Novel Mechanisms Underlying Rubber Accumulation and Programmed Cell Death in Laticiferous Canals of Decaisnea insignis Fruits: Cytological and Transcriptomic Analyses
Abstract
:1. Introduction
2. Results
2.1. Development of Laticiferous Canal Formation and Rubber Accumulation
2.2. Cleavage of Nuclear DNA during Laticiferous Canal Formation
2.3. Viability
2.4. Rubber Accumulation and Nucleus Degeneration
2.5. Ultrastructural Development of Laticiferous Canals
2.5.1. Earliest Stage
2.5.2. Sunken Stage
2.5.3. Expanding Stage
2.5.4. Mature Stage
2.6. RNA Sequencing, De Novo Assembly, and Functional Annotation
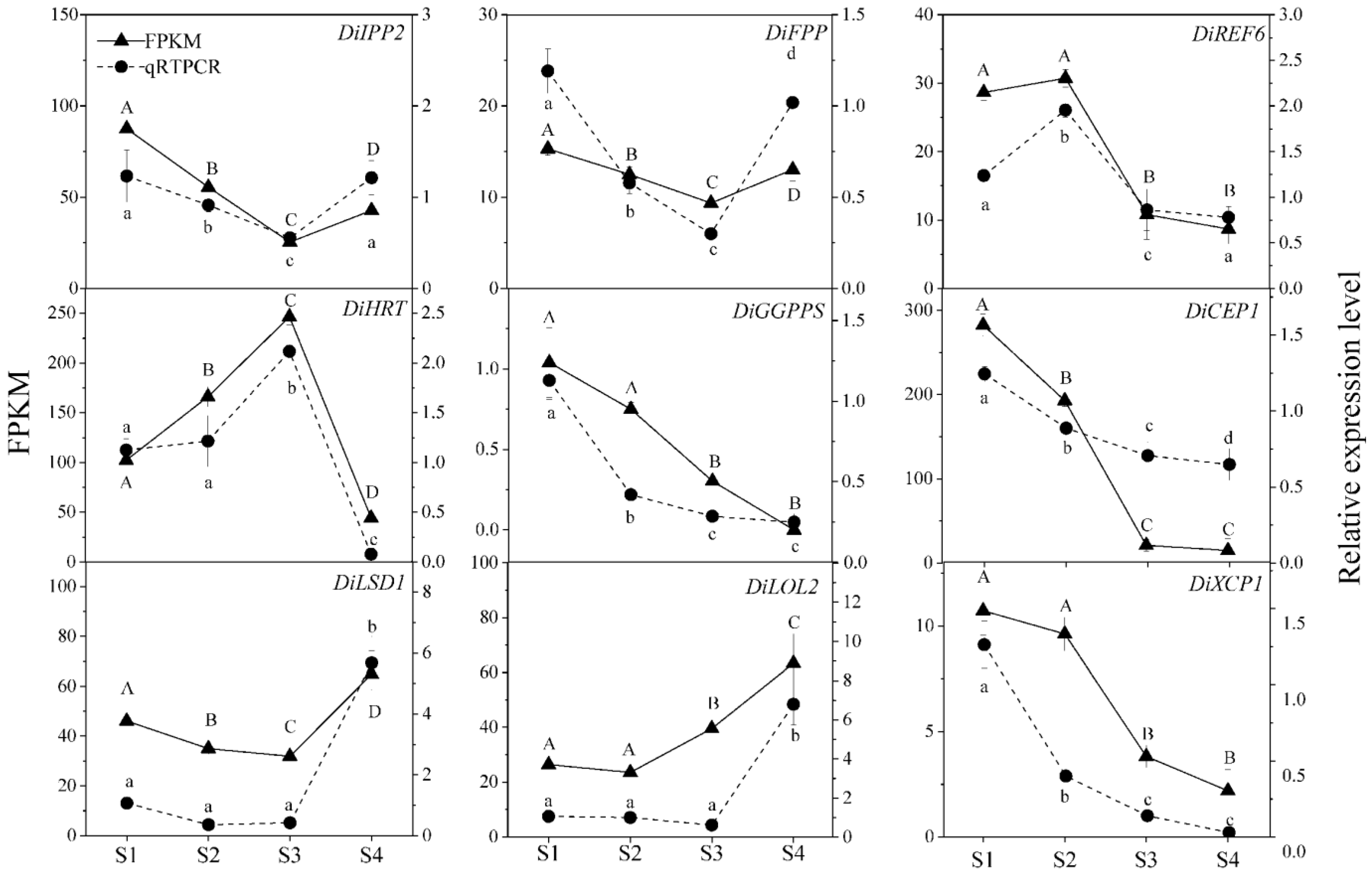
2.7. Analysis and qRT-PCR Validation of Differentially Expressed Genes (DEGs)
3. Materials and Methods
3.1. Plant Materials
3.2. Light Microscopy
3.3. Scanning Electron Microscopy
3.4. Evans Blue
3.5. Osmic Acid and DAPI Staining
3.6. TUNEL Assay and DAPI Staining
3.7. Transmission Electron Microscopy
3.8. RNA Library Preparation for Transcriptome Sequencing
3.9. Transcriptome Assembly, Gene Functional Annotation, and Quantification of Gene Expression Levels
3.10. Differential Gene Expression Analysis
3.11. Functional Enrichment Analysis of Differentially Expressed Genes (DEGs)
3.12. Quantitative Reverse Transcription-PCR (qRT-PCR)
3.13. Percentage of Rubber Precursor and Rubber Particle-Containing Cells
4. Discussion
4.1. Special Material for Natural Rubber Biosynthesis Study
4.2. Freely Produced Rubber Precursors in Cytoplasm
4.3. Vacuole-Mediated Autophagy during Rubber Biosynthesis
4.4. Exploring the Cytological Relationship between Rubber Accumulation and PCD
4.5. Molecular Insights into Rubber Biosynthesis and PCD
5. Conclusions
6. Future Directions
Supplementary Materials
Author Contributions
Funding
Data Availability Statement
Conflicts of Interest
Abbreviation
References
- Bealing, F.J. Carbohydrate metabolism in Hevea latex-availability and utilization of substrates. J. Rubber Res. Inst. Malays. 1969, 21, 445–455. [Google Scholar]
- Backhaus, R.A. Rubber formation in plants-a mini review. Isr. J. Bot. 1985, 34, 283–293. [Google Scholar]
- Editorial Committee of Flora of China. Flora of China; Science Press: Beijing, China, 2001; Volume 29, pp. 2–4. [Google Scholar]
- Men, X.; Wang, F.; Chen, G.Q.; Zhang, H.B.; Xian, M. Biosynthesis of Natural Rubber: Current State and Perspectives. Int. J. Mol. Sci. 2019, 20, 50. [Google Scholar]
- Southorn, W.A. Microscopy of Hevea latex. In Proceedings of the Natural Rubber Research Conference, The Rubber Research Institute of Maylayar, Kuala Lumper, Malaysia, 26 September–1 October 1961; pp. 766–776. [Google Scholar]
