Integrating Chlorophyll a Fluorescence and Enzymatic Profiling to Reveal the Wheat Responses to Nano-ZnO Stress
Abstract
1. Introduction
2. Results
2.1. Net Rate of Photosynthesis and SPAD Value
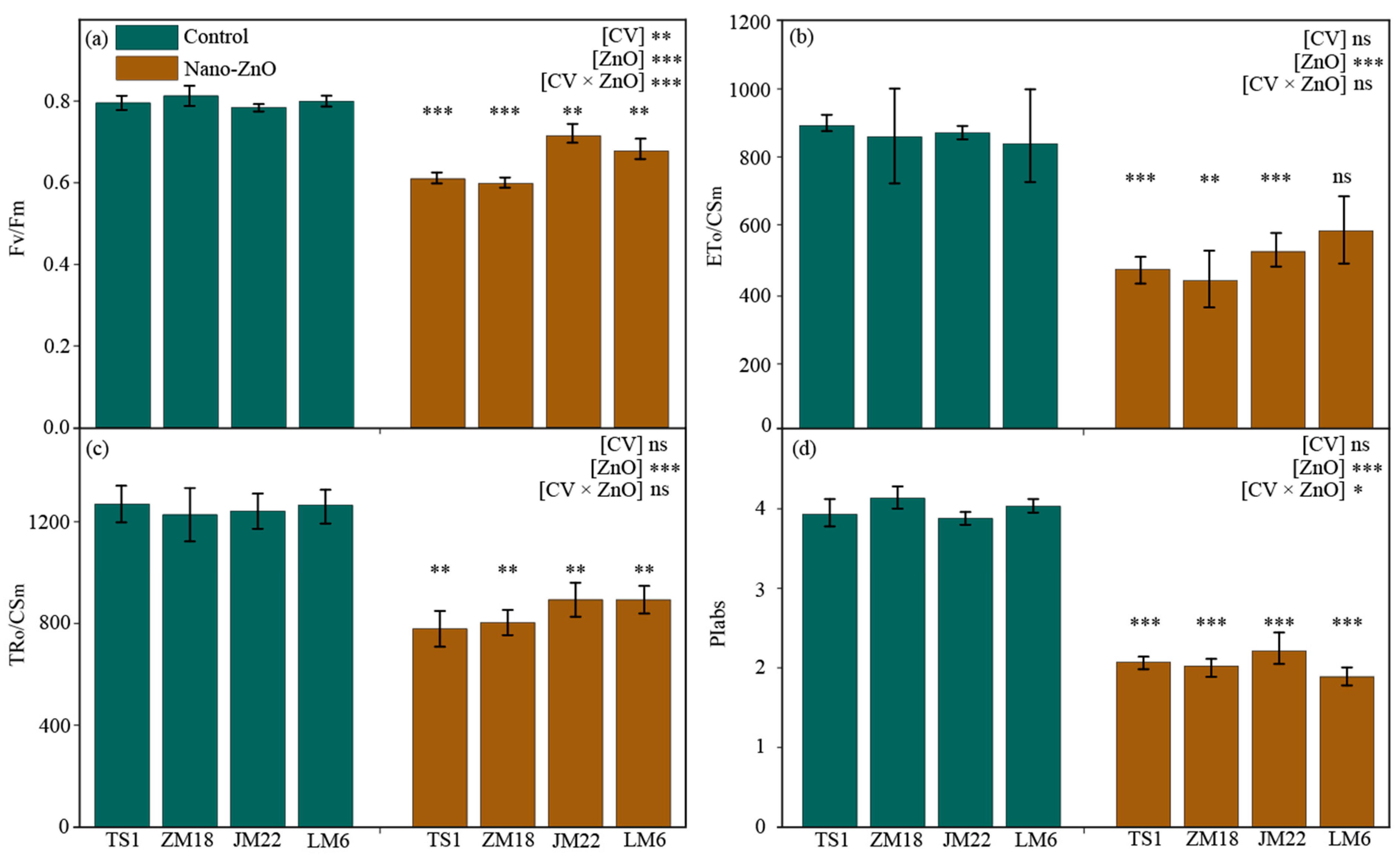
2.2. Chlorophyll Fluorescence Characteristics
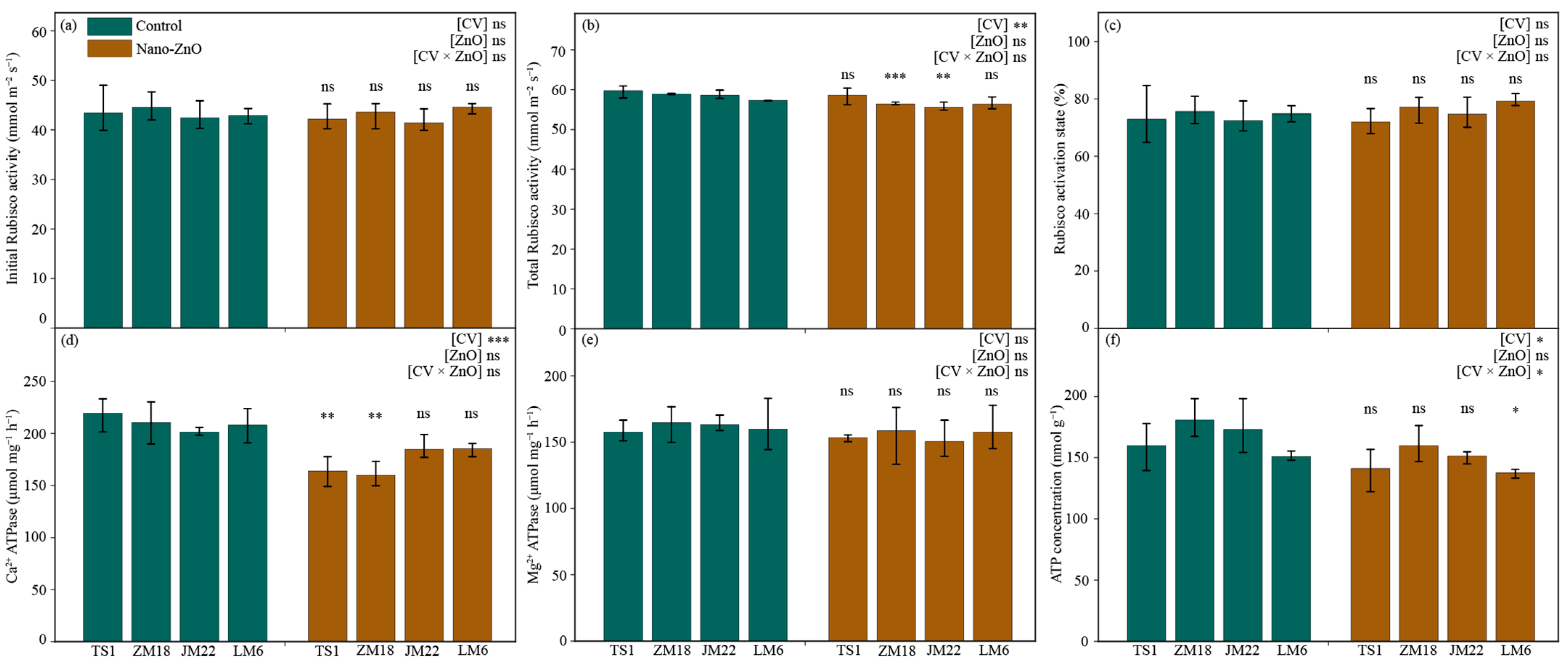
2.3. Rubisco and ATPase Activities
2.4. Key Carbohydrate Metabolism Enzymes Activities
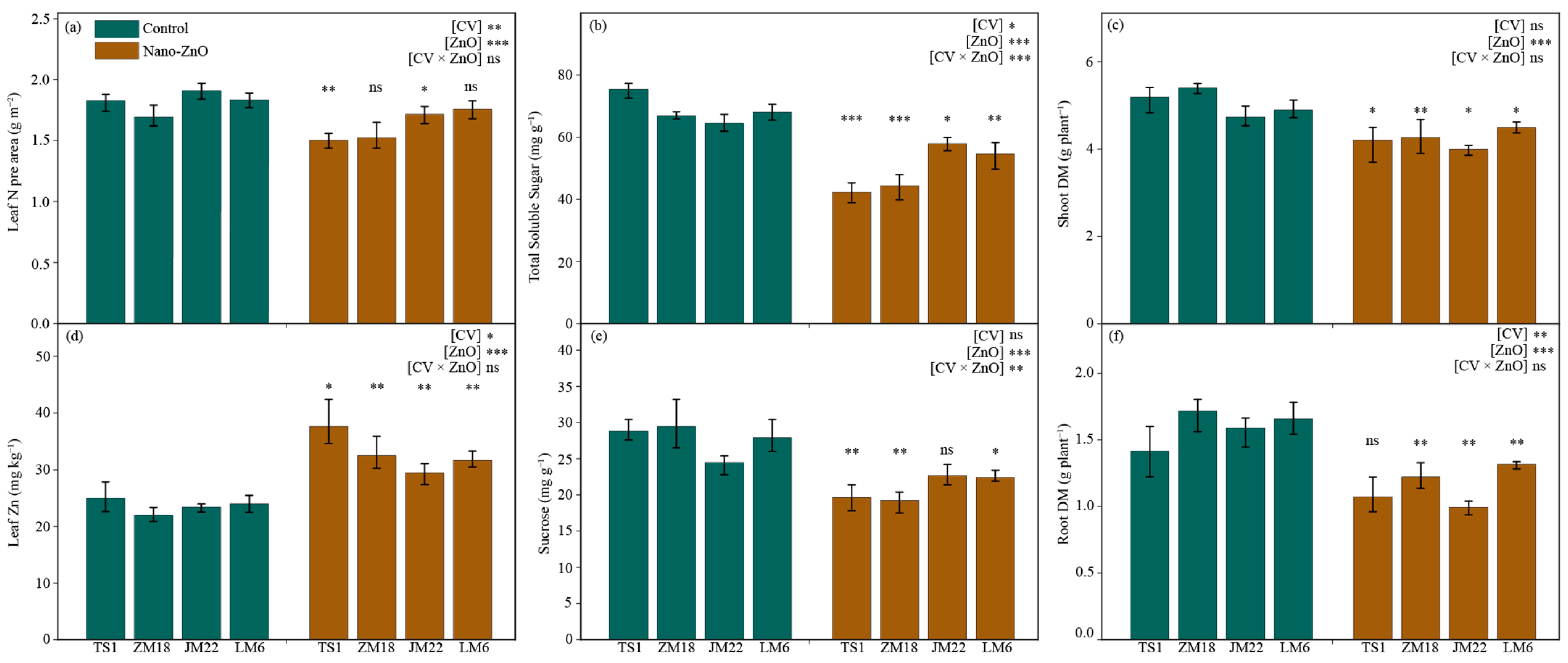
2.5. Leaf N, Zinc, Sugars Concentrations, and Shoot and Root Dry Matters
3. Discussion
4. Materials and Methods
4.1. Experimental Materials and Design
4.2. Gas Exchange and Chlorophyll a Fluorescence
4.3. Rubisco and ATPase Activities
4.4. Key Carbohydrate Metabolism Enzymes Activities
4.5. Leaf Nitrogen per Area, Leaf Zinc, Sugars Concentrations, and Shoot and Root Dry Matters
4.6. Statistical Analysis
5. Conclusions
Author Contributions
Funding
Institutional Review Board Statement
Informed Consent Statement
Data Availability Statement
Conflicts of Interest
References
- Priester, J.H.; Moritz, S.C.; Espinosa, K.; Ge, Y.; Wang, Y.; Nisbet, R.M.; Schimel, J.P.; Goggi, A.S.; Torresdey, J.G.; Holden, P. Damage assessment for soybean cultivated in soil with either CeO2 or ZnO manufactured nanomaterials. Sci. Total Environ. 2016, 579, 1756–1768. [Google Scholar] [CrossRef] [PubMed]
- Tighe-Neira, R.; Gonzalez-Villagra, J.; Nunes-Nesi, A.; Inostroza-Blancheteau, C. Impact of nanoparticles and their ionic counterparts derived from heavy metals on the physiology of food crops. Plant Physiol. Biochem. 2022, 172, 14–23. [Google Scholar] [CrossRef]
- Abou-Zeid, H.M.; Mohamed, G.S.; Ahmed, A.S. Influence of seed priming with ZnO nanoparticles on the salt-induced damages in wheat (Triticum aestivum L.) plants. J. Plant Nutr. 2021, 44, 629–643. [Google Scholar] [CrossRef]
- Zhou, D.M.; Jin, S.Y.; Li, L.Z.; Wang, Y.; Weng, N.Y. Quantifying the adsorption and uptake of CuO nanoparticles by wheat root based on chemical extractions. J. Environ. Sci. 2011, 23, 1852–1857. [Google Scholar] [CrossRef]
