Bio-Organically Acidified Product-Mediated Improvements in Phosphorus Fertilizer Utilization, Uptake and Yielding of Zea mays in Calcareous Soil
Abstract
:1. Introduction
2. Materials and Methods
2.1. Acidulated Organic Manure Preparation and Analysis
2.2. Preparation of Plant Growth Promoting Bacterial Inoculum and Soil Microbial Count Evaluation
2.3. Pot Study and Detail
2.4. Test Plant, Harvest, and Sample Analysis
2.5. Plant Physiology and Nutrition Status
2.6. Statistical Analysis
3. Results
3.1. Effect of LAOM and AOM with Different P sources along PSB on Maize Growth Attributes
3.2. Effect of LAOM and AOM with Different P Sources along PSB on Maize Physiological and Nutritional Attributes
3.3. Effect of LAOM and AOM with Different P Sources along PSB on Maize Seed Quality Traits
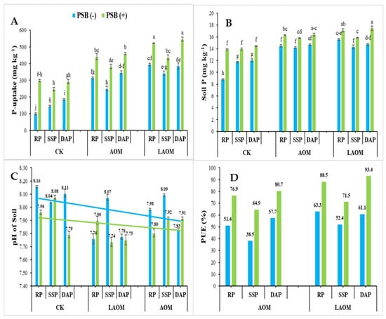
3.4. Effect of LAOM and AOM with Different P Sources along PSB on Post-Harvest Soil Analysis
3.5. Relationship between Maize Growth Parameters under Different Treatments
4. Discussion
5. Conclusions
Supplementary Materials
Author Contributions
Funding
Data Availability Statement
Acknowledgments
Conflicts of Interest
References
- Anand, K.; Kumari, B.; Mallick, M. Phosphate solubilizing microbes: An effective and alternative approach as biofertilizers. Int. J. Pharm. Pharm. Sci. 2016, 8, 37–40. [Google Scholar]
- Pereira, S.I.A.; Castro, P.M.L. Phosphate-solubilizing rhizobacteria enhance Zea mays growth in agricultural P-deficient soils. Ecol. Eng. 2014, 73, 526–535. [Google Scholar] [CrossRef]
- Richardson, A.E.; Barea, J.M.; Mcneill, A.M.; Combaret, C.P. Acquisition of phosphorus and nitrogen in the rhizosphere and plant growth promotion by microorganisms. Plant Soil 2009, 321, 305–339. [Google Scholar] [CrossRef]
- Shrivastava, M.; Srivastava, P.C.; D’Souza, S.F. Phosphate-solubilizing microbes: Diversity and phosphates solubilization mechanism. In Role of Rhizospheric Microbes in Soil; Springer: Singapore, 2018; pp. 137–165. [Google Scholar]
- Dhillon, J.; Torres, G.; Driver, E.; Figueiredo, B.; Raun, W.R. World phosphorus use efficiency in cereal crops. J. Agron. 2017, 109, 1670–1677. [Google Scholar] [CrossRef]
- Mpanga, I.K.; Ludewig, U.; Dapaah, H.K.; Neumann, G. Acquisition of rock phosphate by combined application of ammonium fertilizers and Bacillus amyloliquefaciens FZB42 in maize as affected by soil pH. J. App. Microbiol. 2020, 129, 947–957. [Google Scholar] [CrossRef]
- Shen, J.; Wang, L.; Jiao, X.; Meng, F.; Zhang, L.; Feng, G.; Zhang, J.; Yuan, L.; Ma, L.; Hou, Y. Innovations of phosphorus sustainability: Implications for the whole chain. Front. Agric. Sci. Eng. 2019, 6, 321–331. [Google Scholar] [CrossRef]
- Balemi, T.; Negisho, K. Management of soil phosphorus and plant adaptation mechanisms to phosphorus stress for sustainable crop production: A review. J. Soil Sci. Plant Nutr. 2012, 12, 547–561. [Google Scholar] [CrossRef]
- Smith, V.H.; Schindler, D.W. Eutrophication science: Where do we go from here? Trends Ecol. Evol. 2009, 24, 201–207. [Google Scholar] [CrossRef]