- Brown, D.; Feeney, M.; Ahmadi, M.; Lonoce, C.; Sajari, R.; Di Cola, A.; Frigerio, L. Subcellular localization and interactions among rubber particle proteins from Hevea brasiliensis. J. Exp. Bot. 2017, 68, 5045–5055. [Google Scholar]
- Robinson, D.G.; Galili, G.; Herman, E.; Hillmer, S. Topical aspects of vacuolar protein transport: Autophagy and prevacuolar compartments. J. Exp. Bot. 1998, 49, 1263–1270. [Google Scholar] [CrossRef]
- Wu, J.L.; Hao, B.Z. Ultrastructural observation of differentiation laticifers in Hevea brasiliensis. Acta Bot. Sin. 1990, 32, 350–354. [Google Scholar]
- Hu, Z.H.; Zhao, G.F.; Tian, L.X. Studies on relations between rubber synthesis and microstructure and ultrastructure of laticiferous canals of Decaisnea fargesii in fruit development. J. Northwest Univ. 1991, 2, 45–55. [Google Scholar]
- Asawatreratanakul, K.; Zhang, Y.W.; Wititsuwannakul, D.; Wititsuwannakul, R.; Takahashi, S.; Rattanapittayaporn, A.; Koyamal, T. Molecular cloning, expression and characterization of cdna encoding cis-prenyltransferases from Hevea brasiliensis a key factor participating in natural rubber biosynthesis. Eur. J. Biochem. 2003, 270, 4671–4680. [Google Scholar]
- Tang, C.R.; Yang, M.; Fang, Y.J.; Luo, Y.F.; Gao, S.H.; Xiao, X.H.; An, Z.W.; Zhou, B.H.; Zhang, B.; Tan, X.Y.; et al. The rubber tree genome reveals new insights into rubber production and species adaptation. Nat. Plants 2016, 2, 1–10. [Google Scholar]
- Zhou, Y.F.; Liu, W.Z. Laticiferous canal formation in fruits of Decaisnea fargesii: A programmed cell death process? Protoplasma 2011, 4, 683–694. [Google Scholar]
- Durkee, L.T. The Ultrastructure of floral and extrafloral nectaries. In The Biology of Necaries, 1983; Bentley, B., Elias, T.S., Eds.; Columbia University Press: New York, NY, USA, 1983; pp. 1–5. [Google Scholar]
- Figueiredo, A.C.; Pais, M.S.S. Ultrastructural aspects of the glandular cells from the secretory trichomes and from the cell suspension cultures of Achillea millefolium L. ssp. Millefolium. Ann. Bot. 1994, 74, 179–190. [Google Scholar] [CrossRef]
- Zhu, J.; Hu, Z.H. Cytological studies on the development of sieve element and floral nectary tissue in Arabidopsis thaliana. Acta Bot. Sin. 2002, 44, 9–14. [Google Scholar]
- Mastroberti, A.A.; de Araujo Mariath, J.E. Development of mucilage cells of Araucaria angustifolia (Araucariaceae). Protoplasma 2008, 232, 233–245. [Google Scholar] [CrossRef] [PubMed]
- Zhou, Y.F.; Mao, S.L.; Li, S.F.; Ni, X.L.; Li, B.; Liu, W.Z. Programmed cell death: A mechanism for the lysigenous formation of secretory cavities in leaves of Dictamnus dasycarpus. Plant Sci. 2014, 225, 147–160. [Google Scholar] [CrossRef] [PubMed]
