Effect of Plant Extracts Combinations on TNF-α, IL-6 and IL-10 Levels in Serum of Rats Exposed to Acute and Chronic Stress
Abstract
1. Introduction
2. Results
2.1. Chromatographic Determination of Individual and Combined Plant Extracts Composition
2.2. Changes in Serum TNF-α in Rats Subjected to Acute and Chronic Stress
2.3. Changes in Serum IL-6 in Rats Subjected to Acute and Chronic Stress
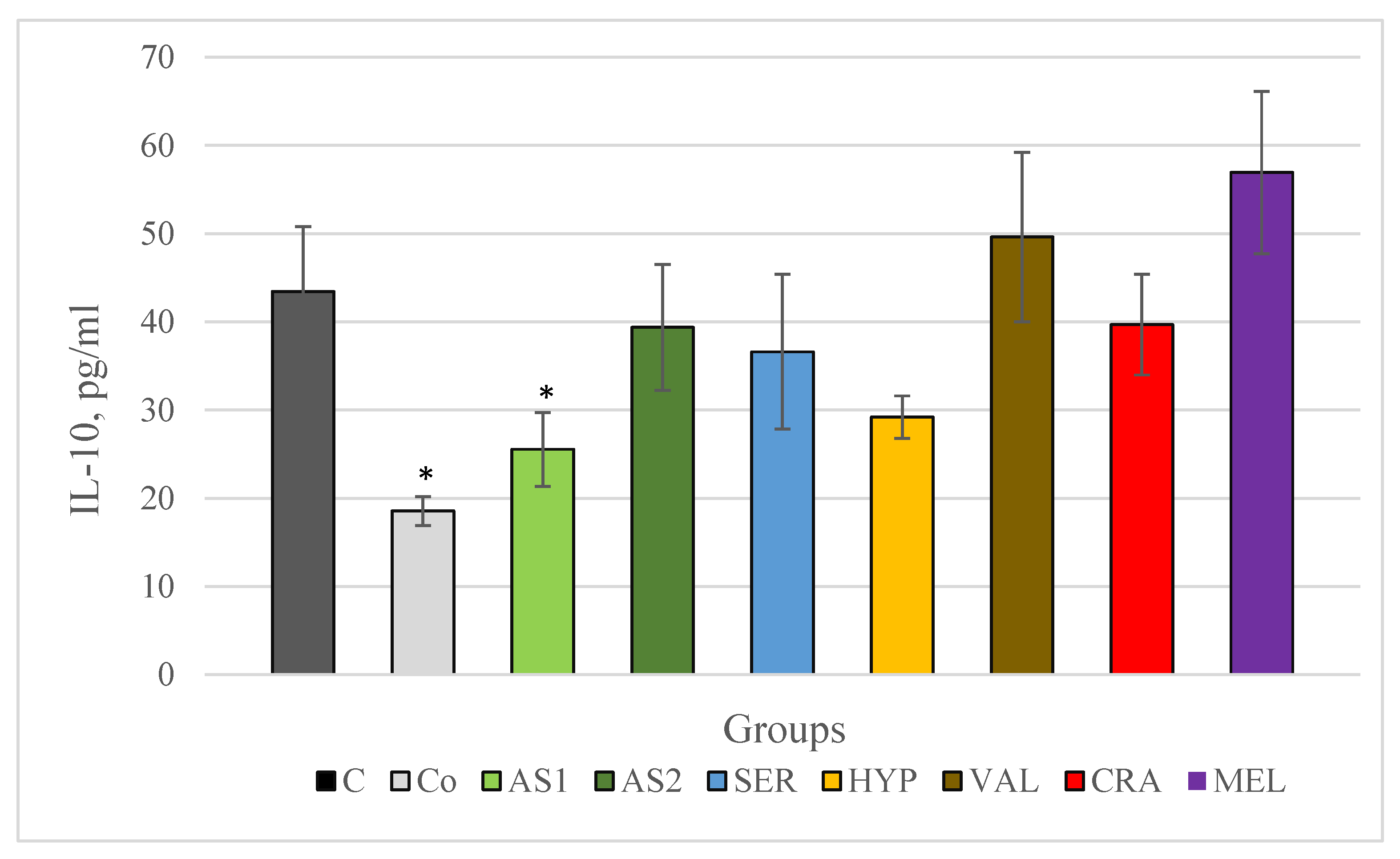
2.4. Changes in Serum IL-10 in Rats Subjected to Acute and Chronic Stress
3. Discussion
3.1. Changes in Serum TNF-α in Rats Subjected to Acute and Chronic Stress
3.2. Changes in Serum IL-6 in Rats Subjected to Acute and Chronic Stress
3.3. Changes in Serum IL-10 in Rats Subjected to Acute and Chronic Stress
3.4. Link between Oxidative Stress, Psychological Disorders and Elevated Levels of Proinflammatory Cytokines
3.5. Benefits of Using Combinations of Plant Extracts
4. Materials and Methods
4.1. Plant Extracts
4.2. Experimental Animals and Treatment
4.3. Acute Cold Stress Model
4.4. Chronic Stress Model
4.5. In Vitro Study of Pro- and Anti-Inflammatory Cytokines
4.6. Statistical Analysis
5. Conclusions
Author Contributions
Funding
Institutional Review Board Statement
Informed Consent Statement
Data Availability Statement
Acknowledgments
Conflicts of Interest
References
- Szabo, S.; Tache, Y.; Somogyi, A. The legacy of Hans Selye and the origins of stress research: A retrospective 75 years after his landmark brief “Letter” to the Editor # of Nature. Stress 2012, 15, 472–478. [Google Scholar]
- Vaváková, M.; Ďuračková, Z.; Trebatická, J. Markers of Oxidative Stress and Neuroprogression in Depression Disorder. Oxid. Med. Cell. Longev. 2015, 2015, 898393. [Google Scholar] [CrossRef]
- De Pablos, R.M. Stress Increases Vulnerability to Inflammation in the Rat Prefrontal Cortex. J. Neurosci. 2006, 26, 5709–5719. [Google Scholar] [CrossRef]
- Scheller, J.; Chalaris, A.; Schmidt-Arras, D.; Rose-John, S. The pro- and anti-inflammatory properties of the cytokine interleukin-6. Biochim. Biophys. Acta Mol. Cell Res. 2011, 1813, 878–888. [Google Scholar] [CrossRef]
- Liu, Y.; Bi, H.; Fan, R.; Li, Y.; Wang, Y.M.; Chen, Y.M.; Chen, J.Y.; Chi, S.M.; Pei, J.M. Effect of compound nutrients on acute immobilization and cold water-immersion stress-induced changes of Th1/Th2 cytokines. Chin. J. Cell. Mol. Immunol. 2012, 28, 601–603. [Google Scholar]
- Grønli, J.; Murison, R.; Fiske, E.; Bjorvatn, B.; Sørensen, E.; Portas, C.M.; Reidun, U. Effects of chronic mild stress on sexual behavior, locomotor activity and consumption of sucrose and saccharine solutions. Physiol. Behav. 2005, 84, 571–577. [Google Scholar] [CrossRef]
- Sakic, B.; Gauldie, J.; Denburg, J.A.; Szechtman, H. Behavioral effects of infection with IL-6 adenovector. Brain Behav. Immun. 2001, 15, 25–42. [Google Scholar] [CrossRef]
