolved Organic Carbon | DOC | ||
| Microbial Biomass Carbon | Chloroform-fumigation technique | MBC | Marion et al. [7] |
| Microbial Biomass Nitrogen | MBN |
Disclaimer/Publisher’s Note: The statements, opinions and data contained in all publications are solely those of the individual author(s) and contributor(s) and not of MDPI and/or the editor(s). MDPI and/or the editor(s) disclaim responsibility for any injury to people or property resulting from any ideas, methods, instructions or products referred to in the content. |
© 2024 by the authors. Licensee MDPI, Basel, Switzerland. This article is an open access article distributed under the terms and conditions of the Creative Commons Attribution (CC BY) license (https://creativecommons.org/licenses/by/4.0/).
Share and Cite
Zhang, P.; Chen, P.; Nie, T.; Zhang, Z.; Li, T.; Dai, C.; Jiang, L.; Wu, Y.; Sun, Z.; Yin, S. Long-Term Straw Incorporation under Controlled Irrigation Improves Soil Quality of Paddy Field and Rice Yield in Northeast China. Plants 2024, 13, 1357. https://doi.org/10.3390/plants13101357
Zhang P, Chen P, Nie T, Zhang Z, Li T, Dai C, Jiang L, Wu Y, Sun Z, Yin S. Long-Term Straw Incorporation under Controlled Irrigation Improves Soil Quality of Paddy Field and Rice Yield in Northeast China. Plants. 2024; 13(10):1357. https://doi.org/10.3390/plants13101357
Chicago/Turabian StyleZhang, Peng, Peng Chen, Tangzhe Nie, Zhongxue Zhang, Tiecheng Li, Changlei Dai, Lili Jiang, Yu Wu, Zhongyi Sun, and Shuai Yin. 2024. "Long-Term Straw Incorporation under Controlled Irrigation Improves Soil Quality of Paddy Field and Rice Yield in Northeast China" Plants 13, no. 10: 1357. https://doi.org/10.3390/plants13101357
APA StyleZhang, P., Chen, P., Nie, T., Zhang, Z., Li, T., Dai, C., Jiang, L., Wu, Y., Sun, Z., & Yin, S. (2024). Long-Term Straw Incorporation under Controlled Irrigation Improves Soil Quality of Paddy Field and Rice Yield in Northeast China. Plants, 13(10), 1357. https://doi.org/10.3390/plants13101357

