Sand Burial, Rather than Salinity or Drought, Is the Main Stress That Limits the Germination Ability of Sophora alopecuroides L. Seed in the Desert Steppe of Yanchi, Ningxia, China
Abstract
1. Introduction
2. Results
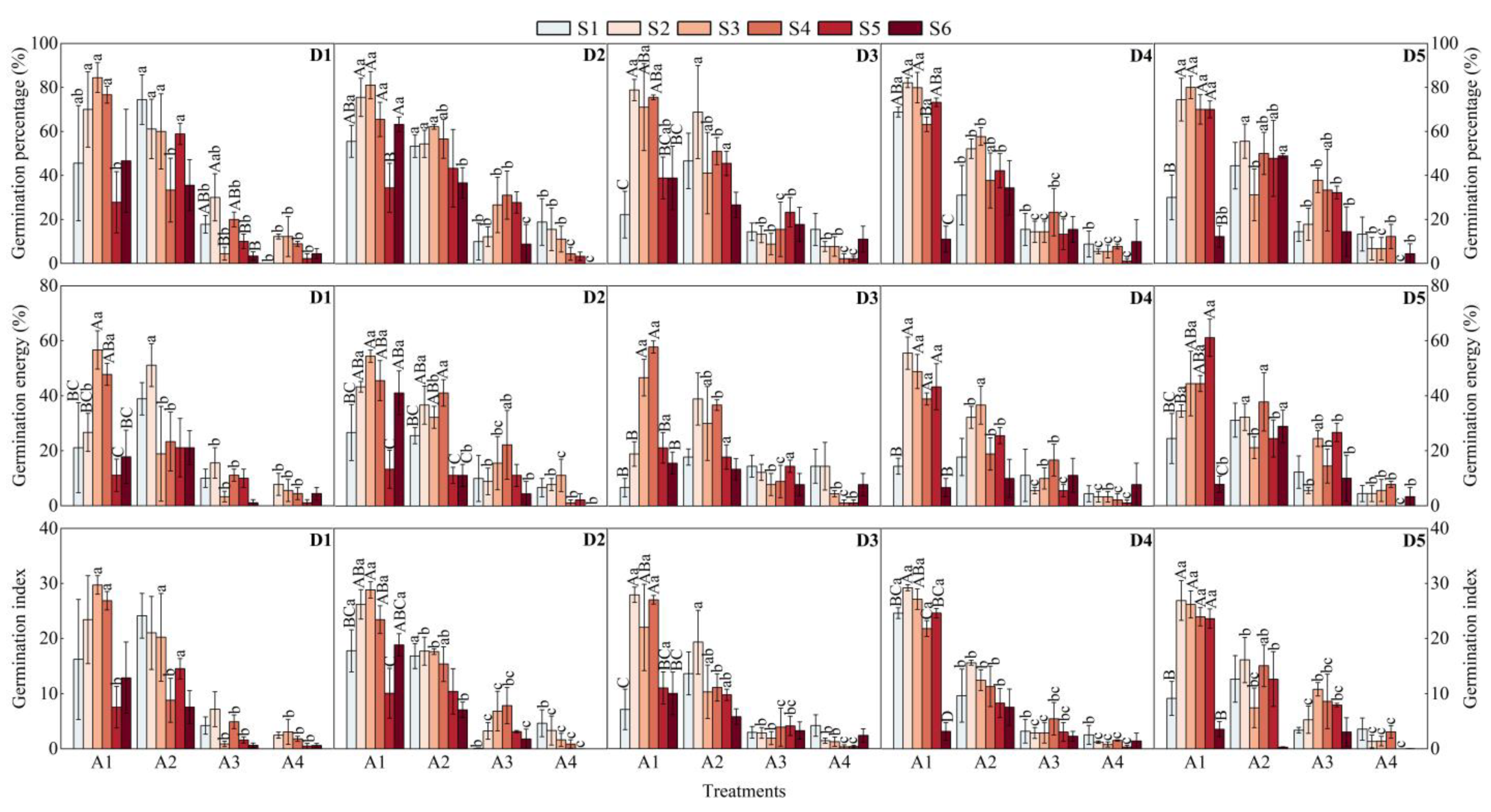
2.1. Effects of Sand Burial, Salinity, and Drought Stress on Germination Percentage, Germination Energy, and Germination Index of S. alopecuroides Seeds
2.2. Comparison of Influence Intensity among Different Stressors
2.3. Comprehensive Evaluation of Germination Ability Based on Principal Component Analysis
3. Discussion
4. Materials and Methods
4.1. Study Area
4.2. Experimental Design
4.3. Data Collection and Analysis
5. Conclusions
Author Contributions
Funding
Data Availability Statement
Conflicts of Interest
References
- Grime, J.P. Evidence for the existence of three primary strategies in plants and its relevance to ecological and evolutionary theory. Am. Nat. 1977, 111, 1169–1194. [Google Scholar] [CrossRef]
- Dai, A.G. Drought under global warming: A review. WIREs Clim. Chang. 2011, 2, 45–65. [Google Scholar] [CrossRef]
- Zandalinas, S.I.; Sengupta, S.; Fritschi, F.B.; Azad, R.K.; Nechushtai, R.; Mittler, R. The impact of multifactorial stress combination on plant growth and survival. New Phytol. 2021, 230, 1034–1048. [Google Scholar] [CrossRef] [PubMed]
- Zhu, Y.J.; Dong, M.; Huang, Z.Y. Response of seed germination and seedling growth to sand burial of two dominant perennial grasses in Mu-Us Sandy Grassland, semiarid China. Rangel. Ecol. Manag. 2009, 62, 337–344. [Google Scholar] [CrossRef]
- Lu, Y.T.; Liu, H.L.; Chen, Y.F.; Zhang, L.; Kudusi, K.; Song, J.H. Effects of drought and salt stress on seed germination of ephemeral plants in desert of northwest China. Front. Ecol. Evol. 2022, 10, 1026095. [Google Scholar] [CrossRef]
- Gorai, M.; Neffati, M. Germination responses of Reaumuria vermiculata to salinity and temperature. Ann. Appl. Biol. 2007, 151, 53–59. [Google Scholar] [CrossRef]
- Fang, S.M.; Hou, X.; Liang, X.L. Response mechanisms of plants under saline-alkali stress. Front. Plant Sci. 2021, 12, 667458. [Google Scholar] [CrossRef]
- Li, Q.Y.; Zhao, W.Z.; Fang, H.Y. Effects of sand burial depth and seed mass on seedling emergence and growth of Nitraria sphaerocarpa. Plant Ecol. 2006, 185, 191–198. [Google Scholar] [CrossRef]
