Nitrogen Fertilization and Solvents as Factors Modifying the Antioxidant and Anticancer Potential of Arnica montana L. Flower Head Extracts
Abstract
1. Introduction
2. Results
2.1. Chemical Characteristics of Raw Material
2.2. Antioxidant Activity of Water and Ethanol Extracts
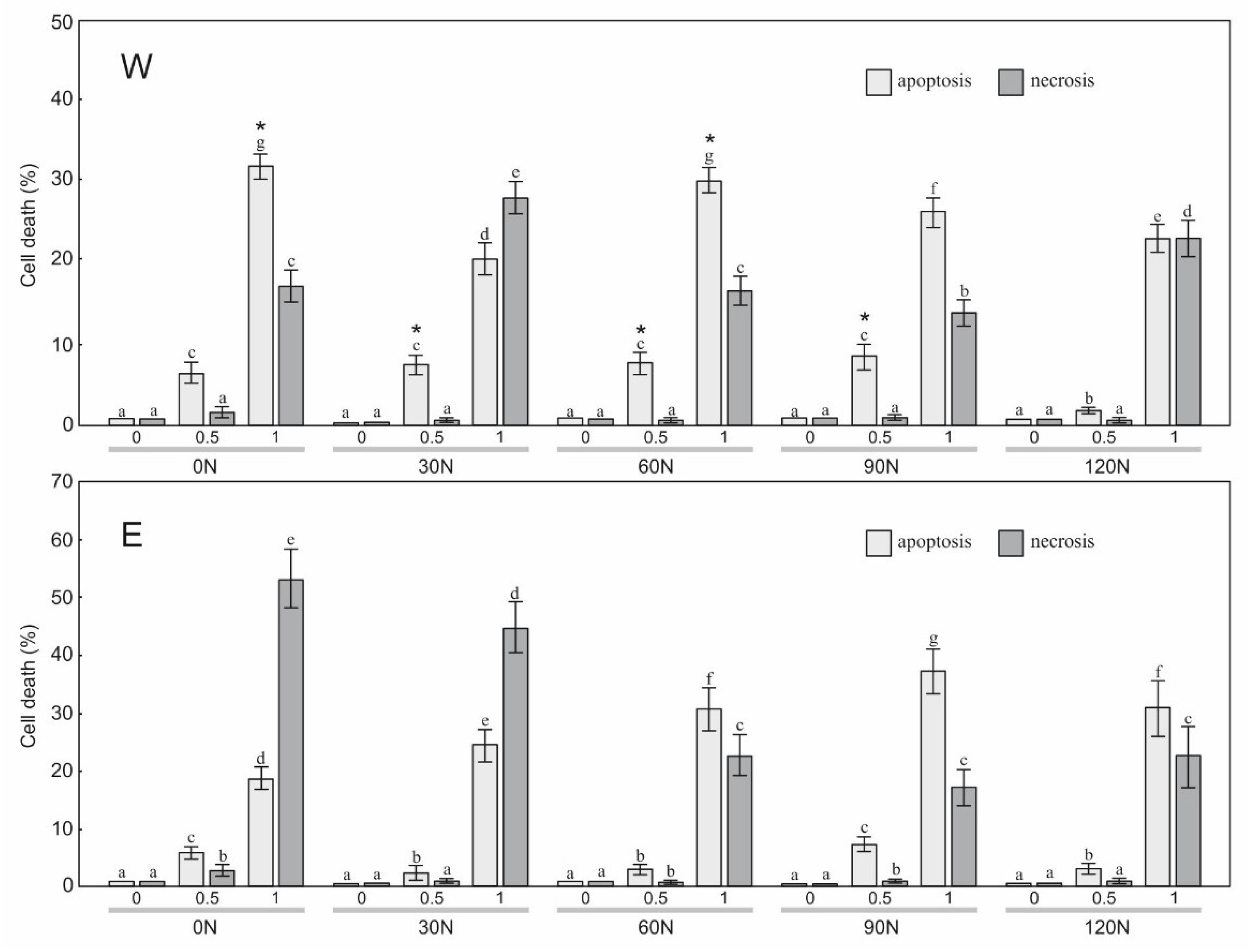
2.3. Anticancer Activity of Water and Ethanol Extracts
3. Discussion
3.1. Chemical Characteristics of Raw Material
3.2. Antioxidant Activity
3.3. Anticancer Activity
4. Materials and Methods
4.1. Experimental Site Conditions
4.2. Plant Material
4.3. Chemical Analyses
4.3.1. Sesquiterpene Lactones
4.3.2. Flavonoids
4.3.3. Essential Oil
4.4. Extract Preparation
4.4.1. Total Phenolic Content (TPC)
4.4.2. Metal-Chelating Activity (CHEL)
4.4.3. Inhibition of Lipoxygenase Activity (LOX)
4.4.4. Ability to Scavenge Hydroxyl (OH•) Radicals
4.5. Cells and Culture Conditions
4.6. Drug Treatment
4.7. Detection of Apoptosis, Autophagy, and Necrosis
4.8. Statistical Analysis
5. Conclusions
Author Contributions
Funding
Data Availability Statement
Conflicts of Interest
References
- Chen, S.L.; Yu, H.; Luo, H.M.; Wu, Q.; Li, C.F.; Steinmetz, A. Conservation and sustainable use of medicinal plants: Problems, progress, and prospects. Chin. Med. 2016, 11, 37. [Google Scholar] [CrossRef]
- Clardy, J.; Walsh, C. Lessons from natural molecules. Nature 2004, 432, 829–837. [Google Scholar] [CrossRef]
- Gawlik-Dziki, U.; Sugier, P.; Dziki, D.; Sugier, D.; Pecio, Ł. Water soldier Stratiotes aloides L.—Forgotten famine plant with unique composition and antioxidant properties. Molecules 2020, 25, 5065. [Google Scholar] [CrossRef]
- Sugier, D.; Sugier, P.; Pawełek, M.; Gawlik-Dziki, U. Salix myrsinifolia Salisb. as a source of phenolic glycosides: Distribution and characteristic of habitat conditions in the mid-eastern Poland. Acta Sci. Pol. Hortorum Cultus 2011, 10, 75–88. [Google Scholar]
- Sugier, D.; Sugier, P.; Jakubowicz-Gil, J.; Winiarczyk, K.; Kowalski, R. Essential oil from Arnica montana L. achenes: Chemical characteristics and anticancer activity. Molecules 2019, 24, 4158. [Google Scholar] [CrossRef]
- Larsen, H.O.; Olsen, C.S. Unsustainable collection and unfair trade? Uncovering and assessing assumptions regarding Central Himalayan medicinal plant conservation. Biodivers. Conserv. 2007, 16, 1679–1697. [Google Scholar] [CrossRef]
- Uprety, Y.; Asselin, H.; Dhakal, A.; Julien, N. Traditional use of medicinal plants in the boreal forest of Canada: Review and perspectives. J. Ethnobiol. Ethnomed. 2012, 8, 7. [Google Scholar] [CrossRef]
- Hultén, E.; Fries, M. Atlas of North European Vascular Plants: North of the Tropic of Cancer; Koeltz Scientific Books: Königstein, Germany, 1986; Volume 1. [Google Scholar]
