Genetic Diversity, Population Structure and Subset Development in a Sesbania sesban Collection
Abstract
1. Introduction
2. Results
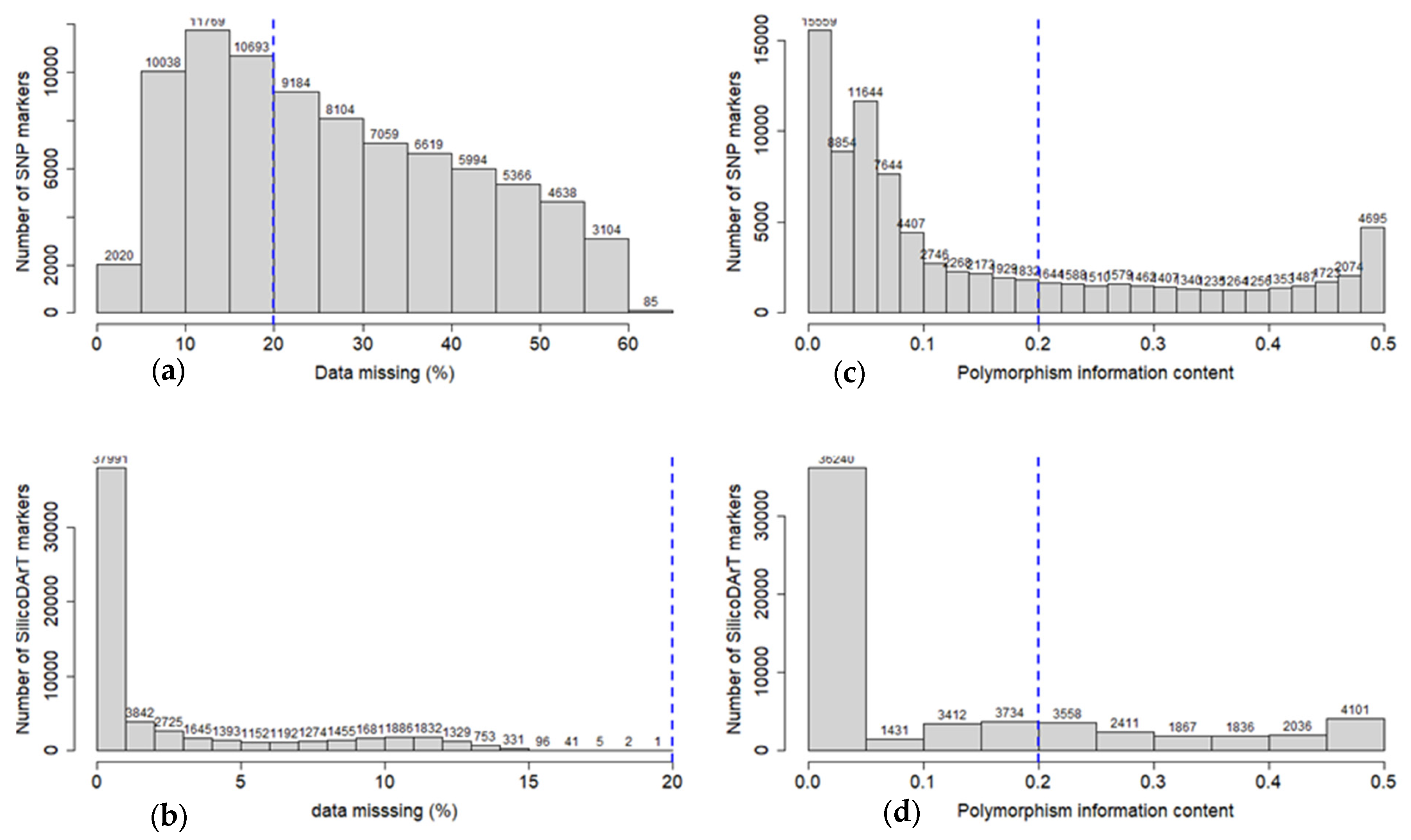
2.1. Informativeness and Diversity of the DArTseq Markers
2.2. Mapping and Genome-Wide Distribution of the DArTSeq Markers
2.3. Between and Within Accession Genetic Diversity
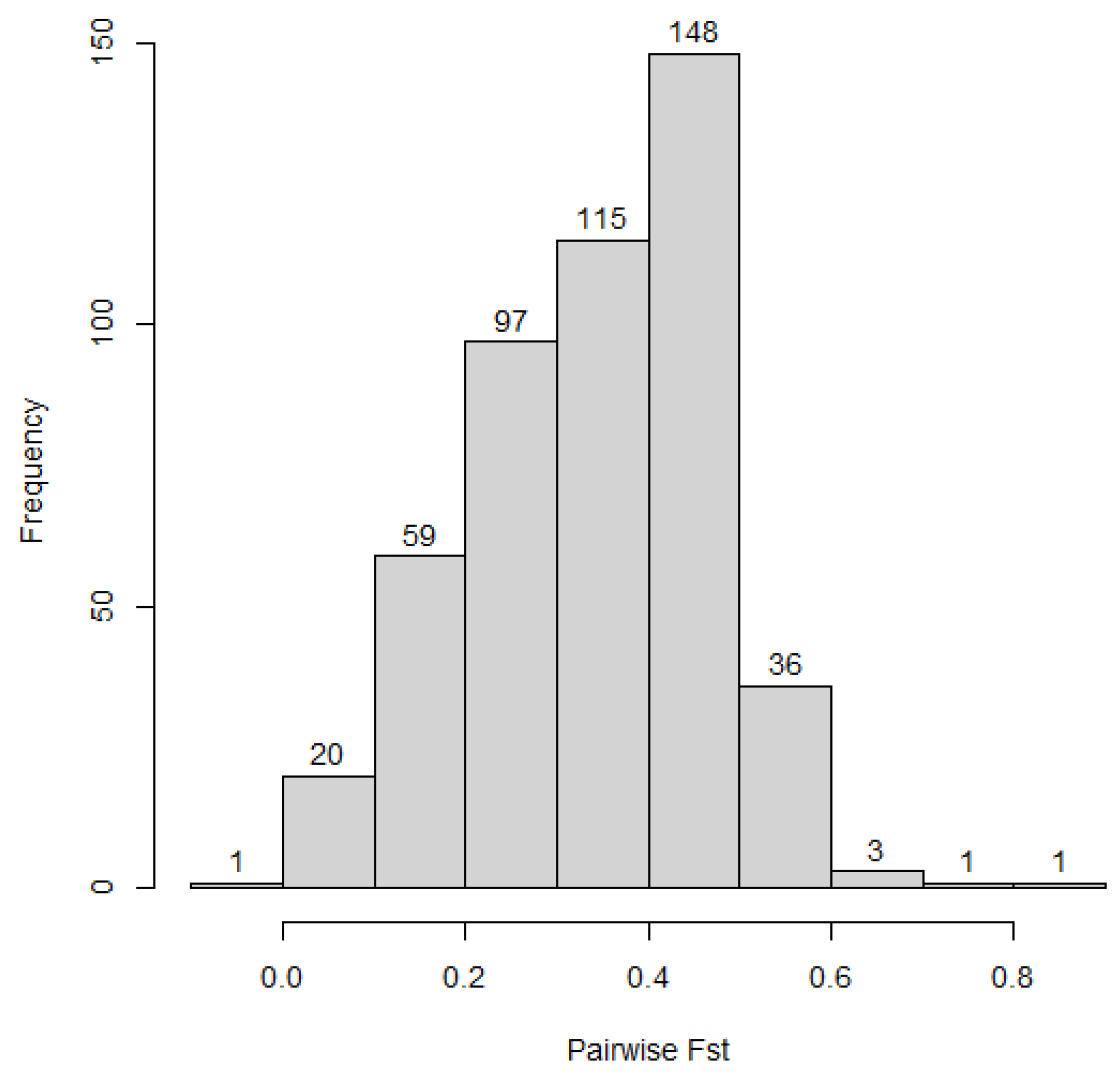
2.4. Genetic Diversity and Population Structure Detected in the Collection
2.5. Subset Development
3. Discussion
3.1. Genotyping and Informativeness of DArTSeq Markers
3.2. Mapping Sesbania sesban DArTSeq markers onto the Reference Genomes of Closely Related Legume Species
3.3. Genetic Diversity and Population Structure in the Collection
3.4. Subset Development
3.5. Gap Analysis and Identification of Niche Diversity to Broaden the Genetic Basis of the Collection
4. Materials and Methods
4.1. Plant Materials
4.2. DNA Extraction and Genotyping
4.3. Data Analysis
5. Conclusions
Supplementary Materials
Author Contributions
Funding
Data Availability Statement
Acknowledgments
Conflicts of Interest
References
- Heuzé, V.; Tran, G.; Bastianelli, D.; Lebas, F. Sesban (Sesbania sesban). Feedipedia, A Programme by INRAE, CIRAD, AFZ and FAO.2015. Available online: https://www.feedipedia.org/node/253 (accessed on 17 March 2022).
