Enhancing Yield and Physiological Performance by Foliar Applications of Chemically Inert Mineral Particles in a Rainfed Vineyard under Mediterranean Conditions
Abstract
1. Introduction
2. Results
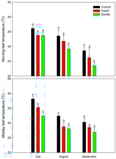
2.1. Environmental Conditions and Leaf Temperature
2.2. Leaf Gas Exchange Parameters and Vine Water Status
2.3. Yield Components and Fruit Composition at Harvest
2.4. Grape Health Status at Harvest
3. Discussion
4. Materials and Methods
4.1. Weather Data
4.2. Plant Material and Treatment Layout
4.3. Gas Exchange and Leaf Temperature Measurements
4.4. Yield Components, Grape Composition, and Pest and Disease Incidence
4.5. Statistical Analysis
5. Conclusions
Supplementary Materials
Funding
Data Availability Statement
Acknowledgments
Conflicts of Interest
References
- Alston, J.M.; Sambucci, O. Grapes in the world economy. In The Grape Genome; Cantu, D., Walker, M.A., Eds.; Springer: Cham, Switzerland, 2019; pp. 1–24. [Google Scholar]
- Bernardo, S.; Dinis, L.-T.; Machado, N.; Moutinho-Pereira, J. Grapevine abiotic stress assessment and search for sustainable adaptation strategies in Mediterranean-like climates. A review. Agron. Sustain. Dev. 2018, 38, 66. [Google Scholar] [CrossRef]
- Santos, J.A.; Fraga, H.; Malheiro, A.C.; Moutinho-Pereira, J.; Dinis, L.-T.; Correia, C.; Moriondo, M.; Leolini, L.; Dibari, C.; Costafreda-Aumedes, S.; et al. A review of the potential climate change impacts and adaptation options for European viticulture. Appl. Sci. 2020, 10, 3092. [Google Scholar] [CrossRef]
- Greer, D.H.; Weston, C. Heat stress affects flowering, berry growth, sugar accumulation and photosynthesis of Vitis vinifera cv. Semillon grapevines grown in a controlled environment. Funct. Plant Biol. 2010, 37, 206–214. [Google Scholar] [CrossRef]
- Brillante, L.; Martínez-Luscher, J.; Yu, R.; Plank, C.M.; Sanchez, L.; Bates, T.L.; Brenneman, C.; Oberholster, A.; Kurtural, S.K. Assessing spatial variability of grape skin flavonoids at the vineyard scale based on plant water status mapping. J. Agric. Food Chem. 2017, 65, 5255–5265. [Google Scholar] [CrossRef]
- Martínez-Lüscher, J.; Brillante, L.; Nelson, C.C.; Al-Kereamy, A.M.; Zhuang, S.; Kurtural, S.K. Precipitation before bud break and irrigation affect the response of grapevine ‘Zinfandel’ yields and berry skin phenolic composition to training systems. Sci. Hortic. 2017, 222, 153–161. [Google Scholar] [CrossRef]
- Yu, R.; Brillante, L.; Martínez-Lüscher, J.; Kurtural, S.K. Spatial variability of soil and plant water status and their cascading effects on grapevine physiology are linked to berry and wine chemistry. Front. Plant Sci. 2020, 11, 790. [Google Scholar] [CrossRef]
- Yu, R.; Kurtural, S.K. Proximal sensing of soil electrical conductivity provides a link to soil-plant water relationships and supports the identification of plant water status zones in vineyards. Front. Plant Sci. 2020, 11, 244. [Google Scholar] [CrossRef] [PubMed]
- Tzortzakis, N.; Chrysargyris, A.; Aziz, A. Adaptive response of a native mediterranean grapevine cultivar upon short-term exposure to drought and heat stress in the context of climate change. Agronomy 2020, 10, 249. [Google Scholar] [CrossRef]
- Marigliano, L.E.; Lauren, E.; Yu, R.; Torres, N.; Tanner, J.D.; Battany, M.; Kurtural, S.K. Photoselective shade films mitigate heat wave damage by reducing anthocyanin and flavonol degradation in grapevine (Vitis vinifera L.) berries. Front. Agron. 2022, 4, 898870. [Google Scholar] [CrossRef]
