Reduction in the Use of Some Herbicides Favors Nitrogen Fixation Efficiency in Phaseolus vulgaris and Medicago sativa
Abstract
1. Introduction
2. Results
2.1. Effectiveness of Herbicides
2.2. Effect of Herbicides on Plant Growth and Nitrogen Fixation
2.3. Nodulation Genes Expression
2.4. Root Exudates Composition
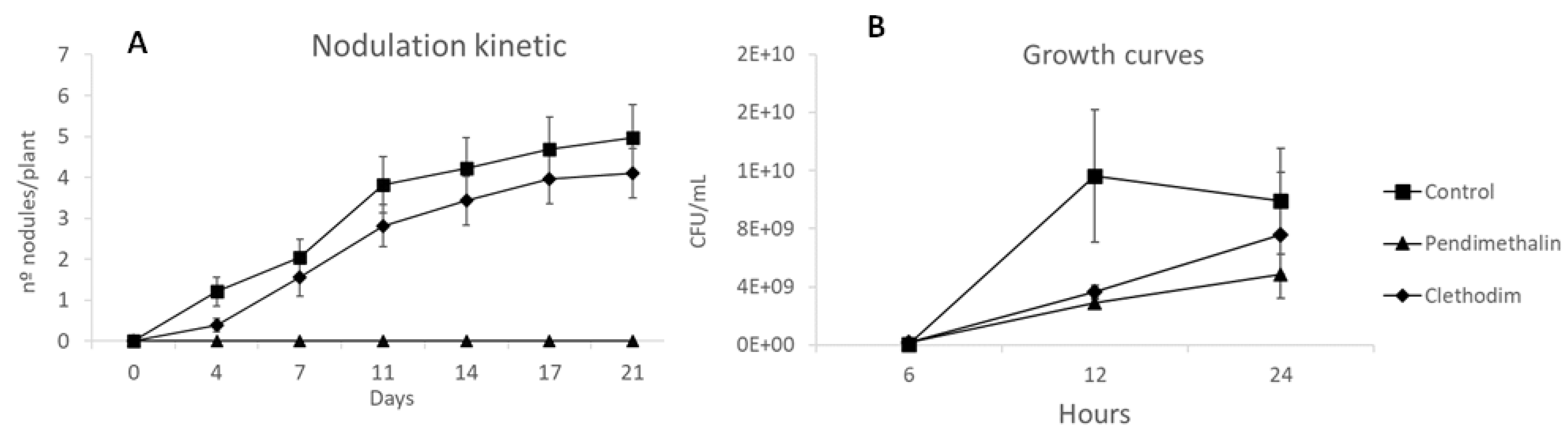
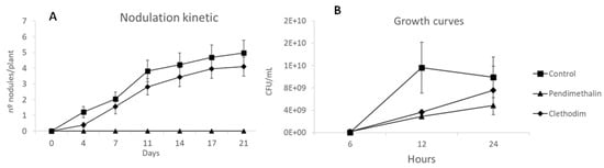
2.5. Nodulation Kinetics and Bacterial Growth and Motility
3. Discussion
4. Materials and Methods
4.1. Plant Material and Growth Conditions
4.2. Soil Collection and Properties
4.3. Herbicides Treatments and Harvest
4.4. Nitrogen Fixation
4.5. Collection and Analysis of Root Exudates of Phaseolus vulgaris
4.6. Nodulation Kinetics and Bacteria Motility Assays
4.7. Nodulation Genes Expression Analysis
4.8. Statistical Analysis
Supplementary Materials
Author Contributions
Funding
Informed Consent Statement
Data Availability Statement
Acknowledgments
Conflicts of Interest
References
- Sharma, A.; Kumar, V.; Shahzad, B.; Tanveer, M.; Sidhu, G.P.S.; Handa, N.; Kohli, S.K.; Yadav, P.; Bali, A.S.; Parihar, R.D.; et al. Worldwide Pesticide Usage and Its Impacts on Ecosystem. SN Appl. Sci. 2019, 1, 1446. [Google Scholar] [CrossRef]
- Aloo, B.N.; Rashid Mbega, E.; Makumba, B.A.; Tumuhairwe, J.B. Effects of Agrochemicals on the Beneficial Plant Rhizobacteria in Agricultural Systems. Environ. Sci. Pollut. Res. 2021, 18, 60406–60424. [Google Scholar] [CrossRef] [PubMed]
- Huang, X.; He, J.; Yan, X.; Hong, Q.; Chen, K.; He, Q.; Zhang, L.; Liu, X.; Chuang, S.; Li, S.; et al. Microbial Catabolism of Chemical Herbicides: Microbial Resources, Metabolic Pathways and Catabolic Genes. Pestic. Biochem. Physiol. 2017, 143, 272–297. [Google Scholar] [CrossRef] [PubMed]
- Pinto, A.P.; Serrano, C.; Pires, T.; Mestrinho, E.; Dias, L.; Teixeira, D.M.; Caldeira, A.T. Degradation of Terbuthylazine, Difenoconazole and Pendimethalin Pesticides by Selected Fungi Cultures. Sci. Total Environ. 2012, 435–436, 402–410. [Google Scholar] [CrossRef] [PubMed]
- Kulshrestha, G.; Singh, S.B.; Lal, S.P.; Yaduraju, N.T. Effect of Long-Term Field Application of Pendimethalin: Enhanced Degradation in Soil. Pest Manag. Sci. 2000, 56, 202–206. [Google Scholar] [CrossRef]
- Kjær, J.; Ernsten, V.; Jacobsen, O.H.; Hansen, N.; de Jonge, L.W.; Olsen, P. Transport Modes and Pathways of the Strongly Sorbing Pesticides Glyphosate and Pendimethalin through Structured Drained Soils. Chemosphere 2011, 84, 471–479. [Google Scholar] [CrossRef] [PubMed]
- Luks, A.K.; Zegarski, T.; Nowak, K.M.; Miltner, A.; Kästner, M.; Matthies, M.; Schmidt, B.; Schäffer, A. Fate of Pendimethalin in Soil and Characterization of Non-Extractable Residues (NER). Sci. Total Environ. 2021, 753, 141870. [Google Scholar] [CrossRef]
