Contribution to the Preclinical Safety Assessment of Lannea velutina and Sorindeia juglandifolia Leaves
Abstract
1. Introduction
2. Results and Discussion
2.1. HPLC-UV/DAD Analysis
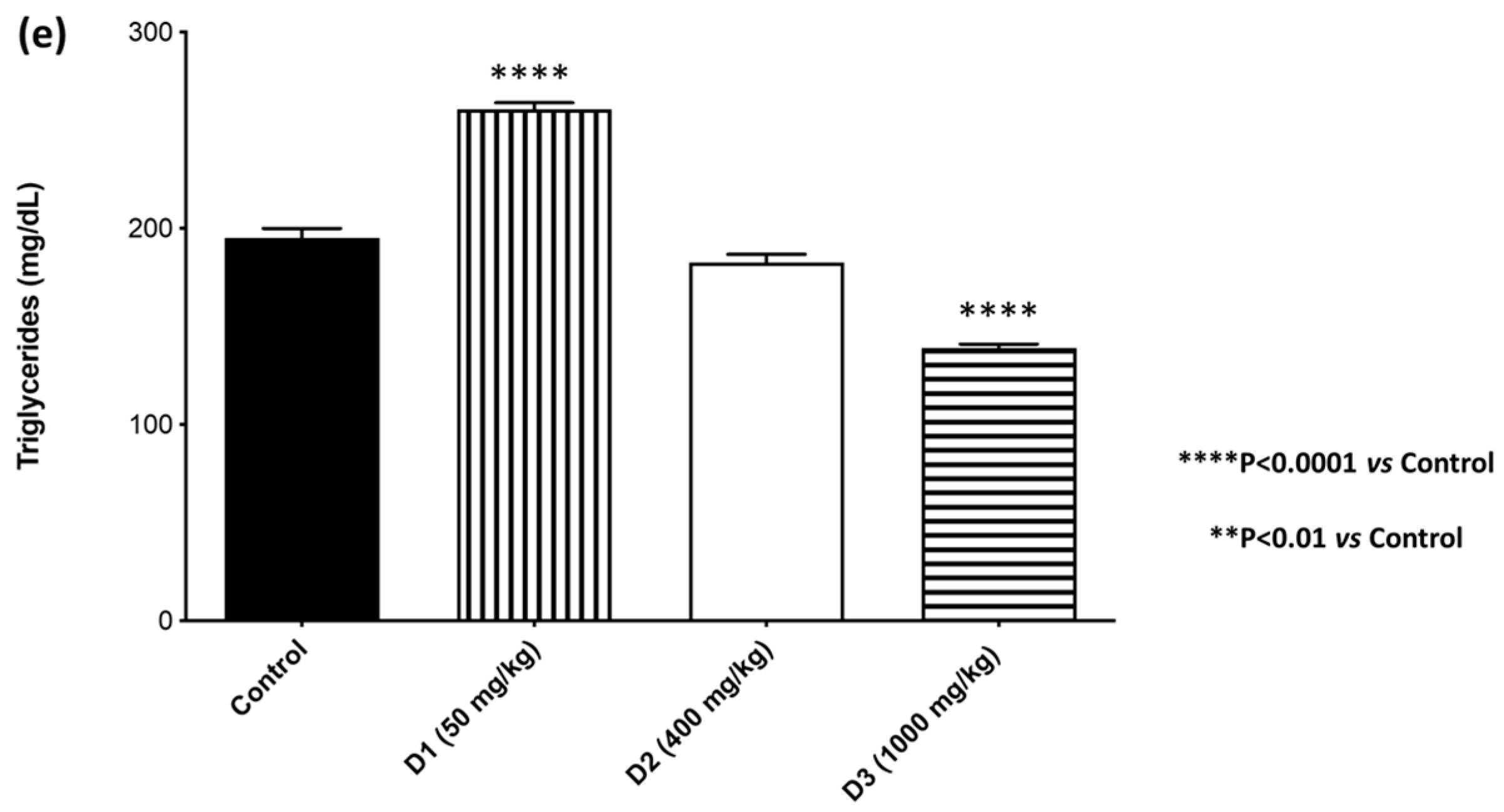
2.2. Repeated Dose Toxicity (28 Days)
2.3. Bacterial Reverse Mutation Assay (Ames Test)
3. Materials and Methods
3.1. Chemicals, Reference Items, and Metabolic Activation System
3.2. Plant Material
3.3. Preparation of Extracts
3.4. HPLC-UV/DAD
3.5. Repeated-Dose Toxicity (28 Days)
3.5.1. Animals
3.5.2. Experimental Protocol
3.5.3. Biochemical Analysis
3.6. Bacterial Reverse Mutation Assay (Ames Test)
3.7. Data Analysis
4. Conclusions
Supplementary Materials
Author Contributions
Funding
Institutional Review Board Statement
Informed Consent Statement
Data Availability Statement
Acknowledgments
Conflicts of Interest
References
- Hall, C.F.; Gil, A.d.S.B. Flora Das Cangas Da Serra Dos Carajás, Pará, Brasil: Anacardiaceae. Rodriguésia 2017, 68, 911–916. [Google Scholar] [CrossRef]
- Pell, S.K. Molecular Systematics of the Cashew Family; Louisiana State University and Agricultural and Mechanical College: Baton Rouge, LA, USA, 2004. [Google Scholar]
- Breteler, F. The African Genus Sorindeia (Anacardiaceae): A Synoptic Revision. Adansonia 2003, 25, 93–113. [Google Scholar]
- Kamkumo, R.G.; Ngoutane, A.M.; Ry Tchokouaha, L.; Vt Fokou, P.; Madiesse, E.A.; Legac, J.; Kezetas, J.J.; Lenta, B.N.; Boyom, F.F.; Dimo, T.; et al. Compounds from Sorindeia Juglandifolia (Anacardiaceae) Exhibit Potent Anti-Plasmodial Activities in Vitro and in Vivo. Malar. J. 2012, 11, 382. [Google Scholar] [CrossRef]
- Maiga, A.; Malterud, K.E.; Mathisen, G.H.; Paulsen, R.E.; Thomas-Oates, J.; Bergström, E.; Reubsaet, L.; Diallo, D.; Paulsen, B.S. Cell Protective Antioxidants from the Root Bark of Lannea velutina A. Rich., a Malian Medicinal Plant. Acad. J. 2007, 1, 66–79. [Google Scholar]
