Selenium, Sulfur, and Methyl Jasmonate Treatments Improve the Accumulation of Lutein and Glucosinolates in Kale Sprouts
Abstract
:1. Introduction
2. Results
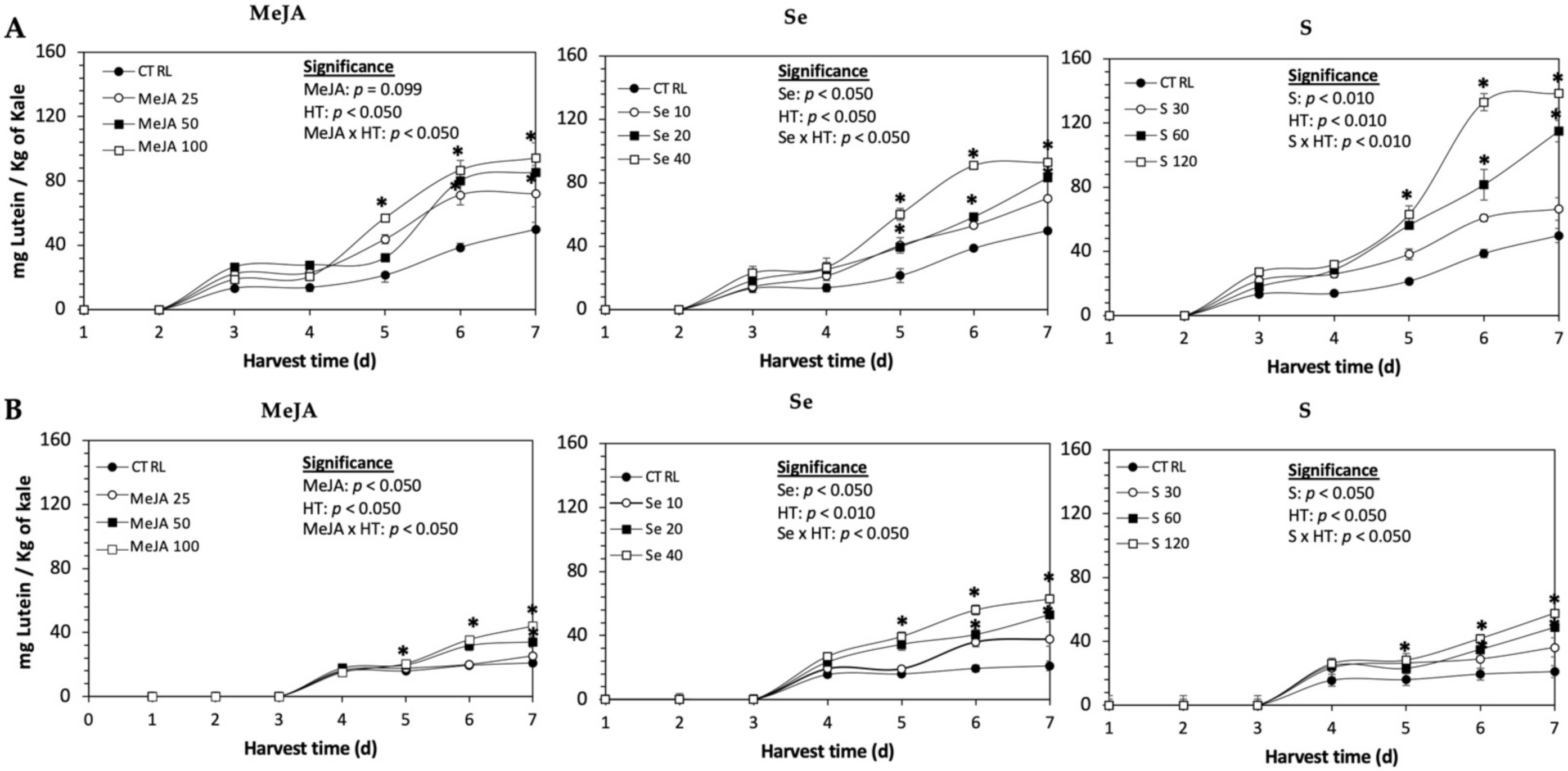
2.1. Carotenoids
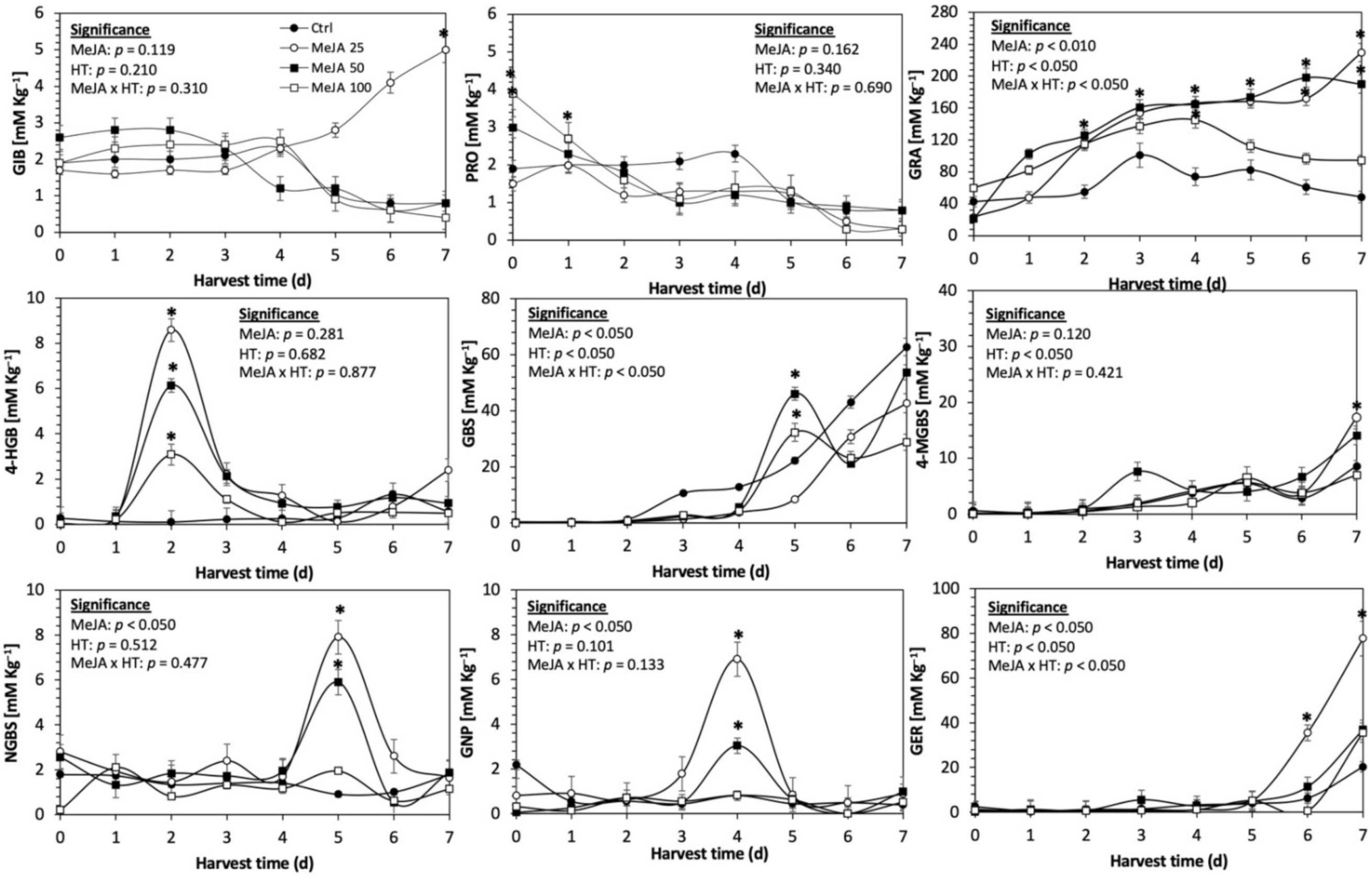
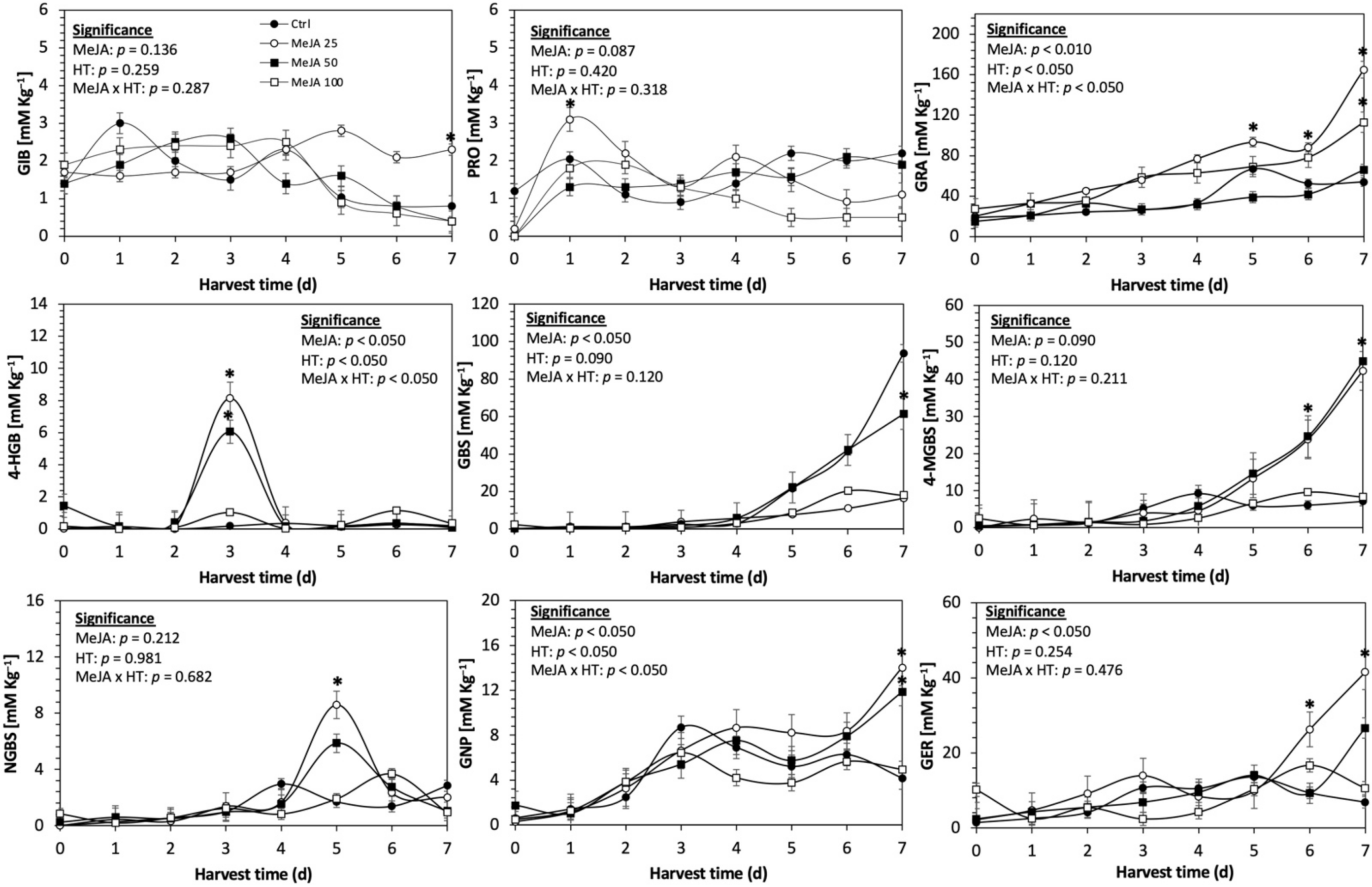
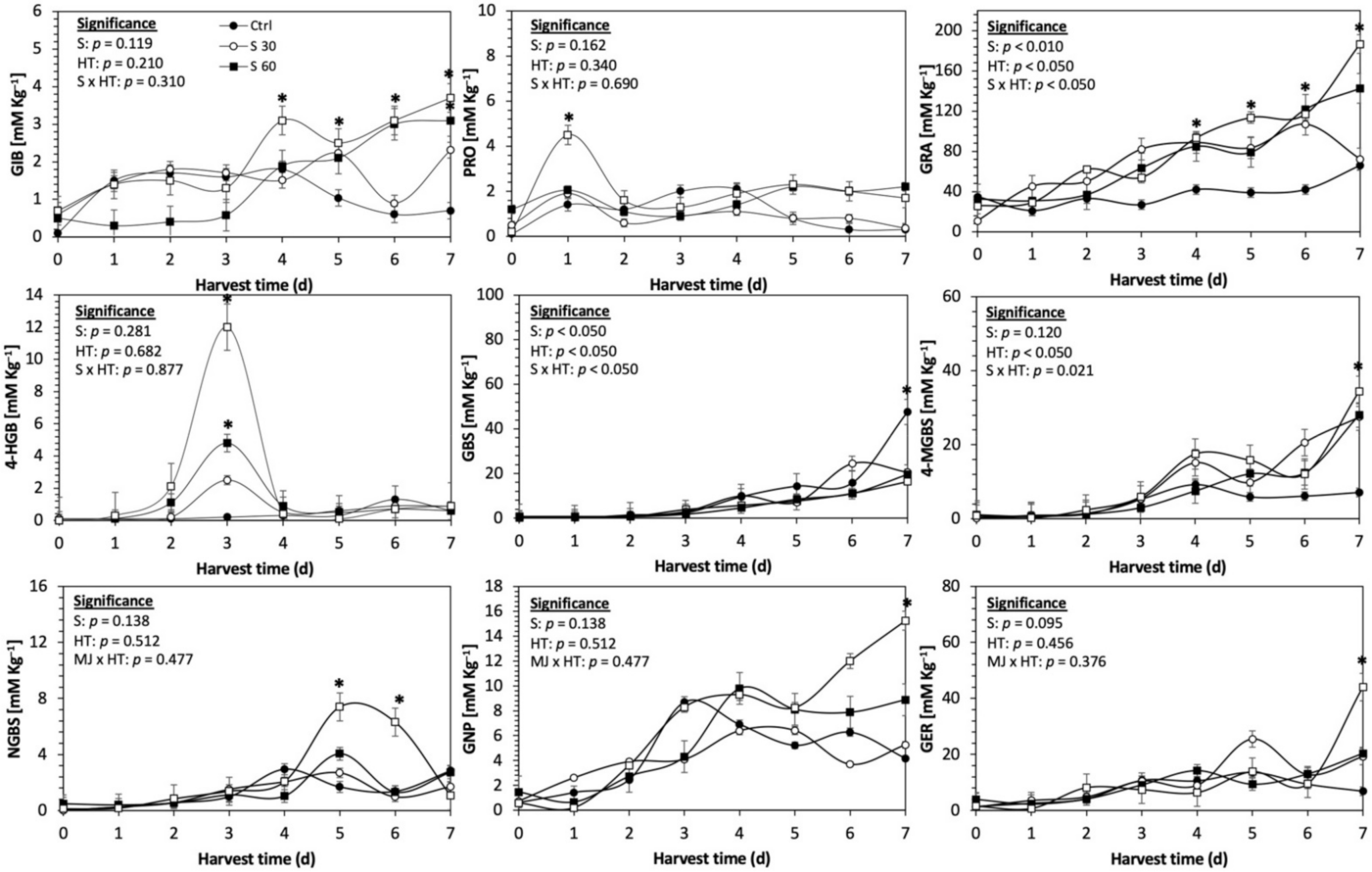
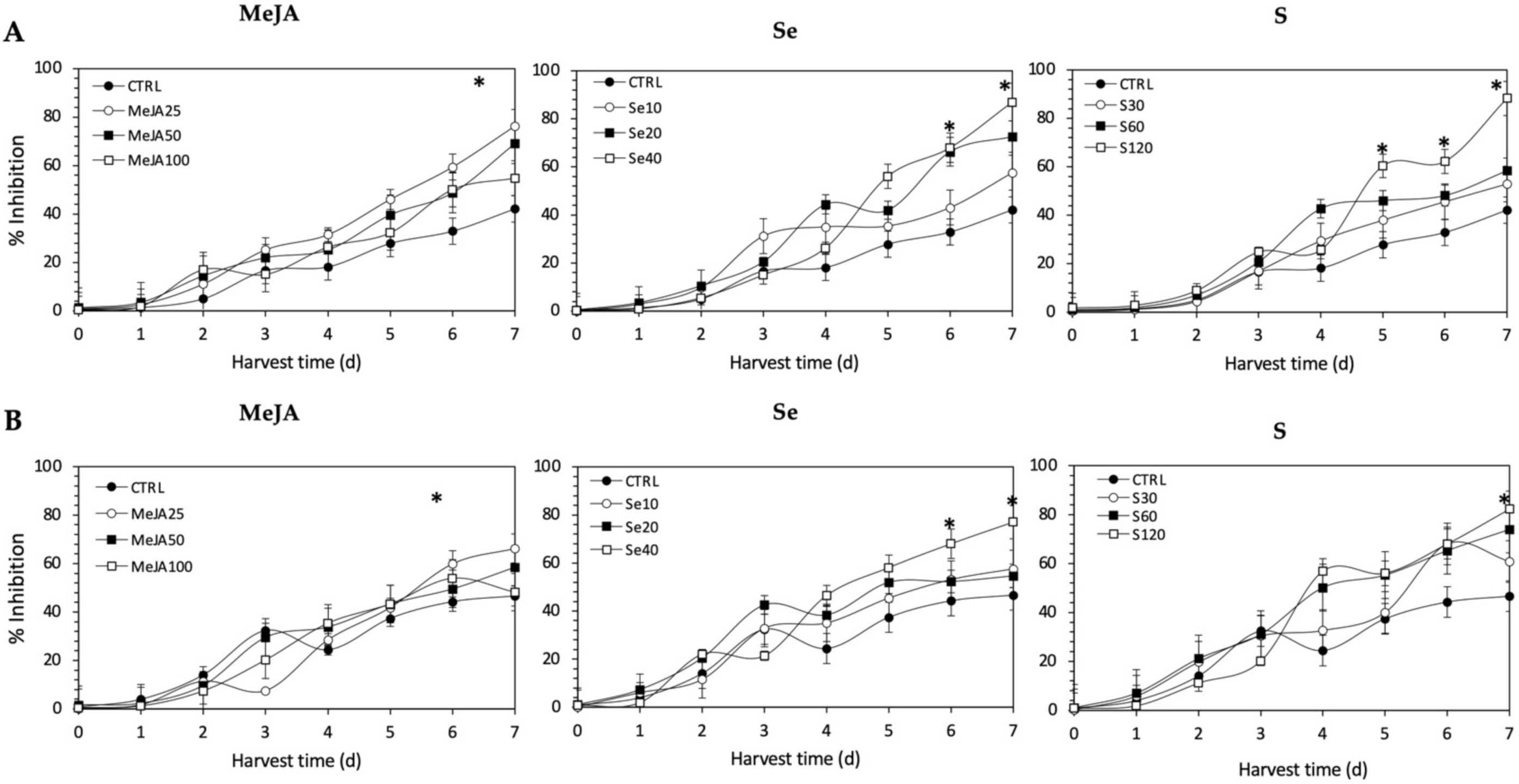
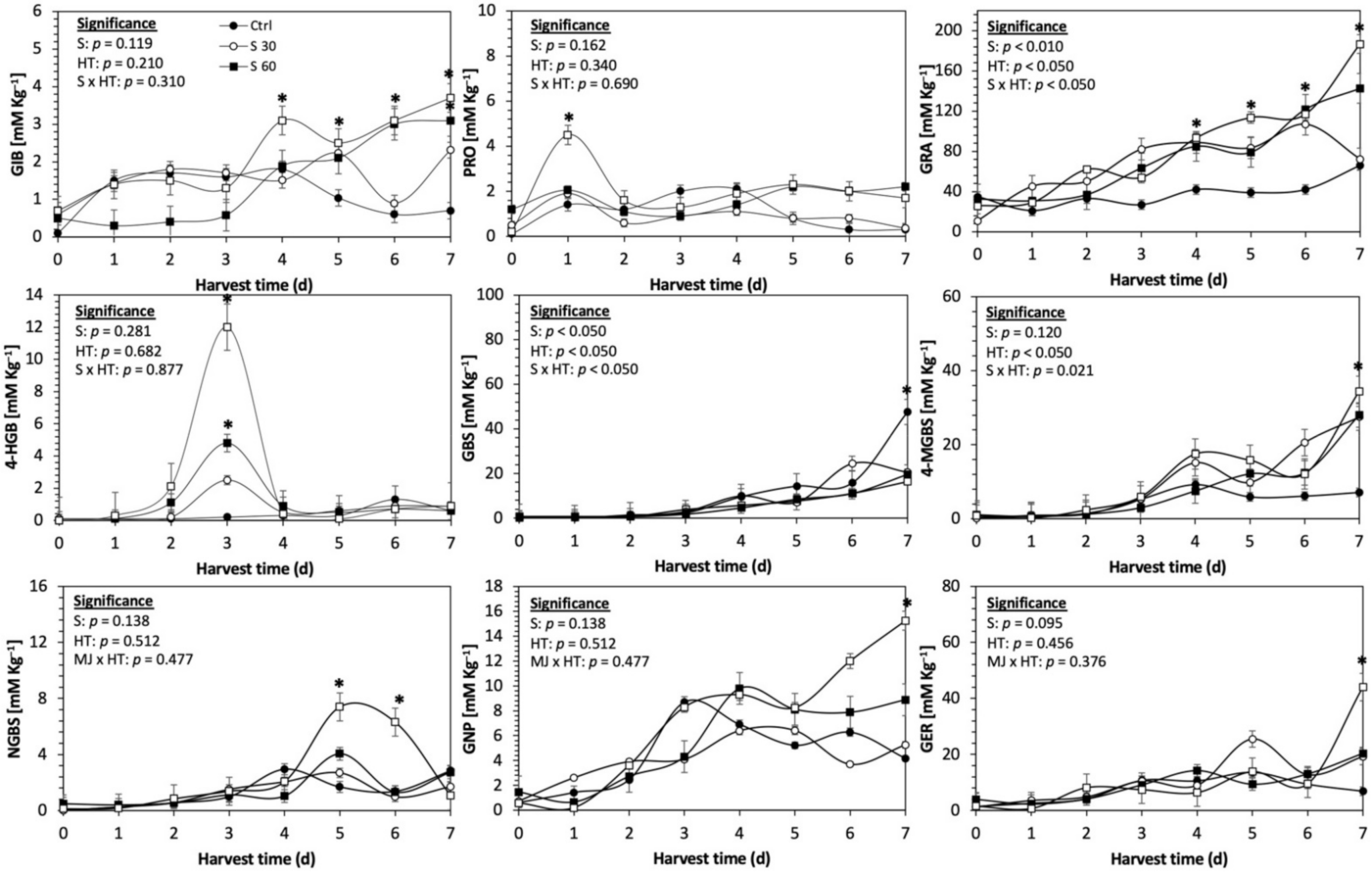
2.2. Glucosinolates
2.3. Phenolic Compounds
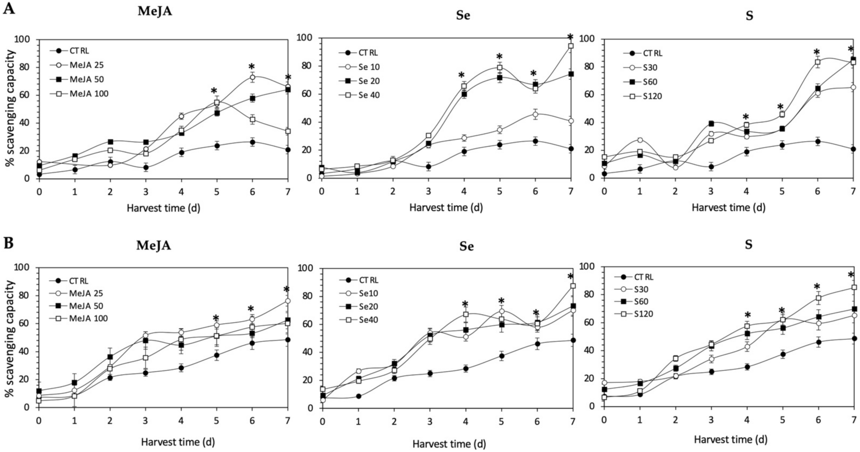
2.4. Antioxidant Activity
3. Discussion
3.1. Lutein
3.2. Glucosinolates
3.3. Phenolic Compounds
3.4. Antioxidant Activity
4. Materials and Methods
4.1. Chemicals
4.2. Plant Material
4.3. MeJA, Se, and S Treatments