- Danion, M.; Le Floch, S.; Lamour, F.; Quentel, C. Effects of in Vivo Chronic Exposure to Pendimethalin on EROD Activity and Antioxidant Defenses in Rainbow Trout (Oncorhynchus mykiss). Ecotoxicol. Environ. Saf. 2014, 99, 21–27. [Google Scholar] [CrossRef]
- Park, H.; Lee, J.Y.; Lim, W.; Song, G. Assessment of the in Vivo Genotoxicity of Pendimethalin via Mitochondrial Bioenergetics and Transcriptional Profiles during Embryogenesis in Zebrafish: Implication of Electron Transport Chain Activity and Developmental Defects. J. Hazard. Mater. 2021, 411, 125153. [Google Scholar] [CrossRef]
- Meng, Y.; Zhong, K.; Chen, S.; Huang, Y.; Wei, Y.; Wu, J.; Liu, J.; Xu, Z.; Guo, J.; Liu, F.; et al. Cardiac Toxicity Assessment of Pendimethalin in Zebrafish Embryos. Ecotoxicol. Environ. Saf. 2021, 222, 112514. [Google Scholar] [CrossRef]
- Arici, M.; Abudayyak, M.; Boran, T.; Özhan, G. Does Pendimethalin Develop in Pancreatic Cancer Induced Inflammation? Chemosphere 2020, 252, 126644. [Google Scholar] [CrossRef] [PubMed]
- Huang, L.; Chen, H.; Cui, P.; Ding, Y.; Wang, M.; Hua, X. Development of Immunoassay Based on Rational Hapten Design for Sensitive Detection of Pendimethalin in Environment. Sci. Total Environ. 2022, 830, 154690. [Google Scholar] [CrossRef] [PubMed]
- Lee, H.S.; Amarakoon, D.; Tamia, G.; Park, Y.; Smolensky, D.; Lee, S.H. Pendimethalin Induces Apoptotic Cell Death through Activating ER Stress-Mediated Mitochondrial Dysfunction in Human Umbilical Vein Endothelial Cells. Food Chem. Toxicol. 2022, 168, 113370. [Google Scholar] [CrossRef] [PubMed]
- Marchioretto, L.d.R.; Dal Magro, T. Weed Control and Crop Selectivity of Post-Emergence Herbicides in Common Beans. Cienc. Rural 2017, 47, 3. [Google Scholar] [CrossRef]
- Villaverde, J.J.; Sevilla-Morán, B.; López-Goti, C.; Calvo, L.; Alonso-Prados, J.L.; Sandín-España, P. Photolysis of Clethodim Herbicide and a Formulation in Aquatic Environments: Fate and Ecotoxicity Assessment of Photoproducts by QSAR Models. Sci. Total Environ. 2018, 615, 643–651. [Google Scholar] [CrossRef] [PubMed]
- Brêda-Alves, F.; de Oliveira, V.F.; Cordeiro-Araújo, M.K.; Chia, M.A. The Combined Effect of Clethodim (Herbicide) and Nitrogen Variation on Allelopathic Interactions between Microcystis aeruginosa and Raphidiopsis raciborskii. Environ. Sci. Pollut. Res. 2021, 28, 11528–11539. [Google Scholar] [CrossRef]
- Amajioyi, J.; Nleya, T.; Reicks, G.; Moriles-Miller, J.; Clay, D.; Clay, S. Auxin-Based Herbicide Program for Weed Control in Auxin Resistant Soybean. Agrosystems Geosci. Environ. 2022, 5, e20299. [Google Scholar] [CrossRef]
- Sandín-España, P.; Sevilla-Morán, B.; López-Goti, C.; Mateo-Miranda, M.M.; Alonso-Prados, J.L. Rapid Photodegradation of Clethodim and Sethoxydim Herbicides in Soil and Plant Surface Model Systems. Arab. J. Chem. 2016, 9, 694–703. [Google Scholar] [CrossRef]
- Singh, R.; Singh, G. Yield and Nutrient Uptake in Mungbean [Vigna Radiata (L.) Wilczek]. Arch. Agron. Soil Sci. 2020, 67, 410–425. [Google Scholar] [CrossRef]