- Jian, S.L.; Li, S.X.; Liu, F.L.; Liu, S.Q.; Gong, L.; Jiang, Y.; Li, X.N. Elevated atmospheric CO2 concentration changes the eco-physiological response of barley to polystyrene nanoplastics. Chem. Eng. J. 2023, 457, 141135. [Google Scholar] [CrossRef]
- Guo, S.; Zhang, X.J.; Sun, H.F. Transcriptomic mechanism for foliar applied nano-ZnO alleviating phytotoxicity of nanoplastics in corn (Zea mays L.) plants. Sci. Total Environ. 2023, 905, 166818. [Google Scholar] [CrossRef]
- Włodarczyk, K.; Smolińska, B.; Majak, I. The antioxidant potential of tomato plants (Solanum iycopersicum L.) under nano-ZnO treatment. Int. J. Mol. Sci. 2023, 24, 11833. [Google Scholar] [CrossRef]
- Zuo, Z.Y.; Sun, L.Y.; Wang, T.Y.; Miao, P.; Zhu, X.C.; Liu, S.Q.; Song, F.B.; Mao, H.P.; Li, X.N. Melatonin improves the photosynthetic carbon assimilation and antioxidant capacity in wheat exposed to nano-ZnO stress. Molecules 2017, 22, 1727. [Google Scholar] [CrossRef]
- Reddy, P.V.L.; Hernandez-Viezcas, J.A.; Peralta-Videa, J.R.; Gardea-Torresdey, J.L. Lessons learned: Are engineered nanomaterials toxic to terrestrial plants? Sci. Total Environ. 2016, 568, 470–479. [Google Scholar] [CrossRef]
- Ma, Y.; Zhang, P.; Zhang, Z.; He, X.; Chai, Z. Origin of the different phytotoxicity and biotransformation of cerium and lanthanum oxide nanoparticles in cucumber. Nanotoxicology 2015, 9, 262–270. [Google Scholar] [CrossRef]
- Pullagurala, V.L.R.; Adisa, I.O.; Rawat, S.; Kim, B.; Barrios, A.C.; Medina-Velo, I.A.; Hernandez-Viezcas, J.A.; Peralta-Videa, J.R.; Gardea-Torresdey, J.L. Finding the conditions for the beneficial use of ZnO nanoparticles towards plants—A review. Environ. Pollut. 2018, 241, 1175–1181. [Google Scholar] [CrossRef] [PubMed]
- Luo, L.; Zhang, S.Z.; Lv, J.T. Accumulation, speciation and uptake pathway of ZnO nanoparticles in maize. Environ. Sci. Nano 2015, 2, 68–77. [Google Scholar] [CrossRef]