- Mehta, P.; Walia, A.; Kulshrestha, S.; Chauhan, A.; Shirkot, C.K. Efficiency of plant growth-promoting P-solubilizing Bacillus circulans CB7 for enhancement of tomato growth under net house conditions. J. Basic Microb. 2014, 53, 33–44. [Google Scholar]
- Timilsena, Y.P.; Adhikarib, R.; Caseyb, P.; Musterb, T.; Gilla, H.; Adhikaria, B. Enhanced efficiency fertilizers: A review of formulation and nutrient release patterns. J. Sci. Food Agric. 2015, 95, 1131–1142. [Google Scholar] [CrossRef]
- Khan, M.S.; Zaidi, A.; Ahmad, E. Mechanism of phosphate solubilization and physiological functions of phosphate solubilizing microorganisms. In Phosphate Solubilizing Microorganisms: Principles and Application of Microphos Technology; Springer International Publishing: Cham, Switzerland, 2014; pp. 31–62. [Google Scholar]
- Yaseen, M.; Aziz, M.Z.; Manzoor, A.; Naveed, M.; Hamid, Y.; Noor, S.; Khalid, M.A. Promoting growth, yield, and phosphorus-use efficiency of crops in maize–wheat cropping system by using polymer-coated diammonium phosphate. Commun. Soil Sci. Plant Anal. 2017, 48, 646–655. [Google Scholar] [CrossRef]
- Umar, W.; Ayub, M.A.; Rehman, M.Z.; Ahmad, H.R.; Farooqi, Z.U.R.; Shahzad, A.; Rehman, U.; Mustafa, A.; Nadeem, M. Nitrogen and Phosphorus Use Efficiency in Agroecosystems. In Resources Use Efficiency in Agriculture; Springer: Singapore, 2020; pp. 213–257. [Google Scholar]
- Matiullah, K.; Sharif, M. Solubility enhancement of phosphorus from rock phosphate through composting with poultry litter. Sarhad J. Agric. 2012, 28, 415–420. [Google Scholar]
- Akande, M.O.; Makinde, E.A.; Oluwatoyinbo, F.I.; Adetunji, M.T. Effects of phosphate rock application on dry matter yield and phosphorus recovery of maize and cowpea grown in sequence. Afr. J. Environ. Sci. Technol. 2010, 4, 293–303. [Google Scholar]
- Van Straaten, P. Rocks for Crops: Agro Minerals of Sub-Saharan Africa; ICRAF-International Center for Research in Agro forestry; University of Guelph: Nairobi, Kenya, 2002; p. 338. [Google Scholar]
- Park, J.; Bolan, N.; Mallavarapu, M.; Naidu, R. Enhancing the solubility of insoluble phosphorus compounds by phosphate solubilizing bacteria. In Proceedings of the 19th World Congress of Soil Science, Soil Solutions for a Changing World, Brisbane, Australia, 1–6 August 2010. [Google Scholar]
- Muhammad, D.; Khattak, R.A. Growth, and nutrient concentration of maize in pressmud treated saline-sodic soils. Soil Environ. 2009, 28, 145–155. [Google Scholar]
- Niamat, B.; Naveed, M.; Ahmad, Z.; Yaseen, M.; Ditta, A.; Mustafa, A.; Rafique, M.; Bibi, R.; Sun, N. Calcium-enriched animal manure alleviates the adverse effects of salt stress on growth, physiology and nutrients homeostasis of Zea mays L. Plants 2019, 8, 480. [Google Scholar] [CrossRef]
- Ng’etich, O.K.; Aguyoh, J.N.; Ogweno, J.O. Effects of composted farmyard manure on growth and yield of spider plant (Cleome gynandra). Int. J. Sci. Nat. 2012, 3, 514–520. [Google Scholar]
- Hopkins, B.; Ellsworth, J. Phosphorus availability with alkaline/calcareous soil. In Proceedings of the Western Nutrient Management Conference, Idaho Falls, ID, USA; 2005; Volume 6, pp. 88–93. [Google Scholar]