- Dowlati, Y.; Herrmann, N.; Swardfager, W.; Liu, H.; Sham, L.; Reim, E.K.; Lanctôt, K.L. A meta-analysis of cytokines in major depression. Biol. Psychiatry 2010, 67, 446–457. [Google Scholar] [CrossRef]
- Bricou, O.; Taïeb, O.; Baubet, T.; Gal, B.; Guillevin, L.; Moro, M.R. Stress and coping strategies in systemic lupus erythematosus: A review. Neuroimmunomodulation 2007, 13, 283–293. [Google Scholar] [CrossRef]
- Himmerich, H.; Fischer, J.; Bauer, K.; Kirkby, K.C.; Sack, U.; Krugel, U. Stress-induced cytokine changes in rats. Eur. Cytokine Netw. 2013, 24, 97–103. [Google Scholar] [CrossRef]
- Asadullah, K.; Sterry, W.; Volk, H.D. Interleukin-10 Therapy—Review of a New Approach. Med. Immunol. 2003, 55, 241–269. [Google Scholar] [CrossRef]
- Dai, W.; Feng, K.; Sun, X.; Xu, L.; Wu, S.; Rahmand, K.; Jia, D.; Han, T. Natural products for the treatment of stress-induced depression: Pharmacology, mechanism and traditional use. J. Ethnopharmacol. 2022, 285, 114692. [Google Scholar] [CrossRef]
- Sharma, A.; Cardoso-Taketa, A.; García, G.; Villarreal, M. A systematic updated review of scientifically tested selected plants used for anxiety disorders. Bot. Targets Ther. 2012, 2, 21. [Google Scholar]
- Dimkov, P. Handbook on Natural Healing and Living 1–3; Fakel Publishing House: Sofia, Bulgaria, 1939. [Google Scholar]
- Katsarova, M.; Dimitrova, S.; Lukanov, L.; Sadakov, F. Determination of phenolic acids, flavonoids, terpenes and ecdysteroids in medicinal plant extracts and food supplements. C. R. Acad. Bulg. Sci. 2017, 70, 947–956. [Google Scholar]
- Katsarova, M.; Dimitrova, S.; Lukanov, L.; Sadakov, F.; Denev, P.; Plotnikov, E.; Kandilarov, I.; Kostadinova, I. Antioxidant activity and nontoxicity of extracts from Valeriana officinalis, Melissa officinalis, Crataegus monogyna, Hypericum perforatum, Serratula coronata and combinations Antistress 1 and Antistress 2. Bulg. Chem. Commun. 2017, 49, 93–98. [Google Scholar]
- Kandilarov, I.; Zlatanova, H.; Georgieva-Kotetarova, M.; Kostadinova, I.; Katsarova, M.; Dimitrova, S.; Lukanov, L.K.; Sadakov, F. Antidepressant Effect and Recognition Memory Improvement of Two Novel Plant Extract Combinations—Antistress I and Anti-stress II on Rats Subjected to a Model of Mild Chronic Stress. Folia Med. 2018, 60, 110–116. [Google Scholar] [CrossRef]
- Guo, J.R.; Li, S.Z.; Fang, G.H.; Zhang, X. Different Duration of Cold Stress Enhances Pro-Inflammatory Cytokines Profile and Alterations of Th1 and Th2 Type Cytokines Secretion in Serum of Wistar Rats. J. Anim. Vet. Adv. 2012, 11, 1538–1545. [Google Scholar]
- Dantzer, R.; Wollman, E.E.; Vitkovic, L.; Yirmiya, R. Cytokines, stress, and depression. Anhedonic and Anxiogenic Effects of Cytokine Exposure. Mol. Psychiatry 1999, 4, 199–234. [Google Scholar]
