Cretan Dittany (Origanum dictamnus L.), a Valuable Local Endemic Plant: In Vitro Regeneration Potential of Different Type of Explants for Conservation and Sustainable Exploitation
Abstract
1. Introduction
2. Results
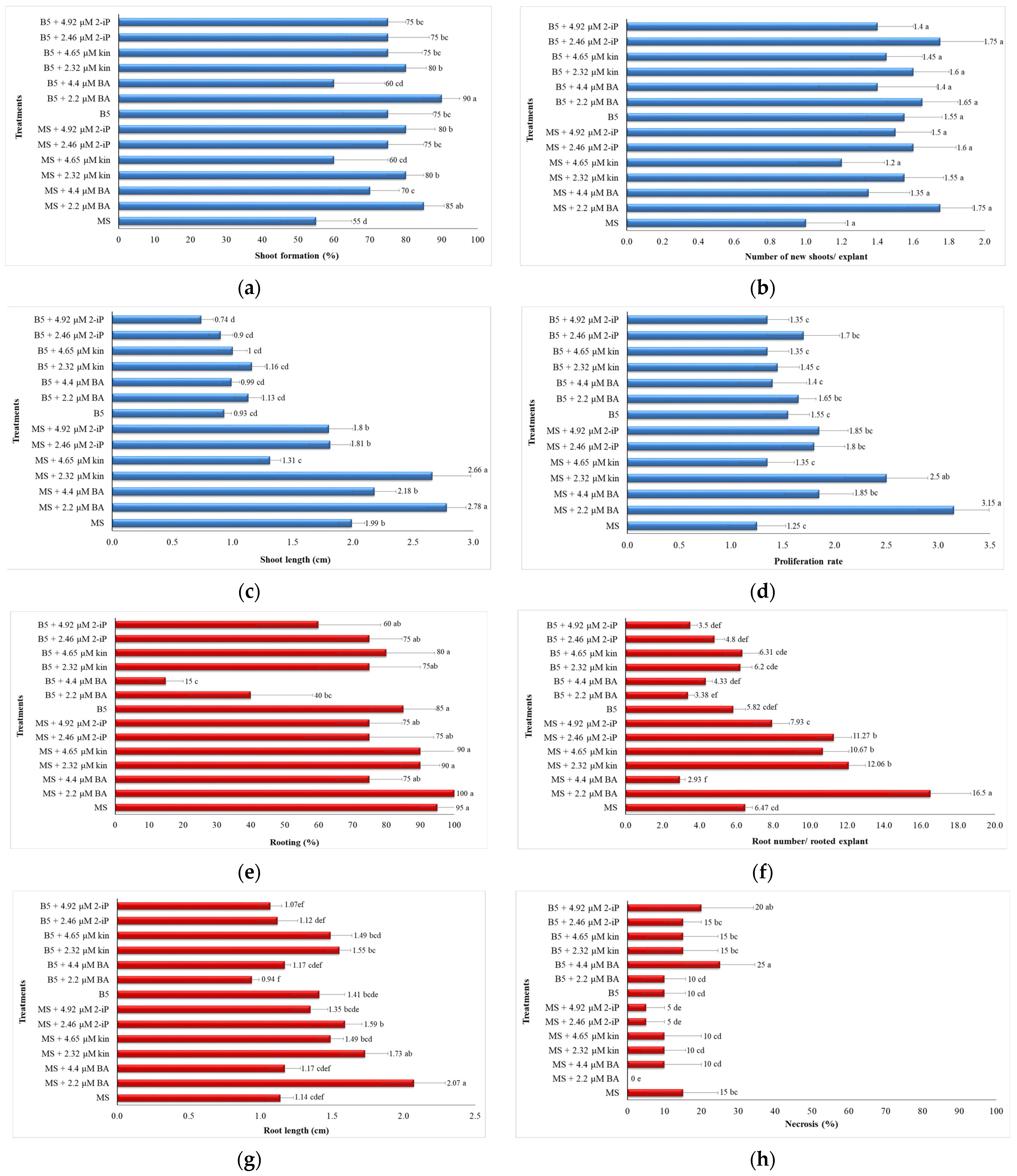
2.1. In Vitro Shoot Proliferation—Rooting and Ex Vitro Acclimatization
2.2. In Vitro Culture of Different Plant Tissue Explants (Leaves, Petioles, Roots)
2.3. In Vitro Culture of Different Callus Explants (Leaf-, Petiole-, Root-Callus)
3. Discussion
3.1. Micropropagation and Ex Vitro Acclimatization
3.2. In Vitro Culture of Different Plant Tissue Explants (Leaves, Petioles, Roots)
3.3. In Vitro Culture of Different Callus Explants (Leaf-, Petiole-, Root-Callus)
4. Materials and Methods
4.1. Plant Material and Culture Conditions
4.2. In Vitro Direct Organogenesis and Ex Vitro Acclimatization
4.3. In Vitro Culture of Different Plant Tissue Explants (Leaves, Petioles, Roots)—Indirect Organogenesis
4.4. Statistical Analysis
5. Conclusions
Author Contributions
Funding
Institutional Review Board Statement
Informed Consent Statement
Data Availability Statement
Conflicts of Interest
References
- Dimopoulos, P.; Raus, T.; Bergmeier, E.; Constantinidis, T.; Iatrou, G.; Kokkini, S.; Strid, A.; Tzanoudakis, D. Vascular plants of Greece—An annotated checklist supplement. Willd 2016, 46, 301–347. [Google Scholar] [CrossRef]
- Krigas, N.; Tsoktouridis, G.; Anestis, I.; Khabbach, A.; Libiad, M.; Megdiche-Ksouri, W.; Ghrabi-Gammar, Z.; Lamchouri, F.; Tsiripidis, I.; Tsiafouli, M. Exploring the potential of neglected local endemic plants of three Mediterranean regions in the ornamental sector: Value chain feasibility and readiness timescale for their sustainable exploitation. Sustainability 2021, 13, 2539. [Google Scholar] [CrossRef]
- Grigoriadou, K.; Krigas, N.; Lazari, D.; Maloupa, E. Chapter 4—Sustainable use of Mediterranean medicinal-aromatic plants. In Feed Additives: Aromatic Plants and Herbs in Animal Nutrition and Health; Florou-Paneri, P.E., Christaki, E., Giannenas, I., Eds.; Elsevier Academic Press: London, UK, 2020; pp. 57–74. [Google Scholar] [CrossRef]
- Maietta, M.; Colombo, R.; Corana, F.; Papetti, A. Cretan tea (Origanum dictamnus L.) as a functional beverage: An investigation on antiglycative and carbonyl trapping activities. Food Funct. 2018, 9, 1545–1556. [Google Scholar] [CrossRef] [PubMed]