- Singh, H.; Reddy, M.S. Effect of inoculation with phosphate solubilizing fungus on growth and nutrient uptake of wheat and maize plants fertilized with rock phosphate in alkaline soils. Eur. J. Soil Biol. 2011, 47, 30–34. [Google Scholar] [CrossRef]
- Naveed, M.; Aziz, M.Z.; Yaseen, M. Perspectives of endophytic microbes for legume improvement. In Microbes for Legume Improvement; Zaidi, A., Khan, M.S., Musarrat, J., Eds.; Springer: Cham, Switzerland, 2017; pp. 277–299. [Google Scholar]
- Sharif, M.; Arif, M.; Burni, T.; Khan, F.; Jan, B.; Khan, I. Growth and P uptake of sorghum plants in salt affected soil as affected by organic materials composted with rock phosphate. Pak. J. Bot. 2014, 46, 173–180. [Google Scholar]
- Pérez, E.; Sulbara, N.M.; Ball, M.M.; Yarzábal, L.A. Isolation and characterization of mineral phosphate-solubilizing bacteria naturally colonizing a limonitic crust in the south-eastern Venezuelan region. Soil Biol. Biochem. 2007, 39, 2905–2914. [Google Scholar] [CrossRef]
- Ali, M.A.; Naveed, M.; Mustafa, A.; Abbas, A. The good, the bad, and the ugly of rhizosphere microbiome. In Probiotics and Plant Health; Springer: Singapore, 2017; pp. 253–290. [Google Scholar]
- Nadeem, S.M.; Hanif, A.; Khan, M.Y.; Waqas, M.R.; Ahmad, Z.; Ashraf, M.R.; Naveed, M. Elemental sulphur with sulphur oxidizing bacteria enhances phosphorus availability and improves growth and yield of wheat in calcareous soil. Arch. Agron. Soil Sci. 2022, 69, 1494–1502. [Google Scholar] [CrossRef]
- Buscot, F. What are soils? In Microorganisms in Soils: Roles in Genesis and Functions; Buscot, F., Varma, S., Eds.; Springer: Heidelberg, Germany, 2005; Volume 3, pp. 3–18. [Google Scholar]
- Olivieri, R.; Robertiello, A.; Degen, L. Enhancement of microbial degradation of oil pollutants using lipophilic fertilizers. Mar. Pollut. Bull. 1998, 56, 1855–1861. [Google Scholar] [CrossRef]
- Kumari, K.; Phogat, V.K. Rock phosphate: Its availability and solubilization in the soil—A review. Agric. Rev. 2008, 29, 108–116. [Google Scholar]
- Khan, K.S.; Qadir, M.F.; Ahmad, A.; Naveed, M.; Raza, T.; Ditta, A. Efficacy of Different Endophytic Bacterial Strains in Enhancing Growth, Yield, and Physiological and Biochemical Attributes of Linum usitatissimum L. J. Soil Sci. Plant Nutr. 2022, 22, 4365–4376. [Google Scholar] [CrossRef]
- Samreen, T.; Zahir, Z.A.; Naveed, M.; Asghar, M. Boron tolerant phosphorus solubilizing Bacillus spp. MN-54 improved canola growth in alkaline calcareous soils. Int. J. Agric. Biol. 2009, 21, 538–546. [Google Scholar]
- Somasegaran, P.; Hoben, H.J. Handbook for Rhizobia: Methods in Legume–Rhizobium Technology; Springer: Heidelberg, Germany; New York, NY, USA, 1994. [Google Scholar]
- US Salinity Lab Staff. Diagnosis and Improvement of Saline and Alkali Soils; USDA: Washington, DC, USA, 1954; p. 60.
- Jackson, M.L. Soil Chemical Analysis; Prentice Hall Inc.: Englewood Cliffs, NJ, USA, 1958; Volume 498, pp. 183–204. [Google Scholar]
