You are currently viewing a new version of our website. To view the old version click .
Plants
  • Article
  • Open Access

20 December 2022

Desiccation Stress Tolerance in Porphyra and Pyropia Species: A Latitudinal Analysis along the Chilean Coast

,
,
,
,
,
and
1
Departamento de Ecología y Biodiversidad, Facultad de Ciencias de la Vida, Universidad Andres Bello, República 440, Santiago 8370251, Chile
2
Centro de Investigación Marina Quintay (CIMARQ), Facultad de Ciencias de la Vida, Universidad Andres Bello, Quintay 2531015, Chile
3
Center of Applied Ecology and Sustainability (CAPES), Santiago 8331150, Chile
4
Instituto Milenio en Socio-Ecología Costera (SECOS), Santiago 8370251, Chile
This article belongs to the Special Issue Seaweed Biology: Focusing on Food, Materials and Bioenergy

Abstract

One of the most important factors regulating the distribution and abundance of seaweeds is desiccation, triggered mainly by tidal changes and climatic variation. Porphyra and Pyropia species have evolved multiple strategies to tolerate desiccation stress; however, how these tolerance strategies differ in these species inhabiting different latitudes is still unknown. In this context, we analyzed, in situ, the physiological responses of these species (collected from 18° S to 41° S along the Chilean coast) to desiccation stress using biochemical and molecular analyses. The hyper-arid terrestrial climate of northern Chile, with high evaporation and lack of constant rain determines a very steep increase in desiccation stress in the upper intertidal during low tide for these species. Accordingly, the results showed that, in comparison with the southernmost populations, the Porphyra/Pyropia species from the north zone of Chile (18°–30° S) exhibited higher contents of lipoperoxide and carbonyls (1.6–1.9 fold) together with higher enzymatic activities, including ascorbate peroxidase, catalase, peroxiredoxin, and thioredoxin (2–3-fold). In addition, a substantial expression of cat, prx, and trx transcripts during desiccation was demonstrated, mainly in the northernmost populations. These results provide evidence of (i) significant activation of antioxidant enzymes and transcripts (principally cat and prx); (ii) participation of phenolic antioxidant compounds as a highly plastic physiological strategy to cope with desiccation; and (iii) the activation of the tolerance responses was affected by species latitudinal distribution. Thus, for the first time, this study integrated the biochemical and genetic responses of diverse Porphyra/Pyropia species to better understand their physiological dynamics of tolerance over a wide latitudinal range.

1. Introduction

Seaweeds are at the base of the marine food chain and show different distribution patterns along the rocky intertidal zone, between the upper and lower limits. At the upper limit, the distribution pattern is determined mainly by a variety of stressful abiotic conditions, among which is desiccation stress (e.g., [1,2]), induced by tidal changes and local climatic conditions. Other fluctuating and stressful environmental factors that could determine the presence of seaweeds, especially in the high intertidal, are salinity, radiation, temperature, pollutants, and likely, as occurs with salt marshes and mangroves, sediment anoxia [1,3]. Even though acclimation to these environmental stressors involves similar physiological changes, such as antioxidant enzymes and non-enzymatic antioxidants, organisms have also evolved specific constitutive or induced responses to each of these stressors. For example, to improve their salinity tolerance, some green algae have evolved several adaptations, such as genes and transporters promoting cytosolic K+/Na+ homeostasis [4]. Another protective strategy is inactivation of the photosystem and cessation of energy transfer from phycobilisomes to PS II during the early stages of desiccation (to prevent photo-inhibition of photosynthetic apparatus) [4]. In fact, in Ulva sp., the existence of a PS I-driven cyclic electron flow has been shown to be an alternative pathway to eliminate harmful energy from the photosynthetic apparatus, contributing to the desiccation tolerance of these species [5]. Similarly, UV-absorbing substances, such as phenols and mycosporine-like amino acids, are significantly upregulated under UV-B exposure in the red seaweed Neoporphyra haitanensis [6].
In seaweeds, there are few reports about desiccation effects, physiological responses, and their influence on the geographic variation of species distribution. However, it has been reported that certain seaweed species from the Pyropia, Porphyra, and Neoporphyra genera [7,8,9,10,11] are generally highly tolerant to desiccation to prevent and/or reduce the cellular alteration induced under these conditions. In Chile, several Porphyra (P. longissima and P. luchea) and Pyropia (P. orbicularis and P. variabilis) species were recently recognized [12,13,14]. Both genera inhabit contrasting climatic areas along the Chilean coast between Arica (18° S) and South Patagonia (53° S) and show variable degrees of geographic range sizes or distributions along this coast [13], which could be explained by their contrasting tolerance limits to environmental stress.
The Chilean continental coastline is located in the southeastern Pacific and spans approximately 38 degrees of latitude (18°–56° S). It comprises three biogeographic provinces [15,16]: a northern zone, known as the “Peruvian Province” that spans from 18° to 30° S and includes temperate–warm biota, and a southern zone, known as the “Magellanic Province” that extends from 40°–42° to 56° S and possesses subantarctic-cold–temperate biota. Between these two zones is the “Intermediate Area” from 30°–40° to 42° S, which includes biota with mixed components of the two other major provinces. These three zones are separated mainly by two biogeographic coastal transition zones (CTZs), the first one located between 30° and 32° S and the second one located at approximately 42° S; both CTZs are characterized by breaks or discontinuities in the abundance of several species and by intra- and/or interspecific genetic differences for a subgroup of organisms, and they often coincide with the superposition in the distribution of several species from the adjoining zones. In seaweeds, the first CTZ represents a marked genetic break between two kelps: Lessonia berteroana from the Peruvian Province and Lessonia spicata from the Intermediate Area [17,18]. It has been demonstrated that L. berteroana, exposed to higher desiccation rates throughout its geographic range, is less susceptible to desiccation stress than L. spicata, both in its life cycle development and enzyme activity [19], which could explain its contrasted geographic distribution along the climatic gradient and CTZ characteristic of the Chilean coast. Thus, desiccation seems to be an important factor responsible for limiting the range of Lessonia species. Nonetheless, both Lessonia species thrive in the low intertidal zone; therefore, they are more susceptible to environmental factors that could increase desiccation intensity (e.g., air humidity, air and sea temperature, and irradiance [8,20]), in contrast to most of the desiccation-tolerant Porphyra and Pyropia species, which are able to grow in the high intertidal zone in the same geographic areas. Nonetheless, northern populations of upper intertidal seaweeds are likely more affected by drought and salinity stress during low tide due to the hyper-arid climate of northern Chile (18° S to 30° S), with high evaporation and lack of constant rains, compared with the wetter and lower evaporation conditions of more southern sites considered in this study (30° S to 41° S) [3].
On a global scale, Porphyra and Pyropia species are the marine crops of great importance (marketed as Nori or Laver), with a production of 2,810,600 tons in 2020 [21]. In Chile, the productive sector has relied mostly on the exploitation of natural algae populations (known as Luche), as its production is very small and mainly artisanal, with an annual value of 426 tons (dry biomass) in 2021 [22]. In particular, the upper intertidal specimens of Pyropia orbicularis have been shown to possess morphological, biochemical, and physiological adaptations to fully recover from >90% of water losses during a normal low tide cycle [7]. Indeed, P. orbicularis can be found in high abundance (in comparison with the other species) on flat rocky platforms during the summer, concurring with high temperature (max 40 °C), high radiation (maximum 3100 µmol photon m−2 s−1), and low humidity (minimum 15.9%) [23,24]. These adaptations include (i) antioxidant enzyme activities, such as ascorbate peroxidase, thioredoxin, catalase, and peroxiredoxin; (ii) attenuation of biomolecule oxidation; and (iii) metabolomic, proteomic, and transcriptomic changes involving several cellular pathways [7,8,19,20,24,25,26,27,28,29]. Thus, this species is considered a model of high stress tolerance, where several coordinated mechanisms are activated to cope with stressful environmental conditions.
Hence, desiccation could play an essential role in determining the high intertidal distribution of Porphyra/Pyropia species. In this context, considering the extended distribution of these species along the Chilean coast and the role of desiccation in determining the range limits of seaweed species, we hypothesize that tolerance to desiccation stress in Porphyra/Pyropia species is an intrinsic property of these uppermost intertidal species from both genera, independent of their latitudinal range of distribution. Therefore, the aim of this work was to explore the desiccation stress tolerance capacity in several Chilean Porphyra/Pyropia species at different latitudes, using antioxidant responses and oxidative stress markers.