- Pagay, V.; Furlan, T.S.; Kidman, C.M.; Nagahatenna, D. Long-term drought adaptation of unirrigated grapevines (Vitis vinifera L. ) Theor. Exp. Plant Physiol. 2022, 34, 215–225. [Google Scholar] [CrossRef]
- Thornton, P.K.; Ericksen, P.J.; Herrero, M.; Challinor, A.J. Climate variability and vulnerability to climate change: A review. Glob. Change Biol. 2014, 20, 3313–3328. [Google Scholar] [CrossRef]
- Costa, J.M.; Vaz, M.; Escalona, J.; Egipto, R.; Lopes, C.; Medrano, H.; Chaves, M.M. Modern viticulture in southern Europe: Vulnerabilities and strategies for adaptation to water scarcity. Agric. Water Manag. 2017, 164, 5–18. [Google Scholar] [CrossRef]
- Moutinho-Pereira, J.M.; Correia, C.M.; Gonçalves, B.M.; Bacelar, E.A.; Torres-Pereira, J.M. Leaf gas exchange and water relations of grapevines grown in three different conditions. Photosynthetica 2004, 42, 81–86. [Google Scholar] [CrossRef]
- Martínez-Lüscher, J.; Chen, C.C.L.; Brillante, L.; Kurtural, S.K. Mitigating heat wave and exposure damage to “Cabernet Sauvignon” wine grape with partial shading under two irrigation amounts. Front. Plant Sci. 2020, 11, 579192. [Google Scholar] [CrossRef] [PubMed]
- Arias, L.A.; Berli, F.; Fontana, A.; Bottini, R.; Piccoli, P. Climate change effects on grapevine physiology and biochemistry: Benefits and challenges of high altitude as an adaptation strategy. Front. Plant Sci. 2022, 13, 835425. [Google Scholar] [CrossRef] [PubMed]
- Jones, G.V.; White, M.A.; Owen, R.; Storchmann, C. Climate change and global wine quality. Clim. Change 2005, 73, 319–343. [Google Scholar] [CrossRef]
- Ollat, N.; Touzard, J.-M.; van Leeuwen, C. Climate change impacts and adaptations: New challenges for the wine industry. J. Wine Econ. 2016, 11, 139–149. [Google Scholar] [CrossRef]
- Ferreira, M.I.; Silvestre, J.; Conceição, N.; Malheiro, A.C. Crop and stress coefficients in rainfed and deficit irrigation vineyards using sap flow techniques. Irrig. Sci. 2012, 30, 433–447. [Google Scholar] [CrossRef]
- Distribution of the World’s Grapevine Varieties. Available online: https://www.oiv.int/public/medias/5888/en-distribution-of-the-worlds-grapevine-varieties.pdf (accessed on 19 February 2023).
- Rogiers, S.Y.; Smith, J.A.; White, R.; Keller, M.; Holzapfel, B.P.; Virgona, J.M. Vascular function in berries of Vitis vinifera (L) cv. Shiraz. Aust. J. Grape Wine Res. 2001, 7, 47–51. [Google Scholar] [CrossRef]
- Carlomagno, A.; Novello, V.; Ferrandino, A.; Genre, A.; Lovisolo, C.; Hunter, J.J. Pre-harvest berry shrinkage in cv ‘Shiraz’ (Vitis vinifera L.): Understanding sap flow by means of tracing. Sci. Hortic. 2018, 233, 394–406. [Google Scholar] [CrossRef]
- Gutiérrez-Gamboa, G.; Zheng, W.; de Toda, F.M. Current viticultural techniques to mitigate the effects of global warming on grape and wine quality: A comprehensive review. Food Res. Int. 2021, 139, 109946. [Google Scholar] [CrossRef]
- Bucher, T.; Deroover, K.; Stockley, C. Low-alcohol wine: A narrative review on consumer perception and behaviour. Beverages 2018, 4, 82. [Google Scholar] [CrossRef]
- Glenn, D.M.; Puterka, G.J. Particle films: A new technology for agriculture. Hort. Rev. 2005, 31, 1–44. [Google Scholar]