- Liu, W.Z.; Zhou, Y.F.; Wang, X.; Jiao, Z.J. Programmed cell death during pigment gland formation in Gossypium hirsutum leaves. Plant Biol. 2010, 12, 895–902. [Google Scholar] [CrossRef] [PubMed]
- Chen, Y.; Wu, H. Programmed cell death involved in the schizolysigenous formation of the secretory cavity in Citrus sinensis L. Osbeck. Chin. Sci. Bull. 2010, 55, 1–9. [Google Scholar] [CrossRef]
- Zhou, Y.F.; Shi, H.Y.; Liu, W.Z. Ontogenesis of trichome cavity in Dictamnus dasycarpus. Flora 2012, 207, 63–73. [Google Scholar] [CrossRef]
- Zhou, Y.F.; Li, G.; Han, G.J.; Xun, L.L.; Mao, S.L.; Yang, L.Y.; Wang, Y.W. Developmental programmed cell death involved in ontogenesis of Dictamnus dasycarpus capitate glandular hairs. Plants 2023, 12, 395. [Google Scholar] [CrossRef]
- Zhao, X.Y.; Zhang, Y.; Wang, M.; Fang, X.A.; Cai, X. Comparative proteomic analysis of latex from Euphorbia kansui laticifers at different development stages with and without UV-B treatment via iTRAQ-coupled two-dimensional liquid chromatography-MS/MS. Funct. Plant Biol. 2020, 47, 67–79. [Google Scholar] [CrossRef]
- He, X.Q.; Wu, H. Mechanisms of developmental programmed cell death in plants. Chin. Bull. Bot. 2013, 48, 357–370. [Google Scholar]
- Xie, Q.M.; Hou, H.; Yan, P.X.; Zhang, H.Y.; Lv, Y.Z.; Li, X.B.; Chen, L.; Pang, D.B.; Hu, Y.; Ni, X.L. Programmed cell death associated with the formation of schizolysigenous aerenchyma in Nelumbo nucifera root. Front. Plant Sci. 2022, 13, 968841. [Google Scholar] [CrossRef]
- Han, J.; Li, H.; Yin, B.; Zhang, Y.Z.; Liu, Y.D.; Cheng, Z.Y.; Liu, D.; Lu, H. The papain-like cysteine protease CEP1 is involved in programmed cell death and secondary wall thickening during xylem development in Arabidopsis. J. Exp. Bot. 2018, 70, 205–216. [Google Scholar] [CrossRef] [PubMed]
- Funk, V.; Kositsup, B.; Zhao, C.; Beers, P.B. The Arabidopsis Xylem Peptidase XCP1 Is a Tracheary Element Vacuolar Protein That May Be a Papain Ortholog. Plant Physiol. 2002, 128, 84–94. [Google Scholar] [CrossRef] [PubMed]
- Chai, T.; Zhou, J.; Liu, J.; Xing, D. LSD1 and HY5 antagonistically regulate redlight induced-programmed cell death in Arabidopsis. Front. Plant Sci. 2015, 6, 292–305. [Google Scholar] [CrossRef]
- Bai, M.; Liang, M.J.; Huai, B.; Gao, H.; Tong, P.P.; Shen, R.X.; He, H.J.; Wu, H. Ca2+-dependent nuclease is involved in DNA degradation during the formation of the secretory cavity by programmed cell death in fruit of Citrus grandis ‘Tomentosa’. J. Exp. Bot. 2020, 71, 4812–4827. [Google Scholar] [CrossRef]
- Huai, B.; Bai, M.; Tong, P.P.; He, H.J.; Liang, M.J.; Chen, C.Y.; Wu, H. CgPBA1 may be involved in nuclear degradation during secretory cavity formation by programmed cell death in Citrus grandis ‘Tomentosa’ fruits. Plant Physiol. Bioch. 2021, 160, 306–314. [Google Scholar] [CrossRef]