2. Results

2.1. Specific Activity of Basal Metabolic and Antioxidant Enzymes and Metabolites along the Chilean Coast

The results show a noticeable difference in the pyruvate dehydrogenase (PDH) activity among various Porphyra and Pyropia species and between sites (Figure 1). The results of Tukey’s test (Table S1) revealed that the main differences in PDH activity were the high values registered in some populations of Pyropia and Porphyra species from the northernmost sites (e.g., Pyropia CHI in Arica and Porphyra CHF in Los Vilos, respectively) and the relatively low values observed in some populations of Pyropia and Porphyra species from south Chile (e.g., Porphyra FIH in Carelmapu and Pyropia CHJ in Ancud).
Figure 1. Specific activity of PDH (pyruvate dehydrogenase) during natural hydration (H) and desiccation (D) stress in the Porphyra and Pyropia species evaluated in this study. Values are the mean ± SD of three replicates. ARI, Arica; ANT, Antofagasta; GUA, Guanaquerillos; LSV, Los Vilos; MAI, Maitencillo; PDT, Punta de Tralca; PIC, Pichilemu; COL, Coliumo; CAL, Calfuco; NIE, Niebla; CAR, Carelmapu; and ANC, Ancud (see Table 1 and Figure 6 for in-depth information).
In general, the activities of AP (Figure 2A), CAT (Figure 2B), PRX (Figure 3A), and TRX (Figure 3B) enzymes were significantly high in all Porphyra/Pyropia species at all the sites during natural desiccation when compared with natural hydration condition. A two-way ANOVA revealed a significant effect of species and site on the AP and CAT activities under both hydration and desiccation conditions, but no effect on PRX activity was registered (Table S2). A significant effect of site on TRX activity was also observed for desiccation; however, it remained non-significant under hydration conditions (Table S2).
Figure 2. Specific activity of (A) AP (ascorbate peroxidase) and (B) CAT (catalase) during in situ hydration (H) and desiccation (D) stress in the Porphyra and Pyropia species evaluated in this study. Values are the mean ± SD of three replicates. ARI, Arica; ANT, Antofagasta; GUA, Guanaquerillos; LSV, Los Vilos; MAI, Maitencillo; PDT, Punta de Tralca; PIC, Pichilemu; COL, Coliumo; CAL, Calfuco; NIE, Niebla; CAR, Carelmapu; and ANC, Ancud (see Table 1 and Figure 6 for in-depth information).
Figure 3. Specific activity of (A) PRX (peroxiredoxin) and (B) TRX (thioredoxin) during in situ hydration (H) and desiccation (D) stress in the Porphyra and Pyropia species evaluated in this study. Values are the mean ± SD of three replicates. ARI, Arica; ANT, Antofagasta; GUA, Guanaquerillos; LSV, Los Vilos; MAI, Maitencillo; PDT, Punta de Tralca; PIC, Pichilemu; COL, Coliumo; CAL, Calfuco; NIE, Niebla; CAR, Carelmapu; and ANC, Ancud (see Table 1 and Figure 6 for in-depth information).
Globally, the differences in activity can be explained mainly by the highest activity values recorded in Porphyra CHF for AP from Antofagasta (Figure 2A) and for CAT in Pyropia CHI from Arica and Porphyra CHF from Guanaquerillos (Figure 2B). Nonetheless, for AP and CAT, a gradual increase in the enzyme activities was generally observed within species from south to north (except within Pyropia CHJ for CAT). If we focus our attention on each species separately and on their mean PRX and TRX activities (Figure 3A,B), there was no distinct pattern of a latitudinal trend of higher or lower mean values (except within Pyropia orbicularis for PRX) but rather a plastic within species, locally dependent on the physiological performance.
Similar to antioxidant enzymes, the LPX and carbonyl contents were remarkably high in the desiccated population compared with the hydrated one (Figure 4A). A two-way ANOVA revealed a significant effect of species and site on LPX concentration during both naturally hydrated and desiccated conditions (Table S3 part A). On the contrary, only the species influenced the carbonyl levels (Figure 4B and Table S3 part A). Notably, Pyropia CHI, Porphyra CHF, and Pyropia orbicularis populations from the northern–central zone (e.g., Arica, Antofagasta, and Maitencillo) exhibited high LPX levels compared with southern populations (Figure 4A). However, only Pyropia CHI from the northern most site (Arica) exhibited the highest carbonyl level (Figure 4B).
Figure 4. (A) Lipid peroxidation, (B) protein oxidation, and (C) phenolic compound concentrations during in situ hydration (H) and desiccation (D) stress in the Porphyra and Pyropia species evaluated in this study. Values are the mean ± SD of three replicates. ARI, Arica; ANT, Antofagasta; GUA, Guanaquerillos; LSV, Los Vilos; MAI, Maitencillo; PDT, Punta de Tralca; PIC, Pichilemu; COL, Coliumo; CAL, Calfuco; NIE, Niebla; CAR, Carelmapu; and ANC, Ancud (see Table 1 and Figure 6 for in-depth information).
The phenolic compounds displayed a significant decrease (50% on average) under natural desiccation compared with natural hydration (Figure 4C) in all Pyropia and Porphyra species, except from some southern populations. A two-way ANOVA showed a significant effect of site but not species on the phenolic compound levels during desiccation (Table S3 part A).