- Ryan, J.; Estefan, G.; Rashid, A. Soil and Plant Analysis Lab Manual, 2nd ed.; International Centre for Agricultural Research in Dry Areas: Aleppo, Syria, 2001. [Google Scholar]
- Estefan, G.; Sommer, R.; Ryan, J. Methods of Soil, Plant, and Water Analysis: A Manual for the West Asia and North Africa region; International Center for Agricultural Research in the Dry Areas (ICARDA): Beirut, Lebanon, 2013. [Google Scholar]
- Rhoades, J.D. Cation exchange capacity. In Methods of Soil Aanalysis Part 2, 2nd ed.; Page, A.L., Miller, R.H., Keeney, D.R., Eds.; Chemical and Microbiological Properties: Madison, WI, USA, 1982; pp. 152–153. [Google Scholar]
- Moody, C.D.; Smith, H.W.; McGreery, R.M. Laboratory Manual for Soil Fertility; Department of Agronomy, State College of Washington, Pullman: Washington, DC, USA, 1959; pp. 31–39. [Google Scholar]
- Arfan-ul-Haq, M.; Yaseen, M.; Naveed, M.; Mustafa, A.; Siddique, S.; Alamri, S.; Siddiqui, M.H.; Al-Amri, A.A.; Alsubaie, Q.D.; Ali, H.M. Deciphering the potential of bioactivated rock phosphate and di-ammonium phosphate on agronomic performance, nutritional quality and productivity of wheat (Triticum aestivum L.). Agronomy 2021, 11, 684. [Google Scholar] [CrossRef]
- Olsen, S.R. Estimation of Avaliable Phosphorus in Soils by Extraction with Sodium Bicarbonate; United States Department of Agriculture: Washington, DC, USA, 1954. [Google Scholar]
- Walkley, A.; Black, I.A. An examination of the degtjareff method for determining soil organic matter, and a proposed modification of the chromic acid titration method. Soil Sci. 1934, 37, 29–38. [Google Scholar] [CrossRef]
- Wolf, B. A comprehensive system of leaf analysis and its use for diagnosing crop nutrient status. Commun. Soil Sci. Plant Anal. 1982, 13, 10351059. [Google Scholar] [CrossRef]
- Bhargava, B.S.; Raghupathi, H.B. Analysis of plant materials for macro and micronutrients. In Methods of Analysis of Soils, Plants, Waters and Fertilisers; Tandon, H.L.S., Ed.; FDCO: New Delhi, India, 1993; pp. 49–82. [Google Scholar]
- Naveed, M.N.A.; Hussain, A.; Mumtaz, M.Z.; Rafique, M.; Bashir, M.A.; Alamri, S.; Siddiqui, M.H. Impact of facile coating of urea with Bacillus augmented zinc oxide on physiology, antioxidant activity, nutrients efficiency and productivity of wheat grown under salinity stress. Plants 2020, 9, 1375. [Google Scholar]
- Noureen, S.; Khalid, M.; Zahir, Z.; Shahid, M. Phosphorus solubilization through acidified organic extract improved growth, yield and phosphorus uptake of maize grown in calcareous soil. Int. J. Agric. Biol. 2019, 22, 65–72. [Google Scholar]
- Barrow, N.J.; Hartemink, A.E. The effects of pH on nutrient availability depend on both soils and plants. Plant Soil 2023, 487, 21–37. [Google Scholar] [CrossRef]
- Modaihsh, A.S.; Al-Mustafa, W.A.; Metwally, A.L. Effect of elemental sulfur on chemical changes and nutrient availability in calcareous soils. Plant Soil 1989, 116, 95–101. [Google Scholar] [CrossRef]
- Cifuentes, F.R.; Lindemann, W.C. Organic matter stimulation of So oxidation in a calcareous soil. Soil Sci. Soc. Amer. J. 1993, 57, 727–731. [Google Scholar] [CrossRef]