- Daniel, A.I.; Keyster, M.; Klein, A. Biogenic zinc oxide nanoparticles: A viable agricultural tool to control plant pathogenic fungi and its potential effects on soil and plant. Sci. Total Environ. 2023, 897, 165483. [Google Scholar] [CrossRef]
- Baddar, Z.E.; Unrine, J.M. Functionalized-ZnO-nanoparticle seed treatments to enhance growth and Zn content of wheat (Triticum aestivum) seedlings. J. Agric. Food Chem. 2018, 46, 12166–12178. [Google Scholar] [CrossRef] [PubMed]
- Faizan, M.; Faraz, A.; Yusuf, M.; Khan, S.T.; Hayat, S. Zinc oxide nanoparticle-mediated changes in photosynthetic efficiency and antioxidant system of tomato plants. Photosynthetica 2018, 56, 678–686. [Google Scholar] [CrossRef]
- Shen, M.; Liu, W.; Zeb, A.; Lian, J.; Wu, J.; Lin, M. Bioaccumulation and phytotoxicity of ZnO nanoparticles in soil-grown Brassica chinensis L. and potential risks. J. Environ. Manag. 2022, 306, 114454. [Google Scholar] [CrossRef] [PubMed]
- Wang, Z.; Li, H.; Li, X.; Xin, C.; Wang, F. Nano-ZnO priming induces salt tolerance by promoting photosynthetic carbon assimilation in wheat. Arch. Agron. Soil Sci. 2019, 66, 1259–1273. [Google Scholar] [CrossRef]
- Wang, X.; Yang, X.; Chen, S.; Li, Q.; Wang, W.; Hou, C.; Gao, X.; Wang, L.; Wang, S. Zinc oxide nanoparticles affect biomass accumulation and photosynthesis in Arabidopsis. Front. Plant Sci. 2015, 6, 1243. [Google Scholar] [CrossRef] [PubMed][Green Version]
- Salehi, H.; Diego, N.D.; Rad, A.C.; Benjamin, J.J.; Lucini, L. Exogenous application of ZnO nanoparticles and ZnSO4 distinctly influence the metabolic response in Phaseolus vulgaris L. Sci. Total Environ. 2021, 778, 146331. [Google Scholar] [CrossRef]
- Azarin, K.; Usatov, A.; Minkina, T.; Duplii, N.; Kasyanova, A.; Fedorenko, A.; Khachumov, V.; Mandzhieva, S.; Rajput, V.D. Effects of bulk and nano-ZnO particles on functioning of photosynthetic apparatus in barley (Hordeum vulgare L.). Environ. Res. 2023, 216, 114748. [Google Scholar] [CrossRef]