- Li, B.; Wang, B.; Chen, M.; Li, G.; Fang, M.; Zhai, J. Expression and interaction of TNF-α and VEGF in chronic stress-induced depressive rats. Exp. Ther. Med. 2015, 10, 863–868. [Google Scholar] [CrossRef]
- Roustazade, R.; Radahmadi, M.; Yazdani, Y. Therapeutic effects of saffron extract on different memory types, anxiety, and hippocampal BDNF and TNF-α gene expressions in sub-chronically stressed rats. Nutr. Neurosci. 2022, 25, 192–206. [Google Scholar] [CrossRef]
- Fischer, R.; Maier, O. Review Article Interrelation of Oxidative Stress and Inflammation in Neurodegenerative Disease: Role of TNF. Oxid. Med. Cell. Longev. 2015, 2015, 610813. [Google Scholar] [CrossRef]
- Xia, X.; Zhang, Q.; Liu, R.; Wang, Z.; Tang, N.; Liu, F.; Huang, G.; Jiang, X.; Gui, G.; Wang, L.; et al. Effects of 20-hydroxyecdysone on improving memory deficits in streptozotocin-induced type 1 diabetes mellitus in rat. Eur. J. Pharmacol. 2014, 740, 45–52. [Google Scholar] [CrossRef]
- Bang, S.Y.; Kim, J.H.; Kim, H.Y.; Lee, Y.J.; Park, S.Y.; Lee, S.J.; Kim, Y. Achyranthes japonica exhibits anti-inflammatory effect via NF-κB suppression and HO-1 induction in macrophages. J. Ethnopharmacol. 2012, 144, 109–117. [Google Scholar] [CrossRef]
- Hu, J.; Luo, C.X.; Chu, W.H.; Shan, Y.A.; Qian, Z.M.; Zhu, G.; Yu, B.Y.; Fend, H. 20-Hydroxyecdysone Protects against Oxidative Stress-Induced Neuronal Injury by Scavenging Free Radicals and Modulating NF-κB and JNK Pathways. PLoS ONE 2012, 7, e50764. [Google Scholar] [CrossRef]
- Song, G.; Xia, X.; Zhang, K.; Ma, Y.; Yu, R.; Li, B.; Li, M.; Yu, X.; Zhang, J.; Xue, S. Protective Effect of 20-Hydroxyecdysterone against Lipopolysaccharides- Induced Acute Lung Injury in Mice. J. Pharm. Drug Res. 2019, 2, 109–114. [Google Scholar]
- Sun, Y.; Zhao, D.L.; Liu, Z.X.; Sun, X.H.; Li, Y. Beneficial effect of 20-hydroxyecdysone exerted by modulating antioxidants and inflammatory cytokine levels in collagen-induced arthritis: A model for Rheumatoid arthritis. Mol. Med. Rep. 2017, 16, 6162–6169. [Google Scholar] [CrossRef]
- Yuan, C.-S.; Mehendale, S.; Xiao, Y.; Aung, H.H.; Xie, J.-T.; Ang-Lee, M.K. The gamma-aminobutyric acidergic effects of valerian and valerenic acid on rat brainstem neuronal activity. Anesth. Analg. 2004, 98, 353–358. [Google Scholar] [CrossRef]
- Nam, S.M.; Choi, J.H.; Yoo, D.Y.; Kim, W.; Jung, H.Y.; Kim, J.W.; Kang, S.-Y.; Park, J.; Kim, D.W.; Kim, J.W.; et al. Valeriana officinalis extract and its main component, valerenic acid, ameliorate d-galactose-induced reductions in memory, cell proliferation, and neuroblast differentiation by reducing corticosterone levels and lipid peroxidation. Exp. Gerontol. 2013, 48, 1369–1377. [Google Scholar] [CrossRef]
- Rodríguez-Cruz, A.; Romo-Mancillas, A.; Mendiola-Precoma, J.; Escobar-Cabrera, J.E.; García-Alcocer, G.; Berumen, L.C. Effect of valerenic acid on neuroinflammation in a MPTP-induced mouse model of Parkinson’s disease. IBRO Rep. 2020, 8, 28–35. [Google Scholar] [CrossRef]