- D’Aquino, S.; Cocco, A.; Ortu, S.; Schirra, M. Effects of kaolin-based particle film to control Ceratitis capitata (Diptera: Tephritidae) infestations and postharvest decay in citrus and stone fruit. Crop Prot. 2011, 30, 1079–1086. [Google Scholar] [CrossRef]
- Lapointe, S.L.; McKenzie, C.L.; Hall, D.G. Reduced oviposition by Diaprepes abbreviatus (Coleoptera: Curculionidae) and growth enhancement of citrus by surround particle film. J. Econ. Entomol. 2006, 99, 109–116. [Google Scholar] [CrossRef]
- Leskey, T.C.; Wright, S.E.; Glenn, D.M.; Puterka, G.J. Effect of surround WP on behavior and mortality of apple maggot (Diptera: Tephritidae). J. Econ. Entomol. 2010, 103, 394–401. [Google Scholar] [CrossRef] [PubMed]
- Pascual, S.; Cobos, G.; Seris, E.; González-Núñez, M. Effects of processed kaolin on pests and non-target arthropods in a Spanish olive grove. J. Pest Sci. 2010, 83, 121–133. [Google Scholar] [CrossRef]
- Alavo, T.B.C.; Abagli, A.Z. Effect of kaolin particle film formulation against populations of the aphid Lipaphis erysimi Kalt. (Homoptera: Aphididae) in cabbage. Open Entomol. J. 2011, 5, 49–53. [Google Scholar] [CrossRef]
- Silva, C.A.D.; Ramalho, F.S. Kaolin spraying protects cotton plants against damages by boll weevil Anthonomus grandis Boheman (Coleoptera: Curculionidae). J. Pest Sci. 2012, 86, 563–569. [Google Scholar] [CrossRef]
- Salerno, G.; Rebora, M.; Kovalev, A.; Gorb, E.; Gorb, S. Kaolin nano-powder effect on insect attachment ability. J. Pest Sci. 2020, 93, 315–327. [Google Scholar] [CrossRef]
- Miranda, M.P.; Eduardo, W.I.; Tomaseto, A.F.; Volpe, H.X.L.; Bachmann, L. Frequency of processed kaolin application to prevent Diaphorina citri infestation and dispersal in flushing citrus orchards. Pest Manag. Sci. 2021, 77, 5396–5406. [Google Scholar] [CrossRef] [PubMed]
- Oliveira, D.F.; Benhadi-Marín, J.; Neto, J.; Sanz, L.; Garzo, E.; Aguiar, A.; Fereres, A.; Pereira, J.A. Kaolin particle films disrupt landing, settling behavior and feeding of Trioza erytrae on lemon plants. Pest Manag. Sci. 2022, 78, 4753–4763. [Google Scholar] [CrossRef] [PubMed]
- Wand, S.J.E.; Theron, K.I.; Ackerman, J.; Marais, S.J.S. Harvest and post-harvest apple fruit quality following applications of kaolin particle film in South African orchards. Sci. Hort. 2006, 107, 271–276. [Google Scholar] [CrossRef]
- Aly, M.; El-Megeed, N.A.; Awad, R.M. Reflective particle films affected on sunburn, yield, mineral composition and fruit maturity of ‘Anna’ apple (Malus domestica) trees. Res. J. Agric. Biol. Sci. 2010, 6, 84–92. [Google Scholar]
- Melgarejo, P.; Martínez, J.J.; Hernández, F.A.; Martínez-Font, R.; Barrows, P.; Erez, A. Kaolin treatment to reduce pomegranate sunburn. Sci. Hortic. 2004, 100, 349–353. [Google Scholar] [CrossRef]
- Sharma, R.R.; Datta, S.C.; Varghese, E. Effect of Surround WP®, a kaolin-based particle film on sunburn, fruit cracking and postharvest quality of ‘Kandhari’ pomegranates. Crop Prot. 2018, 114, 18–22. [Google Scholar] [CrossRef]
- Hamdy, A.E.; Abdel-Aziz, H.F.; El-khamissi, H.; AlJwaizea, N.I.; El-Yazied, A.A.; Selim, S.; Tawfik, M.M.; AlHarbi, K.; Ali, M.S.M.; Elkelish, A. Kaolin improves photosynthetic pigments, and antioxidant content, and decreases sunburn of mangoes: Field study. Agronomy 2022, 12, 1535. [Google Scholar] [CrossRef]
- Teker, T. A study of kaolin effects on grapevine physiology and its ability to protect grape clusters from sunburn damage. Sci. Hort. 2023, 311, 111824. [Google Scholar] [CrossRef]