- Arslan, N.; Gurbuz, B.; Gumuscu, A.; Ozcan, S.; Mirici, S.; Khawar, K.M. Cultivation of Sternbergia fischeriana (Herbert) Rupr., and a study on its morphological characteristics. Pak. J. Bot. 2002, 34, 411–418. [Google Scholar]
- El-Beyrouthy, M.; Elian, G.; AbouJaoudeh, C.; Chalak, L. In vitro propagation of Origanum syriacum and Origanum ehrenbergii. Acta Hortic. 2015, 1083, 169–172. [Google Scholar] [CrossRef]
- Yildirim, M.U. Micropropagation of Origanum acutidens (HAND.-MAZZ.) Ietswaart using stem node explants. Sci. World J. 2013, 2013, 276464. [Google Scholar] [CrossRef]
- Srivastava, S.; Srivastava, A.K. Hairy root culture for mass-production of high-value secondary metabolites. Crit. Rev. Biotechnol. 2007, 27, 29–43. [Google Scholar] [CrossRef]
- Seo, S.G.; Ryu, S.H.; Zhou, Y.; Kim, S.H. Development of an efficient protocol for high-frequency regeneration system in Hibiscus syriacus L. J. Plant Biotechnol. 2017, 44, 164–170. [Google Scholar] [CrossRef]
- Babaoğlu, M.; Gürel, E.; Özcan, S. Bitki Biyoteknolojisi I. Doku Kültürü ve Uygulamaları; Selçuk Üniversitesi Press: Basimevi, Turkey, 2001; 374p. [Google Scholar]
- Murashige, T.; Skoog, F. A revised method for rapid growth and bioassays with tobacco tissue cultures. Physiol. Plant 1962, 15, 472–497. [Google Scholar] [CrossRef]
- Gamborg, O.L.; Miller, R.A.; Ojima, K. Nutrient requirements of suspension cultures of soybean root cells. Exp. Cell Res. 1968, 50, 151–158. [Google Scholar] [CrossRef]
- Sarropoulou, V.; Maloupa, E.; Grigoriadou, K. In vitro direct organogenesis of the Cretan dittany (Origanum dictamnus L.), an important threatened Greek endemic species. Not. Bot. Horti Agrobot. Cluj-Napoca 2022, 50, 12715. [Google Scholar] [CrossRef]
- Sokolov, R.S.; Atanassova, B.Y.; Iakimova, E.T. Physiological response of in vitro cultured Magnolia sp. to nutrient medium composition. J. Hortic. Res. 2014, 22, 49–61. [Google Scholar] [CrossRef][Green Version]
- George, E.F. Plant Propagation by Tissue Culture. Part 1. The Technology; Exegetics Ltd.: Edington, UK, 1993. [Google Scholar]
- Atar, H.; Çölgeçen, H. Regeneration in Origanum onites L. by plant tissue culture. Karaelmas Fen ve Müh Derg 2019, 9, 177–180. [Google Scholar] [CrossRef]
- Abdallah, S.A.S.; Yakoup, M.Y.A.; Abdalla, M.Y.H. Micropropagation of oregano (Origanum syriacum L.) through tissue culture technique. J. Plant Prod. Mansoura Univ. 2017, 8, 635–639. [Google Scholar] [CrossRef]
- Korkor, A.M.; Mohamed, S.A.; Abd El-kafie, O.M.; Gohar, A.A. Adaptation of the in vitro culture of Origanum majorana L. for production of phenolic acids. IOSR J. Pharm. Biol. Sci. 2017, 12, 30–38. [Google Scholar] [CrossRef]