- Müller, L.G.; Borsoi, M.; Stolz, E.D.; Herzfeldt, V.; Viana, A.F.; Ravazzolo, A.P.; Rates, S.M. Diene Valepotriates from Valeriana glechomifolia Prevent Lipopolysaccharide-Induced Sickness and Depressive-Like Behavior in Mice. Evid. Based Complement. Alternat. Med. 2015, 2015, 145914. [Google Scholar] [CrossRef]
- Hatano, T.; Sameshima, Y.; Kawabata, M.; Yamada, S.; Shinozuka, K.; Nakabayashi, T.; Mizuno, H. St. John’s Wort Promotes Adipocyte Differentiation and Modulates NF-kappa B Activation in 3T3-L1 Cells. Biol. Pharm. Bull. 2014, 37, 1132–1138. [Google Scholar] [CrossRef][Green Version]
- Zhang, Y.; Wang, M.; Dong, H.; Yu, X.; Zhang, J. Anti-hypoglycemic and hepatocyte-protective effects of hyperoside from Zanthoxylum bungeanum leaves in mice with high-carbohydrate/high-fat diet and alloxan-induced diabetes. Int. J. Mol. Med. 2018, 41, 77–86. [Google Scholar] [CrossRef] [PubMed]
- Chen, X.; Famurewa, A.C.; Tang, J.; Olatunde, O.O.; Olatunji, O.J. Hyperoside attenuates neuroinflammation, cognitive impairment and oxidative stress via suppressing TNF-α/NF-κB/caspase-3 signaling in type 2 diabetes rats. Nutr. Neurosci. 2022, 25, 1774–1784. [Google Scholar] [CrossRef] [PubMed]
- Awad, M.M.; Khorshid, O.A.; Attallah, M.I.; Rashed, L.A. Is Hypericum perforatum extract comparable to Milnacipran, Agomelatine in rats with Subclinical Hypothyroidism? J. Adv. Pharm. Educ. Res. 2020, 10, 194–213. [Google Scholar]
- Yildirim, N.C.; Yurekli, M. The effect of adrenomedullin and cold stress on interleukin-6 levels in some rat tissues. Clin. Exp. Immunol. 2010, 161, 171–175. [Google Scholar] [CrossRef]
- Jang, H.M.; Jang, S.-E.; Han, M.J.; Kim, D.-H. Anxiolytic-like effect of Bifidobacterium adolescentis IM38 in mice with or without immobilisation stress. Benef. Microbes 2017, 9, 123–132. [Google Scholar] [CrossRef]
- Punegov, V.V.; Sychov, R.L.; Zainullin, V.G.; Fedorov, V.N.; Punegova, N.V. Extraction of ecdysteron-80 from Serratula coronata L. and assessment of its pharmacological action. Part I. Adaptogenic, gastroprotective, thermoprotective, and antihypoxic activity. Pharm. Chem. J. 2008, 42, 446–451. [Google Scholar] [CrossRef]
- Jacobo-Herrera, N.J.; Vartianinen, N.; Bremner, P.; Gibbons, S.; Koistinaho, J.; Heinrich, M. NF-κB Modulators from Valeriana officinalis. Phyther. Res. 2006, 20, 917–919. [Google Scholar] [CrossRef]
- Abtahi Froushani, S.M.; Esmaili Gouvarchin Galee, H.; Khamisabad, M.; Lotfallahzade, B. Immunomudulatory effects of hydroalcoholic extract of Hypericum perforatum. Avicenna J. Phytomed. 2015, 5, 62–68. [Google Scholar]
- Huang, N.; Singh, N.; Yoon, K.; Loiacono, C.M.; Kohut, M.L.; Birt, D.F. The Immuno-Regulatory Impact of Orally-Administered Hypericum perforatum Extract on Balb/C Mice Inoculated with H1n1 Influenza A Virus. PLoS ONE 2013, 8, e76491. [Google Scholar] [CrossRef]