4.4. Phytochemical Analyses
4.4.1. Extraction of Secondary Metabolites
4.4.2. Identification and Quantification of Lutein
4.4.3. Identification and Quantification of Phenolic Compounds
4.4.4. Desulfation of Glucosinolates
4.4.5. Identification and Quantification of Glucosinolates
4.5. Antioxidant Activities
4.5.1. Free Radical Scavenging Activity
4.5.2. Ferrous Ion (Fe2+)-Chelating Activity
4.5.3. Nitric Oxide Radical Assay
4.6. Statistical Analysis
5. Conclusions
Supplementary Materials
Author Contributions
Funding
Institutional Review Board Statement
Informed Consent Statement
Data Availability Statement
Acknowledgments
Conflicts of Interest
References
- Balkaya, A.; Yanmaz, R. Promising Kale (Brassica oleracea Var. Acephala) Populations from Black Sea Region, Turkey. N. Z. J. Crop Hortic. Sci. 2005, 33, 1–7. [Google Scholar] [CrossRef]
- Kuerban, A.; Yaghmoor, S.S.; Almulaiky, Y.Q.; Mohamed, Y.A.; Razvi, S.S.I.; Hasan, M.N.; Moselhy, S.S.; Al-Ghafari, A.B.; Alsufiani, H.M.; Kumosani, T.A.; et al. Therapeutic Effects of Phytochemicals of Brassicaceae for Management of Obesity. J. Pharm. Res. Int. 2017, 19, 1–11. [Google Scholar] [CrossRef]
- Lemos, M.; Santin, J.R.; Júnior, L.C.K.; Niero, R.; Andrade, S.F. de Gastroprotective Activity of Hydroalcoholic Extract Obtained from the Leaves of Brassica oleracea Var. Acephala DC in Different Animal Models. J. Ethnopharmacol. 2011, 138, 503–507. [Google Scholar] [CrossRef] [PubMed] [Green Version]