- Kahmen, S.; Poschlod, P. Population size, plant performance, and genetic variation in the rare plant Arnica montana L. in the Rhön, Germany. Basic Appl. Ecol. 2000, 1, 43–51. [Google Scholar] [CrossRef]
- Maurice, T.; Colling, G.; Muller, S.; Matthies, D. Habitat characteristics, stage structure and reproduction of colline and montane populations of the threatened species Arnica montana. Plant Ecol. 2012, 213, 831–842. [Google Scholar] [CrossRef]
- Sugier, P.; Kołos, A.; Wołkowycki, D.; Sugier, D.; Plak, A.; Sozinov, O. Evaluation of species inter-relations and soil conditions in Arnica montana L. habitats: A step towards active protection of endangered and high-valued medicinal plant species in NE Poland. Acta Soc. Bot. Pol. 2018, 87, 3592. [Google Scholar] [CrossRef]
- Sugier, P.; Sugier, D.; Sozinov, O.; Kołos, A.; Wołkowycki, D.; Plak, A.; Budnyk, O. Characteristics of plant communities, population features, and edaphic conditions of Arnica montana L. populations in pine forests of mid-eastern Europe. Acta Soc. Bot. Pol. 2019, 88, 3640. [Google Scholar] [CrossRef]
- Kowalski, R.; Sugier, D.; Sugier, P.; Kołodziej, B. Evaluation of the chemical composition of essential oils with respect to the maturity of flower heads of Arnica montana L. and Arnica chamissonis Less. cultivated for industry. Ind. Crop. Prod. 2015, 76, 857–865. [Google Scholar] [CrossRef]
- Merfort, I.; Wendisch, D. Flavonoid glucuronides from the flowers of Arnica montana. Planta Med. 1988, 54, 247–250. [Google Scholar] [CrossRef]
- Perry, N.B.; Burgess, E.J.; Rodriguez, M.A.; Romero Franco, R.; López Mosquera, E.; Smallfield, B.M.; Joyce, N.I.; Littlejohn, R.P. Sesquiterpene lactones in Arnica montana helenalin and dihydrohelenalin chemotypes in Spain. Planta Med. 2009, 75, 660–666. [Google Scholar] [CrossRef] [PubMed]
- Sugier, P.; Jakubowicz-Gil, J.; Sugier, D.; Kowalski, R.; Gawlik-Dziki, U.; Kołodziej, B.; Dziki, D. Chemical characteristics and anticancer activity of essential oil from Arnica montana L. rhizomes and roots. Molecules 2020, 25, 1284. [Google Scholar] [CrossRef]
- Sugier, D.; Sugier, P.; Kowalski, R.; Kołodziej, B.; Olesińska, K. Foliar boron fertilization as factor affecting the essential oil content and yield of oil components from flower heads of Arnica montana L. and Arnica chamissonis Less. cultivated for industry. Ind. Crop. Prod. 2017, 109, 587–597. [Google Scholar] [CrossRef]
- Gaspar, A.; Cracinescu, O.; Trif, M.; Moisei, M.; Moldovan, L. Antioxidant and anti-inflammatory properties of active compounds from Arnica montana L. Rom. Biotech. Lett. 2014, 19, 9353–9365. [Google Scholar]