- Kraus, B.; Wolff, H.; Elstner, E.F.; Heilmann, J. Hyperforin is a modulator of inducible nitric oxide synthase and phagocytosis in microglia and macrophages. Naunyn Schmiedebergs Arch. Pharmacol. 2010, 381, 541–553. [Google Scholar] [CrossRef] [PubMed]
- Mutlu, O.; Gumuslu, E.; Ulak, G.; Celikyurt, I.K.; Kokturk, S.; Kir, H.M.; Akar, F.; Erden, F. Effects of fluoxetine, tianeptine and olanzapine on unpredictable chronic mild stress-induced depression-like behavior in mice. Life Sci. 2012, 91, 1252–1262. [Google Scholar] [CrossRef] [PubMed]
- Sadeghi, A.; Reza, A.; Hossein, B.; Amir, G.; Doustimotlagh, H. The effects of rosmarinic acid on oxidative stress parameters and inflammatory cytokines in lipopolysaccharide-induced peripheral blood mononuclear cells. Mol. Biol. Rep. 2020, 47, 3557–3566. [Google Scholar] [CrossRef]
- Arowoogun, J.; Akanni, O.O.; Adefisan, A.O.; Owumi, S.E.; Tijani, A.S.; Adaramoye, O.A. Rutin ameliorates copper sulfate-induced brain damage via antioxidative and anti-inflammatory activities in rats. J. Biochem. Mol. Toxicol. 2021, 35, e22623. [Google Scholar] [CrossRef] [PubMed]
- Ganeshpurkar, A.; Saluja, A.K. The Pharmacological Potential of Rutin. Saudi Pharm. J. 2017, 25, 149–164. [Google Scholar] [CrossRef]
- Hritcu, L.; Ionita, R.; Postu, P.A.; Gupta, G.K.; Turkez, H.; Lima, T.C.; Carvalho, C.U.S.; de Sousa, D.P. Antidepressant Flavonoids and Their Relationship with Oxidative Stress. Oxid. Med. Cell. Longev. 2017, 2017, 5762172. [Google Scholar] [CrossRef]
- Gong, Y.; Yang, Y.; Chen, X.; Yang, M.; Huang, D.; Yang, R.; Zhou, L.; Li, C.; Xiong, Q.; Xiong, Z. Hyperoside protects against chronic mild stress-induced learning and memory deficits. Biomed. Pharmacother. 2017, 91, 831–840. [Google Scholar] [CrossRef]
- Ko, Y.H.; Kim, S.K.; Lee, S.Y.; Jang, C.G. Flavonoids as therapeutic candidates for emotional disorders such as anxiety and depression. Arch. Pharm. Res. 2020, 43, 1128–1143. [Google Scholar] [CrossRef]
- Grundmann, O.; Lv, Y.; Kelber, O.; Butterweck, V. Mechanism of St. John’s wort extract (STW3-VI) during chronic restraint stress is mediated by the interrelationship of the immune, oxidative defense, and neuroendocrine system. Neuropharmacology 2010, 58, 767–773. [Google Scholar] [CrossRef]
- Mahmoudi, M.; Rastin, M.; Arababadi, M.K. Enhancing the efficacy of Hypericum perforatum in the treatment of an experimental model of multiple sclerosis using gold nanoparticles: An in vivo study. Avicenna J. Phytomed. 2022, 12, 325–336. [Google Scholar]
- Zhai, X.; Chen, Y.; Han, X.; Zhu, Y.; Li, X.; Zhang, Y.; Lu, Y. The protective effect of hypericin on postpartum depression rat model by inhibiting the NLRP3 inflammasome activation and regulating glucocorticoid metabolism. Int. Immunopharmacol. 2022, 105, 108560. [Google Scholar] [CrossRef] [PubMed]