- Malterud, K.E. Ethnopharmacology, Chemistry and Biological Properties of Four Malian Medicinal Plants. Plants 2017, 6, 11. [Google Scholar] [CrossRef] [PubMed]
- Maiga, A.; Malterud, K.E.; Diallo, D.; Paulsen, B.S. Antioxidant and 1,5-Lipoxygenase Inhibitory Activities of the Malian Medicinal Plants Diospyros abyssinica (Hiern) F. White (Ebenaceae), Lannea velutina A. Rich (Anacardiaceae) and Crossopteryx febrifuga (Afzel) Benth. (Rubiaceae). J. Ethnopharmacol. 2006, 104, 132–137. [Google Scholar] [CrossRef] [PubMed]
- Danton, O.; Somboro, A.; Fofana, B.; Diallo, D.; Sidibé, L.; Rubat-Coudert, C.; Marchand, F.; Eschalier, A.; Ducki, S.; Chalard, P. Ethnopharmacological Survey of Plants Used in the Traditional Treatment of Pain Conditions in Mali. J. Herb. Med. 2019, 17–18, 100271. [Google Scholar] [CrossRef]
- Diallo, D.; Sogn, C.; Samaké, F.B.; Paulsen, B.S.; Michaelsen, T.E.; Keita, A. Wound Healing Plants in Mali, the Bamako Region. An Ethnobotanical Survey and Complement Fixation of Water Extracts from Selected Plants. Pharm. Biol. 2002, 40, 117–128. [Google Scholar] [CrossRef]
- Okoth, D.A.; Akala, H.M.; Johnson, J.D.; Koorbanally, N.A. Alkyl Phenols, Alkenyl Cyclohexenones and Other Phytochemical Constituents from Lannea rivae (Chiov) Sacleux (Anacardiaceae) and Their Bioactivity. Med. Chem. Res. 2016, 25, 690–703. [Google Scholar] [CrossRef]
- Diallo, D.; Marston, A.; Terreaux, C.; Toure, Y.; Paulsen, B.S.; Hostettmann, K. Screening of Malian Medicinal Plants for Antifungal, Larvicidal, Molluscicidal, Antioxidant and Radical Scavenging Activities. Phyther. Res. 2001, 15, 401–406. [Google Scholar] [CrossRef] [PubMed]