- Gawlik-Dziki, U.; Świeca, M.; Sugier, D.; Cichocka, J. Seeds of Arnica montana and Arnica chamissonis as a potential source of natural antioxidants. Herba Pol. 2009, 55, 60–71. [Google Scholar]
- Jäger, C.; Hrenn, A.; Zwingmann, J.; Sute, A.; Merfort, I. Phytomedicines prepared from Arnica flowers inhibit the transcription factors AP-1 and NF-kappaB and modulate the activity of MMP1 and MMP13 in human and bovine chondrocytes. Planta Med. 2009, 75, 1319–1325. [Google Scholar] [CrossRef]
- Kriplani, P.; Guarve, K.; Baghael, U.S. Arnica montana L.—A plant of healing: Review. J. Pharm. Pharmacol. 2017, 69, 925–945. [Google Scholar] [CrossRef]
- Macêdo, S.B.; Ferreira, L.R.; Perazzo, F.F.; Tavares Carvalho, J.C. Anti-inflammatory activity of Arnica montana 6cH: Preclinical study in animals. Homeopathy 2004, 93, 84–87. [Google Scholar] [CrossRef]
- Nieto-Trujillo, A.; Cruz-Sosa, F.; Luria-Pérez, R.; Gutiérrez-Rebolledo, G.A.; Román-Guerrero, A.; Burrola-Aguilar, C.; Zepeda-Gómez, C.; Estrada-Zúñiga, M.E. Arnica montana cell culture establishment, and assessment of its cytotoxic, antibacterial, α-amylase inhibitor, and antioxidant in vitro bioactivities. Plants 2021, 10, 2300. [Google Scholar] [CrossRef]
- Žitek, T.; Postružnik, V.; Knez, Ž.; Golle, A.; Dariš, B.; Marevci, M.K. Arnica montana L. supercritical extraction optimization for antibiotic and anticancer activity. Front. Bioeng. Biotechnol. 2022, 10, 897185. [Google Scholar] [CrossRef]
- Kosyan, A.; Sytar, O. Implications of fagopyrin formation in vitro by UV spectroscopic analysis. Molecules 2021, 26, 2013. [Google Scholar] [CrossRef]
- Sytar, O.; Kotta, K.; Valasiadis, D.; Kosyan, A.; Brestic, M.; Koidou, V.; Papadopoulou, E.; Kroustalaki, M.; Emmanouilidou, C.; Pashalidis, A.; et al. The effects of photosensitizing dyes fagopyrin and hypericin on planktonic growth and multicellular life in budding yeast. Molecules 2021, 26, 4708. [Google Scholar] [CrossRef]
- Gull, N.; Arshad, F.; Naikoo, G.A.; Hassan, I.U.; Pedram, M.Z.; Ahmad, A.; Aljabali, A.A.A.; Mishra, V.; Satija, S.; Charbe, N.; et al. Recent advances in anticancer activity of novel plant extracts and compounds from Curcuma longa in hepatocellular carcinoma. J. Gastrointest. Cancer 2022, 1–23. [Google Scholar] [CrossRef]
- Jakubowicz-Gil, J.; Langner, E.; Rzeski, W. Kinetic studies of the effects of Temodal and quercetin on astrocytoma cells. Pharmacol. Rep. 2011, 63, 403–416. [Google Scholar] [CrossRef]
- Jakubowicz-Gil, J.; Langner, E.; Bądziul, D.; Wertel, I.; Rzeski, W. Apoptosis induction in human glioblastoma multiforme T98G cells upon temozolomide and quercetin treatment. Tumor Biol. 2013, 34, 2367–2378. [Google Scholar] [CrossRef]