- Daliakopoulos, I.N.; Tsanis, I.K.; Koutroulis, A.; Kourgialas, N.N.; Varouchakis, A.E.; Karatzas, G.P.; Ritsema, C.J. The threat of soil salinity: A European scale review. Sci. Total Environ. 2016, 573, 727–739. [Google Scholar] [CrossRef]
- Sun, J.K.; He, L.; Li, T. Response of seedling growth and physiology of Sorghum bicolor (L.) Moench to saline-alkali stress. PLoS ONE 2019, 14, e0220340. [Google Scholar] [CrossRef]
- Zhang, K.Y.; Chang, L.; Li, G.H.; Li, Y.F. Advances and future research in ecological stoichiometry under saline-alkali stress. Environ. Sci. Pollut. Res. 2023, 30, 5475–5486. [Google Scholar] [CrossRef]
- Parihar, P.; Singh, S.; Singh, R.; Singh, V.P.; Prasad, S.M. Effect of salinity stress on plants and its tolerance strategies: A review. Environ. Sci. Pollut. Res. 2015, 22, 4056–4075. [Google Scholar] [CrossRef]
- Liu, J.; Guo, W.Q.; Shi, D.C. Seed germination, seedling survival, and physiological response of sunflowers under saline and alkaline conditions. Photosynthetica 2010, 48, 278–286. [Google Scholar] [CrossRef]
- Lu, X.; Ma, L.; Zhang, C.C.; Yan, H.K.; Bao, J.Y.; Gong, M.S.; Wang, W.H.; Li, S.; Ma, S.Y.; Chen, B.H. Grapevine (Vitis vinifera) responses to salt stress and alkali stress: Transcriptional and metabolic profiling. BMC Plant Biol. 2022, 22, 528. [Google Scholar] [CrossRef]
- Al-Taisan, W.A. Comparative effects of drought and salt stress on germination and seedling growth of Pennisetum divisum (Gmel.) Henr. Am. J. Appl. Sci. 2010, 7, 640–646. [Google Scholar] [CrossRef][Green Version]
- Zhang, H.N.; Sonnewald, U. Differences and commonalities of plant responses to single and combined stresses. Plant J. 2017, 90, 839–855. [Google Scholar] [CrossRef]
- Zhu, J.J.; Kang, H.Z.; Tan, H.; Xu, M.L. Effects of drought stresses induced by polyethylene glycol on germination of Pinus sylvestris var. mongolica seeds from natural and plantation forests on sandy land. J. For. Res. 2006, 11, 319–328. [Google Scholar] [CrossRef]
- Li, H.Y.; Li, X.S.; Zhang, D.Y.; Liu, H.L.; Guan, K.Y. Effects of drought stress on the seed germination and early seedling growth of the endemic desert plant Eremosparton songoricum (Fabaceae). EXCLI J. 2013, 12, 89–101. Available online: https://pubmed.ncbi.nlm.nih.gov/26417219/ (accessed on 4 February 2013).