- Ouattara, L.; Koudou, J.; Zongo, C.; Barro, N.; Savadogo, A.; Bassole, I.H.N.; Ouattara, A.S.; Traore, A.S. Antioxidant and Antibacterial Activities of Three Species of Lannea from Burkina Faso. J. Appl. Sci. 2011, 11, 157–162. [Google Scholar] [CrossRef]
- Donfack, V.; Roque, S.; Trigo, G.; Tsouh Fokou, P.; Yamthe Tchokouaha, L.; Tsabang, N.; Amvam Zollo, P.; Correia-Neves, M.; Fekam Boyom, F. Antimycobacterial Activity of Selected Medicinal Plants Extracts from Cameroon. Int. J. Biol. Chem. Sci. 2014, 8, 273. [Google Scholar] [CrossRef]
- Ndongo, J.T.; Mbing, J.N.; Bikobo, D.N.; Atchadé, A.d.T.; Shaaban, M.; Pegnyemb, D.E.; Laatsch, H. A New C-Glucosylflavone from Sorindeia juglandifolia. Z. Nat. Sect. C J. Biosci. 2013, 68, 169–174. [Google Scholar]
- Alide, W.; Kamkumo Raceline, G.; Tsofack Florence, N.; Djomeni Paul Désiré, D.; Zibi Benoît, M.; Bekono Yannick, F.; Théophile, D. Aqueous Extract of Sorindeia juglandifolia Leaves Protects Methotrexate-Induced Liver and Kidney Damage in Rat. Trends J. Sci. Res. 2019, 4, 127–140. [Google Scholar] [CrossRef]
- Noudogbessi, J.P.; Alitonou, G.A.; Avlessi, F.; Figueredo, G.; Chalard, P.; Chalchat, J.C.; Sohounhloué, D.C.K. Physical Characteristics and Chemical Compositions of Leaves Extracts of Sorindeia grandifolia Engl. (Anacardiaceae) Harvested at Kato, Benin. Res. J. Recent Sci. 2013, 2, 31–35. [Google Scholar]
- Fokou, P.V.T.; Kissi-Twum, A.A.; Yeboah-Manu, D.; Appiah-Opong, R.; Addo, P.; Yamthe, L.R.T.; Mfopa, A.N.; Boyom, F.F.; Nyarko, A.K. In Vitro Activity of Selected West African Medicinal Plants against Mycobacterium ulcerans Disease. Molecules 2016, 21, 445. [Google Scholar] [CrossRef] [PubMed]
- Hong, C.E.; Lyu, S.Y. Genotoxicity Detection of Five Medicinal Plants in Nigeria. J. Toxicol. Sci. 2011, 36, 87–93. [Google Scholar] [CrossRef][Green Version]
- WHO. World Health Organization; WHO: Geneva, Switzerland, 2013; pp. 1–76.