- Hashemimajd, K.; Farani, T.M.; Jamaati-e-Somarin, S. Effect of elemental sulphur and compost on pH, electrical conductivity and phosphorus availability of one clay soil. Afr. J. Biotechnol. 2012, 11, 1425–1432. [Google Scholar] [CrossRef]
- Havlin, J.L.; Tisdale, S.L.; Nelson, W.L.; Beaton, J.D. Soil Fertility and Fertilizers; Pearson Education: Noida, India, 2016. [Google Scholar]
- Fayiga, A.O.; Ipinmoroti, M.O.; Chirenje, T. Environmental pollution in Africa Environ. Dev. Sustain. 2018, 20, 41–73. [Google Scholar] [CrossRef]
- Grayston, S.J.; Germida, J.J. Influence of crop rhizospheres non population and activity of heterotrophic sulfur oxidizing microorganisms. Soil Biol. Biochem. 1990, 22, 457–463. [Google Scholar] [CrossRef]
- Al-Bayati, A.H.; Yousef, A.N.; Kadhum, A.A. The effect of addition of some organic matters in biological oxidation of agricultural sulfur at deferent levels of soil compaction. п.-population densities of autotrophic and heterotrophic sulfur oxidizing microorganisms. J. Tech. 2007, 22. [Google Scholar]
- Wahid, F.; Sharif, M.; Steinkellner, S.; Khan, M.A.; Marwat, K.; Khan, S. Inoculation of arbuscular mycorrhizal fungi and phosphate solubilizing bacteria in the presence of rock phosphate improves phosphorus uptake and growth of maize. Pak. J. Bot. 2016, 48, 739–747. [Google Scholar]
- Wahid, F.; Fahad, S.; Danish, S.; Adnan, M.; Yue, Z.; Saud, S.; Datta, R. Sustainable management with mycorrhizae and phosphate solubilizing bacteria for enhanced phosphorus uptake in calcareous soils. Agriculture 2020, 10, 334. [Google Scholar] [CrossRef]
- Abbasi, M.K.; Musa, N.; Manzoor, M. Phosphorus release capacity of soluble P fertilizers and insoluble rock phosphate in response to phosphate solubilizing bacteria and poultry manure and their effect on plant growth promotion and P utilization efficiency of chilli (Capsicum annuum L.). Biogeosci. Discuss. 2015, 12, 1839–1873. [Google Scholar]
- Gyaneshwar, P.; Naresh, K.G.; Parekh, L.J.; Poole, P.S. Role of soil microorganisms in improving P nutrition of plants. Plant Soil 2002, 245, 83–93. [Google Scholar] [CrossRef]
- Agyarko, K.; Frimpong, K.A.; Abunyewa, A.A. Phosphorus release dynamics under phosphate rock and ammonium sulphate in soil amendment. Euras. J. Soil Sci. 2017, 6, 312–318. [Google Scholar] [CrossRef]
- Yasmeen, H.; Yaseen, M.; Aziz, M.Z.; Naveed, M.; Arfan-ul-Haq, M.; Abbas, T. Wheat residue management improves soil fertility and productivity of maize. Int. J. Agric. Biol. 2018, 20, 2181–2188. [Google Scholar]
- Khan, K.S.; Ali, M.M.; Naveed, M.; Rehmani, M.I.A.; Shafique, M.W.; Ali, H.M.; Feng, G. Co-application of organic amendments and inorganic P increase maize growth and soil carbon, phosphorus availability in calcareous soil. Front. Environ. Sci. 2022, 10, 949371. [Google Scholar] [CrossRef]





| Bacteria | O.M. | P Source | Parameters | |||||||
|---|---|---|---|---|---|---|---|---|---|---|
| PH (cm) | LA (cm2) | RL (cm) | SDW (g) | RDW (g) | CDW (g) | CL (cm) | CD (mm) | |||