- Kim, D.Y.; Choi, B.Y. Costunolide—A bioactive sesquiterpene lactone with diverse therapeutic potential. Int. J. Mol. Sci. 2019, 20, 2926. [Google Scholar] [CrossRef]
- Moujir, L.; Callies, O.; Sousa, P.; Sharopov, F.; Seca, A.M. Applications of sesquiterpene lactones: A review of some potential success cases. Appl. Sci. 2020, 10, 3001. [Google Scholar] [CrossRef]
- Rauf, A.; Imran, M.; Khan, I.A.; Ur-Rehman, M.; Gilani, S.A.; Mehmood, Z.; Mubarak, M.S. Anticancer potential of quercetin: A comprehensive review. Phytother. Res. 2018, 32, 2109–2130. [Google Scholar] [CrossRef]
- Reyes-Farias, M.; Carrasco-Pozo, C. The anti-cancer effect of quercetin: Molecular implications in cancer metabolism. Int. J. Mol. Sci. 2019, 20, 3177. [Google Scholar] [CrossRef]
- Aiello, N.; Scartezzini, F.; Vender, C. Cultivation trial of Arnica montana wild accessions results of the second year. Acta Hortic. 2012, 955, 253–257. [Google Scholar] [CrossRef]
- Leoni, V.; Borgonovo, G.; Giupponi, L.; Bassoli, A.; Pedrali, D.; Zuccolo, M.; Rodari, A.; Giorgi, A. Comparing wild and cultivated Arnica montana L. from the Italian Alps to explore the possibility of sustainable production using local seeds. Sustainability 2021, 13, 3382. [Google Scholar] [CrossRef]
- Pljevljakušić, D.; Janković, T.; Jelačić, S.; Novaković, M.; Menković, N.; Beatović, D.; Dajić-Stevanović, Z. Morphological and chemical characterization of Arnica montana L. under different cultivation models. Ind. Crop. Prod. 2014, 52, 233–244. [Google Scholar] [CrossRef]
- Sugier, D.; Sugier, P.; Gawlik-Dziki, U. Propagation and introduction of Arnica montana L. into cultivation: A step to reduce the pressure on endangered and high-valued medicinal plant species. Sci. World J. 2013, 2013, 414363. [Google Scholar] [CrossRef]
- Yang, L.; Wen, K.-S.; Ruan, X.; Zhao, Y.-X.; Wei, F.; Wang, Q. Response of plant secondary metabolites to environmental factors. Molecules 2018, 23, 762. [Google Scholar] [CrossRef]
- Albert, A.; Sareedenchai, V.; Heller, W.; Seidlitz, H.K.; Zidorn, C. Temperatures the key to altitudinal variations of phenolics in Arnica montana L. cv. ARBO. Oecologia 2009, 169, 1–8. [Google Scholar] [CrossRef]
- Spitaler, R.; Schlorhaufer, P.D.; Ellmerer, E.P.; Merfort, I.; Bortenschlager, S.; Stuppner, H.; Zidorn, C. Altitudinal variation of secondary metabolite profiles in flowering heads of Arnica montana cv. ARBO. Phytochemistry 2006, 67, 409–417. [Google Scholar] [CrossRef]
- Zidorn, C. Altitudinal variation of secondary metabolites in flowering heads of the Asteraceae: Trends and causes. Phytochem. Rev. 2010, 9, 197–203. [Google Scholar] [CrossRef]