- Shafaei, A.; Esmailli, K.; Farsi, E.; Aisha, A.F.A.; Abul Majid, A.M.S.; Ismail, Z. Genotoxicity, Acute and Subchronic Toxicity Studies of Nano Liposomes of Orthosiphon stamineus Ethanolic Extract in Sprague Dawley Rats. BMC Complement. Altern. Med. 2015, 15, 360. [Google Scholar] [CrossRef]
- Aydin, A.; Aktay, G.; Yesilada, E. A Guidance Manual for the Toxicity Assessment of Traditional Herbal Medicines. Nat. Prod. Commun. 2016, 11, 1763–1773. [Google Scholar] [CrossRef]
- Birdi, T.J.; Brijesh, S.; Daswani, P. Approaches towards the Preclinical Testing and Standardization of Medicinal Plants. In Proceedings of the South Asian Regional Conference on Traditional Medicine, Bangalore, India, 13–15 December 2006; pp. 103–119. [Google Scholar]
- Hwang, Y.H.; Kim, T.; Cho, W.K.; Yang, H.J.; Kwak, D.H.; Ha, H.; Song, K.H.; Ma, J.Y. In Vitro and in Vivo Genotoxicity Assessment of Aristolochia manshuriensis Kom. Evid.-Based Complement. Altern. Med. 2012, 2012, 412736. [Google Scholar] [CrossRef]
- OECD. OECD Guideline for Testing of Chemicals, Bacterial Reverse Mutation Test; Document No. 471; OECD: Paris, France, 2020. [Google Scholar]
- OECD. Test No. 407: Repeated Dose 28-Day Oral Toxicity Study in Rodents; OECD Guidelines for the Testing of Chemicals, Section 4; OECD: Paris, France, 2008. [Google Scholar]
- EMA; Committee on Herbal Medicinal Products (HMPC). Guideline on Non-Clinical Documentation in Applications for Marketing Authorisation/Registration of Well-Established and Traditional Herbal Medicinal Products; HMPC: London, UK, 2018. [Google Scholar]
- Kelber, O.; Wegener, T.; Steinhoff, B.; Staiger, C.; Wiesner, J.; Knöss, W.; Kraft, K. Assessment of Genotoxicity of Herbal Medicinal Products: Application of the “Bracketing and Matrixing” Concept Using the Example of Valerianae Radix (Valerian Root). Phytomedicine 2014, 21, 1124–1129. [Google Scholar] [CrossRef] [PubMed]
- Encarnacão, S.; de Mello-sampayo, C.; Grac, N.A.G.; Moreira, I.B.; Lima, B.S.; Maria, O.; Silva, D.; Encarnação, S.; de Mello-Sampayo, C.; Graça, N.A.G.; et al. Total Phenolic Content, Antioxidant Activity and Pre-Clinical Safety Evaluation of an Anacardium occidentale Stem Bark Portuguese Hypoglycemic Traditional Herbal Preparation. Ind. Crop. Prod. 2016, 82, 171–178. [Google Scholar] [CrossRef]
- Grácio, M.; Rocha, J.; Pinto, R.; Boavida Ferreira, R.; Solas, J.; Eduardo-Figueira, M.; Sepodes, B.; Ribeiro, A.C. A Proposed Lectin-Mediated Mechanism to Explain the in Vivo Antihyperglycemic Activity of γ-Conglutin from Lupinus albus Seeds. Food Sci. Nutr. 2021, 9, 5980–5996. [Google Scholar] [CrossRef] [PubMed]
- Wei, Q.; Dong, Z. Mouse Model of Ischemic Acute Kidney Injury: Technical Notes and Tricks. Am. J. Physiol. Ren. Physiol. 2012, 303, F1487. [Google Scholar] [CrossRef]