2.2. Differential Expression of Antioxidant Enzyme Transcripts

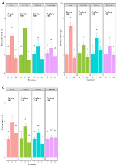
In general terms, the transcript levels of cat, prx, and trx increased significantly during desiccation compared with hydration in the Porphyra and Pyropia species from the northernmost sites evaluated (i.e., Arica and Los Vilos) (Figure 5). A similar but smaller increase was observed in the prx transcripts of Porphyra CHF from Coliumo (Figure 5B). No differences were registered between hydration and desiccation in the trx transcripts from the southernmost sites (Figure 5C). A two-way ANOVA revealed a significant effect of treatment, site, and their interaction on the cat, prx, and trx expression (Table S4). In all cases, the expression levels during rehydration reached the same values registered during hydration (Figure 5), indicating a recovery of the transcript production to the basal levels. It is important to highlight that there was a clear pattern of high expression with a high activity of CAT, PRX, and TRX enzymes during desiccation (see Figure 2 and Figure 3). However, major analyses are required to evidence a significant relationship between the expression and enzymatic activity.
Figure 5. Relative expression level of (A) cat, (B) prx, and (C) trx transcripts during hydration (H), desiccation (D), and rehydration (RH) cycle in Porphyra and Pyropia species (see Table 1 and Figure 6 for details). Values are the mean ± SD of three replicates. The letters above the bar plots indicate the results of Tukey’s tests; means with the same letter are not significantly different at p ≥ 0.05. The colors of the histograms correspond to the sites evaluated.

3. Discussion

We provide evidence of a significant activation of antioxidant enzymes and transcripts (principally cat and prx) and the participation of phenolic antioxidant compounds as generalized mechanisms of desiccation tolerance in Porphyra and Pyropia species along the Chilean coastal zone. In addition, the levels of stress response were generally dependent on the latitudinal distribution, with more pronounced tolerance responses in northern populations. The results obtained validate our predictions, as the desiccation stress tolerance in Porphyra/Pyropia species is an intrinsic property of these uppermost intertidal species from both genera. Independent of their latitudinal range of distribution along the Chilean coast, the northern species and populations undergo harsher regimes of environmental stresses than central and southern ones. Indeed, if we consider all species and populations of Porphyra and Pyropia as a whole, the lipid and protein oxidation damage (i.e., LPX and carbonyl) levels increase gradually from south to north along the Chilean coast (mainly during desiccation), which was clearly evident with a higher LPX accumulation than the carbonyl levels. To combat the oxidative damage, a gradual increase in the antioxidant enzymes, both at the biochemical and transcript level, was noticed in the populations from south to north during the desiccation cycle. Specifically, the relative expression of genes, including cat, prx, and trx, were significantly higher in the northern species and populations compared with the central and southern ones during desiccation. Indeed, previously we demonstrated that the transcriptional modulation of the desiccation tolerance factors in P. orbicularis explains its successful recuperation after a water deficit [29]. Moreover, the four northernmost populations studied in this work showed a higher concentration of phenolic compounds during hydration (than did the southern ones), which were significantly reduced during desiccation, likely to cope with the desiccation and other stresses (e.g., salinity and UV radiation) at low tide [30]. Thus, differential responses to air exposure clarify the seaweed distribution along the intertidal rocky zones in a broad range of latitudinal distributions.
In natural habitats, desiccation stress often overlaps with salinity and high light stress. Therefore, differences between species in the extent of their geographical and/or (local) microhabitat distributions could arise from their differential capacities to tolerate other important environmental constraints [31]. One of the main environmental restrictions to thrive in the high intertidal in marine organisms is the necessity to adapt to a wide range of salinities and desiccation stress regimes and, therefore, to spend a large amount of their metabolic energy budget on the process of osmotic adjustment [32]. Likewise, some high intertidal algae usually possess a relatively desiccation- and salt-insensitive photosynthesis and respiration [33]. Salinity-tolerant seaweed species maintain osmotic homeostasis using inorganic ions and small organic osmolytes. Indeed, the type and concentration of the osmolytes have been shown to vary geographically and seasonally among algal taxa. For example, three different species of Porphyra species from Australia, the North Sea, and the Pacific Coast of the USA showed different types and variable ratios of the low-molecular-weight carbohydrates (i.e., osmolytes) L-isofloridoside, floridoside, and D-isofloridoside [34]. Recently, [35] demonstrated considerable changes in floridosides in both Neoporphyra haitanensis thalli and conchocelis under salt stress. In the case of the Porphyra and Pyropia species from the coast of Chile, whose wide range of tolerance to oxidative stress was shown in this study, the variability in the extent of their geographic and/or microhabitat distributions could proceed from their differential capacities to maintain osmotic homeostasis ensuring the protection of biological molecules using osmolytes during low tide and/or extreme climatic events. For example, this could explain the splitting of the recently diverging species Pyropia variabilis (along the northern coast), Pyropia orbicularis, and Pyropia CHJ (both along the central and southern coasts) [13,14]. These three species span across the three biogeographic provinces with contrasting thermohaline variability and disparate river flow and precipitation regimes.
For the first time, this study integrated the biochemical and genetic responses of diverse Porphyra/Pyropia species to better understand their physiological dynamics of tolerance over a wide latitudinal range. This confirms the high tolerance of theses genera to the environmental desiccation stress and their high distribution in higher intertidal zones. In spite of the high desiccation tolerance of all of the Porphyra and Pyropia species shown in this study, a higher sampling effort per site and wide geographical extent would be required to improve the characterization of the within-species variation patterns concerning their physiological tolerance responses to desiccation stress, except for Porphyra CHF, which had a sufficient sampling effort and optimal representation along its geographic distribution. In addition, major analyses are required to understand the low participation during the desiccation stress of pyruvate dehydrogenase (PDH) in these species because of their important role in the basal metabolism. In fact, it was previously demonstrated there were no changes in the PDH activity in P. orbicularis during stress [29], and contrary high activity was determined during rehydration. PDH is an essential enzymatic complex that produces energy (ATP and GTP), NADH, and FADH2, thus facilitating the biosynthesis of complex molecules during stressful conditions and subsequent recuperation [29]. In plants, PDH inhibition has been related to both high light and NDPH concentration [36,37]. Therefore, similar mechanisms will be generated during environmental stress in Porphyra and Pyropia genera.
In recent years, several studies on these genera have provided insight into the tolerance mechanisms underlying their distribution in highly stressful environments, e.g., [38,39,40,41,42,43]. For example, Porphyra umbilicalis exhibits increased antioxidant metabolism, which could contribute to its success in colonizing stressful habitats [38]. In Pyropia yezoensis, the HSP70 (heat shock protein) gene family showed upregulated expression under different degrees of desiccation stress [43]. In addition, the description of the life cycle of several species in both natural and controlled [44,45] environmental conditions and the high activation of the physiological tolerance responses compared with the species of other genera [8,20,27] allow for positioning of the Porphyra and Pyropia complexes as important models for studies not only at the ecological but also at the biotechnological level.
The acquisition of physiological tolerance traits in this group of algae has been scarcely studied worldwide [46]. Interesting aspects are required today to understand this exceptional and diverse algal complex. As this group of algae is an important part of the world’s food supply, further studies are required at the biochemical and molecular levels, for example, to stimulate the production of nutritional or functional compounds and to improve the dietary quality [47,48]. Therefore, further studies associated with both aquaculture and biomass quality of Porphyra and Pyropia are required.