- Dinis, L.-T.; Malheiro, A.; Luzio, A.; Fraga, H.; Ferreira, H.; Gonçalves, I.; Pinto, G.; Correia, C.M.; Moutinho-Pereira, J. Improvement of grapevine physiology and yield under summer stress by kaolin-foliar application: Water relations, photosynthesis and oxidative damage. Photosynthetica 2018, 56, 641–651. [Google Scholar] [CrossRef]
- Conde, A.; Pimentel, D.; Neves, A.; Dinis, L.T.; Bernardo, S.; Correia, C.M.; Gerós, H.; Moutinho-Pereira, J. Kaolin foliar application has a stimulatory effect on phenylpropanoid and flavonoid pathways in grape berries. Front. Plant Sci. 2016, 7, 1150. [Google Scholar] [CrossRef]
- Brito, C.; Dinis, L.-T.; Silva, E.; Gonçalves, A.; Matos, C.; Rodrigues, M.A.; Moutinho-Pereira, J.; Barros, A.; Correia, C. Kaolin and salicylic acid foliar application modulate yield, quality and phytochemical composition of olive pulp and oil from rainfed trees. Sci. Hortic. 2018, 237, 176–183. [Google Scholar] [CrossRef]
- Brito, C.; Dinis, L.-T.; Luzio, A.; Silva, E.; Gonçalves, A.; Meijón, M.; Escandón, M.; Arrobas, M.; Rodrigues, M.A.; Moutinho-Pereira, J.; et al. Kaolin and salicylic acid alleviate summer stress in rainfed olive orchards by modulation of distinct physiological and biochemical responses. Sci. Hortic. 2019, 246, 201–211. [Google Scholar] [CrossRef]
- Gindaba, J.; Wnad, S.J.E. Comparative effects of evaporative cooling, kaolin particle film, and shade net on sunburn and fruit quality in apples. HortScience 2005, 40, 592–596. [Google Scholar] [CrossRef]
- Sharma, R.R.; Datta, S.C.; Varghese, E. Kaolin-based particle film sprays reduce the incidence of pests, diseases and storage disorders and improve postharvest quality of ‘Delicious’ apples. Crop Prot. 2020, 127, 104950. [Google Scholar] [CrossRef]
- Mercurio, M.; Mercurio, V.; De Gennaro, B.; De Gennaro, M.; Grifa, C.; Langella, A.; Morra, V. Natural zeolites and white wines from Campania region (Southern Italy): A new contribution for solving some oenological problems. Period. Mineral. 2010, 79, 95–112. [Google Scholar] [CrossRef]
- Manjaiah, K.M.; Mukhopadhyay, R.; Paul, R.; Datta, S.C.; Kumararaja, P.; Sarkar, B. Clay minerals and zeolites for environmentally sustainable agriculture. In Modified Clay and Zeolite Nanocomposite Materials; Elsevier: Amsterdam, The Netherlands, 2019; pp. 309–329. [Google Scholar]
- Mierczynska-Vasilev, A.M.; Wahono, S.; Smith, P.A.; Bindon, K.A.; Vasilev, K. Using zeolites to protein stabilize white wines. ACS Sustain. Chem. Eng. 2019, 7, 12240–12247. [Google Scholar] [CrossRef]
- Mondal, M.; Biswas, B.; Garai, S.; Sarkar, S.; Banerjee, H.; Brahmachari, K.; Bandyopadhyay, P.K.; Maitra, S.; Brestic, M.; Skalicky, M.; et al. Zeolites enhance soil health, crop productivity and environmental safety. Agronomy 2021, 11, 448. [Google Scholar] [CrossRef]
- Eroglu, N.; Emekci, M.; Athanassiou, C.G. Applications of natural zeolites on agriculture and food production. J. Sci. Food Agric. 2017, 97, 3487–3499. [Google Scholar] [CrossRef] [PubMed]
- Álvarez-Hernández, M.H.; Martínez-Hernández, G.B.; Avalos-Belmontes, F.; Rodríguez-Hernández, A.M.; Castillo-Campohermoso, M.A.; Artés-Hernández, F. An innovative ethylene scrubber made of potassium permanganate loaded on a protonated montmorillonite: A case study on blueberries. Food Bioproc. Technol. 2019, 12, 524–538. [Google Scholar] [CrossRef]