- Strandberg, M.; Scott-Fordsmand, J.J. Effects of Pendimethalin at Lower Trophic Levels—A Review. Ecotoxicol. Environ. Saf. 2004, 57, 190–201. [Google Scholar] [CrossRef]
- Karpouzas, D.G.; Papadopoulou, E.; Ipsilantis, I.; Friedel, I.; Petric, I.; Udikovic-Kolic, N.; Djuric, S.; Kandeler, E.; Menkissoglu-Spiroudi, U.; Martin-Laurent, F. Effects of Nicosulfuron on the Abundance and Diversity of Arbuscular Mycorrhizal Fungi Used as Indicators of Pesticide Soil Microbial Toxicity. Ecol. Indic. 2014, 39, 44–53. [Google Scholar] [CrossRef]
- Wagg, C.; Bender, S.F.; Widmer, F.; Van Der Heijden, M.G.A. Soil Biodiversity and Soil Community Composition Determine Ecosystem Multifunctionality. Proc. Natl. Acad. Sci. USA 2014, 111, 5266–5270. [Google Scholar] [CrossRef] [PubMed]
- Basu, S.; Kumar, G. Nitrogen Fixation in a Legume-Rhizobium Symbiosis: The Roots of a Success Story. In Plant Microbe Symbiosis; Springer: Berlin/Heidelberg, Germany, 2020; pp. 35–53. [Google Scholar] [CrossRef]
- Sprent, J.I. Evolution and Diversity of Legume Symbiosis. In Nitrogen-Fixing Leguminous Symbioses; Springer: Berlin/Heidelberg, Germany, 2008; pp. 1–21. [Google Scholar] [CrossRef]
- Caetano-Anollés, G.; Crist-Estes, D.K.; Bauer, W.D. Chemotaxis of Rhizobium meliloti to the Plant Flavone Luteolin Requires Functional Nodulation Genes. J. Bacteriol. 1988, 170, 3164–3169. [Google Scholar] [CrossRef] [PubMed]
- Compton, K.K.; Hildreth, S.B.; Helm, R.F.; Scharf, B.E. An Updated Perspective on Sinorhizobium meliloti Chemotaxis to Alfalfa Flavonoids. Front. Microbiol. 2020, 11, 581482. [Google Scholar] [CrossRef] [PubMed]
- Ghantasala, S.; Choudhury, S.R. Nod Factor Perception: An Integrative View of Molecular Communication during Legume Symbiosis. Plant Mol. Biol. 2022, 110, 485–509. [Google Scholar] [CrossRef]
- Broughton, W.J.; Jabbouri, S.; Perret, X. Keys to Symbiotic Harmony. J. Bacteriol. 2000, 182, 5641–5652. [Google Scholar] [CrossRef]
- Oldroyd, G.E.D.; Murray, J.D.; Poole, P.S.; Downie, J.A. The Rules of Engagement in the Legume-Rhizobial Symbiosis. Annu. Rev. Genet. 2011, 45, 119–144. [Google Scholar] [CrossRef]
- Vance, C.P. Symbiotic Nitrogen Fixation and Phosphorus Acquisition. Plant Nutrition in a World of Declining Renewable Resources. Plant Physiol. 2001, 127, 390–397. [Google Scholar] [CrossRef]
- Peoples, M.B.; Brockwell, J.; Herridge, D.F.; Rochester, I.J.; Alves, B.J.R.; Urquiaga, S.; Boddey, R.M.; Dakora, F.D.; Bhattarai, S.; Maskey, S.L.; et al. The Contributions of Nitrogen-Fixing Crop Legumes to the Productivity of Agricultural Systems. Symbiosis 2009, 48, 1–17. [Google Scholar] [CrossRef]
- Graham, P.H.; Vance, C.P. Legumes: Importance and Constraints to Greater Use. Plant Physiol. 2003, 131, 872–877. [Google Scholar] [CrossRef]
- Fox, J.E.; Gulledge, J.; Engelhaupt, E.; Burow, M.E.; McLachlan, J.A. Pesticides Reduce Symbiotic Efficiency of Nitrogen-Fixing Rhizobia and Host Plants. Proc. Natl. Acad. Sci. USA 2007, 104, 10282–10287. [Google Scholar] [CrossRef] [PubMed]