4. Materials and Methods

4.1. Sampling, Study Sites, and Experimental Design

To evaluate the physiological responses of Porphyra and Pyropia species to desiccation stress, samples were collected from the uppermost intertidal zone of 12 different locations along the Chilean coast (Table 1 and Figure 6).
Table 1. Study sites indicating the Porphyra and Pyropia species determined by morphological and molecular analysis according to [12,13,14].
Figure 6. Sampling sites along the Chilean coast of the Porphyra and Pyropia species studied in this work.
For in situ determination of the oxidative stress, vegetative individuals of Porphyra and Pyropia species were collected along 100–150 m coastal transects during high tide (naturally hydrated, 100% of relative water content) and under 4 h of low tide (naturally desiccated, 90–96% loss of relative water content). In both cases, the samples were immediately frozen in liquid nitrogen until further biochemical analysis. For the in vitro desiccation experiments concerning antioxidant (cat, prx, and trx) transcripts, hydrated vegetative individuals of Porphyra and Pyropia species from four sites (Arica, Los Vilos, Coliumo, and Carelmapu) before collection were kept in plastic bags with seawater at 5–7 °C and transported to the seaweed laboratory of the Universidad Andrés Bello. The fronds were carefully and exhaustively rinsed with 0.45 µm filtered seawater and acclimated in filtered seawater during 12 h in a culture chamber at 12–14 °C, under 70–80 µm photon m−2 s−1 irradiance. Subsequently, a set of fronds was blotted dry and exposed to desiccation in a growth chamber at 14 °C and 70–80 µmol photon m−2 s−1 irradiance for 4 h. Finally, a subset of fronds dehydrated for 4 h was immediately re-hydrated for 2 h with 0.45 µm filtered seawater to characterize the recovery to the oxidative stress induced by desiccation.

4.2. Extraction and Quantification of Protein Extracts

Algal samples were frozen in liquid nitrogen and homogenized in a mortar with a pestle. Proteins were precipitated with ammonium sulfate, stabilized in 2 mM 2-mercaptoethanol [49], and quantified using a Thermo Scientific Pierce BCA Protein Assay Kit (Thermo Fisher Scientific, Rockford, Illinois, USA) on the basis of the bicinchoninic acid method [50].

4.3. Biochemical Determinations

The specific activity of the antioxidant enzymes ascorbate peroxidase (AP) and catalase (CAT) was determined according to [49]. Peroxiredoxin activity (PRX) was determined according to [51], and pyruvate dehydrogenase (PDH) and thioredoxin (TRX) according to [29]. Phenolic compounds were determined using Folin–Ciocalteau reagent according to [49] and expressed as nanoequivalents of gallic acid using a calibration curve prepared with 10–50 nmoles of gallic acid.
The lipid peroxidation levels were determined as the amount of thiobarbituric acid reactive species (i.e., lipoperoxides) as previously described [49]. The protein oxidation levels were determined on the basis of the reaction of carbonyls with 2,4-dinitrophenyl hydrazine (DNPH) [7]. The carbonyl concentration was calculated using the molar extinction coefficient of the carbonyl–DNPH complex (ε = 22 mM−1 cm−1) and expressed as nmol of DNPH incorporated per milligram of protein.