- Abellán, Á.; Domínguez-Perles, R.; Moreno, D.A.; García-Viguera, C. Sorting out the Value of Cruciferous Sprouts as Sources of Bioactive Compounds for Nutrition and Health. Nutrients 2019, 11, 429. [Google Scholar] [CrossRef] [Green Version]
- Ortega-Hernández, E.; Antunes-Ricardo, M.; Jacobo-Velázquez, D.A. Improving the Health-Benefits of Kales (Brassica oleracea L. Var. Acephala DC) through the Application of Controlled Abiotic Stresses: A Review. Plants 2021, 10, 2629. [Google Scholar] [CrossRef] [PubMed]
- Correia, R.T.; Borges, K.C.; Medeiros, M.F.; Genovese, M.I. Bioactive Compounds and Phenolic-Linked Functionality of Powdered Tropical Fruit Residues. Food Sci. Technol. Int. 2012, 18, 539–547. [Google Scholar] [CrossRef] [PubMed]
- Cisneros-Zevallos, L.; Jacobo-Velázquez, D.A. Controlled Abiotic Stresses Revisited: From Homeostasis through Hormesis to Extreme Stresses and the Impact on Nutraceuticals and Quality during Pre- and Postharvest Applications in Horticultural Crops. J. Agric. Food Chem. 2020, 68, 11877–11879. [Google Scholar] [CrossRef]
- Alegre, S.; Pascual, J.; Trotta, A.; Gollan, P.J.; Yang, W.; Yang, B.; Aro, E.-M.; Burow, M.; Kangasjärvi, S. Growth under High Light and Elevated Temperature Affects Metabolic Responses and Accumulation of Health-Promoting Metabolites in Kale Varieties. bioRxiv 2019, 816405. [Google Scholar] [CrossRef] [Green Version]