- Anderson, A.; Baldock, J.A.; Rogers, S.L.; Bellotti, W.; Gill, G. Influence of Chlorsulfuron on Rhizobial Growth, Nodule Formation, and Nitrogen Fixation with Chickpea. Aust. J. Agric. Res. 2004, 55, 1059–1070. [Google Scholar] [CrossRef]
- Khan, M.S.; Zaidi, A.; Aamil, M. Influence of Herbicides on Chickpea-Mesorhizobium Symbiosis. Agronomie 2004, 24, 123–127. [Google Scholar] [CrossRef]
- Burul, F.; Barić, K.; Lakić, J. Herbicides Effects on Symbiotic Nitrogen-Fixing Bacteria Učinak Herbicida Na Bakterije Simbiotske Fiksatore Dušika. J. Cent. Eur. Agric. 2022, 23, 89–102. [Google Scholar] [CrossRef]
- Eberbach, P.L.; Douglas, L.A. Herbicide Effects on the Growth and Nodulation Potential of Rhizobium trifolii with Trifolium subterraneum L. Plant Soil 1989, 119, 15–23. [Google Scholar] [CrossRef]
- Rípodas, C.; Castaingts, M.; Clúa, J.; Villafañe, J.; Blanco, F.A.; Zanetti, M.E. The PvNF-YA1 and PvNF-YB7 Subunits of the Heterotrimeric Nf-y Transcription Factor Influence Strain Preference in the Phaseolus Vulgaris–Rhizobium Etli Symbiosis. Front. Plant Sci. 2019, 10, 221. [Google Scholar] [CrossRef]
- FAO. Fertilizers by Nutrients; Food and Agriculture Organization: Rome, Italy, 2021. [Google Scholar]
- Tilman, D.; Balzer, C.; Hill, J.; Befort, B.L. Global Food Demand and the Sustainable Intensification of Agriculture. Proc. Natl. Acad. Sci. USA 2011, 108, 20260–20264. [Google Scholar] [CrossRef]
- Drinkwater, L.E.; Wagoner, P.; Sarrantonio, M. Legume-Based Cropping Systems Have Reduced Carbon and Nitrogen Losses. Nature 1998, 396, 262–265. [Google Scholar] [CrossRef]
- Gilliam, C.H.; Eakes, D.J.; Olive, J.W. Herbicide Use During Propagation Affects Root Initiation and Development. J. Environ. Hortic. 1993, 11, 157–159. [Google Scholar] [CrossRef]
- Pahwa, S.K.; Prakash, J.; Sharma, H.R. Effect of Herbicides on the Growth, Nodulation and Symbiotic Nitrogen Fixation in Pigeon Pea (Cajanus Cajan (L.) Millsp.). Crop Res. 1988, 1, 131–140. [Google Scholar]
- Fox, J.E.; Starcevic, M.; Kow, K.Y.; Burow, M.E.; McLachlan, J.A. Endocrine Disrupters and Flavonoid Signalling. Nature 2001, 413, 128–129. [Google Scholar] [CrossRef]
- Alagawadi, A.R.; Patil, V.C.; Reddy, T.K.R. Effect of Pendimethalin on Phosphate Solubilizing Bacteria Inoculated to Cowpea Plants. Zentralbl. Mikrobiol. 1990, 145, 57–60. [Google Scholar] [CrossRef]
- Chaudhary, M.F.; Abbasi, A.A. Effect of Pre-Emergence Herbicides on Nodulation, Nitrogen Fixation and Morphological Characters in Groundnut (Arachis hypogaea). Pak. J. Biol. Sci. 2000, 3, 1775–1777. [Google Scholar]
- Qu, Q.; Li, Y.; Zhang, Z.; Cui, H.; Zhao, Q.; Liu, W.; Lu, T.; Qian, H. Effects of S-Metolachlor on Wheat (Triticum Aestivum L.) Seedling Root Exudates and the Rhizosphere Microbiome. J. Hazard. Mater. 2021, 411, 125137. [Google Scholar] [CrossRef] [PubMed]