| PSB (−) | CK | RP | 90.5 ± 3.6 h | 272 ± 6.05 g | 56.83 ± 1.93 g | 45.33 ± 1.21 j | 12.8 ± 0.89 f | 29.5 ± 1.05 f | 11.16 ± 0.73 e | 7.25 ± 0.27 f |
| SSP | 138.17 ± 4.6 g | 279.17 ± 3.5 g | 66.67 ± 0.91 g | 59.33 ± 1.37 i | 19.7 ± 0.7 e | 40.5 ± 2.38 ef | 14.3 ± 0.46 d | 10.08 ± 0.37 e | ||
| DAP | 146.33 ± 2.3 g | 439.5 ± 4.8 ef | 90.3 ± 2.65 d–f | 64.7 ± 1.2 hi | 21 ± 1.53 de | 47 ± 2.76 de | 16.5 ± 0.61 cd | 11.62 ± 0.32 e | ||
| AOM | RP | 163 ± 2.04 f | 455.33 ± 1.7 df | 90 ± 1.16 ef | 69.3 ± 0.88 gh | 25.3 ± 0.8 a–e | 57 ± 1.73 b–d | 19 ± 0.58 a–c | 15.6 ± 0.46 cd | |
| SSP | 177.3 ± 2.03 c–e | 437.67 ± 1.4 ef | 85.33 ± 1.86 f | 63.33 ± 0.88 i | 23 ± 0.6 c–e | 57.7 ± 5.2 a–d | 17.3 ± 0.67 bc | 15 ± 0.58 d | ||
| DAP | 171 ± 2.3 d–f | 439.33 ± 8.9 ef | 97.7 ± 4.1 b–e | 77 ± 1.16 d–f | 26 ± 0.6 a–e | 59 ± 3.61 a–d | 18 ± 0.58 a–c | 16.3 ± 0.4 b–d | ||
| LAOM | RP | 161.66 ± 1.4 f | 470.7 ± 2.8 cd | 102 ± 2.52 a–d | 86.33 ± 0.58 b | 26.7 ± 1.5 a–d | 51 ± 1.77 c–e | 19.3 ± 0.58 a–c | 16.6 ± 0.4 a–d | |
| SSP | 171.33 ± 2.3 d–f | 455 ± 3.2 de | 89.3 ± 2.41 ef | 79 ± 1.73 c–e | 25.7 ± 0.8 a–e | 65.7 ± 2.9 ab | 18.3 ± 0.33 a-– | 15.7 ± 0.57 cd | ||
| DAP | 175.67 ± 1.7 c–e | 464.6 ± 4.3 de | 102.3 ± 3.5 a–c | 82.7 ± 0.88 bc | 26.7 ± 1.2 a–d | 67 ± 2.08 ab | 19.3 ± 0.33 a–c | 16.7 ± 0.4 a–d | ||
| PSB (+) | CK | RP | 139.5 ± 1.6 g | 449.3 ± 3.6 de | 96.3 ± 2.14 c–f | 73 ± 0.87 fg | 23.3 ± 1.4 b–e | 57.1 ± 1.7 a–d | 18.5 ± 0.58 a–c | 15.6 ± 0.33 cd |
| SSP | 167 ± 2.3 ef | 421 ± 5.8 f | 87.5 ± 2.1 ef | 69.5 ± 0.87 gh | 23.3 ± 1.4 b–e | 57.5 ± 2.4 a–d | 17.1 ± 0.3 b–d | 15.07 ± 0.38 d | ||
| DAP | 170.5 ± 2.4 d–f | 461.2 ± 4.2 de | 98.3 ± 1.9 b–e | 73.8 ± 1.5 e–g | 26.7 ± 0.6 a–d | 61.7 ± 3.4 a–c | 18.2 ± 0.61 a–c | 16.4 ± 0.5 b–d | ||
| AOM | RP | 185.33 ± 1.4 a–c | 510 ± 0.4 ab | 105.3 ± 1.9 a–c | 82 ± 1.16 b–d | 29.7 ± 0.7 ab | 58.7 ± 2 a–d | 20 ± 0.58 ab | 16.6 ± 0.23 a–c | |
| SSP | 181.33 ± 2.4 b–d | 493 ± 1.5 bc | 98.7 ± 2.6 b–e | 77.7 ± 1.45 c–f | 26.7 ± 2.7 a–d | 59.7 ± 4.7 a–d | 19 ± 0.58 a–c | 17.3 ± 0.33 a–c | ||
| DAP | 193.67 ± 1.4 ab | 530 ± 8.6 a | 109 ± 1.16 ab | 83 ± 2.08 bc | 30.33 ± 1.2 a | 61.3 ± 4.9 a–c | 20 ± 0.58 ab | 18 ± 0.29 ab | ||
| LAOM | RP | 184.67 ± 2.3 a–c | 510 ± 4.1 ab | 107.3 ± 2.4 a–c | 93.67 ± 0.88 a | 30.7 ± 1.5 a | 68 ± 1.53 ab | 20.3 ± 0.88 a | 18.2 ± 0.53 ab | |
| SSP | 180.33 ± 1.4 cd | 497.7 ± 1.8 bc | 103.3 ± 1.5 a–c | 85.33 ± 1.2 b | 28.3 ± 2.6 a–c | 68.7 ± 2 ab | 20.3 ± 0.67 a | 18 ± 0.29 ab | ||
| DAP | 196.67 ± 1.6 a | 533 ± 4.1 a | 111.3 ± 2.34 a | 95.67 ± 1.2 a | 31.3 ± 1.2 a | 70 ± 3.06 a | 20.7 ± 0.88 a | 18.67 ± 0.33 a | ||
| Bacteria | O.M. | P Source | CHL (mg g−1) | STC (mmol m−2 s−1) | ASR (µmol CO2 m−2 s−1) | TRR (mmol m−2 s−1) | WUE (%) | Shoot–P (%) | Root–P (%) | Grain–P (%) |
|---|---|---|---|---|---|---|---|---|---|---|
| PSB (−) | CK | RP | 35.5 ± 1.17 e | 38.83 ± 2.25 j | 14.6 ± 1.16 d | 1.29 ± 0.21 g | 7.33 ± 0.67 d | 0.18 ± 0 i | 0.13 ± 0.01 h | 0.22 ± 0.02 f |