- Cheng, Y.; Jop, R.S.; Beurel, E. A pre-conditioning stress accelerates increases in mouse plasma inflammatory cytokines induced by stress. BMC Neurosci. 2015, 16, 31. [Google Scholar] [CrossRef]
- Kalinichenko, L.S.; Koplik, E.V.; Pertsov, S.S. Cytokine profile of peripheral blood in rats with various behavioral characteristics during acute emotional stress. Bull. Exp. Biol. Med. 2014, 156, 441–444. [Google Scholar] [CrossRef] [PubMed]
- Kalb, A.; von Haefen, C.; Sifringer, M.; Tegethoff, A.; Paeschke, N.; Kostova, M. Acetylcholinesterase Inhibitors Reduce Neuroinflammation and -Degeneration in the Cortex and Hippocampus of a Surgery Stress Rat Model. PLoS ONE 2013, 8, 62679. [Google Scholar] [CrossRef]
- Pu, X.; Liang, J.; Shang, R.; Zhou, L.; Wang, X.; Li, Y. Therapeutic efficacy of Hypericum perforatum L. extract for mice infected with an influenza A virus. Can. J. Physiol. Pharmacol. 2012, 90, 123–130. [Google Scholar] [CrossRef] [PubMed]
- Chkhikvishvili, I.; Sanikidze, T.; Gogia, N.; Mchedlishvili, T.; Enukidze, M.; Machavariani, M.; Vinokur, Y.; Rodov, V. Rosmarinic Acid-Rich Extracts of Summer Savory (Satureja hortensis L.) Protect Jurkat T Cells against Oxidative Stress. Oxid. Med. Cell. Longev. 2013, 2013, 456253. [Google Scholar] [CrossRef]
- Freitas, D.A.; Rocha-Vieira, E.; Soares, B.A.; Nonato, L.F.; Fonseca, S.R.; Martins, J.B.; Mendonça, V.A.; Lacerda, A.C.; Massensini, A.R.; Poortamns, J.R.; et al. High intensity interval training modulates hippocampal oxidative stress, BDNF and inflammatory mediators in rats. Physiol. Behav. 2018, 184, 6–11. [Google Scholar] [CrossRef]
- Mesquita, A.R.; Correia-Neves, M.; Roque, S.; Castro, A.G.; Vieira, P.; Pedrosa, J.; Palha, J.A.; Sousa, N. IL-10 modulates depressive-like behavior. J. Psychiatr. Res. 2008, 43, 89–97. [Google Scholar] [CrossRef]
- Hu, D.; Wan, L.; Chen, M.; Caudle, Y.; LeSage, G.; Li, Q.; Yin, D. Essential role of IL-10/STAT3 in chronic stress-induced immune suppression. Brain Behav. Immun. 2014, 36, 118–127. [Google Scholar] [CrossRef]
- Manikowska, K.; Mikolajczyk, M.; Mikolajczak, P.L.; Bobkiewicz-Kozlowska, T. The influence of mianserin on TNF-alpha, IL-6 and IL-10 serum levels in rats under chronic mild stress. Pharmacol. Rep. 2014, 66, 22–27. [Google Scholar] [CrossRef]
- Abramova, A.Y.; Pertsov, S.S.; Alekseeva, I.V.; Nikenina, E.V.; Kozlov, A.Y.; Chekhlov, V.V.; Chukhnina, M.E. Blood Cytokine Concentration in Rats during Antigenic Treatment after a Single Long-Term Stress Exposure. Bull. Exp. Biol. Med. 2020, 168, 713–717. [Google Scholar] [CrossRef]
- Katafuchi, T. Involvement of Brain Cytokines in Stress-induced Immunosuppression. Cytokines Brain 2008, 6, 391–401. [Google Scholar]
- Escobar, J.; Pereda, J.; Arduini, A.; Sandoval, J.; Sabater, L.; Aparisi, L.; López-Rodas, G.; Sastre, J. Cross-talk between oxidative stress and pro-inflammatory cytokines in acute pancreatitis: A key role for protein phosphatases. Curr. Pharm. Des. 2009, 15, 3027–3042. [Google Scholar] [CrossRef] [PubMed]