- Sharma, P.; Khanna, V. In Vitro Sensitivity of Rhizobium and Phosphate Solubilising Bacteria to Herbicides. Indian J. Microbiol. 2011, 51, 230–233. [Google Scholar] [CrossRef]
- Singh, R.; Singh, G. Effect of Pendimethalin and Imazethapyr on the Development of Microorganisms in vitro and at Field Conditions. Toxicol. Environ. Chem. 2020, 102, 439–454. [Google Scholar] [CrossRef]
- Chen, S.; Li, X.; Lavoie, M.; Jin, Y.; Xu, J.; Fu, Z.; Qian, H. Diclofop-Methyl Affects Microbial Rhizosphere Community and Induces Systemic Acquired Resistance in Rice. J. Environ. Sci. 2017, 51, 352–360. [Google Scholar] [CrossRef]
- Liu, W.; Zhao, Q.; Zhang, Z.; Li, Y.; Xu, N.; Qu, Q.; Lu, T.; Pan, X.; Qian, H. Enantioselective Effects of Imazethapyr on Arabidopsis Thaliana Root Exudates and Rhizosphere Microbes. Sci. Total Environ. 2020, 716, 137121. [Google Scholar] [CrossRef] [PubMed]
- Canarini, A.; Kaiser, C.; Merchant, A.; Richter, A.; Wanek, W. Root Exudation of Primary Metabolites: Mechanisms and Their Roles in Plant Responses to Environmental Stimuli. Front. Plant Sci. 2019, 10, 157. [Google Scholar] [CrossRef]
- Zhang, L.; Li, X.; Zuo, W.; Li, S.; Sun, G.; Wang, W.; Yu, Y.; Huang, H. Root Exuded Low-Molecular-Weight Organic Acids Affected the Phenanthrene Degrader Differently: A Multi-Omics Study. J. Hazard. Mater. 2021, 414, 125367. [Google Scholar] [CrossRef]
- USDA. Methods and Procedures for Collecting Soil Samples. In Soil Survey Laboratory; Soil Conservation Service—USDA: Washington, DC, USA, 1972. [Google Scholar]
- Olsen, S.R.; Sommers, L.E. Phosphorus. In Methods of Soil Analysis: Part 2 Chemical and Microbiological Properties; Page, A.L., Ed.; Agronomy Monographs: Madison, WI, USA, 1982; pp. 403–430. [Google Scholar]
- Barahona, E. Determinación de Carbonatos Totales y Caliza Activa. Grupo de Trabajo de Normalización de Métodos Analíticos. In I Congreso Nacional de la Ciencia del Suelo; Sociedad Española de la Ciencia del Suelo: Madrid, Spain, 1984; pp. 53–67. [Google Scholar]
- Tyurin, I.V. Analytical procedure for a comparative study of soil humus. Trudy. Pochr. Inst. Dokuchaeva 1951, 33, 5–21. [Google Scholar]
- Witty, J.F.; Minchin, F.R. Hydrogen Measurements Provide Direct Evidence for a Variable Physical Barrier to Gas Diffusion in Legume Nodules. J. Exp. Bot. 1998, 49, 1015–1020. [Google Scholar] [CrossRef]
- Dardanelli, M.S.; de Córdoba, F.J.F.; Estévez, J.; Contreras, R.; Cubo, M.T.; Rodríguez-Carvajal, M.T.; Gil-Serrano, A.M.; López-Baena, F.J.; Bellogín, R.; Manyani, H.; et al. Changes in Flavonoids Secreted by Phaseolus vulgaris Roots in the Presence of Salt and the Plant Growth-Promoting Rhizobacterium Chryseobacterium balustinum. Appl. Soil Ecol. 2012, 57, 31–38. [Google Scholar] [CrossRef]