- Cook, B.G.; Pengelly, B.C.; Schultze-Kraft, R.; Taylor, M.; Burkart, S.; Cardoso Arango, J.A.; González Guzmán, J.J.; Cox, K.; Jones, C.; Peters, M. Tropical Forages: An Interactive Selection Tool, 2nd ed.; International Center for Tropical Agriculture (CIAT), Cali, Colombia and International Livestock Research Institute (ILRI): Nairobi, Kenya, 2020; Available online: www.tropicalforages.info (accessed on 17 March 2022).
- Orwa, C.; Mutua, A.; Kindt, R.; Jamnadass, R.; Simons, A. Agroforestree Database: A Tree Reference and Selection Guide, version 4; World Agroforestry Centre: Nairobi, Kenya, 2009; Available online: http://worldagroforestry.org/output/agroforestree-database (accessed on 17 March 2022).
- Heering, J.H.; Hanson, J. Karyotype analysis and interspecific hybridization in 3 perennial Sesbania Species (Leguminosae). Euphytica 1993, 71, 21–28. [Google Scholar] [CrossRef]
- Soliman, M.I.; Ibrahim, A.A.; Samaan, L.Z.; Sedky, E. Comparative studies between annual and perennial Sesbania using karyological, biochemical and molecular studies. J. Appl. Sci. 2019, 19, 593–604. [Google Scholar] [CrossRef][Green Version]
- Gebremariam, G.; Nemomissa, S.; Demissie, A.; Hanson, J. The mating system of Sesbania sesban (L.) Merr. (Leguminosae). SINET Ethiop. J. Sci. 2002, 25, 177–190. [Google Scholar] [CrossRef]
- Nigussie, Z.; Alemayehu, G. Sesbania sesban (L.) Merrill: Potential uses of an underutilized multipurpose tree in Ethiopia. Afr. J. Plant Sci. 2013, 7, 468–475. [Google Scholar] [CrossRef]
- Muimba-Kankolongo, A. Common cultivation practices. In Food Crop Production by Smallholder Farmers in Southern Africa; Muimba-Kankolongo, A., Ed.; Academic Press: Cambridge, MA, USA, 2018; pp. 49–58. [Google Scholar]
- Jamnadass, R.; Hanson, J.; Poole, J.; Hanotte, O.; Simons, T.J.; Dawson, I.K. High differentiation among populations of the woody legume Sesbania sesban in sub-Saharan Africa: Implications for conservation and cultivation during germplasm introduction into agroforestry systems. For. Ecol Manag. 2005, 210, 225–238. [Google Scholar] [CrossRef]
- Karachi, M.K.; Matata, Z. Forage and seed yields, mortality and nutritive value of Sesbania sesban under unimodal rainfall in Tanzania. J. Trop. For. Sci. 2000, 12, 238–246. [Google Scholar]
- Sileshi, G.; Ogol, C.K.P.O.; Sithanantham, S.; Rao, M.R.; Baumgärtner, J.; Maghembe, J.A.; Mafongoya, P.L. Resistance of Sesbania accessions to Mesoplatys ochroptera Stål (Coleoptera: Chrysomelidae). Insect Sci. Its Appl. 2011, 21, 139–153. [Google Scholar] [CrossRef]
- Russell, J.R.; Hedley, P.E.; Cardle, L.; Dancey, S.; Morris, J.; Booth, A.; Odee, D.; Mwaura, L.; Omondi, W.; Angaine, P.; et al. TropiTree: An NGS-based EST-SSR resource for 24 tropical tree species. PLoS ONE 2014, 9, e102502. [Google Scholar] [CrossRef]
- Kilian, A.; Wenzl, P.; Huttner, E.; Carling, J.; Xia, L.; Blois, H.; Caig, V.; Heller-Uszynska, K.; Jaccoud, D.; Hopper, C.; et al. Diversity arrays technology: A generic genome profiling technology on open platforms. Methods Mol. Biol. 2012, 888, 67–89. [Google Scholar]
- Pecrix, Y.; Staton, S.E.; Sallet, E.; Lelandais-Briere, C.; Moreau, S.; Carrere, S.; Blein, T.; Jardinaud, M.F.; Latrasse, D.; Zouine, M.; et al. Whole-genome landscape of Medicago truncatula symbiotic genes. Nat. Plants 2018, 4, 1017–1025. [Google Scholar] [CrossRef]
- Sato, S.; Nakamura, Y.; Kaneko, T.; Asamizu, E.; Kato, T.; Nakao, M.; Sasamoto, S.; Watanabe, A.; Ono, A.; Kawashima, K.; et al. Genome structure of the legume, Lotus japonicus. DNA Res. 2008, 15, 227–239. [Google Scholar] [CrossRef]
- Kreplak, J.; Madoui, M.A.; Capal, P.; Novak, P.; Labadie, K.; Aubert, G.; Bayer, P.E.; Gali, K.K.; Syme, R.A.; Main, D.; et al. A reference genome for pea provides insight into legume genome evolution. Nat. Genet. 2019, 51, 1411–1426. [Google Scholar] [CrossRef] [PubMed]
- Hijmans, R.J. Geosphere: Spherical Trigonometry. R Package Version 1.5-14. 2021. Available online: https://CRAN.R-project.org/package=geosphere (accessed on 18 March 2022).