- Dong, M.; Sun, R.; Yang, Q.; Zhang, L.; Yong, Y.; Fang, Y.; Zhang, X.; Xue, D. Phenotype, physiology, and gene expression of barley seedlings in response to nano zinc oxide stress. Phyton Int. J. Exp. Bot. 2021, 90, 1589–1598. [Google Scholar] [CrossRef]
- Liu, L.R.; Zeng, X.J.; Nian, H.; Lian, T.X. Physiological mechanisms of Zinc oxide nanoparticles (ZnO NPs) alleviating aluminum stress in soybean. J. South China Agric. Univ. 2023, 12, 292. (In Chinese) [Google Scholar]
- Song, W.; Chen, B.M.; Liu, L. Soil heavy metal pollution of cultivated land in China. Res. Soil Water Conserv. 2013, 4, 922–930. (In Chinese) [Google Scholar]
- Kalal, P.R.; Jajoo, A. Priming with zinc oxide nanoparticles improve germination and photosynthetic performance in wheat. Plant Physiol. Biochem. 2021, 160, 341–351. [Google Scholar] [CrossRef] [PubMed]
- Dimkpa, C.O.; Andrews, J.; Sanabria, J.; Bindraban, P.S.; White, J.C. Interactive effects of drought, organic fertilizer, and zinc oxide nanoscale and bulk particles on wheat performance and grain nutrient accumulation. Sci. Total Environ. 2020, 722, 137808. [Google Scholar] [CrossRef] [PubMed]
- Du, W.; Sun, Y.; Ji, R.; Zhu, J.; Wu, J.; Guo, H. TiO2 and ZnO nanoparticles negatively affect wheat growth and soil enzyme activities in agricultural soil. J. Environ. Monit. 2011, 13, 822–828. [Google Scholar] [CrossRef]
- Lin, D.; Xing, B. Phytotoxicity of nanoparticles: Inhibition of seed germination and root growth. Environ. Pollut. 2007, 150, 243–250. [Google Scholar] [CrossRef]
- Faizan, M.; Faraz, A.; Mir, A.R.; Hayat, S. Role of zinc oxide nanoparticles in countering negative effects generated by cadmium in Lycopersicon esculentum. J. Plant Growth Regul. 2021, 40, 101–115. [Google Scholar] [CrossRef]