- Dinis, L.-T.; Correia, C.M.; Ferreira, H.F.; Gonçalves, B.; Gonçalves, I.; Coutinho, J.F.; Ferreira, M.I.; Malheiro, A.C.; Moutinho-Pereira, J. Physiological and biochemical responses of Semillon and Muscat Blancà Petits Grains winegrapes grown under Mediterranean climate. Sci. Hortic. 2014, 175, 128–138. [Google Scholar] [CrossRef]
- Glenn, D.M. Effect of highly processed calcined kaolin residues on apple productivity and quality. Sci. Hortic. 2016, 201, 101–108. [Google Scholar] [CrossRef]
- Brito, C.; Dinis, L.T.; Moutinho-Pereira, J.; Correia, C. Kaolin, an emerging tool to alleviate the effects of abiotic stresses on crop performance. Sci. Hortic. 2019, 250, 310–316. [Google Scholar] [CrossRef]
- Shellie, K.C.; King, B.A. Kaolin particle film and water deficit influence Malbec leaf and berry temperature, pigments, and photosynthesis. Am. J. Enol. Vitic. 2013, 64, 223–230. [Google Scholar] [CrossRef]
- Frioni, T.; Saracino, S.; Squeri, C.; Tombesi, S.; Palliotti, A.; Sabbatini, P.; Magnanini, E.; Poni, S. Understanding kaolin effects on grapevine leaf and whole-canopy physiology during water stress and re-watering. J. Plant Physiol. 2019, 242, 153020. [Google Scholar] [CrossRef]
- Valentini, G.; Pastore, C.; Allegro, G.; Muzzi, E.; Seghetti, L.; Filippetti, I. Application of kaolin and Italian natural chabasite-rich zeolitite to mitigate the effect of global warming in Vitis vinifera L. cv. Sangiovese. Agronomy 2021, 11, 1035. [Google Scholar] [CrossRef]
- Abou-Khaled, A.; Hagan, R.M.; Davenport, D.C. Effects of kaolinite as a reflective antitranspirant on leaf temperature, transpiration, photosynthesis, and water-use efficiency. Water Resour. Res. 1970, 6, 280–289. [Google Scholar] [CrossRef]
- Correia, C.M.; Dinis, L.T.; Fraga, H.; Pinheiro, R.; Ferreira, H.M.; Costa, J.; Gonçalves, I.; Oliveira, A.A.; Pinto, G.; Santos, J.A.; et al. Enhanced yield and physiological performance of Mediterranean grapevines through foliar kaolin spray. Procedia Environ. Sci. 2015, 29, 247–248. [Google Scholar] [CrossRef]
- Bernardo, S.; Dinis, L.-T.; Luzio, A.; Machado, N.; Gonçalves, A.; Vives-Peris, V.; Pitarch-Bielsa, M.; López-Climent, M.F.; Malheiro, A.C.; Correia, C.; et al. Optimising grapevine summer stress responses and hormonal balance by applying kaolin in two Portuguese Demarcated Regions. OENO One 2021, 55, 207–222. [Google Scholar] [CrossRef]
- Cataldo, E.; Fucile, M.; Mattii, G.B. Effects of kaolin and shading net on the ecophysiology and berry composition of sauvignon blanc grapevines. Agriculture 2022, 12, 491. [Google Scholar] [CrossRef]
- Shellie, K.C.; Glenn, D.M. Wine grape response to foliar particle film under differing levels of preveraison watertress. HortScience 2008, 43, 1392–1397. [Google Scholar] [CrossRef]
- Brito, C.; Dinis, L.-T.; Ferreira, H.; Rocha, L.; Pavia, I.; Moutinho-Pereira, J.; Correia, C.M. Kaolin particle film modulates morphological, physiological and biochemical olive tree responses to drought and rewatering. Plant Physiol. Biochem. 2018, 133, 29–39. [Google Scholar] [CrossRef] [PubMed]
- Wünsche, J.N.; Lombardini, L.; Greer, D.H. ‘Surround’ particle film application—Effects on whole canopy physiology of apple. Acta Hort. 2004, 636, 565–571. [Google Scholar] [CrossRef]