- Rodríguez, S.; Correa-Galeote, D.; Sánchez-Pérez, M.; Ramírez, M.; Isidra-Arellano, M.C.; Reyero-Saavedra, M.R.; Zamorano-Sánchez, D.; Hernández, G.; Valdés-López, O.; Girard, L. A Novel OmpR-Type Response Regulator Controls Multiple Stages of the Rhizobium Etli—Phaseolus Vulgaris N2-Fixing Symbiosis. Front. Microbiol. 2020, 11, 3250. [Google Scholar] [CrossRef] [PubMed]
- Livak, K.J.; Schmittgen, T.D. Analysis of Relative Gene Expression Data Using Real-Time Quantitative PCR and the 2−ΔΔCT Method. Methods 2001, 25, 402–408. [Google Scholar] [CrossRef] [PubMed]








| pH | EC (ds m−1) | N (g kg−1) | C (g kg−1) | OC (g kg−1) | CaCO3 (g kg−1) | Pav (mg kg−1) | Clay (%) | Silt (%) | Sand (%) |
|---|---|---|---|---|---|---|---|---|---|
| 7.42 | 0.79 | 2.4 | 52.2 | 20.5 | 15.7 | 51.0 | 30.9 | 14.8 | 54.3 |
| Herbicide | Classification HRAC * | Product Name | Manufacturer | Concentration Active Ingredient (AI) | Product Dosage | Product Amount per Pot |
|---|---|---|---|---|---|---|
| Pendimethalin | Cycloexanodiona | Ordago® | ADAMA (Spain) | 40% p/v | 3 L/ha (1.2 kg AI/ha) | 3.07 µg |
| Clethodim | Dinitroanilina | Centurión® | Bayer (Switzerland) | 12% p/v | 1 L/ha (0.12 kg AI/ha) | 0.30 µg |
Disclaimer/Publisher’s Note: The statements, opinions and data contained in all publications are solely those of the individual author(s) and contributor(s) and not of MDPI and/or the editor(s). MDPI and/or the editor(s) disclaim responsibility for any injury to people or property resulting from any ideas, methods, instructions or products referred to in the content. |
© 2023 by the authors. Licensee MDPI, Basel, Switzerland. This article is an open access article distributed under the terms and conditions of the Creative Commons Attribution (CC BY) license (https://creativecommons.org/licenses/by/4.0/).
Share and Cite
Paniagua-López, M.; Jiménez-Pelayo, C.; Gómez-Fernández, G.O.; Herrera-Cervera, J.A.; López-Gómez, M. Reduction in the Use of Some Herbicides Favors Nitrogen Fixation Efficiency in Phaseolus vulgaris and Medicago sativa. Plants 2023, 12, 1608. https://doi.org/10.3390/plants12081608
Paniagua-López M, Jiménez-Pelayo C, Gómez-Fernández GO, Herrera-Cervera JA, López-Gómez M. Reduction in the Use of Some Herbicides Favors Nitrogen Fixation Efficiency in Phaseolus vulgaris and Medicago sativa. Plants. 2023; 12(8):1608. https://doi.org/10.3390/plants12081608
Chicago/Turabian StylePaniagua-López, Mario, César Jiménez-Pelayo, Germán Orlando Gómez-Fernández, José Antonio Herrera-Cervera, and Miguel López-Gómez. 2023. "Reduction in the Use of Some Herbicides Favors Nitrogen Fixation Efficiency in Phaseolus vulgaris and Medicago sativa" Plants 12, no. 8: 1608. https://doi.org/10.3390/plants12081608
APA StylePaniagua-López, M., Jiménez-Pelayo, C., Gómez-Fernández, G. O., Herrera-Cervera, J. A., & López-Gómez, M. (2023). Reduction in the Use of Some Herbicides Favors Nitrogen Fixation Efficiency in Phaseolus vulgaris and Medicago sativa. Plants, 12(8), 1608. https://doi.org/10.3390/plants12081608