- De Souza, P.; Mariano, L.N.B.; Cechinel-Zanchett, C.C.; Cechinel-Filho, V. Promising Medicinal Plants with Diuretic Potential Used in Brazil: State of the Art, Challenges, and Prospects. Planta Med. 2021, 87, 24–37. [Google Scholar] [CrossRef]
- Villas-Boas, G.R.; Paes, M.M.; Gubert, P.; Oesterreich, S.A. Evaluation of the Toxic Potential of the Aqueous Extract from Mangifera indica Linn. (Anacardiaceae) in Rats Submitted to Experimental Models of Acute and Subacute Oral Toxicity. J. Ethnopharmacol. 2021, 275, 114100. [Google Scholar] [CrossRef]
- Rajalakshmi, K.; Devaraj, H.; Niranjali Devaraj, S. Assessment of the No-Observed-Adverse-Effect Level (Noael) of Gallic Acid in Mice. Food Chem. Toxicol. 2001, 39, 919–922. [Google Scholar] [CrossRef]
- Shin, K.Y.; Won, B.Y.; Ha, H.J.; Yun, Y.S.; Lee, H.G. Genotoxicity Studies on the Root Extract of Polygala tenuifolia Willdenow. Regul. Toxicol. Pharmacol. 2015, 71, 365–370. [Google Scholar] [CrossRef]
- ICH. S2(R1) Guidance on Genotoxicity Testing and Data Interpretation for Pharmaceuticals Intended for Human Use. In International Conference on Harmonization (ICH) Consensus Guideline; Step 4 Version of November ICH Guideline; ICH: Geneva, Switzerland, 2011. [Google Scholar]
- Verschaeve, L. Genotoxicity and Antigenotoxicity Studies of Traditional Medicinal Plants: How Informative and Accurate Are the Results? Nat. Prod. Commun. 2015, 10, 1489–1493. [Google Scholar] [CrossRef] [PubMed]
- Maron, D.M.; Ames, B.N. Revised Methods for the Salmonella Mutagenicity Test. Mutat. Res. Mutagen. Relat. Subj. 1983, 113, 173–215. [Google Scholar] [CrossRef]
- Mortelmans, K.; Zeiger, E. The Ames Salmonella/Microsome Mutagenicity Assay. Mutat. Res. Fundam. Mol. Mech. Mutagen. 2000, 455, 29–60. [Google Scholar] [CrossRef] [PubMed]
- Levin, D.E.; Hollstein, M.; Christman, M.F.; Schwiers, E.A.; Ames, B.N. A New Salmonella Tester Strain (TA102) with A X T Base Pairs at the Site of Mutation Detects Oxidative Mutagens. Proc. Natl. Acad. Sci. USA 1982, 79, 7445–7449. [Google Scholar] [CrossRef] [PubMed]
- Sponchiado, G.; Adam, M.L.; Silva, C.D.; Silva Soley, B.; De Mello-Sampayo, C.; Cabrini, D.A.; Correr, C.J.; Otuki, M.F. Quantitative Genotoxicity Assays for Analysis of Medicinal Plants: A Systematic Review. J. Ethnopharmacol. 2016, 178, 289–296. [Google Scholar] [CrossRef] [PubMed]
- Verschaeve, L.; Van Staden, J. Mutagenic and Antimutagenic Properties of Extracts from South African Traditional Medicinal Plants. J. Ethnopharmacol. 2008, 119, 575–587. [Google Scholar] [CrossRef]
- Dantas, F.G.; Castilho, P.F.; Almeida-Apolonio, A.A.; Araújo, R.P.; Oliveira, K.M.P. Mutagenic Potential of Medicinal Plants Evaluated by the Ames Salmonella/Microsome Assay: A Systematic Review. Mutat. Res. Mutat. Res. 2020, 786, 108338. [Google Scholar] [CrossRef]
- Sohni, Y.R.; Davis, C.L.; Deschamps, A.B.; Kale, P.G. Frameshift Mutations in Salmonella Induced by the Extracts of Medicinal Herbs Lannea edulis (Sond.) Engl. and Monotes glaber Sprague. Environ. Mol. Mutagen. 1995, 25, 77–82. [Google Scholar] [CrossRef]