- Rosati, A.; Metcalf, S.G.; Buchner, R.P.; Fulton, A.E.; Lampinen, B.D. Effects of kaolin application on light absorption and distribution, radiation use efficiency and photosynthesis of almond and walnut canopies. Ann. Bot. 2007, 99, 255–263. [Google Scholar] [CrossRef] [PubMed]
- Cantore, V.; Pace, B.; Albrizio, R. Kaolin-based particle film technology affects tomato physiology, yield and quality. Environ. Exp. Bot. 2009, 66, 279–288. [Google Scholar] [CrossRef]
- Glenn, D.M. Particle film mechanisms of action that reduce the effect of environmental stress in ‘Empire’ apple. J. Am. Soc. Hort. Sci. 2009, 134, 314–321. [Google Scholar] [CrossRef]
- De Smedt, C.; Steppe, K.; Spanoghe, P. Beneficial effects of zeolites on plant photosynthesis. Adv. Mater. Sci. 2017, 2, 1–11. [Google Scholar] [CrossRef]
- Long, S.P.; Ainsworth, E.A.; Rogers, A.; Ort, D.R. Rising atmospheric carbon dioxide: Plants FACE the future. Annu. Rev. Plant Biol. 2004, 55, 591–628. [Google Scholar] [CrossRef]
- Condon, A.G.; Richards, R.A.; Rebetzke, G.J.; Farquhar, G.D. Improving intrinsic water-use efficiency and crop yield. Crop Sci. 2002, 42, 122–131. [Google Scholar] [CrossRef]
- Ashraf, M.; Bashir, A. Relationship of photosynthetic capacity at the vegetative stage and during grain yield of two hexaploid wheat (Triticum aestivum L.) cultivars differing in yield. Eur. J. Agron. 2003, 19, 277–287. [Google Scholar] [CrossRef]
- Bernardo, S.; Dinis, L.T.; Luzio, A.; Pinto, G.; Meijón, M.; Valledor, L.; Conde, A.; Gerós, H.; Correia, C.M.; Moutinho-Pereira, J. Kaolin particle film application lowers oxidative damage and DNA methylation on grapevine (Vitis vinifera L.). Environ. Exp. Bot. 2017, 139, 39–47. [Google Scholar] [CrossRef]
- Pace, B.; Boari, F.; Cantore, V.; Leo, L.; Vanadia, S.; De Palma, E.; Phillips, N. Effect of particle film technology on temperature, yield and quality of processing tomato. Acta Hortic. 2007, 758, 287–294. [Google Scholar] [CrossRef]
- Brillante, L.; Belfiore, N.; Gaiotti, F.; Lovat, L.; Sansone, L.; Poni, S.; Tomasi, D. Comparing kaolin and pinolene to improve sustainable grapevine production during drought. PLoS ONE 2016, 11, e0156631. [Google Scholar] [CrossRef] [PubMed]
- Shellie, K.C.; King, B.A. Kaolin particle film and water deficit influence red winegrape color under high solar radiation in an arid climate. Am. J. Enol. Vitic. 2013, 64, 214–222. [Google Scholar] [CrossRef]
- Shellie, K.C. Foliar reflective film and water deficit increase anthocyanin to soluble solids ratio during berry ripening in Merlot. Am. J. Enol. Vitic. 2015, 66, 348–356. [Google Scholar] [CrossRef]
- Wang, Y.; Xue, T.; Han, X.; Guan, L.; Zhang, L.; Wang, H.; Li, H. Kaolin particle film affects grapevine berry quality in cv. Meili in humid climate conditions. HortScience 2020, 55, 1987–2000. [Google Scholar] [CrossRef]
- Bernardo, S.; Dinis, L.T.; Machado, N.; Barros, A.; Pitarch-Bielsa, M.; Malheiro, A.C.; Gómez-Cadenas, A.; Moutinho-Pereira, J. Uncovering the effects of kaolin on balancing berry phytohormones and quality attributes of Vitis vinifera grown in warm-temperate climate regions. J. Sci. Food Agric. 2022, 102, 782–793. [Google Scholar] [CrossRef]
- Dinis, L.-T.; Bernardo, S.; Conde, A.; Pimentel, D.; Ferreira, H.; Félix, L.; Gerós, H.; Correia, C.; Moutinho-Pereira, J. Kaolin exogenous application boosts antioxidant capacity and phenolic content in berries and leaves of grapevine under summer stress. J. Plant Physiol. 2016, 191, 45–53. [Google Scholar] [CrossRef] [PubMed]