- Tong, P.P.; Huai, B.; Chen, Y.; Bai, M.; Wu, H. CisPG21 and CisCEL16 are involved in the regulation of the degradation of cell walls during secretory cavity cell programmed cell death in the fruits of Citrus sinensis (L.) Osbeck. Plant Sci. 2020, 297, 110540. [Google Scholar] [CrossRef] [PubMed]
- Ko, J.H.; Chow, K.S.; Han, K.H. Transcriptome analysis reveals novel features of the molecular events occurring in the laticifers of Hevea brasiliensis (para rubber tree). Plant Mol. Biol. 2003, 53, 479–492. [Google Scholar] [CrossRef]
- Dickenson, P.B. Electron microscopical studies of latex vessel system of Hevea brasiliensis. J. Rubber Res. Inst. Malays. 1969, 21, 543–559. [Google Scholar]
- Grabherr, M.G.; Haas, B.J.; Yassour, M.; Levin, J.Z.; Thompson, D.A.; Amit, I.; Xian, A.; Lin, F.; Raychowdhury, R.; Zeng, Q. Full length transcriptome assembly from RNA Seq data without a reference genome. Nat. Biotech. 2011, 29, 644–652. [Google Scholar] [CrossRef]
- Li, B.; Colin, N.D. RSEM: Accurate transcript quantification from RNA Seq data with or without a reference genome. BMC Bioinform. 2011, 12, 323. [Google Scholar] [CrossRef] [PubMed]
- Kanehisa, M.; Goto, S.; Kawashima, S.; Yasushi, O.; Masahiro, H. The KEGG resource for deciphering the genome. Nucleic Acids Res. 2004, 32, D277–D280. [Google Scholar] [CrossRef] [PubMed]
- Xie, C.; Mao, X.; Huang, J.; Ding, Y.; Wu, J.; Dong, S.; Kong, L.; Gao, G.; Li, C.; Wei, L. KOBAS 2.0: A web server for annotation and identification of enriched pathways and diseases. Nucleic Acids Res. 2011, 39, 316–322. [Google Scholar] [CrossRef]
- Pang, Y.; Peel, G.J.; Sharma, S.B.; Tang, Y.; Dixon, R.A. A transcript profiling approach reveals an epicatechin-specific glucosyltransferase expressed in the seed coat of medicago truncatula. Proc. Natl. Acad. Sci. USA 2008, 105, 14210–14215. [Google Scholar] [CrossRef]
- Li, G.; Zhao, J.H.; Qin, B.B.; Yin, Y.; An, W.; Mu, Z.X.; Cao, Y.L. ABA mediates development-dependent anthocyanin biosynthesis and fruit coloration in Lycium plants. BMC Plant Biol. 2019, 19, 1–13. [Google Scholar] [CrossRef] [PubMed]
- Kajiura, H.; Suzuki, N.; Mouri, H.; Watanabe, N.; Nakazawa, Y. Elucidation of rubber biosynthesis and accumulation in the rubber producing shrub, guayule (Parthenium argentatum Gray). Planta 2018, 247, 513–526. [Google Scholar] [CrossRef]
- Hu, Z.H. Studies on the structure and the ontogeny of laticiferous canals of Decaisnea fargesii Franch. Acta Bot. Sin. 1963, 11, 129–140. [Google Scholar]
- Goyvaerts, E.; Dennis, M.; Light, D.; Chua, N.H. Cloning and sequencing of the cDNA encoding the rubber elongation factor of Hevea brasiliensis. Plant Physiol. 1991, 97, 317–321. [Google Scholar] [CrossRef]