- Rashid, K.A.; Baldwin, I.T.; Babish, J.G.; Schultz, J.C.; Mumma, R.O. Mutagenicity Tests with Gallic and Tannic Acid in the Salmonella/Mammalian Microsome Assay. J. Environ. Sci. Health Part B 1985, 20, 153–165. [Google Scholar] [CrossRef]
- Shruthi, S.; Shenoy, K.B. Gallic Acid: A Promising Genoprotective and Hepatoprotective Bioactive Compound against Cyclophosphamide Induced Toxicity in Mice. Environ. Toxicol. 2021, 36, 123–131. [Google Scholar] [CrossRef]
- Pereira, P.; Mauricio, E.M.; Duarte, M.P.; Lima, K.; Fernandes, A.S.; Bernardo-Gil, G.; Cebola, M.J. Potential of Supercritical Fluid Myrtle Extracts as an Active Ingredient and Co-Preservative for Cosmetic and Topical Pharmaceutical Applications. Sustain. Chem. Pharm. 2022, 28, 100739. [Google Scholar] [CrossRef]








| Lannea velutina leaf hydroethanolic extract (70%): number of revertant colonies without metabolic activation, mean (n = 3), and standard deviation (SD) | |||||
| µg/plate | TA 98 | TA 100 | TA 102 | TA 1535 | TA 1537 |
| 250 | 34 ± 1 | 149 ± 13 | 272 ± 3 | 14 ± 1 | 11 ± 3 |
| 625 | 36 ± 3 | 131 ± 6 | 269 ± 3 | 14 ± 1 | 9 ± 2 |
| 1250 | 40 ± 2 | 117 ± 8 | 270 ± 2 | 14 ± 1 | 7 ± 2 |
| 2500 | 46 ± 3 | 125 ± 6 | 267 ± 2 | 11 ± 4 | 5 ± 1 |
| 3750 | 41 ± 2 | 119 ± 2 | 262 ± 5 | 9 ± 5 | 4 ± 1 |
| 5000 | 37 ± 2 | 123 ± 4 | 210 ± 6 | 5 ± 3 | 10 ± 2 |
| NC | 27 ± 3 | 147 ± 18 | 276 ± 10 | 15 ± 4 | 9 ± 3 |
| PC | 488 ± 30 | 1048 ± 43.2 | 881± 26 | 827 ± 13 | 1354 ± 45 |
| PCr | a | b | c | a | d |
| Lannea velutina leaf hydroethanolic extract (70%): number of revertant colonies with metabolic activation, mean (n = 3), and standard deviation (SD) | |||||
| 625 | 54 ± 1 | 164 ± 1 | 149 ± 8 | 17 ± 1 | 18 ± 1 |
| 1250 | 55 ± 6 | 179 ± 10 | 182 ± 1 | 17 ± 1 | 15 ± 3 |
| 2500 | 66 ± 1 | 175 ± 7 | 165 ± 8 | 13 ± 2 | 13 ± 1 |
| 5000 | 58 ± 7 | 158 ± 1 | 167 ± 16 | 16 ± 1 | 6 ± 1 |
| NC | 47 ± 4 | 157 ± 6 | 172 ± 2 | 11 ± 2 | 12 ± 1 |
| PC | 832 ± 35 | 947 ± 148 | 732 ± 12 | 266 ± 1 | 306 ± 50 |
| PCr | e | f | e | e | e |
| Sorindeia juglandifolia leaf hydroethanolic extract (70%): number of revertant colonies without metabolic activation, mean (n = 3), and standard deviation (SD) | |||||
| µg/plate | TA 98 | TA 100 | TA 102 | TA 1535 | TA 1537 |
| 250 | 25 ± 7 | 144 ± 6 | 261 ± 2 | 15 ± 2 | 16 ± 3 |
| 625 | 29 ± 4 | 136 ± 9 | 265 ± 1 | 14 ± 2 | 4 ± 1 |
| 1250 | 39 ± 3 | 126 ± 5 | 275 ± 3 | 12 ± 1 | 6 ± 1 |
| 2500 | 43 ± 11 | 120 ± 14 | 262 ± 2 | 12 ± 2 | 8 ± 1 |
| 3750 | 37 ± 4 | 113 ± 9 | 284 ± 5 | 14 ± 1 | 8 ± 4 |
| 5000 | 31 ± 4 | 136 ± 12 | 256 ± 1 | 13 ± 3 | 10 ± 1 |
| NC | 27 ± 3 | 147 ± 18 | 276 ± 10 | 15 ± 4 | 9 ± 3 |
| PC | 488 ± 30 | 1048 ± 43 | 881 ± 26 | 827 ± 13 | 1354 ± 5 |
| PCr | a | b | c | a | d |