- Wang, R.Z.; Deng, X.X.; Gao, Q.X.; Wu, X.L.; Han, L.; Gao, X.J.; Zhao, S.P.; Chen, W.B.; Zhou, R.R.; Li, Z.Y.; et al. Sophora alopecuroides L.: An ethnopharmacological, phytochemical, and pharmacological review. J. Ethnopharmacol. 2020, 248, 112172. [Google Scholar] [CrossRef]
- Zhao, L.F.; Deng, Z.S.; Yang, W.Q.; Cao, Y.; Wang, E.T.; Wei, G.H. Diverse rhizobia associated with Sophora alopecuroides grown in different regions of Loess Plateau in China. Syst. Appl. Microbiol. 2010, 33, 468–477. [Google Scholar] [CrossRef]
- Li, J.; Yin, L.Y.; Jongsma, M.A.; Wang, C.Y. Effects of light, hydropriming and abiotic stress on seed germination, and shoot and root growth of pyrethrum (Tanacetum cinerariifolium). Ind. Crops Prod. 2011, 34, 1543–1549. [Google Scholar] [CrossRef]
- Wang, G.H.; Yu, K.L.; Gou, Q.Q. Effects of sand burial disturbance on establishment of three desert shrub species in the margin of oasis in northwestern China. Ecol. Res. 2019, 34, 127–135. [Google Scholar] [CrossRef]
- Li, T.; Sun, J.K.; Yang, H.J.; Liu, J.T.; Xia, J.B.; Shao, P.S. Effects of shell sand burial on seedling emergence, growth and stoichiometry of Periploca sepium Bunge. BMC Plant Biol. 2020, 20, 112. [Google Scholar] [CrossRef] [PubMed]
- Tao, Y.Y.; Shang, T.C.; Yan, J.J.; Hu, Y.X.; Zhao, Y.; Liu, Y. Effects of sand burial depth on Xanthium spinosum seed germination and seedling growth. BMC Plant Biol. 2022, 22, 43. [Google Scholar] [CrossRef] [PubMed]
- Liu, B.; Liu, Z.M.; Lü, X.T.; Maestre, F.T.; Wang, L.X. Sand burial compensates for the negative effects of erosion on the dune-building shrub Artemisia wudanica. Plant Soil 2014, 374, 263–273. [Google Scholar] [CrossRef][Green Version]
- Blubaugh, C.K.; Kaplan, I. Invertebrate seed predators reduce weed emergence following seed rain. Weed Sci. 2016, 64, 80–86. [Google Scholar] [CrossRef]
- Nosratti, I.; Amiri, S.; Bagheri, A.; Chauhan, B.S. Environmental factors affecting seed germination and seedling emergence of Foxtail Sophora (Sophora alopecuroides). Weed Sci. 2018, 66, 71–77. [Google Scholar] [CrossRef]
- Yan, F.; Zhu, Y.C.; Zhao, Y.N.; Wang, Y.; Li, J.W.; Wang, Q.Y.; Liu, Y.J. De novo transcriptome sequencing and analysis of salt-, alkali-, and drought- responsive genes in Sophora alopecuroides. BMC Plant Biol. 2020, 21, 423. [Google Scholar] [CrossRef]
- Li, R.S.; Gao, Q.Q.; Mao, L.P.; Liu, W.Y.; Sun, L.L.; Zhang, P.; Liu, F.; Jiang, X.W.; Xu, J. Molecular mechanism of saline-alkali stress tolerance in the green manure crop Sophora alopecuroides. Environ. Exp. Bot. 2023, 281, 153916. [Google Scholar] [CrossRef]
- Pérez-Sánchez, R.M.; Jurado, E.; Chapa-Vargas, L.; Flores, J. Seed germination of Southern Chihuahuan Desert plants in response to elevated temperatures. J. Arid. Environ. 2011, 75, 978–980. [Google Scholar] [CrossRef]