- Goleniowski, M.E.; Flamarique, C.; Bima, P. Micropropagation of oregano (Origanum vulgare × aplii) from meristem tips. In Vitro Cell. Dev. Biol. Plant 2003, 39, 125–128. [Google Scholar] [CrossRef]
- Sajina, A.; Geetha, S.P.; Minoo, D.; Rema, J.; Nirmalbabu, K.; Sadanandan, A.K.; Ravindran, P.N. Micropropagation of some important herbal species. In Biotechnology of Spices, Medicinal and Aromatic Plants; Edison, S., Ramana, A.V., Sasikumar, B., Eds.; Indian Society for Spices: Calicut, India, 1997; pp. 79–86. [Google Scholar]
- George, E.F.; Hall, M.A.; de Klerk, G.J. Plant tissue culture procedure—Background. In Plant Propagation by Tissue Culture; George, E.F., Hall, M.A., Klerk, G.J.D., Eds.; Springer: Dordrecht, The Netherlands, 2008; pp. 104–204. [Google Scholar]
- Gübbük, H.; Pekmezci, M. In vitro propagation of some new banana types (Musa spp.). Turk. J. Agric. For. 2004, 28, 355–361. [Google Scholar]
- Buah, J.N.; Danso, E.; Taah, K.J.; Abole, E.A.; Bediako, E.A.; Asiedu, J.; Baidoo, R. The effects of different concentration cytokinins on the in vitro multiplication of plantain (Musa sp.). Biotechnology 2010, 9, 343–347. [Google Scholar] [CrossRef]
- Klemš, M.; Balla, J.; Machačkova, I.; Eder, J.; Prochazka, S. The uptake and metabolism of 3H-benzylaminopurine in tobacco (Nicotiana tabacum L.) and cucumber (Cucumis sativus L.) explants. Plant Growth Regul. 2000, 31, 135–142. [Google Scholar] [CrossRef]
- Rahman, M.Z.; Sharoar, M.G.; Matin, M.N.; Rahman, M.H.; Rahman, M.M.; Islam, R. High frequency plant regeneration of a dessert banana cv. Mehersagar for commercial exploitation. Biotechnology 2006, 5, 296–300. [Google Scholar] [CrossRef][Green Version]
- Kalia, R.K.; Arya, S.; Kalia, S.; Arya, I.D. Plantlet regeneration from fascicular buds of seedling shoot apices of Pinus roxburghii Sarg. Biol. Plant. 2007, 51, 653–659. [Google Scholar] [CrossRef]
- Sevindik, B.; Izgu, T.; Simsek, O.; Tutunku, M.; Curuk, P.; Yilmaz, O.; Kaynak, G.; Aka Cakar, Y.; Teixeira da Silva, J.A.; Mendi, Y.Y. In vitro culture of Turkish Origanum sipyleum L. Am. J. Plant Biol. 2017, 2, 32–36. [Google Scholar] [CrossRef]
- Leelavathi, D.; Kuppan, N. Callus induction and regeneration of multiple shoots from in vitro apical bud explant of Origanum vulgare, an important medicinal plant. Int. J. Res. Pharm. Chem. 2013, 3, 898–903. [Google Scholar]