| SSP | 44.33 ± 1.2 d | 45.83 ± 1.31 j | 22.9 ± 1.03 c | 1.57 ± 0.25 fg | 8.32 ± 0.24 a–d | 0.19 ± 0.01 i | 0.17 ± 0.01 gh | 0.29 ± 0.02 ef | ||
| DAP | 45 ± 1.63 d | 64.1 ± 1.59 hi | 30.5 ± 1.46 b | 1.7 ± 0.26 e–g | 8.3 ± 0.25 a–d | 0.23 ± 0.01 hi | 0.18 ± 0.02 f–h | 0.34 ± 0.01 de | ||
| LAOM | RP | 52.67 ± 1.2 a–c | 72.3 ± 1.5 f–h | 25 ± 0.58 c | 2.64 ± 0.21 d | 8.46 ± 0.16 0 | 0.35 ± 0.01 c–f | 0.27 ± 0.02 b–e | 0.45 ± 0.02 a–c | |
| SSP | 51 ± 0.58 bc | 74 ± 1.53 e–ch | 25 ± 0.58 c | 2.65 ± 0.26 d | 8.88 ± 0.46 a–d | 0.3 ± 0.02 fg | 0.25 ± 0.01 d–f | 0.43 ± 0.02 bc | ||
| DAP | 52.3 ± 1.86 a–c | 81.3 ± 1.8 c–f | 32.3 ± 0.8 ab | 3.1 ± 0.31 b–d | 9.11 ± 0.17 a–d | 0.35 ± 0.01 c–f | 0.28 ± 0.01 b–e | 0.44 ± 0.01 bc | ||
| AOM | RP | 56.33 ± 1 ab | 78.3 ± 1.7 d–cf | 30.7 ± 1.53 b | 2.5 ± 0.31 de | 7.88 ± 0.27 cd | 0.37 ± 0.01 b–f | 0.3 ± 0.01 a–e | 0.46 ± 0.01 a–c | |
| SSP | 52.7 ± 1.86 a–c | 77.7 ± 2.1 d–g | 25.7 ± 1.17 c | 2.69 ± 0.24 d | 8.64 ± 0.19 a–d | 0.34 ± 0.01 d–g | 0.27 ± 0.01 b–e | 0.45 ± 0.01 a–c | ||
| DAP | 54 ± 1.53 a–c | 85.3 ± 1.8 a–d | 33.3 ± 0.8 ab | 3.12 ± 0.1 b–d | 8.48 ± 0.43 a–d | 0.37 ± 0.02 b–f | 0.3 ± 0.01 a–e | 0.46 ± 0.01 a–c | ||
| PSB (+) | CK | RP | 52 ± 1.08 a–c | 68 ± 1.48 gh | 25.8 ± 1.21 c | 2.33 ± 0.2 d–f | 8.07 ± 0.61 b–d | 0.33 ± 0 e–g | 0.26 ± 0.02 de | 0.39 ± 0.01 cd |
| SSP | 49.3 ± 0.73 cd | 57.17 ± 1.33 i | 23.8 ± 1.81 c | 2.34 ± 0.25 d–f | 8.47 ± 0.42 a–d | 0.28 ± 0.02 gh | 0.24 ± 0.01 e–g | 0.4 ± 0.01 cd | ||
| DAP | 52.7 ± 0.73 a–c | 71.3 ± 1.7 f–h | 31.7 ± 1.18 b | 2.83 ± 0.23 cd | 8.39 ± 0.51 a–d | 0.3 ± 0.02 fg | 0.27 ± 0.01 c–e | 0.42 ± 0.02 b–d | ||
| LAOM | RP | 55.7 ± 0.88 ab | 87.3 ± 1.4 a–cd | 32.1 ± 0.6 ab | 3.67 ± 0.17 a–c | 8.57 ± 0.55 0 | 0.42 ± 0.02 a–c | 0.32 ± 0.01 a–d | 0.46 ± 0.02 a–c | |
| SSP | 53.3 ± 0.88 a–c | 82.7 ± 2 b–ce | 32.3 ± 0.6 ab | 3.67 ± 0.35 a–c | 8.93 ± 0.69 a–d | 0.39 ± 0.02 a–e | 0.29 ± 0.02 b–e | 0.46 ± 0.01 a–c | ||
| DAP | 56.3 ± 0.88 ab | 92.3 ± 2.7 ab | 33.8 ± 0.9 ab | 3.68 ± 0.3 a–c | 9.28 ± 0.52 a–d | 0.43 ± 0.01 ab | 0.34 ± 0.01 a–c | 0.5 ± 0.02 ab | ||
| AOM | RP | 57.67 ± 0.88 a | 90.7 ± 1.7 a–c | 34 ± 0.58 ab | 3.9 ± 0.06 ab | 10.08 ± 0.2 ab | 0.45 ± 0.01 a | 0.34 ± 0.01 ab | 0.48 ± 0.02 a–c | |
| SSP | 54 ± 0.58 a–c | 83.7 ± 0.8 b–e | 32.5 ± 0.8 ab | 3.69 ± 0.06 a–c | 9.82 ± 0.23 a–c | 0.41 ± 0.01 a–d | 0.31 ± 0.01 a–e | 0.48 ± 0.02 a–c | ||
| DAP | 57 ± 1.53 a | 95.3 ± 1.77 a | 36.3 ± 0.33 a | 4.11 ± 0.08 a | 10.22 ± 0.5 a | 0.45 ± 0.01 a | 0.36 ± 0.01 a | 0.53 ± 0.01 a |
| Bacteria | O.M | P Source | Crude Fat (%) | Crude Fiber (%) | Crude Protein (%) | Crude Protein (%) | KGW (g) |
|---|---|---|---|---|---|---|---|
| PSB (−) | CK | RP | 0.49 ± 0.03 j | 1 ± 0.03 k | 6.14 ± 0.12 h | 0.74 ± 0.02 h | 164.8 ± 4.3 g |
| SSP | 0.61 ± 0.02 ij | 1.14 ± 0.03 jk | 6.68 ± 0.07 gh | 0.8 ± 0.02 h | 189 ± 3.14 g | ||
| DAP | 0.75 ± 0.03 gh | 1.61 ± 0.04 hi | 7.83 ± 0.11 d–f | 1.19 ± 0.03 e–g | 226 ± 3.53 f | ||
| LAOM | RP | 0.72 ± 0.02 hi | 2.02 ± 0.05 c–f | 7.78 ± 0.1 d–f | 1.28 ± 0.02 d–f | 338 ± 5.7 bc | |
| SSP | 0.71 ± 0.02 hi | 1.9 ± 0.04 e–g | 7.75 ± 0.1 ef | 1.25 ± 0.03 e–g | 325 ± 2.9 b–d | ||