| Sorindeia juglandifolia leaf hydroethanolic extract (70%): number of revertant colonies with metabolic activation, mean (n = 3), and standard deviation (SD) | |||||
| µg/plate | TA 98 | TA 100 | TA 102 | TA 1535 | TA 1537 |
| 625 | 54 ± 3 | 146 ± 18 | 177 ±1 | 16 ± 4 | 15 ± 2 |
| 1250 | 54 ± 8 | 159 ± 5 | 179 ± 11 | 11 ±1 | 19 ± 1 |
| 2500 | 55 ± 4 | 156 ± 9 | 177 ± 13 | 19 ± 1 | 19 ±3 |
| 5000 | 46 ± 6 | 148 ± 14 | 175 ± 2 | 16 ± 3 | 5 ± 1 |
| NC | 47 ± 4 | 157 ± 6 | 172 ± 2 | 11 ± 2 | 12 ± 1 |
| PC | 832 ± 35 | 947 ± 148 | 732 ± 12 | 266 ± 1 | 306 ± 50 |
| PCr | e | f | e | e | e |
| Strains | Positive Control References without S9 | Positive Control References with S9 |
|---|---|---|
| TA98 | 2–nitrofluorene (5 µg/plate) | 2–aminoanthracene (2 µg/plate) |
| TA100 | sodium azide (1.5 µg/plate) | Benzo(a)pyrene (5 µg/plate) |
| TA102 | Tert–butyl hydroperoxide (50 µg/plate) | 2–aminoanthracene (10 µg/plate) |
| TA1535 | sodium azide (1.5 µg/plate) | 2–aminoanthracene (10 µg/plate) |
| TA1537 | 9–aminoacridine (100 µg/plate) | 2–aminoanthracene (10 µg/plate) |
Disclaimer/Publisher’s Note: The statements, opinions and data contained in all publications are solely those of the individual author(s) and contributor(s) and not of MDPI and/or the editor(s). MDPI and/or the editor(s) disclaim responsibility for any injury to people or property resulting from any ideas, methods, instructions or products referred to in the content. |
© 2022 by the authors. Licensee MDPI, Basel, Switzerland. This article is an open access article distributed under the terms and conditions of the Creative Commons Attribution (CC BY) license (https://creativecommons.org/licenses/by/4.0/).
Share and Cite
Malú, Q.; Lima, K.; Malmir, M.; Pinto, R.; da Silva, I.M.; Catarino, L.; Duarte, M.P.; Serrano, R.; Rocha, J.; Lima, B.S.; et al. Contribution to the Preclinical Safety Assessment of Lannea velutina and Sorindeia juglandifolia Leaves. Plants 2023, 12, 130. https://doi.org/10.3390/plants12010130
Malú Q, Lima K, Malmir M, Pinto R, da Silva IM, Catarino L, Duarte MP, Serrano R, Rocha J, Lima BS, et al. Contribution to the Preclinical Safety Assessment of Lannea velutina and Sorindeia juglandifolia Leaves. Plants. 2023; 12(1):130. https://doi.org/10.3390/plants12010130
Chicago/Turabian StyleMalú, Quintino, Katelene Lima, Maryam Malmir, Rui Pinto, Isabel Moreira da Silva, Luís Catarino, Maria Paula Duarte, Rita Serrano, João Rocha, Beatriz Silva Lima, and et al. 2023. "Contribution to the Preclinical Safety Assessment of Lannea velutina and Sorindeia juglandifolia Leaves" Plants 12, no. 1: 130. https://doi.org/10.3390/plants12010130
APA StyleMalú, Q., Lima, K., Malmir, M., Pinto, R., da Silva, I. M., Catarino, L., Duarte, M. P., Serrano, R., Rocha, J., Lima, B. S., & Silva, O. (2023). Contribution to the Preclinical Safety Assessment of Lannea velutina and Sorindeia juglandifolia Leaves. Plants, 12(1), 130. https://doi.org/10.3390/plants12010130