- Michel, T.M.; Pülschen, D.; Thome, J. The role of oxidative stress in depressive disorders. Curr. Pharm. Des. 2012, 18, 5890–5899. [Google Scholar] [CrossRef] [PubMed]
- Leonard, B.; Maes, M. Mechanistic explanations how cell-mediated immune activation, inflammation and oxidative and nitrosative stress pathways and their sequels and concomitants play a role in the pathophysiology of unipolar depression. Neurosci. Biobehav. Rev. 2012, 36, 764–785. [Google Scholar]
- Williamson, E.M. Synergy and other interactions in phytomedicines. Phytomedicine 2001, 8, 401–409. [Google Scholar] [CrossRef]
- Müller, D.; Pfeil, T.; von den Driesch, V. Treating depression comorbid with anxiety—Results of an open, practice-oriented study with st john’s wort WS® 5572 and valerian extract in high doses. Phytomedicine 2003, 10, 25–30. [Google Scholar] [CrossRef]
- Tabach, R.; Mattei, R.; Luiz, E.; Carlini, D.A. Artigo Pharmacological evaluation of a phytotherapeutic product—CPV (dry extract of Crataegus oxyacantha L., Passiflora incarnata L. and Valeriana officinalis L.) in laboratory animals. Rev. Bras. Farmacogn. Braz. J. Pharmacogn. 2009, 19, 255–260. [Google Scholar] [CrossRef]
- Okpanyi, S.N.; Kelber, O.; Heba, A.A.; Kolb, C. Valerian, Melissa, Passion flower and their combination STW 32 in experimental models of anxiety. In Proceedings of the 81st Annual Congress of the German Society for Experimental and Clinical Pharmacology and Toxicology, Kiel, Germany, 10–12 March 2015. [Google Scholar]
- López-López, A.L.; Jaime, H.B.; Villanueva, M.D.C.E.; Padilla, M.B.; Palacios, G.V.; Aguilar, F.J.A. Chronic unpredictable mild stress generates oxidative stress and systemic inflammation in rats. Physiol. Behav. 2016, 161, 15–23. [Google Scholar] [CrossRef]







| Extracts | V. officinalis | M. officinalis | C. monogyna | S. coronata | H. perforatum | Antistress I | Antistress II | |
|---|---|---|---|---|---|---|---|---|
| Analyte, µg/g | ||||||||
| Caffeic acid | 53 ± 5 | 985 ± 28 | trace | nd | nd | 392 ± 20 | nd | |
| Rutin | 45 ± 4 | 232 ± 6 | 1623 ± 106 | nd | 40,832 ± 299 | 549 ± 7 | 21,582 ± 119 | |
| Vitexin | nd | 245 ± 8 | 764 ± 31 | trace | nd | 323 ± 7 | nd | |
| Hyperoside | nd | 524 ± 19 | 893 ± 39 | 615 ± 29 | 15,538 ± 251 | 385 ± 6 | 8161 ± 199 | |
| p-Coumaric acid | 70 ± 4 | 48 ± 3 | trace | nd | trace | 32 ± 1 | nd | |
| Ferulic acid | 35 ± 2 | 198 ± 5 | trace | nd | trace | 85 ± 1 | nd | |
| Quercetin | nd | trace | 6100 ± 212 | 5320 ± 105 | 5985 ± 111 | 2250 ± 71 | 3366 ± 301 | |
| Apigenin | nd | trace | trace | 814 ± 29 | 1665 ± 29 | 81 ± 2 | 366 ± 8 | |
| Rosmarinic acid | 1020 ± 41 | 58,320 ± 334 | 3250 ± 81 | nd | nd | 21,021 ± 93 | trace | |