4.4. Differential Gene Expression

Differential gene expression was determined in four populations distributed along the Chilean coast: Arica (Pyropia CHI), Los Vilos (Porphyra CHF), Coliumo (Porphyra CHF), and Carelmapu (Porphyra FIH) (Table 1) under in vitro desiccation and rehydration conditions. The hydration conditions were those from natural high tide. The following genes were analyzed: cat (catalase), prx (peroxiredoxin), trx (thioredoxin), and the internal reference gene sen (senescence-associated protein) as the housekeeping gene (Supplementary Materials Table S5).
Total RNA was isolated from 1–1.5 g of fronds. Tissue, frozen with liquid nitrogen, was homogenized in 5 mL of lysis buffer containing 4 M guanidinium thiocyanate, 25 mM EDTA, 200 mM sodium acetate, 2% polyvinylpyrrolidone (PVP-40), and 1% 2-mercaptoethanol. The homogenate was incubated for 10 min at 70 °C, under constant agitation, in the presence of 20% sarcosine, and then centrifuged for 5 min at 16,000× g. The RNA present in the supernatant solution was purified and re-extracted using a RNeasy Mini Kit (Qiagen, Hilden, Germany) according to the manufacturer’s protocol. The remaining DNA was removed using DNase I Amplification Grade (Invitrogen). The RNA quality and yield were assessed by spectrophotometry (NanoDropTM 1000 Spectrophotometer, Thermo Scientific, Wilmington, DE, USA) and denaturing 1.2% agarose gel electrophoresis.
RNA was reverse-transcribed using the Superscript II reverse transcriptase (Thermo Fisher Scientific, Carlsbad, CA, USA). First, 5 μM of Oligo(dT) 12–18 was added to 3–5 μg of total RNA and annealed at 65 °C for 5 min. Then, 4 μL of First Strand Buffer, 2 μL of 0.1M DTT, and 200 U Superscript II reverse transcriptase were added and incubated at 42 °C for 50 min. Incubation of the reaction was stopped at 70 °C for 15 min. The cDNA samples obtained were analyzed spectrophotometrically and stored at –80 °C until use.
For each real-time PCR, 200 ng of template cDNA was mixed with 5 μL of 2 × SYBR Green PCR master mix and 300–600 nM of each of the forward and reverse primers (Supplementary Materials Table S5) to a final volume of 10 μL. For amplification, the program used was a first step at 90 °C for 10 s; 40 cycles of activation at 90 °C for 3 s and annealing extension at 60 °C for 30 s, and a thermal denaturing step to generate the dissociation curves to verify amplification specificity. All reactions were performed in triplicate, and the Pfaffl method (ΔCt) was used for expression analysis relative to the sen gene [52].

4.5. Statistical Analysis

Significant differences between sites and species were determined using two-way analysis of variance (ANOVA) when comparing the hydrated and desiccated treatments for the biochemistry analyses. The same analysis was performed for the significant differences between sites and treatments in the differential gene expression assays. Posteriori analysis of Tukey’s multiple comparisons test (T) was performed to detect differences at each condition. The level of significance for all statistical tests was p < 0.05.

Supplementary Materials

The following supporting information can be downloaded at: https://www.mdpi.com/article/10.3390/plants12010012/s1, Table S1: (A) Two-way ANOVA carried out comparing the effects of species and sites on pyruvate dehydrogenase (PDH) levels exposed to desiccation and hydration treatments. p-values lower than 0.05 indicate significant differences. Df: degrees of freedom; Sum q: Sum square; Mean Sq: Mean square; F: f-value; and Pr(>F): p values. (B) Tukey’s test carried out comparing different species exposed to desiccation and hydration treatments, Table S2: (A) Two-way ANOVA carried out comparing the effects of species and sites on ascorbate peroxidase (AP), catalase (CAT), peroxiredoxin (PRX), and thioredoxin (TRX) levels exposed to desiccation and hydration treatments. p-values lower than 0.05 indicate significant differences. Df: degrees of freedom; Sum q: Sum square; Mean Sq: Mean square; F: f-value; and Pr(>F): p-values. (B) Tukey’s test carried out comparing different species exposed to desiccation and hydration treatments, Table S3: (A) Two-way ANOVA carried out comparing the effects of species and sites on lipoperoxides (LPX), carbonyls (CAR), and phenolic compounds levels exposed to desiccation and hydration treatments. p-values lower than 0.05 indicate significant differences. Df: degrees of freedom; Sum q: Sum square; Mean Sq: Mean square; F: f-value; and Pr(>F): p-values. (B) Tukey’s test carried out comparing different species exposed to desiccation and hydration treatments, Table S4: Two-way ANOVA carried out comparing the effects of treatments (hydration, desiccation, and rehydration) and sites on gene expression in vitro of catalase (cat), peroxiredoxin (prx), and thioredoxin (trx) levels for Porphyra and Pyropia species. p-values lower than 0.05 indicate significant differences. Df: degrees of freedom; Sum q: Sum square; Mean Sq: Mean square; F: f-value; and Pr(>F): p-values, Table S5: Primers sequences used for real-time PCR experiments. Source: [25,29].

Author Contributions

Conceptualization, L.C.-P., A.M. and C.L.; methodology, L.C.-P., C.L., A.N. and M.R.F.-M.; software, C.L.; validation, L.C.-P., A.M. and F.P.; formal analysis, L.C.-P., A.M., C.L. and F.P.; investigation, L.C.-P., A.M., C.L., F.P., A.N. and M.R.F.-M.; resources, L.C.-P.; data curation, L.C.-P., A.M., C.L. and F.P.; writing—original draft preparation, L.C.-P., A.M., C.L., M.K. and F.P.; writing—review and editing, L.C.-P., A.M., C.L., M.K. and F.P.; visualization, L.C.-P., A.M., C.L. and F.P.; supervision, L.C.-P.; project administration, L.C.-P.; funding acquisition, L.C.-P. All authors have read and agreed to the published version of the manuscript.

Funding

This research was funded by CORFO IFAN 16PTECAI–66648–P19, DGI–UNAB (DI–01–21/NUC), ANID PIA/BASAL FB0002, ANID Millennium Science Initiative Program ICN 2019_015, and CNRS International Research Network Diversity and Biotechnology of Marine Algae (contract number 00022).

Data Availability Statement

Derived data supporting the findings of this study are available from the corresponding author (L. Contreras-Porcia) on request.

Acknowledgments

We thank LEBMA (www.lebma.cl, accessed on 5 May 2022) and Aníbal Contreras Porcia for professional support.