- Peterlunger, E.; Sivilotti, P.; Colussi, V. Water stress increased polyphenolic quality in ‘Merlot’ grapes. Acta Hortic. 2005, 689, 293–300. [Google Scholar] [CrossRef]
- Deluc, L.G.; Quilici, D.R.; Decendit, A.; Grimplet, J.; Wheatley, M.D.; Schlauch, K.A.; Mérillon, J.M.; Cushman, J.C.; Cramer, G.R. Water deficit alters differentially metabolic pathways affecting important flavor and quality traits in grape berries of Cabernet Sauvignon and Chardonnay. BMC Genom. 2009, 10, 212. [Google Scholar] [CrossRef]
- Mazza, G.L.; Delaquis, F.P.; Girard, B.; Ewert, B. Anthocyanins, phenolics, and color of Cabernet Franc, Merlot and Pinot Noir wines from Bristish Colombia. J. Agric. Food Chem. 1999, 47, 4009–4017. [Google Scholar] [CrossRef]
- Puterka, G.J.; Reinke, M.; Luvisi, D.; Ciomperik, M.A.; Bartels, D.; Wendel, L.; Glenn, D.M. Particle film, Surround WP, effects on glassy-winged sharpshooter behavior and its utility as a barrier to sharpshooter infestations in grape. Plant Health Progr. 2003, 4, 7. [Google Scholar] [CrossRef]
- Sheikhali, T.; Farazmand, H.; Vafaei, S. The preliminary study of kaolin on damage reduction of pomegranate fruit moth, Ectomyelois ceratoniae (Lep., Pyralidae) in Garmsar region. J. Entomol. Res. 2011, 3, 163–171. [Google Scholar]
- Faghi, S.; Zamani, Z.; Fatahi, R.; Omidi, M. Influence of kaolin application on most important fruit and leaf characteristics of two apple cultivars under sustained deficit irrigation. Biol. Res. 2021, 54, 1–15. [Google Scholar] [CrossRef] [PubMed]
- Puterka, G.J.; Glenn, D.M.; Pluta, R.C. Action of particle films on the biology and behavior of Pear psylla (Homoptera: Psyllidae). J. Econ. Entomol. 2005, 98, 2079–2088. [Google Scholar] [CrossRef]
- Lorenz, D.H.; Eichhorn, K.W.; Bleiholder, H.; Klose, R.; Meier, U.; Weber, E. Growth stages of the grapevine: Phenological growth stages of the grapevine (Vitis vinifera L. ssp. vinifera)—Codes and descriptions according to the extended BBCH scale. Aust. J. Grape Wine Res. 1995, 1, 100–103. [Google Scholar] [CrossRef]
- Scholander, P.; Hammel, H.T.; Bradstreet, E.D.; Hemmingsen, E.A. Sap pressures in vascular plants. Science 1965, 148, 339–346. [Google Scholar] [CrossRef] [PubMed]
- Slinkard, K.; Singleton, V.L. Total phenol analysis: Automation and comparison with manual methods. Am. J. Enol. Vitic. 1977, 28, 49–55. [Google Scholar] [CrossRef]


| 1957–2017 | 2018 | 2019 | ||||
|---|---|---|---|---|---|---|
| T (°C) | Rainfall (mm) | T (°C) | Rainfall (mm) | T (°C) | Rainfall (mm) | |
| April | 14.1 | 34.1 | 17.1 | 3.0 | 14.0 | 31.5 |
| May | 19.5 | 35.0 | 21.7 | 69.0 | 20.0 | 29.0 |
| June | 24.5 | 20.4 | 25.3 | 139.0 | 26.6 | 106 |
| July | 26.8 | 19.2 | 27.7 | 42.0 | 27.6 | 34.3 |
| August | 26.1 | 15.9 | 26.7 | 18.0 | 27.9 | 106.4 |
| September | 22.2 | 38.5 | 22.8 | 40.0 | 23.3 | 86.9 |
| October | 16.9 | 60.5 | 17.2 | 25.0 | 18.1 | 55.6 |
| Morning | |||||
|---|---|---|---|---|---|
| Vintage/Stage | Treatment | Pn | gs | WUEi | ψstem |
| 193 DOY (12 July 2018) Beginning of véraison | C | 5.9 ± 2.4 b | 122.3 ± 25.5 a | 48.2 ± 18.2 b | −0.89 ± 0.0 b |
| KL | 7.0 ± 1.9 b | 126.4 ± 12.1 a | 55.0 ± 17.5 b | −0.33 ± 0.1 a | |
| ZL | 11.4 ± 0.2 a | 93.6 ± 28.5 a | 122.0 ± 36.2 a | −0.43 ± 0.0 a | |
| Significance | * | ns | * | * | |