- Özkum, D. In vitro shoot regeneration of oregano (Origanum minutiflorum O. Schwarz & Davis). Hacet. J. Biol. Chem. 2007, 35, 97–100. [Google Scholar]
- Oluk, E.A.; Çakır, A. Micropropagation of Origanum sipyleum L., an endemic medicinal herb of Turkey. Afr. J. Biotechnol. 2009, 8, 5769–5772. [Google Scholar] [CrossRef]
- Arafeh, R.M.; Mahmoud, M.S.; Shibli, R.A. In vitro seed propagation of wild Syrian marjoram (Origanum syriacum L.). Adv. Hort. Sci. 2003, 17, 241–244. [Google Scholar]
- Zayova, E.G.; Geneva, M.P.; Miladinova-Georgieva, K.D.; Hristozkova, M.G.; Stancheva, I.V. Impact of plant growth regulators on Greek oregano micropropagation and antioxidant activity. Biosci. Biotechnol. Res. Asia 2019, 16, 297–305. [Google Scholar] [CrossRef]
- Kumari, N.; Saradhi, P.P. Regeneration of plants from callus cultures of Origanum vulgare L. Plant Cell Rep. 1992, 11, 476–479. [Google Scholar] [CrossRef]
- de Bona, C.M.; Biasi, L.A.; Deschamps, C.; Reinhart, V. In vitro rooting of Lavandula angustifolia. Rev. Bras. Agrocienc. Pelotas 2011, 17, 401–404. [Google Scholar]
- Idris, T.I.M.; Hussein, F.A.; Osman, M.A. Rooting and acclimatization of in vitro produced ginger plantlets (Zingiber officinale Rose). Sudan J. Agric. Sci. 2015, 2, 28–34. [Google Scholar]
- Resende, C.F.D.; Bianchetti, R.E.; Oliveira, A.M.S.D.; Braga, V.F.; Peixoto, P.H.P. 2015. In vitro propagation and acclimatization of Lippia rotundifolia, an endemic species of brazilian campos Rupestres. Rev. Ciênc. Agron. 2015, 46, 582–589. [Google Scholar] [CrossRef][Green Version]
- Silva, F.A.B.; Pereira, L.A.R.; Silveira, C.E.S. Micropropagation of Alibertia edulis Rich. Braz. Arch. Biol. Technol. 2008, 51, 1103–1114. [Google Scholar] [CrossRef][Green Version]
- Mercier, H.; Souza, B.M.; Kraus, J.E.; Hamasaki, R.M.; Sotta, B. Endogenous auxin and cytokinin contents associated with shoot formation in leaves of pineapple cultured in vitro. Braz. J. Plant Physiol. 2003, 15, 107–112. [Google Scholar] [CrossRef][Green Version]
- Kumar, R.; Pal, M. Growth and proliferation of bamboo seedlings influenced by various growth regulators. J. Bamboo Rattan 2004, 3, 91–97. [Google Scholar] [CrossRef]
- Werner, T.; Matykav, N.; Strnad, M.; Schmülling, T. Regulation of plant growth by cytokinin. Proc. Natl. Acid. Sci. USA 2001, 98, 10487–10492. [Google Scholar] [CrossRef] [PubMed]
- El-Ghamery, A.A.; Mousa, M.A. Investigation on the effect of benzyladenine on the germination, radicle growth and meristematic cells of Nigella sativa L. and Allium cepa L. Ann. Agric. Sci. 2017, 62, 11–21. [Google Scholar] [CrossRef]