Conflicts of Interest

All authors certify that they have no affiliations with or involvement in any organization or entity with any financial interest. The authors declare no conflict of interest.

References

  1. Contreras-Porcia, L.; López-Cristoffanini, C.; Meynard, A.; Kumar, M. Tolerance Pathways to Desiccation Stress in Seaweeds. In Systems Biology of Marine Ecosystems; Kumar, M., Ralph, P., Eds.; Springer: Cham, Switzerland, 2017; pp. 13–33. ISBN 978-3-319-62092-3. [Google Scholar] [CrossRef]
  2. Abdullah Al, M.; Akhtar, A.; Rahman, M.F.; Kamal, A.H.M.; Karim, N.U.; Hassan, M.L. Habitat structure and diversity patterns of seaweeds in the coastal waters of Saint Martin’s Island, Bay of Bengal, Bangladesh. Reg. Stud. Mar. Sci. 2020, 33, 100959. [Google Scholar] [CrossRef]
  3. Fariña, J.M.; He, Q.; Silliman, B.R.; Bertness, M.D. Biogeography of salt marsh plant zonation on the Pacific coasts of South America. J. Biogeogr. 2018, 45, 238–247. [Google Scholar] [CrossRef]
  4. Holzinger, A.; Karsten, U. Desiccation stress and tolerance in green algae: Consequences for ultrastructure, physiological and molecular mechanisms. Front. Plant Sci. 2013, 4, 327. [Google Scholar] [CrossRef] [PubMed]
  5. Gao, S.; Shen, S.; Wang, G.; Niu, J.; Lin, A.; Pan, G. PSI-Driven Cyclic Electron Flow Allows Intertidal Macroalgae Ulva sp. (Chlorophyta) to Survive in Desiccated Conditions. Plant Cell. Physiol. 2011, 52, 885–893. [Google Scholar] [CrossRef] [PubMed]
  6. Fu, S.; Xue, S.; Chen, J.; Shang, S.; Xiao, H.; Zang, Y.; Tang, X. Effects of different short-term UV-B radiation intensities on metabolic characteristics of Porphyra haitanensis. Int. J. Mol. Sci. 2021, 22, 2180. [Google Scholar] [CrossRef]
  7. Contreras-Porcia, L.; Thomas, D.; Flores, V.; Correa, J.A. Tolerance to oxidative stress induced by desiccation in Porphyra columbina (Bangiales, Rhodophyta). J. Exp. Bot. 2011, 62, 1815–1829. [Google Scholar] [CrossRef]
  8. Flores-Molina, M.R.; Thomas, D.; Lovazzano, C.; Núñez, A.; Zapata, J.; Kumar, M.; Correa, J.A.; Contreras-Porcia, L. Desiccation stress in intertidal seaweeds: Effects on morphology, antioxidant responses and photosynthetic performance. Aquat. Bot. 2014, 113, 90–99. [Google Scholar] [CrossRef]
  9. Quan, W.; Ying, M.; Wang, Y.; Zhou, Q.; Xu, C. Chlorophyll Fluorescence Characteristics Responses of Two Strains of Porphyra haitanensis to Emersion and Submersion. Int. J. Agric. Biol. 2017, 19, 887–892. [Google Scholar] [CrossRef]
  10. Shi, J.; Wang, W.; Lin, Y.; Xu, K.; Xu, Y.; Ji, D.; Chen, C.; Xie, C. Insight into transketolase of Pyropia haitanensis under desiccation stress based on integrative analysis of omics and transformation. BMC Plant Biol. 2019, 19, 475. [Google Scholar] [CrossRef]
  11. Huang, L.-B.; Peng, L.-N.; Yan, X.-H. Multi-omics responses of red algae Pyropia haitanensis to intertidal desiccation during low tides. Algal Res. 2021, 58, 102376. [Google Scholar] [CrossRef]
  12. Ramírez, M.E.; Contreras-Porcia, L.; Guillemin, M.L.; Brodie, J.; Valdivia, C.; Flores-Molina, M.R.; Núñez, A.; Bulboa Contador, C.; Lovazzano, C. Pyropia orbicularis sp. nov. (Rhodophyta, Bangiaceae) based on a population previously known as Porphyra columbina from the central coast of Chile. Phytotaxa 2014, 158, 133–153. [Google Scholar] [CrossRef]
  13. Guillemin, M.L.; Contreras-Porcia, L.; Ramírez, M.E.; Macaya, E.C.; Bulboa Contador, C.; Woods, H.; Wyatt, C.; Brodie, J. The bladed Bangiales (Rhodophyta) of the South Eastern Pacific: Molecular species delimitation reveals extensive diversity. Mol. Phylogenet. Evol. 2016, 94, 814–826. [Google Scholar] [CrossRef]
  14. Meynard, A.; Zapata, J.; Salas, N.; Betancourtt, C.; Pérez-Lara, G.; Castañeda, F.; Ramírez, M.E.; Bulboa Contador, C.; Guillemin, M.L.; Contreras-Porcia, L. Genetic and morphological differentiation of Porphyra and Pyropia species (Bangiales, Rhodophyta) coexisting in a rocky intertidal in Central Chile. J. Phycol. 2019, 55, 297–313. [Google Scholar] [CrossRef]
  15. Thiel, M.; Macaya, E.C.; Acuña, E.; Arntz, W.E.; Bastias, H.; Brokordt, K.; Camus, P.A.; Castilla, J.C.; Castro, L.R.; Cortés, M.; et al. The Humboldt Current System of northern and central Chile. Oceanogr. Mar. Biol. 2007, 45, 195–344. [Google Scholar]
  16. Camus, P.A. Marine biogeography of continental Chile. Rev. Chil. Hist. Nat. 2001, 74, 587–617. [Google Scholar] [CrossRef]
  17. Tellier, F.; Meynard, A.P.; Correa, J.A.; Faugeron, S.; Valero, M. Phylogeographic analyses of the 30° S south-east Pacific biogeographic transition zone establish the occurrence of a sharp genetic discontinuity in the kelp Lessonia nigrescens: Vicariance or parapatry? Mol. Phylogenet. Evol. 2009, 53, 679–693. [Google Scholar] [CrossRef]
  18. González, A.V.; Beltrán, J.; Hiriart-Bertrand, L.; Flores, V.; de Reviers, B.; Correa, J.A.; Santelices, B. Identification of cryptic species in the Lessonia nigrescens complex (Phaeophyceae, Laminariales). J. Phycol. 2012, 48, 1153–1165. [Google Scholar] [CrossRef]