- Wang, P.; Lombi, E.; Sun, S.; Scheckel, K.G.; Malysheva, A.; McKenna, B.A.; Menzies, N.W.; Zhao, F.J.; Kopittke, P.M. Characterizing the uptake, accumulation and toxicity of silver sulfide nanoparticles in plants. Environ. Sci. Nano 2017, 4, 448–460. [Google Scholar] [CrossRef]
- Rastogi, A.; Zivcak, M.; Sytar, O.; Kalaji, H.M.; He, X.; Mbarki, S.; Brestic, M. Impact of metal and metal oxide nanoparticles on plant: A critical review. Front. Chem. 2017, 5, 78. [Google Scholar] [CrossRef]
- Brestic, M.; Zivcak, M.; Hauptvogel, P.; Misheva, S.; Kocheva, K.; Yang, X.; Li, X.; Allakhverdiev, S.I. Wheat plant selection for high yields entailed improvement of leaf anatomical and biochemical traits including tolerance to non-optimal temperature conditions. Photosynth. Res. 2018, 136, 245–255. [Google Scholar] [CrossRef] [PubMed]
- Kalaji, H.M.; Rastogi, A.; Zivcak, M.; Brestic, M.; Daszkowska-Golec, A.; Sitko, K.; Alsharafa, K.Y.; Lotfi, R.; Stypinski, P.; Samborska, I.A. Prompt chlorophyll fluorescence as a tool for crop phenotyping: An example of barley landraces exposed to various abiotic stress factors. Photosynthetica 2018, 56, 953–961. [Google Scholar] [CrossRef]
- Kalaji, H.M.; Schansker, G.; Brestic, M.; Bussotti, F.; Calatayud, A.; Ferroni, L.; Goltsev, V.; Guidi, L.; Jajoo, A.; Li, P. Frequently asked questions about chlorophyll fluorescence, the sequel. Photosynth. Res. 2017, 132, 13–66. [Google Scholar] [CrossRef] [PubMed]
- Hendrik, K.; Frithjof, K.; Spiller, M. Environmental relevance of heavy metal-substituted chlorophylls using the example of water plants. J. Exp. Bot. 1996, 295, 259–266. [Google Scholar] [CrossRef]
- Parry, M.A.; Andralojc, P.J.; Scales, J.C.; Salvucci, M.E.; Carmo-Silva, A.E.; Alonso, H.; Whitney, S.M. Rubisco activity and regulation as targets for crop improvement. J. Exp. Bot. 2013, 64, 717–730. [Google Scholar] [CrossRef] [PubMed]
- McCarty, R.E. ATP synthase of chloroplast thylakoid membranes: A more in depth characterization of its ATPase activity. J. Bioenerg. Biomembr. 2005, 37, 289–297. [Google Scholar] [CrossRef] [PubMed]