- Su, Y.H.; Liu, Y.B.; Zhang, X.S. Auxin–cytokinin interaction regulates meristem development. Mol. Plant 2011, 4, 616–625. [Google Scholar] [CrossRef] [PubMed]
- Ghasemi Bezdi, K.; Ahmadi, A. Cell and Tissue Biotechnology in Micropropagation and Plant Breeding; Makhtoomgholi Faraghi Publications: Gorgan, Iran, 2010. [Google Scholar]
- Affonso, V.R.; Bizzo, H.R.; Lima, S.S.; Esquibel, M.A.; Sato, A. Solid Phase Microextraction (SPME) analysis of volatile compounds produced by in vitro shoots of Lantana camara L. under the influence of auxins and cytokinins. J. Braz. Chem. Soc. 2007, 18, 1504–1508. [Google Scholar] [CrossRef]
- El-Gengaihi, S.; Taha, H.S.; Kamel, A.M. In vivo and in vitro comparative studies of Origanum species. J. Food Agric. Environ. 2006, 4, 127–134. [Google Scholar] [CrossRef]
- Arafeh, R.M.; Shibli, R.A.; Al-Mahmoud, M.; Shatnawi, M.A. Callusing, cell suspension culture and secondary metabolites production in Persian oregano (Origanum vulgare L.) and Arabian oregano (O. syriacum L.). Jordan J. Agric. Sci. 2006, 2, 274–281. [Google Scholar]
- Yasser, H.; Gehan, A.; El-Sayed, H.; Khaled, Y. In vitro cultivation of marjoram (Origanum majorana L.) under influence of 2,4-D (2,4-dichlorophenoxy acetic acid) as herbicide. Life Sci. J. 2014, 11, 249–257. [Google Scholar]
- Ślusarkiewicz-Jarzina, A.; Ponitka, A.; Kaczmarek, Z. Influence of cultivar, explant source and plant growth regulator on callus induction and plant regeneration of Cannabis sativa L. Acta Biol. Crac. Ser. Bot. 2005, 47, 145–151. [Google Scholar]
- Passey, A.; Barrett, K.; James, D. Adventitious shoot regeneration from seven commercial strawberry cultivars (Fragaria × ananassa Duch.) using a range of explant types. Plant Cell Rep. 2003, 21, 397–401. [Google Scholar] [CrossRef] [PubMed]
- Murthy, B.N.S.; Murch, S.J.; Saxena, P.K. Thidiazuron: A potent regulator of in vitro plant morphogenesis. In Vitro Cell Dev. Biol. Plant 1998, 4, 267–275. [Google Scholar] [CrossRef]
- Guo, B.; Abbasi, B.H.; Zeb, A.; Xu, L.L.; Wei, Y.H. Thidiazuron: A multi-dimensional plant growth regulator. Afr. J. Biotechnol. 2011, 10, 8984–9000. [Google Scholar] [CrossRef]
- Podwyszynska, M.; Novák, O.; Doležal, K.; Strnad, M. Endogenous cytokinin dynamics in micropropagated tulips during bulb formation process influenced by TDZ and 2iP pre-treatment. Plant Cell Tiss Organ Cult 2014, 9, 331–346. [Google Scholar] [CrossRef]