- Nikolova, M.; Petrova, M.; Zayova, E.; Vitkova, E.; Evstatieva, E.L. Comparative study of in vitro, ex vitro and in vivo grown plants of Arnica montana–polyphenols and free radical scavenging activity. Acta Bot. Croatica 2013, 72, 13–22. [Google Scholar] [CrossRef]
- Baranauskiene, R.; Venskutonis, P.R.; Viskelis, P.; Dambrauskiene, E. Influence of nitrogen fertilizers on the yield and composition of thyme (Thymus vulgaris). J. Agric. Food Chem. 2003, 51, 7751–7758. [Google Scholar] [CrossRef] [PubMed]
- Nurzyńska-Wierdak, R. Does mineral fertilization modify essential oil content and chemical composition in medicinal plants? Acta Sci. Pol. Hortorum Cultus 2013, 12, 3–16. [Google Scholar]
- Olesińska, K.; Sugier, D.; Kaczmarski, Z. Yield and chemical composition of raw material from meadow arnica (Arnica chamissonis Less.) depending on soil conditions and nitrogen fertilization. Agriculture 2021, 11, 810. [Google Scholar] [CrossRef]
- Sugier, D.; Olesińska, K.; Sugier, P.; Wójcik, M. Chemical composition of essential oil from flower heads of Arnica chamissonis Less. under a nitrogen impact. Molecules 2019, 24, 4454. [Google Scholar] [CrossRef] [PubMed]
- Ganzera, M.; Egger, C.; Zidorn, C.; Stuppner, H. Quantitative analysis of flavonoids and phenolic acids in Arnica montana L. by micellar electrokinetic capillary chromatography. Anal. Chim. Acta 2008, 614, 196–200. [Google Scholar] [CrossRef] [PubMed]
- Jaiswal, R.; Kuhnert, N. Identification and characterization of two new derivatives of chlorogenic acids in Arnica (Arnica montana L.) flowers by high-performance liquid chromatography/tandem mass spectrometry. J. Agric. Food Chem. 2011, 59, 4033–4039. [Google Scholar] [CrossRef]
- Sugier, P.; Sęczyk, Ł.; Sugier, D. Variation in population and solvents as factors determining the chemical composition and antioxidant potential of Arctostaphylos uva-ursi (L.) Spreng. leaf extracts. Molecules 2022, 27, 2247. [Google Scholar] [CrossRef]
- Agostini-Costa, T.S.; Teodoro, A.F.P.; Alves, R.B.N.; Braga, L.R.; Ribeiro, I.F.; Silva, J.P.; Quintana, L.G.; Burle, M.L. Total phenolics, flavonoids, tannins and antioxidant activity of lima beans conserved in a Brazilian Genebank. Cienc. Rural 2015, 45, 335–341. [Google Scholar] [CrossRef]
- Orak, H.H.; Karamac, M.; Orak, A.; Amarowicz, R. Antioxidant potential and phenolic compounds of some widely consumed Turkish white bean (Phaseolus vulgaris L.) varieties. Pol. J. Food Nutr. Sci. 2016, 66, 253–260. [Google Scholar] [CrossRef]
- Polish Pharmacopoeia XI; The Republic of Poland, The Minister of Health: Warsaw, Poland, 2017.