- Zheng, C.; Jiang, D.; Liu, F.; Dai, T.; Jing, Q.; Cao, W. Effects of salt and waterlogging stresses and their combination on leaf photosynthesis, chloroplast ATP synthesis, and antioxidant capacity in wheat. Plant Sci. 2009, 176, 575–582. [Google Scholar] [CrossRef]
- Keunen, E.; Peshev, D.; Vangronsveld, J.; van den Ende, W.; Cuypers, A. Plant sugars are crucial players in the oxidative challenge during abiotic stress: Extending the traditional concept. Plant Cell Environ. 2013, 36, 1242–1255. [Google Scholar] [CrossRef]
- Li, S.; Wang, T.; Guo, J.; Dong, Y.; Li, X. Polystyrene microplastics disturb the redox homeostasis, carbohydrate metabolism and phytohormone regulatory network in barley. J. Hazard. Mater. 2021, 415, 125614. [Google Scholar] [CrossRef]
- Li, H.; Li, S.; Wang, Z.; Liu, S.; Zhou, R.; Li, X. Abscisic acid-mimicking ligand AMF4 induced cold tolerance in wheat by altering the activities of key carbohydrate metabolism enzymes. Plant Physiol. Biochem. 2020, 157, 284–290. [Google Scholar] [CrossRef]
- Sinclair, T.R.; Pinter, P.J.; Kimball, B.A.; Adamsen, F.J.; LaMorte, R.L.; Wall, G.W.; Hunsaker, D.J.; Adam, N.; Brooks, T.J.; Garcia, R.L. Leaf nitrogen concentration of wheat subjected to elevated [CO2] and either water or N deficits. Agric. Ecosyst. Environ. 2000, 79, 53–60. [Google Scholar] [CrossRef]
- Evans, J.R. Nitrogen and photosynthesis in the flag leaf of wheat (Triticum aestivum L.). Plant Physiol. 1983, 72, 297–302. [Google Scholar] [CrossRef] [PubMed]
- Xiong, D.; Chen, J.; Yu, T.; Gao, W.; Ling, X.; Li, Y.; Peng, S.; Huang, J. SPAD-based leaf nitrogen estimation is impacted by environmental factors and crop leaf characteristics. Sci. Rep. 2015, 5, 13389. [Google Scholar] [CrossRef]
- Dietz, K.J.; Herth, S. Plant nanotoxicology. Trends Plant Sci. 2012, 16, 582–589. [Google Scholar] [CrossRef] [PubMed]