- Hébant, C. Ontogénie des laticifères du système primaire de l’ Hevea brasiliensis: Une étude ultrastructurale et cytochimique. Can. J. Bot. 1981, 59, 974–985. [Google Scholar] [CrossRef]
- Wang, Y.; Liu, Y.L. Progress in plant autophagy. Chin. J. Cell Biol. 2010, 32, 677–689. [Google Scholar]
- Gaffal, K.P.; Friedrichs, G.J.; El-Gammal, S. Ultrastructural evidence for a dual function of the phloem and programmed cell death in the floral nectary of Digitalis purpurea. Ann. Bot. 2007, 99, 593–607. [Google Scholar] [CrossRef] [PubMed]
- Mateusz, M.; Miroslaw, S.; Javier, C.; Carolina, E.; Stanislaw, K.; Marcin, F. The role of programmed cell death regulator lsd1 in nematode-induced syncytium formation. Front. Plant Sci. 2018, 9, 314–331. [Google Scholar]















Disclaimer/Publisher’s Note: The statements, opinions and data contained in all publications are solely those of the individual author(s) and contributor(s) and not of MDPI and/or the editor(s). MDPI and/or the editor(s) disclaim responsibility for any injury to people or property resulting from any ideas, methods, instructions or products referred to in the content. |
© 2023 by the authors. Licensee MDPI, Basel, Switzerland. This article is an open access article distributed under the terms and conditions of the Creative Commons Attribution (CC BY) license (https://creativecommons.org/licenses/by/4.0/).
Share and Cite
Zhou, Y.; Li, G.; Han, G.; Mao, S.; Yang, L.; Wang, Y. Novel Mechanisms Underlying Rubber Accumulation and Programmed Cell Death in Laticiferous Canals of Decaisnea insignis Fruits: Cytological and Transcriptomic Analyses. Plants 2023, 12, 3497. https://doi.org/10.3390/plants12193497
Zhou Y, Li G, Han G, Mao S, Yang L, Wang Y. Novel Mechanisms Underlying Rubber Accumulation and Programmed Cell Death in Laticiferous Canals of Decaisnea insignis Fruits: Cytological and Transcriptomic Analyses. Plants. 2023; 12(19):3497. https://doi.org/10.3390/plants12193497
Chicago/Turabian StyleZhou, Yafu, Gen Li, Guijun Han, Shaoli Mao, Luyao Yang, and Yanwen Wang. 2023. "Novel Mechanisms Underlying Rubber Accumulation and Programmed Cell Death in Laticiferous Canals of Decaisnea insignis Fruits: Cytological and Transcriptomic Analyses" Plants 12, no. 19: 3497. https://doi.org/10.3390/plants12193497
APA StyleZhou, Y., Li, G., Han, G., Mao, S., Yang, L., & Wang, Y. (2023). Novel Mechanisms Underlying Rubber Accumulation and Programmed Cell Death in Laticiferous Canals of Decaisnea insignis Fruits: Cytological and Transcriptomic Analyses. Plants, 12(19), 3497. https://doi.org/10.3390/plants12193497