- Zheng, X.; Levine, D.; Shen, J.; Gogarten, S.M.; Laurie, C.; Weir, B.S. A high-performance computing toolset for relatedness and principal component analysis of SNP data. Bioinformatics 2012, 28, 3326–3328. [Google Scholar] [CrossRef] [PubMed]
- Wojciechowski, M.F.; Lavin, M.; Sanderson, M.J. A phylogeny of legumes (Leguminosae) based on analyses of the plastid matK gene resolves many well-supported subclades within the family. Am. J. Bot. 2004, 91, 1846–1862. [Google Scholar] [CrossRef] [PubMed]
- Bertioli, D.J.; Moretzsohn, M.C.; Madsen, L.H.; Sandal, N.; Leal-Bertioli, S.C.M.; Guimaraes, P.M.; Hougaard, B.K.; Fredslund, J.; Schauser, L.; Nielsen, A.M.; et al. An analysis of synteny of Arachis with Lotus and Medicago sheds new light on the structure, stability and evolution of legume genomes. BMC Genom. 2009, 10, 45. [Google Scholar] [CrossRef] [PubMed]
- Muktar, M.S.; Teshome, A.; Hanson, J.; Negawo, A.T.; Habte, E.; Entfellner, J.B.D.; Lee, K.W.; Jones, C.S. Genotyping by sequencing provides new insights into the diversity of Napier grass (Cenchrus purpureus) and reveals variation in genome-wide LD patterns between collections. Sci. Rep. 2019, 9, 6936. [Google Scholar] [CrossRef] [PubMed]
- Negawo, A.T.; Assefa, Y.; Hanson, J.; Abdena, A.; Muktar, M.S.; Habte, E.; Sartie, A.M.; Jones, C.S. Genotyping-by-sequencing reveals population structure and genetic diversity of a Buffelgrass (Cenchrus ciliaris L.) collection. Diversity 2020, 12, 88. [Google Scholar] [CrossRef]
- Negawo, A.T.; Muktar, M.S.; Assefa, Y.; Hanson, J.; Sartie, A.M.; Habte, E.; Jones, C.S. Genetic diversity and population structure of a Rhodes grass (Chloris gayana) collection. Genes 2021, 12, 1233. [Google Scholar] [CrossRef]
- Bolibok-Bragoszewska, H.; Targonska, M.; Bolibok, L.; Kilian, A.; Rakoczy-Trojanowska, M. Genome-wide characterization of genetic diversity and population structure in Secale. BMC Plant Biol. 2014, 14, 184. [Google Scholar] [CrossRef]
- Wimmer, V.; Albrecht, T.; Auinger, H.-J.; Schon, C.-C. synbreed: A framework for the analysis of genomic prediction data using R. Bioinformatics 2012, 28, 2086–2087. [Google Scholar] [CrossRef]
- Nei, M. Analysis of gene diversity in subdivided populations. Proc. Natl. Acad. Sci. USA 1973, 70, 3321–3323. [Google Scholar] [CrossRef] [PubMed]
- Wickham, H. Stringr: Simple, Consistent Wrappers for Common String Operations; R Package Version 1.4.0. 2017. Available online: https://cran.r-project.org/web/packages/stringr/index.html (accessed on 12 April 2020).