- Kurepa, J.; Paunesku, T.; Vogt, S.; Arora, H.; Rabatic, B.M.; Lu, J.; Wanzer, M.B.; Woloschak, G.E.; Smalle, J.A. Uptake and distribution of ultrasmall anatase TiO2 Alizarin Red S nanoconjugates in Arabidopsis thaliana. Nano Lett. 2010, 10, 2296–2302. [Google Scholar] [CrossRef]
- Zhang, Q.; Song, X.; Bartels, D. Sugar metabolism in the desiccation tolerant grass Oropetium thomaeum in response to environmental stresses. Plant Sci. 2018, 270, 30–36. [Google Scholar] [CrossRef]
- Sami, F.; Yusuf, M.; Faizan, M.; Faraz, A.; Hayat, S. Role of sugars under abiotic stress. Plant Physiol. Biochem. 2016, 109, 54–61. [Google Scholar] [CrossRef]
- Du, W.; Gardea-Torresdey, J.L.; Xie, Y.; Yin, Y.; Zhu, J.; Zhang, X.; Ji, R.; Gu, K.; Peralta-Videa, J.R.; Guo, H. Elevated CO2 levels modify TiO2 nanoparticle effects on rice and soil microbial communities. Sci. Total Environ. 2017, 578, 408–416. [Google Scholar] [CrossRef]
- Wang, N.Y.; Jiang, D.A.; Hong, J.; Zhang, F.; Weng, X.Y. Diurnal changes of Rubisco and RCA activities and their cellular localization in rice. Acta Bot. Sin. 2003, 45, 1076–1083. [Google Scholar] [CrossRef]
- Jammer, A.; Gasperl, A.; Luschin-Ebengreuth, N.; Heyneke, E.; Chu, H.; Cantero-Navarro, E.; Grosskinsky, D.K.; Albacete, A.A.; Stabentheiner, E.; Franzaring, J. Simple and robust determination of the activity signature of key carbohydrate me-tabolism enzymes for physiological phenotyping in model and crop plants. J. Exp. Bot. 2015, 66, 5531–5542. [Google Scholar] [CrossRef]






| Cultivars | An | SPAD | Fv/Fm | ETo/CSm | TRo/CSm | PIabs | IRA | TRA | RA | Ca2+A | Mg2+A | ATPc | Leaf N | Leaf Zn | TSS | SR | Shoot DM | Root DM |
|---|---|---|---|---|---|---|---|---|---|---|---|---|---|---|---|---|---|---|
| TS1 | −38.0% | −21.1% | −23.4% | −47.5% | −38.7% | −47.3% | −2.9% | −2.0% | −1.1% | −25.3% | −2.6% | −11.7% | −17.7% | +50.5% | −43.9% | −31.7% | −18.8% | −24.2% |
| ZM18 | −34.7% | −22.9% | −26.4% | −49.4% | −34.6% | −51.0% | −2.2% | −4.2% | +2.1% | −24.1% | −3.8% | −11.5% | −10.0% | +48.5% | −33.7% | −34.7% | −21.0% | −28.7% |