- Douglas, J.A.; Smallfield, B.M.; Burgess, E.J.; Perry, N.B.; Anderson, R.E.; Douglas, M.H.; Glennie, V.A. Sesquiterpene lactones in Arnica montana, a rapid analytical method and the effects of flower maturity and simulated mechanical harvesting on quality and yield. Planta Med. 2004, 70, 166–170. [Google Scholar] [PubMed]
- Seemann, A.; Wallner, T.; Poschold, P.; Heilmann, J. Variation of sesquiterpene lactone content in different Arnica montana populations: Influence of ecological parameters. Planta Med. 2010, 76, 837–842. [Google Scholar] [CrossRef] [PubMed]
- Dall’Acqua, S.; Innocenti, G.; Ferretti, V.; Aiello, N.; Scartezzini, F.; Vender, C. Qualiquantitavive analysis of Arnica montana wild accessions compared in field, results of the second year. Acta Hort. 2012, 955, 325–327. [Google Scholar] [CrossRef]
- Ivanova, D.; Deneva, V.; Zheleva-Dimitrova, D.; Balabanova-Bozushka, V.; Nedeltcheva, D.; Gevrenova, R.; Antonov, L. Quantitative characterization of Arnicae flos by RP-HPLC-UV and NIR spectroscopy. Foods 2019, 8, 9. [Google Scholar] [CrossRef]
- Mijani, G.A.A.; Sharifabad, H.H.; Panahi, B. Determination of optimum N and P fertilization levels for dry flower yield and essential oil percentage in autumn-grown German chamomile (Matricaria chamomilla) in Jiroft, Iran. Plant Ecophysiol. 2011, 3, 47–52. [Google Scholar]
- Ghiasy-Oskoee, M.; Aghaalikhani, M.; Sefidkon, F.; Mokhtassi-Bidgoli, A.; Ayyari, M. Blessed thistle agronomic and phytochemical response to nitrogen and plant density. Ind. Crop. Prod. 2018, 122, 566–573. [Google Scholar] [CrossRef]
- Kim, D.K.; Lee, K.D. Effects of nitrogen application on growth and bioactive compounds of Chrysanthemum indicum L. (Gamgug). Korean J. Med. Crop Sci. 2009, 17, 363–368. [Google Scholar] [CrossRef]
- Sugier, D.; Gawlik-Dziki, U. Wpływ nawożenia dolistnego na plonowanie i jakość surowca Arnica montana L. i Arnica chamissonis var. foliosa. Agron. Sci. 2009, 64, 129–139. [Google Scholar] [CrossRef]
- Tshivhandekano, I.; Ngezimana, W.; Tshikalange, T.E.; Makunga, N.P.; Mudau, F.N. Nitrogen application influences quality, pharmacological activities and metabolite profiles of Athrixia phylicoides DC. (Bush tea) cultivated under greenhouse and field conditions. Acta Agric. Scand. B Soil Plant Sci. 2018, 68, 388–400. [Google Scholar]
- Sugier, D. Plon i skład chemiczny surowca arniki górskiej (Arnica montana L.) w zależności od sposobu zakładania plantacji i terminu zbioru koszyczków kwiatowych. Ann. UMCS Sec. E 2013, 68, 51–62. [Google Scholar] [CrossRef]
- El-Leithy, A.S.; El-Hanafy, S.H.; Khattab, M.E.; Ahmed, S.S.; El-Ghafour, A.A. Effect of nitrogen fertilization rates, plant spacing and their interaction on essential oil percentage and total flavonoid content of summer savory (Satureja hortensis L.) plant. Egypt. J. Chem. 2017, 60, 805–816. [Google Scholar]
- Heikal, A.A.M.; Helmy, S.S. Effect of nitrogen fertilization and ascorbic acid on growth, essential oil and chemical composition of rosemary plant. Zagazig J. Agric. Res. 2018, 45, 87–103. [Google Scholar] [CrossRef]
- Król, B. Yield and the chemical composition of flower heads of pot marigold (Calendula officinalis L. cv. Orange King) depending on nitrogen fertilization. Acta Sci. Pol. Hortorum Cultus 2011, 10, 235–243. [Google Scholar]
- Shahhoseini, R.; Saeidi, K.; Babaahmadi, H.; Ebadi, M.T. Effect of fertilizers and superabsorbent hydrogel on the yield, essential oil content and composition of lemon verbena (Lippia citriodora Kunth.) cultivated in Iran. J. Essent. Oil Bear. Plants 2018, 21, 230–236. [Google Scholar] [CrossRef]
- Xu, D.; Li, Y.; Meng, X.; Zhou, T.; Zhou, Y.; Zheng, J.; Zhang, J.; Li, H. Nautral antioxidants in foods and medicinal plants: Extraction, assessment and resources. Int. J. Mol. Sci. 2017, 18, 96. [Google Scholar] [CrossRef]
- Flórez-Fernández, N.; Ferreira-Anta, T.; Torres, M.D.; Domínguez, H. Valorization of Arnica montana wastes after extraction of the ethanol tincture: Application in polymer-based matrices. Polymers 2021, 13, 3121. [Google Scholar] [CrossRef]
- Gawlik-Dziki, U.; Świeca, M.; Sugier, D.; Cichocka, J. Comparison of in vitro lipoxygenase, xanthine oxidase inhibitory and antioxidant activity of Arnica montana and Arnica chamissonis tinctures. Acta. Sci. Pol. Hortorum Cultus 2011, 10, 15–27. [Google Scholar]
- Petrova, M.; Zayova, E.; Todorova, M.; Stanilova, M. Enhancement of Arnica montana in-vitro shoot multiplication and sesquiterpene lactones production using temporary immersion system. Int. J. Pharm. Sci. Res. 2014, 5, 5170–5176. [Google Scholar]
- Polish Pharmacopoeia VIII; The Republic of Poland, The Minister of Health: Warsaw, Poland, 2008.