- Yu, K.W.; Murthy, H.N.; Jeong, C.S.; Hahn, E.J.; Paek, K.Y. Organic germanium stimulates the growth of ginseng adventitious roots and ginsenoside production. Process Biochem. 2005, 40, 2959–2961. [Google Scholar] [CrossRef]
- El-Shafey, N.M.; Sayed, M.; Ahmed, E.S.; Hammouda, O.; Khodary, S.E.A. Effect of growth regulators on micropropagation, callus induction and callus flavonoid content of Rumex pictus Forssk. Egypt. J. Bot. 2019, 59, 269–278. [Google Scholar] [CrossRef]
- Vardja, R.; Vardja, T. The effect of cytokinin type and concentration and the number of subcultures on the multiplication rate of some decorative plants. Proc. Est. Acad. Sci. Biol. Ecol. 2001, 50, 22–32. [Google Scholar] [CrossRef]
- Horn, W.A.H. Micropropagation of rose (Rosa L.). In HighTech and Micropropagation IV; Bajaj, Y.P.S., Ed.; Springer: Berlin, Germany, 1992; pp. 320–342. [Google Scholar]
- Krens, F.A.; Menzel, T.R.; Liu, C.; Dees, D.C.T.; Van Kronenburg, B.C.E. Oriental lily hybrids engineered to resist aphid attack. Acta Hortic. 2009, 836, 253–258. [Google Scholar] [CrossRef]
- Zobayed, S.M.A.; Saxena, P.K. In vitro-grown roots: A superior explant for prolific shoot regeneration of St. John’s wort (Hypericum perforatum L. cv. “New Stem”) in a temporary immersion bioreactor. Plant Sci. 2003, 165, 463–470. [Google Scholar] [CrossRef]
- Ehsandar, S.; Majd, A.; Choukan, R. Callus formation and regeneration of the first modified Iranian potato cultivar (Savalan). Adv. Crop Sci. 2013, 3, 201–208. [Google Scholar]
- Dhital, S.P.; Lim, H.T.; Manandhar, H.K. Direct and efficient plant regeneration from different explant sources of potato cultivars as influenced by plant growth regulators. Nepal J. Sci. Technol. 2010, 12, 1–6. [Google Scholar] [CrossRef]
- Dodds, J.; Roberts, L. Experiments in Plant Tissue Culture, 3rd ed.; Cambridge University Press: New York, NY, USA, 1995; p. 276. [Google Scholar]
- Lim, K.B.; Kwon, S.J.; Lee, S.I.; Hwang, Y.J.; Naing, A.H. Influence of genotype, explants source, and gelling agent on in vitro shoot regeneration of chrysanthemum. Hortic. Environ. Biotechnol. 2012, 53, 329–335. [Google Scholar] [CrossRef]
- Samanthi, P.W.; Puad, A.M.; Suhaimi, N.; Kumar, S.M.; Noraini, N.S. In vitro shoot regeneration from leaf explants of kenaf. Ann. Plant Sci. 2013, 3, 582–587. [Google Scholar]
- Ji, H.; Zhang, H.X.; Ge, H.B. The relationship between browning ratio in PPO and phenols of pear explants. J. Sichuan Agric. Univ. 1998, 16, 310–313. [Google Scholar]