| DAP | 0.91 ± 0.02 d–f | 2.2 ± 0.09 a–e | 8.71 ± 0.23 bc | 1.48 ± 0.04 b–d | 304.7 ± 5.2 de | ||
| AOM | RP | 0.9 ± 0.02 b–d | 2.06 ± 0.07 b–f | 8.18 ± 0.09 c–e | 1.38 ± 0.02 c–e | 283.7 ± 2.9 e | |
| SSP | 0.92 ± 0.02 c–e | 1.95 ± 0.02 d–g | 7.75 ± 0.08 ef | 1.3 ± 0.02 d–f | 335 ± 2.9 bc | ||
| DAP | 0.9 ± 0.01 b–d | 2.26 ± 0.05 a–c | 8.8 ± 0.26 bc | 1.54 ± 0.06 a–c | 315 ± 2.9 cd | ||
| PSB (+) | CK | RP | 0.8 ± 0.01 e–h | 1.69 ± 0.05 g–i | 7.62 ± 0.08 ef | 1.13 ± 0.02 fg | 219.1 ± 2.9 f |
| SSP | 0.79 ± 0.02 f–h | 1.41 ± 0.04 ij | 7.34 ± 0.14 fg | 1.06 ± 0.03 g | 225.7 ± 4.1 f | ||
| DAP | 0.8 ± 0.01 d–g | 1.84 ± 0.04 f–h | 7.92 ± 0.1 d–f | 1.36 ± 0.02 c–e | 317.3 ± 7.7 cd | ||
| LAOM | RP | 0.92 ± 0.02 c–e | 2.24 ± 0.09 a–d | 8.72 ± 0.2 bc | 1.37 ± 0.04 c–e | 345.3 ± 6.9 b | |
| SSP | 0.9 ± 0.03 d–f | 2.15 ± 0.09 a–e | 8.33 ± 0.2 c–e | 1.37 ± 0.03 c–e | 345 ± 2.89 b | ||
| DAP | 1.04 ± 0.05 a–c | 2.37 ± 0.07 a | 9.37 ± 0.2 ab | 1.62 ± 0.04 ab | 382.7 ± 12.7 a | ||
| AOM | RP | 1.06 ± 0.02 ab | 2.33 ± 0.04 ab | 9.27 ± 0.09 ab | 1.52 ± 0.02 a–c | 338.3 ± 4.4 bc | |
| SSP | 1.05 ± 0.04 ab | 2.22 ± 0.05 a–e | 8.5 ± 0.15 cd | 1.52 ± 0.07 a–c | 350 ± 2.89 b | ||
| DAP | 1.17 ± 0.03 a | 2.43 ± 0.07 a | 9.53 ± 0.1 a | 1.7 ± 0.03 a | 395 ± 4.94 a |
Disclaimer/Publisher’s Note: The statements, opinions and data contained in all publications are solely those of the individual author(s) and contributor(s) and not of MDPI and/or the editor(s). MDPI and/or the editor(s) disclaim responsibility for any injury to people or property resulting from any ideas, methods, instructions or products referred to in the content. |
© 2023 by the authors. Licensee MDPI, Basel, Switzerland. This article is an open access article distributed under the terms and conditions of the Creative Commons Attribution (CC BY) license (https://creativecommons.org/licenses/by/4.0/).
Share and Cite
Khan, K.S.; Naveed, M.; Qadir, M.F.; Yaseen, M.; Siddiqui, M.H. Bio-Organically Acidified Product-Mediated Improvements in Phosphorus Fertilizer Utilization, Uptake and Yielding of Zea mays in Calcareous Soil. Plants 2023, 12, 3072. https://doi.org/10.3390/plants12173072
Khan KS, Naveed M, Qadir MF, Yaseen M, Siddiqui MH. Bio-Organically Acidified Product-Mediated Improvements in Phosphorus Fertilizer Utilization, Uptake and Yielding of Zea mays in Calcareous Soil. Plants. 2023; 12(17):3072. https://doi.org/10.3390/plants12173072
Chicago/Turabian StyleKhan, Khuram Shehzad, Muhammad Naveed, Muhammad Farhan Qadir, Muhammad Yaseen, and Manzer H. Siddiqui. 2023. "Bio-Organically Acidified Product-Mediated Improvements in Phosphorus Fertilizer Utilization, Uptake and Yielding of Zea mays in Calcareous Soil" Plants 12, no. 17: 3072. https://doi.org/10.3390/plants12173072
APA StyleKhan, K. S., Naveed, M., Qadir, M. F., Yaseen, M., & Siddiqui, M. H. (2023). Bio-Organically Acidified Product-Mediated Improvements in Phosphorus Fertilizer Utilization, Uptake and Yielding of Zea mays in Calcareous Soil. Plants, 12(17), 3072. https://doi.org/10.3390/plants12173072