- Polish Pharmacopoeia VI; The Republic of Poland, The Minister of Health: Warsaw, Poland, 2002.
- Złotek, U.; Karaś, M.; Gawlik-Dziki, U.; Szymanowska, U.; Baraniak, B.; Jakubczyk, A. Antioxidant activity of the aqueous and methanolic extracts of coffee beans (Coffea arabica L.). Acta Sci. Pol. Technol. Aliment. 2016, 15, 281–288. [Google Scholar] [CrossRef]
- Singleton, V.L.; Orthofer, R.; Lamuela-Raventos, R.M. Analysis of total phenols and other oxidation substrates and antioxidants by means of Folin-Ciocalteu reagent. Methods Enzymol. 1999, 299, 152–178. [Google Scholar]
- Guo, J.T.; Lee, H.L.; Chiang, S.H.; Lin, F.I.; Chang, C.Y. Antioxidant properties of the extracts from different parts of broccoli in Taiwan. J. Food Drug Anal. 2001, 9, 96–101. [Google Scholar] [CrossRef]
- Axelrod, B.; Cheesbrough, T.M.; Laakso, S. Lipoxygenase from Soybeans: EC 1.13.11.12 Linoleate: Oxygen oxidoreductase. Methods Enzymol. 1981, 71, 441–451. [Google Scholar]
- Su, X.Y.; Wang, Z.Y.; Liu, J.R. In vitro and in vivo antioxidant activity of Pinus koraiensis seed extract containing phenolic compounds. Food Chem. 2009, 117, 681–686. [Google Scholar] [CrossRef]
- Jakubowicz-Gil, J.; Bądziul, D.; Langner, E.; Wertel, I.; Zając, A.; Rzeski, W. Temozolomide and sorafenib as programmed cell death inducers of human glioma cells. Pharmacol. Rep. 2017, 69, 779–787. [Google Scholar] [CrossRef]







| Nitrogen Dose (kg ha−1) | F (%) | SL (%) | EO (%) |
|---|---|---|---|
| 0 | 0.43 d ± 0.027 | 1.18 cd ± 0.069 | 0.23 b ± 0.013 |
| 30 | 0.50 cd ± 0.027 | 1.26 bc ± 0.030 | 0.24 b ± 0.004 |
| 60 | 0.66 a ± 0.023 | 1.45 a ± 0.078 | 0.27 a ± 0.017 |
| 90 | 0.55 bc ± 0.044 | 1.37 ab ± 0.056 | 0.23 b ± 0.008 |
| 120 | 0.56 bc ± 0.033 | 1.09 d ± 0.084 | 0.22 b ± 0.014 |
| TPC (mg GAE/g DW) | CHEL (%) | LOX (%) | OH (%) | |
|---|---|---|---|---|
| Nitrogen (N) | F = 0.70 | F = 359.60 | F = 38.33 | F = 4.83 |
| p = 0.598 | p < 0.001 | p < 0.001 | p < 0.01 | |
| Solvent (S) | F = 585.17 | F = 526.86 | F = 83.61 | F = 20.19 |
| p < 0.001 | p < 0.001 | p < 0.001 | p < 0.001 | |
| N × S | F = 1.90 | F = 357.13 | F = 20.85 | F = 1.82 |
| p = 0.150 | p < 0.001 | p < 0.001 | p = 0.165 |
| Cell Line | HT29 | HeLa | SW620 | |||
|---|---|---|---|---|---|---|
| Apoptosis (%) | Necrosis (%) | Apoptosis (%) | Necrosis (%) | Apoptosis (%) | Necrosis (%) | |
| Nitrogen (N) | F = 193.41 | F = 128.60 | F = 13.83 | F = 65.61 | F = 63.49 | F = 2.58 |
| p < 0.001 | p < 0.001 | p < 0.001 | p < 0.001 | p < 0.01 | p < 0.05 | |
| Solvent (S) | F = 50.43 | F = 6.75 | F = 6.16 | F = 51.26 | F = 3289.32 | F = 17.48 |
| p < 0.001 | p < 0.05 | p < 0.05 | p < 0.001 | p < 0.01 | p < 0.001 | |
| Concentration (C) | F = 2738.75 | F = 1238.62 | F = 1849.40 | F = 18,008.19 | F = 598.19 | F = 1854.50 |