- Arnaldos, T.L.; Munoz, R.; Ferrer, M.A.; Calderon, A.A. Changes in phenol content during strawberry (Fragaria ananasa cv. Chandler) callus culture. Physiol. Plant 2001, 113, 315–322. [Google Scholar] [CrossRef]




| Treatments | Response (after 2 Months) | |||||||
|---|---|---|---|---|---|---|---|---|
| Explant Type | Culture Medium | TDZ (μM) | Kin (μM) | IBA (μM) | 2,4-D (μM) | Callus Formation (%) | Shoot Regeneration (%) | Root Regeneration (%) |
| Leaves | ODK1 | 20 | - | 5 | - | 100 | 20.0 ± 6.3 a | 0 |
| ODK2 | - | 0.5 | - | 5 | 100 | 0.0 ± 0.0 b | 0 | |
| Petioles | ODK1 | 20 | - | 5 | - | 100 | 20.0 ± 11.0 a | 0 |
| ODK2 | - | 0.5 | - | 5 | 100 | 0.0 ± 0.0 b | 0 | |
| Roots | ODK1 | 20 | - | 5 | - | 100 | 0.0 ± 0.0 b | 0 |
| ODK2 | - | 0.5 | - | 5 | 100 | 0.0 ± 0.0 b | 0 | |
| Medium Prior Callusing | Explant Type | Culture Medium Code Number | BA (μM) | IBA (μM) | GA3 (μM) | New Callus Formation (%) | Shoot Regeneration (%) | Root Regeneration (%) |
|---|---|---|---|---|---|---|---|---|
| ODK1 (leaves, petioles, roots) | Leaf callus | ODR0 | 0 | 0 | 0 | 0.0 ± 0.0 d | 10.0 ± 5.8 b | 0.0 ± 0.0 d |
| ODR1 | 0 | 0.25 | 0.3 | 0.0 ± 0.0 d | 0.0 ± 0.0 c | 0.0 ± 0.0 d | ||
| ODR2 | 1.11 | 0.25 | 0.3 | 0.0 ± 0.0 d | 30.0 ± 11.5 a | 0.0 ± 0.0 d | ||
| ODR3 | 2.22 | 0.25 | 0.3 | 0.0 ± 0.0 d | 0.0 ± 0.0 c | 0.0 ± 0.0 d | ||
| Petiole callus | ODR0 | 0 | 0 | 0 | 0.0 ± 0.0 d | 0.0 ± 0.0 c | 0.0 ± 0.0 d | |
| ODR1 | 0 | 0.25 | 0.3 | 0.0 ± 0.0 d | 0.0 ± 0.0 c | 0.0 ± 0.0 d | ||
| ODR2 | 1.11 | 0.25 | 0.3 | 0.0 ± 0.0 d | 0.0 ± 0.0 c | 0.0 ± 0.0 d | ||
| ODR3 | 2.22 | 0.25 | 0.3 | 0.0 ± 0.0 d | 0.0 ± 0.0 c | 0.0 ± 0.0 d | ||
| Root callus | ODR0 | 0 | 0 | 0 | 0.0 ± 0.0 d | 0.0 ± 0.0 c | 0.0 ± 0.0 d | |
| ODR1 | 0 | 0.25 | 0.3 | 0.0 ± 0.0 d | 0.0 ± 0.0 c | 0.0 ± 0.0 d | ||
| ODR2 | 1.11 | 0.25 | 0.3 | 0.0 ± 0.0 d | 0.0 ± 0.0 c | 0.0 ± 0.0 d | ||
| ODR3 | 2.22 | 0.25 | 0.3 | 0.0 ± 0.0 d | 0.0 ± 0.0 c | 0.0 ± 0.0 d | ||
| ODK2 (leaves, petioles, roots) | Leaf callus | ODR0 | 0 | 0 | 0 | 0.0 ± 0.0 d | 0.0 ± 0.0 c | 30.0 ± 10.0 b |
| ODR1 | 0 | 0.25 | 0.3 | 0.0 ± 0.0 d | 0.0 ± 0.0 c | 0.0 ± 0.0 d | ||
| ODR2 | 1.11 | 0.25 | 0.3 | 0.0 ± 0.0 d | 0.0 ± 0.0 c | 0.0 ± 0.0 d | ||
| ODR3 | 2.22 | 0.25 | 0.3 | 0.0 ± 0.0 d | 0.0 ± 0.0 c | 0.0 ± 0.0 d | ||
| Petiole callus | ODR0 | 0 | 0 | 0 | 75.0 ± 14.4 a | 0.0 ± 0.0 c | 75.0 ± 2.9 a | |
| ODR1 | 0 | 0.25 | 0.3 | 0.0 ± 0.0 d | 0.0 ± 0.0 c | 20.0 ± 5.8 c | ||
| ODR2 | 1.11 | 0.25 | 0.3 | 0.0 ± 0.0 d | 0.0 ± 0.0 c | 20.0 ± 5.8 c | ||