- Kamvar, Z.N.; Tabima, J.F.; Grünwald, N.J. Poppr: An R package for genetic analysis of populations with clonal, partially clonal, and/or sexual reproduction. Peerj 2014, 2, e281. [Google Scholar] [CrossRef] [PubMed]
- Weir, B.S.; Cockerham, C.C. Estimating F-Statistics for the analysis of population structure. Evolution 1984, 38, 1358–1370. [Google Scholar] [PubMed]
- Weir, B.S.; Hill, W.G. Estimating F-Statistics. Annu. Rev. Genet. 2002, 36, 721–750. [Google Scholar] [CrossRef]
- Oksanen, J.; Blanchet, F.G.; Kindt, R.; Legendre, P.; Minchin, P.R.; O’Hara, R.B.; Simpson, G.L.; Solymos, P.; Stevens, M.H.H.; Wagner, H. Vegan: Community Ecology Package. 2022. Available online: https://CRAN.R-project.org/package=vegan (accessed on 30 November 2022).
- Galili, T. dendextend: An R package for visualizing, adjusting and comparing trees of hierarchical clustering. Bioinformatics 2015, 31, 3718–3720. [Google Scholar] [CrossRef]
- Kassambara, A.; Mund, F. Factoextra: Extract and Visualize the Results of Multivariate Data Analyses. 2017. Available online: https://cran.r-project.org/web/packages/factoextra/factoextra.pdf (accessed on 15 August 2019).
- Jombart, T. adegenet: A R package for the multivariate analysis of genetic markers. Bioinformatics 2008, 24, 1403–1405. [Google Scholar] [CrossRef]
- Falush, D.; Stephens, M.; Pritchard, J.K. Inference of population structure using multilocus genotype data: Linked loci and correlated allele frequencies. Genetics 2003, 164, 1567–1587. [Google Scholar] [CrossRef]
- Pritchard, J.K.; Stephens, M.; Donnelly, P. Inference of population structure using multilocus genotype data. Genetics 2000, 155, 945–959. [Google Scholar] [CrossRef]
- Earl, D.A.; VonHoldt, B.M. Structure Harvester: A website and program for visualizing Structure output and implementing the Evanno method. Conserv. Genet. Resour. 2012, 4, 359. [Google Scholar] [CrossRef]
- Evanno, G.; Regnaut, S.; Goudet, J. Detecting the number of clusters of individuals using the software STRUCTURE: A simulation study. Mol. Ecol. 2005, 14, 2611–2620. [Google Scholar] [CrossRef]
- De Beukelaer, H.; Davenport, G.F.; Fack, V. Core Hunter 3: Flexible core subset selection. BMC Bioinform. 2018, 19, 203. [Google Scholar] [CrossRef] [PubMed]









| Reference Genomes | Number and Percentage of Markers Mapped | |||
|---|---|---|---|---|
| SNP (N = 84,673) | SilicoDArT (N = 60,626) | |||
| Number | Percentage | Number | Percentage | |
| Sesbania sesban * | 15,234 | 17.99 | 5483 | 9.04 |
| Lotus japonicus | 3724 | 4.39 | 1144 | 1.89 |
| Pisum sativum | 3344 | 3.95 | 1319 | 2.17 |
| Medicago truncatula | 2790 | 3.29 | 864 | 1.43 |
| Marker Type | Source of Variation | Degrees of Freedom | Sum of Squares | Mean Sum of Squares | Sigma | Variation (%) | Phi | p-Value |
|---|---|---|---|---|---|---|---|---|
| SNP * | Between accessions | 167 | 1,143,711 | 6848.57 | 469.73 | 47.27 | 0.473 | 0.001 |
| Within accessions | 2098 | 1,099,140 | 523.90 | 523.90 | 52.73 | |||
| Total | 2265 | 2,242,851 | 990.22 | 993.63 | ||||
| SilicoDArT ** | Between accessions | 167 | 3,669,694 | 21,974.22 | 1415.08 | 32.64 | ||