| p < 0.001 | p < 0.001 | p < 0.001 | p < 0.001 | p < 0.01 | p < 0.001 | |
| N × S | F = 8.49 | F = 2.060 | F = 6.24 | F = 15.71 | F = 43.32 | F = 0.661 |
| p < 0.001 | p = 0.097 | p < 0.001 | p < 0.001 | p < 0.01 | p = 0.622 | |
| N × C | F = 58.77 | F = 107.27 | F = 10.44 | F = 49.94 | F = 29.10 | F = 2.026 |
| p < 0.001 | p < 0.001 | p < 0.001 | p < 0.001 | p < 0.01 | p = 0.058 | |
| S × C | F = 21.75 | F = 7.89 | F = 1.72 | F = 218.27 | F = 995.32 | F = 27.89 |
| p < 0.001 | p < 0.001 | p = 0.187 | p < 0.001 | p < 0.01 | p < 0.001 | |
| N × S × C | F = 36.74 | F = 2.02 | F = 6.63 | F = 31.56 | F = 5.43 | F = 0.661 |
| p < 0.001 | p = 0.059 | p < 0.001 | p < 0.001 | p < 0.01 | p = 0.724 | |
Disclaimer/Publisher’s Note: The statements, opinions and data contained in all publications are solely those of the individual author(s) and contributor(s) and not of MDPI and/or the editor(s). MDPI and/or the editor(s) disclaim responsibility for any injury to people or property resulting from any ideas, methods, instructions or products referred to in the content. |
© 2022 by the authors. Licensee MDPI, Basel, Switzerland. This article is an open access article distributed under the terms and conditions of the Creative Commons Attribution (CC BY) license (https://creativecommons.org/licenses/by/4.0/).
Share and Cite
Sugier, D.; Sugier, P.; Jakubowicz-Gil, J.; Gawlik-Dziki, U.; Zając, A.; Król, B.; Chmiel, S.; Kończak, M.; Pięt, M.; Paduch, R. Nitrogen Fertilization and Solvents as Factors Modifying the Antioxidant and Anticancer Potential of Arnica montana L. Flower Head Extracts. Plants 2023, 12, 142. https://doi.org/10.3390/plants12010142
Sugier D, Sugier P, Jakubowicz-Gil J, Gawlik-Dziki U, Zając A, Król B, Chmiel S, Kończak M, Pięt M, Paduch R. Nitrogen Fertilization and Solvents as Factors Modifying the Antioxidant and Anticancer Potential of Arnica montana L. Flower Head Extracts. Plants. 2023; 12(1):142. https://doi.org/10.3390/plants12010142
Chicago/Turabian StyleSugier, Danuta, Piotr Sugier, Joanna Jakubowicz-Gil, Urszula Gawlik-Dziki, Adrian Zając, Beata Król, Stanisław Chmiel, Magdalena Kończak, Mateusz Pięt, and Roman Paduch. 2023. "Nitrogen Fertilization and Solvents as Factors Modifying the Antioxidant and Anticancer Potential of Arnica montana L. Flower Head Extracts" Plants 12, no. 1: 142. https://doi.org/10.3390/plants12010142
APA StyleSugier, D., Sugier, P., Jakubowicz-Gil, J., Gawlik-Dziki, U., Zając, A., Król, B., Chmiel, S., Kończak, M., Pięt, M., & Paduch, R. (2023). Nitrogen Fertilization and Solvents as Factors Modifying the Antioxidant and Anticancer Potential of Arnica montana L. Flower Head Extracts. Plants, 12(1), 142. https://doi.org/10.3390/plants12010142