| 20-hydroxyecdyzone | nd | nd | nd | 18,928 ± 295 | nd | 1235 ± 79 | 1498 ± 88 | |
| Hypericin | nd | nd | nd | nd | 905 ± 41 | nd | 378 ± 18 | |
| Bornyl acetate | 69 ± 3 | nd | nd | nd | nd | trace | trace | |
| Valerenic acid | 825 ± 24 | nd | nd | nd | nd | 258 ± 11 | 395 ± 19 | |
| Group | Legend | Description | Stress |
|---|---|---|---|
| 1 | C | Distilled water 10 mL/kg body weight | Yes |
| 2 | C0 | Distilled water 10 mL/kg body weight | No |
| 3 | AS1 | Antistress I 500 mg/kg body weight | Yes |
| 4 | AS2 | Antistress II 500 mg/kg body weight | Yes |
| 5 | SER | Serratula coronata 500 mg/kg body weight | Yes |
| 6 | HYP | Hypericum perforatum 500 mg/kg body weight | Yes |
| 7 | VAL | Valeriana officinalis 500 mg/kg body weight | Yes |
| 8 | CRA | Crataegus monogyna 500 mg/kg body weight | Yes |
| 9 | MEL | Melissa officinalis 500 mg/kg body weight | Yes |
Disclaimer/Publisher’s Note: The statements, opinions and data contained in all publications are solely those of the individual author(s) and contributor(s) and not of MDPI and/or the editor(s). MDPI and/or the editor(s) disclaim responsibility for any injury to people or property resulting from any ideas, methods, instructions or products referred to in the content. |
© 2023 by the authors. Licensee MDPI, Basel, Switzerland. This article is an open access article distributed under the terms and conditions of the Creative Commons Attribution (CC BY) license (https://creativecommons.org/licenses/by/4.0/).
Share and Cite
Kandilarov, I.; Gardjeva, P.; Georgieva-Kotetarova, M.; Zlatanova, H.; Vilmosh, N.; Kostadinova, I.; Katsarova, M.; Atliev, K.; Dimitrova, S. Effect of Plant Extracts Combinations on TNF-α, IL-6 and IL-10 Levels in Serum of Rats Exposed to Acute and Chronic Stress. Plants 2023, 12, 3049. https://doi.org/10.3390/plants12173049
Kandilarov I, Gardjeva P, Georgieva-Kotetarova M, Zlatanova H, Vilmosh N, Kostadinova I, Katsarova M, Atliev K, Dimitrova S. Effect of Plant Extracts Combinations on TNF-α, IL-6 and IL-10 Levels in Serum of Rats Exposed to Acute and Chronic Stress. Plants. 2023; 12(17):3049. https://doi.org/10.3390/plants12173049
Chicago/Turabian StyleKandilarov, Ilin, Petya Gardjeva, Maria Georgieva-Kotetarova, Hristina Zlatanova, Natalia Vilmosh, Ivanka Kostadinova, Mariana Katsarova, Kiril Atliev, and Stela Dimitrova. 2023. "Effect of Plant Extracts Combinations on TNF-α, IL-6 and IL-10 Levels in Serum of Rats Exposed to Acute and Chronic Stress" Plants 12, no. 17: 3049. https://doi.org/10.3390/plants12173049
APA StyleKandilarov, I., Gardjeva, P., Georgieva-Kotetarova, M., Zlatanova, H., Vilmosh, N., Kostadinova, I., Katsarova, M., Atliev, K., & Dimitrova, S. (2023). Effect of Plant Extracts Combinations on TNF-α, IL-6 and IL-10 Levels in Serum of Rats Exposed to Acute and Chronic Stress. Plants, 12(17), 3049. https://doi.org/10.3390/plants12173049