- Xu, Z.Z.; Zhou, G.S. Combined effects of water stress and high temperature on photosynthesis, nitrogen metabolism and lipid peroxidation of a perennial grass Leymus chinensis. Planta 2006, 224, 1080–1090. [Google Scholar] [CrossRef]
- Xu, Z.Z.; Zhou, G.S. Effects of water stress and high nocturnal temperature on photosynthesis and nitrogen level of a perennial grass Leymus chinensis. Plant Soil 2005, 269, 131–139. [Google Scholar] [CrossRef]
- Rillig, M.C.; Ryo, M.; Lehmann, A.; Aguilar-Trigueros, C.A.; Buchert, S.; Wulf, A.; Iwasaki, A.; Roy, J.; Yang, G.W. The role of multiple global change factors in driving soil functions and microbial biodiversity. Science 2019, 366, 886–890. [Google Scholar] [CrossRef]
- Zandalinas, S.I.; Fritschi, F.B.; Mittler, R. Global warming, climate change, and environmental pollution: Recipe for a multifactorial stress combination disaster. Trends Plant Sci. 2021, 26, 588–599. [Google Scholar] [CrossRef]
- Rivero, R.M.; Mittler, R.; Blumwald, E.; Zandalinas, S.I. Developing climate-resilient crops: Improving plant tolerance to stress combination. Plant J. 2022, 109, 373–389. [Google Scholar] [CrossRef]
- Suzuki, N.; Rivero, R.M.; Shulaev, V.; Blumwald, E.; Mittler, R. Abiotic and biotic stress combinations. New Phytol. 2014, 203, 32–43. [Google Scholar] [CrossRef]
- Gorai, M.; Aloui, W.E.; Yang, X.J.; Neffati, M. Toward understanding the ecological role of mucilage in seed germination of a desert shrub Henophyton deserti: Interactive effects of temperature, salinity and osmotic stress. Plant Soil 2014, 374, 727–738. [Google Scholar] [CrossRef]
- Zandalinas, S.I.; Mittler, R. Plant responses to multifactorial stress combination. New Phytol. 2022, 234, 1161–1167. [Google Scholar] [CrossRef]
- Liu, J.K.; Feng, X.; Zhang, K.B.; Liu, S.Q.; Liu, X.Y. Responses of spatial distribution pattern of the dominant population Artemisia ordosica to enclosure restoration in desert steppe. Chin. J. Appl. Ecol. 2022, 33, 720–726. [Google Scholar] [CrossRef]
- Zhang, R.X.; Wang, R.Z.; Zhao, S.P.; Chen, D.; Hao, F.S.; Wang, B.; Zhang, J.; Ma, Y.Y.; Chen, X.Y.; Gao, X.J.; et al. Extraction, separation, antitumor effect, and mechanism of alkaloids in Sophora alopecuroides: A review. Separations 2022, 9, 380. [Google Scholar] [CrossRef]
- Feng, Y.; Wang, L. Effects of different water temperature soaking and concentrated sulfuric acid treatment on seed germination of Albizia julibrissin. Anhui Agric. Sci. Bull. 2017, 23, 43–45. [Google Scholar] [CrossRef]
- Yang, C.J.; Li, G.Y. Effect of NaCl stress on germination of birch seeds. J. Chem. Pharm. Res. 2014, 6, 1980–1986. Available online: https://www.jocpr.com/articles/effect-of-nacl-stress-on-germination-of-birch-seeds.pdf (accessed on 1 June 2014).