  19. López-Cristoffanini, C.; Tellier, F.; Otaíza, R.; Correa, J.A.; Contreras-Porcia, L. Tolerance to air exposure: A feature driving the latitudinal distribution of two sibling kelp species. Bot. Mar. 2013, 56, 431–440. [Google Scholar] [CrossRef]
  20. Contreras-Porcia, L.; Callejas, S.; Thomas, D.; Sordet, C.; Pohnert, G.; Contreras, A.; Lafuente, A.; Flores-Molina, M.R.; Correa, J.A. Seaweeds early development: Detrimental effects of desiccation and attenuation by algal extracts. Planta 2012, 235, 337–348. [Google Scholar] [CrossRef]
  21. FAO (Food and Agriculture Organization of the United Nations). 2022a. Statical Query Panel for Global Aquaculture Production. Available online: https://www.fao.org/fishery/statistics-query/en/ (accessed on 1 July 2022).
  22. SERNAPESCA. Anuario estadístico de Pesca y Acuicultura. Servicio Nacional de Pesca, Valparaíso. 2021. Available online: http://www.sernapesca.cl/informacion-utilidad/anuarios-estadisticos-de-pesca-y-acuicultura (accessed on 10 September 2022).
  23. Betancourtt, C.; Zapata, J.; Latorre, N.; Anguita, C.; Castañeda, F.; Meynard, A.; Fierro, C.; Espinoza, C.; Guajardo, E.; Núñez, A.; et al. Spatio-temporal variation in the composition of the macroalgae assemblage of the intertidal rocky zone from Maitencillo, Valparaíso, central coast of Chile. Rev. Biol. Mar. Oceanogr. 2018, 53, 105–117. [Google Scholar] [CrossRef]
  24. Zapata, J.; Meynard, A.; Anguita, C.; Espinoza, C.; Alvear, P.; Kumar, M.; Contreras-Porcia, L. Non-Random distribution and ecophysiological differentiation of Pyropia species (Bangiales, Rhodophyta) through environmental gradients. J. Phycol. 2019, 55, 1140–1153. [Google Scholar] [CrossRef] [PubMed]
  25. Contreras-Porcia, L.; López-Cristoffanini, C.; Lovazzano, C.; Flores-Molina, M.R.; Thomas, D.; Núñez, A.; Fierro, C.; Guajardo, E.; Correa, J.A.; Kube, M.; et al. Differential gene expression in Pyropia columbina (Bangiales, Rhodophyta) under natural hydration and desiccation conditions. Lat. Am. J. Aquat. Res. 2013, 41, 933–958. [Google Scholar] [CrossRef]
  26. López-Cristoffanini, C.; Zapata, J.; Gaillard, F.; Potin, P.; Correa, J.A.; Contreras-Porcia, L. Identification of proteins involved in desiccation tolerance in the red seaweed Pyropia orbicularis (Rhodophyta, Bangiales). Proteomics 2015, 15, 3954–3968. [Google Scholar] [CrossRef] [PubMed]
  27. Guajardo, E.; Correa, J.A.; Contreras-Porcia, L. Role of abscisic acid (ABA) in activating antioxidant tolerance responses to desiccation stress in intertidal seaweed species. Planta 2016, 243, 767–781. [Google Scholar] [CrossRef]
  28. Fierro, C.; López-Cristoffanini, C.; Latorre, N.; Rivas, J.; Contreras-Porcia, L. Methylglyoxal metabolism in seaweeds during desiccation. Rev. Biol. Mar. Oceanogr. 2016, 51, 187–191. [Google Scholar] [CrossRef]
  29. Fierro, C.; López-Cristoffanini, C.; Meynard, A.; Lovazzano, C.; Castañeda, F.; Guajardo, E.; Contreras-Porcia, L. Expression profile of desiccation tolerance factors in intertidal seaweed species during the tidal cycle. Planta 2017, 245, 1149–1164. [Google Scholar] [CrossRef]
  30. Lalegerie, F.; Gager, L.; Stiger-Pouvreau, V.; Connan, S. Chapter Eight—The Stressful life of Red and Brown Seaweeds on the Temperate Intertidal Zone: Effect of Abiotic and Biotic Parameters on the Physiology of Macroalgae and Content Variability of Particular Metabolites. In Advances in Botanical Research; Bourgougnon, N., Ed.; Academic Press: Cambridge, MA, USA, 2020; Volume 95, pp. 247–287. [Google Scholar] [CrossRef]
  31. Bellorín, A.; Bulboa, C.; Contreras-Porcia, L. Algas: Una Introducción a la Ficología, 1st ed.; RIL Editores: Santiago, Chile, 2022; ISBN 978-956-01-0899-9. [Google Scholar]
  32. Karsten, U. Seaweed Acclimation to Salinity and Desiccation Stress. In Seaweed Biology. Ecological Studies; Wiencke, C., Bischof, K., Eds.; Springer: Berlin/Heidelberg, Germany, 2012; Volume 219. [Google Scholar] [CrossRef]
  33. Kumar, M.; Kumari, P.; Reddy, C.R.K.; Jha, B. Chapter Four—Salinity and Desiccation Induced Oxidative Stress Acclimation in Seaweeds. In Advances in Botanical Research; Bourgougnon, N., Ed.; Academic Press: Cambridge, MA, USA, 2014; Volume 71. [Google Scholar] [CrossRef]
  34. Karsten, U. Seasonal variation in heteroside concentrations of field-collected Porphyra species (Rhodophyta) from different biogeographic regions. New. Phytol. 1999, 143, 561–571. [Google Scholar] [CrossRef]
  35. Weng, Z.; Zhao, J.; Wang, Z.; Chen, J.; Luo, Q.; Yang, R.; Chen, H.; Zhang, P.; Wang, T. Responses of isomeric floridosides under stress in two heteromorphic generations of Neoporphyra haitanensis. Algal Res. 2022, 65, 102724. [Google Scholar] [CrossRef]