| Within accessions | 2098 | 6,128,065 | 2920.91 | 2920.91 | 67.36 | 0.326 | 0.001 | |
| Total | 2265 | 9,797,759 | 4325.72 | 4335.99 | 100.00 |
| Method | Marker | Source of Variation | Degrees of Freedom | Sum of Squares | Mean Sum of Squares | Sigma | Variation (%) | Phi | p-Value |
|---|---|---|---|---|---|---|---|---|---|
| Hierarchical clustering | SNP | Between clusters | 3 | 658,336.00 | 219,445.32 | 389.16 | 35.72 | 0.357 | 0.001 |
| Within clusters | 2262 | 1,584,176.00 | 700.34 | 700.34 | 64.28 | ||||
| Total | 2265 | 2,242,512.00 | 990.071 | 1089.50 | 100.00 | ||||
| Structure analysis | SNP | Between clusters | 3 | 17,241.71 | 5747.24 | 10.47 | 1.05 | 0.011 | 0.001 |
| Within clusters | 2262 | 2,225,608.85 | 983.91 | 983.91 | 98.95 | ||||
| Total | 2265 | 2,242,850.56 | 990.22 | 994.38 | 100.00 | ||||
| Hierarchical clustering | SilicoDArT | Between clusters | 3 | 1,988,965.00 | 662,988.26 | 1251.49 | 26.61 | 0.266 | 0.001 |
| Within clusters | 2262 | 7,808,795.00 | 3452.16 | 3452.16 | 73.39 | ||||
| Total | 2265 | 9,797,759.00 | 4325.72 | 4703.65 | 100.00 |
| Marker | Source of Variation | Degrees of Freedom | Sum of Squares | Mean Sum of Squares | Sigma | Variation (%) | Phi | p-Value |
|---|---|---|---|---|---|---|---|---|
| SNP | Between populations | 25 | 501,209.8 | 20,048.39 | 256.36 | 24.80 | 0.248 | 0.001 |
| Within populations | 2240 | 1,741,640.8 | 777.52 | 777.52 | 75.20 | |||
| Total | 2265 | 2,242,850.6 | 990.22 | 1033.88 | 100.00 | |||
| SilicoDArT | Between populations | 25 | 1,506,995.0 | 60,279.82 | 752.66 | 16.90 | 0.169 | 0.001 |
| Within populations | 2240 | 8,290,764.0 | 3701.23 | 3701.23 | 83.10 | |||
| Total | 2265 | 9,797,759.0 | 4325.72 | 4453.90 | 100.00 |
| DOI | Accession Code | Country of Origin | Latitude | Longitude | Elevation |
|---|---|---|---|---|---|
| 10.18730/G7QE= | 920 | Tanzania | −1.3821 | 34.2823 | |
| 10.18730/FQPKF | 1180 | Tanzania | −6.3483 | 36.4813 | 900 |
| 10.18730/FQT5J | 1191 | Tanzania | −8.8413 | 34.1676 | 1050 |
| 10.18730/FQTV3 | 1193 | Tanzania | −8.8324 | 33.8688 | 1060 |
| 10.18730/FQVGR | 1195 | Tanzania | −9.1166 | 32.9237 | 1550 |
| 10.18730/FR21B | 1215 | Tanzania | −4.9191 | 29.6036 | 780 |
| 10.18730/FR3V* | 1221 | Tanzania | −4.0411 | 30.5473 | 1120 |
| 10.18730/FR8EZ | 1237 | Tanzania | −2.641 | 30.994 | 1280 |
| 10.18730/FRAY0 | 1246 | Tanzania | −2.6575 | 32.6592 | 1100 |
| 10.18730/FRFYC | 1262 | Tanzania | −3.787 | 35.862 | 920 |
| 10.18730/FRQDX | 1286 | Tanzania | −4.65 | 38.0833 | 400 |
| 10.18730/FRRDR | 1289 | Tanzania | −4.9333 | 38.3 | 385 |
| 10.18730/FYRK* | 2000 | Ethiopia | 8.35 | 39.33 | 1750 |
| 10.18730/FZBC4 | 2055 | Ethiopia | 10.9833 | 36.4333 | 1700 |
| 10.18730/FZC2T | 2057 | Ethiopia | 11 | 36.4 | 1740 |
| 10.18730/G7HPU | 8740 | Ethiopia | 6.4167 | 37.2 | 1120 |
| 10.18730/FPJQE | 10521 | Ethiopia | 6.8333 | 37.7667 | 1925 |
| 10.18730/FPNT2 | 10639 | Ethiopia | 7.75 | 36.5667 | 1640 |
| 10.18730/FRXRA | 13144 | Kenya | 0.5833 | 34.5667 | 1450 |
| 10.18730/FTAXC | 15020 | Kenya | |||
| 10.18730/FTAYD | 15021 | Uganda | |||