| 270 DOY (27 September 2018) Harvest | C | 3.42 ± 3.04 b | 47.7 ± 15.5 b | 71.7 ± 5.0 b | −0.21 ± 0.1 b |
| KL | 5.95 ± 3.94 b | 67.8 ± 33.1 b | 87.8 ± 2.3 b | −0.18 ± 0.2 a | |
| ZL | 9.63 ± 1.28 a | 93.7 ± 11.2 a | 102.8 ± 4.2 a | −0.13 ± 0.2 a | |
| Significance | * | * | * | * | |
| Midday | |||||
| 193 DOY (12 July 2018) Beginning of véraison | C | 3.8 ± 1.5 b | 104.4 ± 26.2 a | 36.4 ± 12.0 b | −1.98 ± 0.4 b |
| KL | 4.5 ± 1.3 b | 108.4 ± 8.7 a | 41.5 ± 14.7 b | −1.20 ± 0.1 b | |
| ZL | 9.8 ± 0.4 a | 89.3 ± 10.2 a | 109.7 ± 41.4 a | −0.82 ± 0.3 a | |
| Significance | * | ns | * | * | |
| 270 DOY (27 September 2018) Harvest | C | 1.94 ± 1.1 b | 29.6 ± 9.1 b | 65.5 ± 32.5 b | −0.49 ± 0.0 a |
| KL | 2.95 ± 0.3 b | 38.2 ± 5.4 b | 77.2 ± 22.1 b | −0.51 ± 0.3 a | |
| ZL | 7.91 ± 0.8 a | 72.8 ± 12.2 a | 108.5 ± 14.8 a | −0.43 ± 0.2 a | |
| Significance | * | * | * | ns | |
| Vintage | Treatment | Yield per Vine (Kg) | Clusters per Vine (n) | Cluster Weight (g) | Berries per Cluster (Number) | Berry Weight (g) | TSS (°Brix) | TA (g/L) | Must pH | Total Phenols (mg/kg) |
|---|---|---|---|---|---|---|---|---|---|---|
| 2018 | C | 9.75 b | 26.2 | 372 b | 132 | 2.82 b | 18.5 | 5.16 b | 3.43 | 1751.85 a |
| KL | 12.51 a | 26.4 | 474 a | 135 | 3.51 a | 18.4 | 5.79 a | 3.39 | 1071.75 b | |
| ZL | 12.12 a | 26.4 | 459 a | 132 | 3.48 a | 19.5 | 5.78 a | 3.38 | 879.53 b | |
| Significance | * | ns | * | ns | * | ns | * | ns | * | |
| 2019 | C | 11.74 c | 24.5 | 479 b | 153 | 3.13 b | 18.6 | 5.27 b | 3.09 | 1293.79 |
| KL | 12.83 b | 25.3 | 507 a | 153 | 3.31 b | 19.1 | 5.70 a | 3.13 | 1130.96 | |
| ZL | 14.28 a | 24.5 | 583 a | 163 | 3.58 a | 18.6 | 5.70 a | 3.13 | 1197.57 | |
| Significance | ** | ns | ** | ns | * | ns | * | ns | ns |
Disclaimer/Publisher’s Note: The statements, opinions and data contained in all publications are solely those of the individual author(s) and contributor(s) and not of MDPI and/or the editor(s). MDPI and/or the editor(s) disclaim responsibility for any injury to people or property resulting from any ideas, methods, instructions or products referred to in the content. |
© 2023 by the author. Licensee MDPI, Basel, Switzerland. This article is an open access article distributed under the terms and conditions of the Creative Commons Attribution (CC BY) license (https://creativecommons.org/licenses/by/4.0/).
Share and Cite
Petoumenou, D.G. Enhancing Yield and Physiological Performance by Foliar Applications of Chemically Inert Mineral Particles in a Rainfed Vineyard under Mediterranean Conditions. Plants 2023, 12, 1444. https://doi.org/10.3390/plants12071444
Petoumenou DG. Enhancing Yield and Physiological Performance by Foliar Applications of Chemically Inert Mineral Particles in a Rainfed Vineyard under Mediterranean Conditions. Plants. 2023; 12(7):1444. https://doi.org/10.3390/plants12071444
Chicago/Turabian StylePetoumenou, Despoina G. 2023. "Enhancing Yield and Physiological Performance by Foliar Applications of Chemically Inert Mineral Particles in a Rainfed Vineyard under Mediterranean Conditions" Plants 12, no. 7: 1444. https://doi.org/10.3390/plants12071444
APA StylePetoumenou, D. G. (2023). Enhancing Yield and Physiological Performance by Foliar Applications of Chemically Inert Mineral Particles in a Rainfed Vineyard under Mediterranean Conditions. Plants, 12(7), 1444. https://doi.org/10.3390/plants12071444