| Factors | df | Germination Percentage (%) | Germination Energy (%) | Germination Index |
|---|---|---|---|---|
| Sand burial (A) | 3 | 217.574 *** | 149.776 *** | 241.899 *** |
| Salinity (S) | 5 | 11.947 *** | 16.147 *** | 21.077 *** |
| Drought (D) | 4 | 0.833 NS | 1.716 NS | 1.192 NS |
| A × S | 15 | 4.871 *** | 7.111 *** | 7.205 *** |
| A × D | 12 | 1.054 NS | 1.239 NS | 2 * |
| S × D | 20 | 0.806 NS | 1.843 * | 1.44 NS |
| A × S × D | 60 | 1.608 ** | 2.209 *** | 1.404 * |
| Index | Mode | R2 | ANOVA Text | β1 | β2 | β3 |
|---|---|---|---|---|---|---|
| Germination percentage (%) | Y = 86.589 − 18.459X1 − 2.089X2 | 0.558 | p < 0.001 | −0.736 | −0.127 | / |
| Germination energy (%) | Y = 48.228 − 10.07X1 − 1.144X2 | 0.421 | p < 0.001 | −0.639 | −0.111 | / |
| Germination index | Y = 29.023 − 6.312X1 − 1.077X2 | 0.563 | p < 0.001 | −0.726 | −0.189 | / |
| Ranking | Sand Burial | Salinity | Drought | Score |
|---|---|---|---|---|
| Sand Burial Depth (cm) | Saline-Alkali Content (%) | Water Content (%) | ||
| 1 | 0 | 1 | 18–20 | 2.0884 |
| 2 | 0 | 0.5 | 6–8 | 2.0215 |
| 3 | 0 | 1 | 14–16 | 1.9720 |
| 4 | 0 | 1.5 | 10–12 | 1.9008 |
| 5 | 0 | 1 | 6–8 | 1.7915 |
| 6 | 0 | 2 | 2–4 | 1.7720 |
| 7 | 0 | 1.5 | 18–20 | 1.7188 |
| 8 | 0 | 1 | 2–4 | 1.6725 |
| 9 | 0 | 0.5 | 14–16 | 1.5962 |
| 10 | 0 | 2 | 6–8 | 1.5112 |
Disclaimer/Publisher’s Note: The statements, opinions and data contained in all publications are solely those of the individual author(s) and contributor(s) and not of MDPI and/or the editor(s). MDPI and/or the editor(s) disclaim responsibility for any injury to people or property resulting from any ideas, methods, instructions or products referred to in the content. |
© 2023 by the authors. Licensee MDPI, Basel, Switzerland. This article is an open access article distributed under the terms and conditions of the Creative Commons Attribution (CC BY) license (https://creativecommons.org/licenses/by/4.0/).
Share and Cite
Zhao, J.; Shi, C.; Wang, D.; Zhu, Y.; Liu, J.; Li, H.; Yang, X. Sand Burial, Rather than Salinity or Drought, Is the Main Stress That Limits the Germination Ability of Sophora alopecuroides L. Seed in the Desert Steppe of Yanchi, Ningxia, China. Plants 2023, 12, 2766. https://doi.org/10.3390/plants12152766
Zhao J, Shi C, Wang D, Zhu Y, Liu J, Li H, Yang X. Sand Burial, Rather than Salinity or Drought, Is the Main Stress That Limits the Germination Ability of Sophora alopecuroides L. Seed in the Desert Steppe of Yanchi, Ningxia, China. Plants. 2023; 12(15):2766. https://doi.org/10.3390/plants12152766
Chicago/Turabian StyleZhao, Jingdong, Chaoyi Shi, Danyu Wang, Yuanjun Zhu, Jiankang Liu, Hanzhi Li, and Xiaohui Yang. 2023. "Sand Burial, Rather than Salinity or Drought, Is the Main Stress That Limits the Germination Ability of Sophora alopecuroides L. Seed in the Desert Steppe of Yanchi, Ningxia, China" Plants 12, no. 15: 2766. https://doi.org/10.3390/plants12152766
APA StyleZhao, J., Shi, C., Wang, D., Zhu, Y., Liu, J., Li, H., & Yang, X. (2023). Sand Burial, Rather than Salinity or Drought, Is the Main Stress That Limits the Germination Ability of Sophora alopecuroides L. Seed in the Desert Steppe of Yanchi, Ningxia, China. Plants, 12(15), 2766. https://doi.org/10.3390/plants12152766