| 10.18730/FTC6G | 15077 | India | |||
| 10.18730/FTMJS | 15364 | Kenya | −0.7333 | 36.4333 | 1890 |
| 10.18730/FVJY= | 16514 | Central African Republic | 8.4833 | 21.2167 | 600 |
| 10.18730/FVPB~ | 16626 | Namibia | −17.2167 | 12.4167 | 250 |
| 10.18730/FWB6$ | 17313 | Unknown | |||
| 10.18730/FWBKA | 17326 | Zambia | −15.75 | 26.05 | 1120 |
| 10.18730/FWCH3 | 17356 | Malawi | −14.6167 | 35.3167 | 472 |
| 10.18730/FWCSB | 17364 | Malawi | −14.0167 | 33.35 | 1150 |
| 10.18730/FWCTC | 17365 | Malawi | −13.6667 | 34.5833 | 415 |
| 10.18730/FWCVD | 17366 | Malawi | −13.15 | 34.3333 | 474 |
| 10.18730/FWCYG | 17369 | Malawi | −10.4833 | 34.2 | 480 |
| 10.18730/G2N6Q | 23701 | Zimbabwe | −17.827 | 31.0514 | 1484 |
| 10.18730/G2P5H | 23733 | Mexico | 27.75 | −110.5 | 50 |
| Marker | Source of Variation | Degrees of Freedom | Sum of Squares | Mean Sum of Squares | Sigma | Variation (%) | Phi | p-Value |
|---|---|---|---|---|---|---|---|---|
| SNP | Between groups | 1 | 3087.77 | 3087.77 | 38.29 | 3.65 | 0.036 | 0.0001 |
| Within groups | 166 | 167,794.35 | 1010.81 | 1010.81 | 96.35 | |||
| Total | 167 | 170,882.13 | 1023.25 | 1049.10 | 100.00 | |||
| SilicoDArT | Between groups | 1 | 7198.437 | 7198.44 | 50.08 | 1.11 | 0.011 | 0.0083 |
| Within groups | 166 | 744,008.13 | 4481.98 | 4481.98 | 98.89 | |||
| Total | 167 | 751,206.56 | 4498.24 | 4532.06 | 100.00 |
Disclaimer/Publisher’s Note: The statements, opinions and data contained in all publications are solely those of the individual author(s) and contributor(s) and not of MDPI and/or the editor(s). MDPI and/or the editor(s) disclaim responsibility for any injury to people or property resulting from any ideas, methods, instructions or products referred to in the content. |
© 2022 by the authors. Licensee MDPI, Basel, Switzerland. This article is an open access article distributed under the terms and conditions of the Creative Commons Attribution (CC BY) license (https://creativecommons.org/licenses/by/4.0/).
Share and Cite
Negawo, A.T.; Akinmade, H.O.; Muktar, M.S.; Habte, E.; Assefa, Y.; Muchugi, A.; Sartie, A.M.; Jones, C.S. Genetic Diversity, Population Structure and Subset Development in a Sesbania sesban Collection. Plants 2023, 12, 13. https://doi.org/10.3390/plants12010013
Negawo AT, Akinmade HO, Muktar MS, Habte E, Assefa Y, Muchugi A, Sartie AM, Jones CS. Genetic Diversity, Population Structure and Subset Development in a Sesbania sesban Collection. Plants. 2023; 12(1):13. https://doi.org/10.3390/plants12010013
Chicago/Turabian StyleNegawo, Alemayehu Teressa, Habib Olumide Akinmade, Meki S. Muktar, Ermias Habte, Yilikal Assefa, Alice Muchugi, Alieu M. Sartie, and Chris S. Jones. 2023. "Genetic Diversity, Population Structure and Subset Development in a Sesbania sesban Collection" Plants 12, no. 1: 13. https://doi.org/10.3390/plants12010013
APA StyleNegawo, A. T., Akinmade, H. O., Muktar, M. S., Habte, E., Assefa, Y., Muchugi, A., Sartie, A. M., & Jones, C. S. (2023). Genetic Diversity, Population Structure and Subset Development in a Sesbania sesban Collection. Plants, 12(1), 13. https://doi.org/10.3390/plants12010013