  36. Tcherkez, G.; Mahé, A.; Gauthier, P.; Mauve, C.; Gout, E.; Bligny, R.; Cornic, G.; Hodges, M. In Folio respiratory fluxomics revealed by 13C-isotopic labeling and H/D isotope effects highlight the noncyclic nature of the tricarboxylic acid “cycle” in illuminated leaves. Plant Physiol. 2009, 151, 620–630. [Google Scholar] [CrossRef]
  37. Araújo, W.L.; Nunes-Nesi, A.; Nikoloski, Z.; Sweetlove, L.J.; Fernie, A.R. Metabolic control and regulation of the tricarboxylic acid cycle in photosynthetic and heterotrophic plant tissues. Plant Cell Environ. 2012, 35, 1–21. [Google Scholar] [CrossRef]
  38. Sampath-Wiley, P.; Neefus, C.D.; Jahnke, L.S. Seasonal effects of sun exposure and emersion on intertidal seaweed physiology: Fluctuations in antioxidant contents, photosynthetic pigments and photosynthetic efficiency in the red alga Porphyra umbilicalis Kützing (Rhodophyta, Bangiales). J. Exp. Mar. Biol. Ecol. 2008, 361, 83–91. [Google Scholar] [CrossRef]
  39. Lin, R.; Stekoll, M.S. Phycobilin content of the conchocelis phase of Alaskan Porphyra (Bangiales, Rhodophyta) species: Responses to environmental variables. J. Phycol. 2011, 47, 208–214. [Google Scholar] [CrossRef]
  40. Im, S.; Choi, S.; Hwang, M.S.; Park, E.-J.; Jeong, W.-J.; Choi, D.-W. De novo assembly of transcriptome from the gametophyte of the marine red algae Pyropia seriata and identification of abiotic stress response genes. J. Appl. Phycol. 2015, 27, 1343–1353. [Google Scholar] [CrossRef]
  41. Wang, W.; Lin, Y.; Teng, F.; Ji, D.; Xu, Y.; Chen, C.; Xie, C. Comparative transcriptome analysis between heat-tolerant and sensitive Pyropia haitanensis strains in response to high temperature stress. Algal Res. 2018, 29, 104–112. [Google Scholar] [CrossRef]
  42. Cao, M.; Wang, D.; Kong, F.; Wang, J.; Xu, K.; Mao, Y. A genome-wide identification of osmotic stress-responsive microRNAs in Pyropia haitanensis (Bangiales, Rhodophyta). Front. Mar. Sci. 2019, 6, 766. [Google Scholar] [CrossRef]
  43. Yu, X.; Mo, Z.; Tang, X.; Gao, T.; Mao, Y. Genome-wide analysis of HSP70 gene superfamily in Pyropia yezoensis (Bangiales, Rhodophyta): Identification, characterization and expression profiles in response to dehydration stress. BMC Plant Biol. 2021, 21, 435. [Google Scholar] [CrossRef]
  44. Zhong, Z.-H.; Wang, W.-J.; Sun, X.-T.; Liu, F.-L.; Liang, Z.-R.; Wang, F.-J.; Chen, W.-Z. Developmental and physiological properties of Pyropia dentata (Bangiales, Rhodophyta) conchocelis in culture. J. Appl. Phycol. 2016, 28, 3435–3445. [Google Scholar] [CrossRef]
  45. Knoop, J.; Griffin, J.N.; Barrento, S. Cultivation of early life history stages of Porphyra dioica from the British Isles. J. Appl. Phycol. 2020, 32, 459–471. [Google Scholar] [CrossRef]
  46. Brawley, S.H.; Blouin, N.A.; Ficko-Blean, E.; Wheeler, G.L.; Lohr, M.; Goodson, H.V.; Jenkins, J.W.; Blaby-Haas, C.E.; Helliwell, K.E.; Chan, C.X.; et al. Insights into the red algae and eukaryotic evolution from the genome of Porphyra umbilicalis (Bangiophyceae, Rhodophyta). Proc. Natl. Acad. Sci. USA 2017, 114, E6361–E6370. [Google Scholar] [CrossRef]
  47. Cho, T.J.; Rhee, M.S. Health Functionality and Quality Control of Laver (Porphyra, Pyropia): Current Issues and Future Perspectives as an Edible Seaweed. Mar. Drugs 2020, 18, 14. [Google Scholar] [CrossRef]
  48. FAO (Food and Agriculture Organization of the United Nations). 2022b. Thinking about the Future of Food Safety—A Foresight Report. Available online: https://www.fao.org/documents/card/en/c/cb8667en (accessed on 1 July 2022).
  49. Contreras, L.; Moenne, A.; Correa, J.A. Antioxidant responses in Scytosiphon lomentaria (Phaeophycae) inhabiting copper-enriched coastal environments. J. Phycol. 2005, 41, 1184–1195. [Google Scholar] [CrossRef]
  50. Smith, P.K.; Krohn, R.I.; Hermanson, G.T.; Mallia, A.K.; Gartner, F.H.; Provenzano, M.D.; Fujimoto, E.K.; Goeke, N.M.; Olson, B.J.; Klenk, D.C. Measurement of protein using bicinchoninic acid. Anal. Biochem. 1985, 150, 76–85. [Google Scholar] [CrossRef] [PubMed]
  51. Lovazzano, C.; Serrano, C.; Correa, J.A.; Contreras-Porcia, L. Comparative analysis of peroxiredoxin activation in the brown macroalgae Scytosiphon gracilis and Lessonia nigrescens (Phaeophyceae) under copper stress. Physiol. Plant. 2013, 149, 378–388. [Google Scholar] [CrossRef] [PubMed]
  52. Pfaffl, M.W. A new mathematical model for relative quantification in real-time RT-PCR. Nucleic Acids Res. 2001, 29, 2002–2007. [Google Scholar] [CrossRef] [PubMed]
Disclaimer/Publisher’s Note: The statements, opinions and data contained in all publications are solely those of the individual author(s) and contributor(s) and not of MDPI and/or the editor(s). MDPI and/or the editor(s) disclaim responsibility for any injury to people or property resulting from any ideas, methods, instructions or products referred to in the content.

Article Metrics

Citations

Article Access Statistics

Multiple requests from the same IP address are counted as one view.