| ODR3 | 2.22 | 0.25 | 0.3 | 60.0 ± 11.5 b | 0.0 ± 0.0 c | 70.0 ± 5.8 a | ||
| Root callus | ODR0 | 0 | 0 | 0 | 30.0 ± 5.8 c | 0.0 ± 0.0 c | 0.0 ± 0.0 d | |
| ODR1 | 0 | 0.25 | 0.3 | 0.0 ± 0.0 d | 0.0 ± 0.0 c | 0.0 ± 0.0 d | ||
| ODR2 | 1.11 | 0.25 | 0.3 | 0.0 ± 0.0 d | 0.0 ± 0.0 c | 0.0 ± 0.0 d | ||
| ODR3 | 2.22 | 0.25 | 0.3 | 0.0 ± 0.0 d | 0.0 ± 0.0 c | 0.0 ± 0.0 d |
| PGRs 1 (μM) | Culture Medium Code Number | |||||
|---|---|---|---|---|---|---|
| ODK1 | ODK2 | ODR0 | ODR1 | ODR2 | ODR3 | |
| TDZ 2 IBA 3 Kin 4 2,4-D 5 BA 6 GA3 7 | 20 5 - - - - | - - 0.5 5 - - | - - - - - - | - 0.25 - - - 0.3 | - 0.25 - - 1.11 0.3 | - 0.25 - - 2.22 0.3 |
Disclaimer/Publisher’s Note: The statements, opinions and data contained in all publications are solely those of the individual author(s) and contributor(s) and not of MDPI and/or the editor(s). MDPI and/or the editor(s) disclaim responsibility for any injury to people or property resulting from any ideas, methods, instructions or products referred to in the content. |
© 2023 by the authors. Licensee MDPI, Basel, Switzerland. This article is an open access article distributed under the terms and conditions of the Creative Commons Attribution (CC BY) license (https://creativecommons.org/licenses/by/4.0/).
Share and Cite
Sarropoulou, V.; Maloupa, E.; Grigoriadou, K. Cretan Dittany (Origanum dictamnus L.), a Valuable Local Endemic Plant: In Vitro Regeneration Potential of Different Type of Explants for Conservation and Sustainable Exploitation. Plants 2023, 12, 182. https://doi.org/10.3390/plants12010182
Sarropoulou V, Maloupa E, Grigoriadou K. Cretan Dittany (Origanum dictamnus L.), a Valuable Local Endemic Plant: In Vitro Regeneration Potential of Different Type of Explants for Conservation and Sustainable Exploitation. Plants. 2023; 12(1):182. https://doi.org/10.3390/plants12010182
Chicago/Turabian StyleSarropoulou, Virginia, Eleni Maloupa, and Katerina Grigoriadou. 2023. "Cretan Dittany (Origanum dictamnus L.), a Valuable Local Endemic Plant: In Vitro Regeneration Potential of Different Type of Explants for Conservation and Sustainable Exploitation" Plants 12, no. 1: 182. https://doi.org/10.3390/plants12010182
APA StyleSarropoulou, V., Maloupa, E., & Grigoriadou, K. (2023). Cretan Dittany (Origanum dictamnus L.), a Valuable Local Endemic Plant: In Vitro Regeneration Potential of Different Type of Explants for Conservation and Sustainable Exploitation. Plants, 12(1), 182. https://doi.org/10.3390/plants12010182