| JM22 | −25.7% | −18.8% | −8.8% | −40.1% | −28.1% | −43.0% | −2.3% | −5.2% | +3.0% | −8.3% | −7.8% | −12.5% | −10.1% | +25.8% | −10.2% | −7.5% | −15.6% | −37.4% |
| LM6 | −31.0% | −18.1% | −15.3% | −30.6% | −29.4% | −53.2% | +4.1% | −1.6% | +5.8% | −11.0% | −1.4% | −8.7% | −4.2% | +31.8% | −19.8% | −19.7% | −8.0% | −20.6% |
Disclaimer/Publisher’s Note: The statements, opinions and data contained in all publications are solely those of the individual author(s) and contributor(s) and not of MDPI and/or the editor(s). MDPI and/or the editor(s) disclaim responsibility for any injury to people or property resulting from any ideas, methods, instructions or products referred to in the content. |
© 2023 by the authors. Licensee MDPI, Basel, Switzerland. This article is an open access article distributed under the terms and conditions of the Creative Commons Attribution (CC BY) license (https://creativecommons.org/licenses/by/4.0/).
Share and Cite
Li, S.; Liu, Y.; Wang, Z.; Liu, T.; Li, X.; Zhang, P. Integrating Chlorophyll a Fluorescence and Enzymatic Profiling to Reveal the Wheat Responses to Nano-ZnO Stress. Plants 2023, 12, 3808. https://doi.org/10.3390/plants12223808
Li S, Liu Y, Wang Z, Liu T, Li X, Zhang P. Integrating Chlorophyll a Fluorescence and Enzymatic Profiling to Reveal the Wheat Responses to Nano-ZnO Stress. Plants. 2023; 12(22):3808. https://doi.org/10.3390/plants12223808
Chicago/Turabian StyleLi, Shengdong, Yujia Liu, Zongshuai Wang, Tianhao Liu, Xiangnan Li, and Peng Zhang. 2023. "Integrating Chlorophyll a Fluorescence and Enzymatic Profiling to Reveal the Wheat Responses to Nano-ZnO Stress" Plants 12, no. 22: 3808. https://doi.org/10.3390/plants12223808
APA StyleLi, S., Liu, Y., Wang, Z., Liu, T., Li, X., & Zhang, P. (2023). Integrating Chlorophyll a Fluorescence and Enzymatic Profiling to Reveal the Wheat Responses to Nano-ZnO Stress. Plants, 12(22), 3808. https://doi.org/10.3390/plants12223808