- Klopsch, R.; Baldermann, S.; Voss, A.; Rohn, S.; Schreiner, M.; Neugart, S. Narrow-Banded UVB Affects the Stability of Secondary Plant Metabolites in Kale (Brassica oleracea Var. Sabellica) and Pea (Pisum sativum) Leaves Being Added to Lentil Flour Fortified Bread: A Novel Approach for Producing Functional Foods. Foods 2019, 8, 427. [Google Scholar] [CrossRef] [Green Version]
- Lee, J.-H.; Myung, M.-O. Short-Term Ultraviolet (UV)-A Light-Emitting Diode (LED) Radiation Improves Biomass and Bioactive Compounds of Kale. Front. Plant Sci. 2019, 10, 1042. [Google Scholar] [CrossRef] [Green Version]
- Yoon, H.I.; Kim, D.; Son, J.E. Spatial and Temporal Bioactive Compound Contents and Chlorophyll Fluorescence of Kale (Brassica oleracea L.) Under UV-B Exposure Near Harvest Time in Controlled Environments. Photochem. Photobiol. 2020, 96, 845–852. [Google Scholar] [CrossRef] [PubMed]
- Barickman, T.C.; Ku, K.-M.; Sams, C.E. Differing Precision Irrigation Thresholds for Kale (Brassica oleracea L. Var. Acephala) Induces Changes in Physiological Performance, Metabolites, and Yield. Environ. Exp. Bot. 2020, 180, 104253. [Google Scholar] [CrossRef]
- Yoon, H.I.; Zhang, W.; Son, J.E. Optimal Duration of Drought Stress Near Harvest for Promoting Bioactive Compounds and Antioxidant Capacity in Kale with or without UV-B Radiation in Plant Factories. Plants 2020, 9, 295. [Google Scholar] [CrossRef] [PubMed] [Green Version]
- Kopsell, D.E.; Kopsell, D.A.; Randle, W.M.; Coolong, T.W.; Sams, C.E.; Curran-Celentano, J. Kale Carotenoids Remain Stable While Flavor Compounds Respond to Changes in Sulfur Fertility. J. Agric. Food Chem. 2003, 51, 5319–5325. [Google Scholar] [CrossRef]
- Park, Y.-J.; Lee, H.-M.; Shin, M.; Arasu, M.V.; Chung, D.Y.; Al-Dhabi, N.A.; Kim, S.-J. Effect of Different Proportion of Sulphur Treatments on the Contents of Glucosinolate in Kale (Brassica oleracea Var. Acephala) Commonly Consumed in Republic of Korea. Saudi J. Biol. Sci. 2018, 25, 349–353. [Google Scholar] [CrossRef]
- Kim, S.Y.; Park, J.-E.; Kim, E.O.; Lim, S.J.; Nam, E.J.; Yun, J.H.; Yoo, G.; Oh, S.-R.; Kim, H.S.; Nho, C.W. Exposure of Kale Root to NaCl and Na2SeO3 Increases Isothiocyanate Levels and Nrf2 Signalling without Reducing Plant Root Growth. Sci. Rep. 2018, 8, 3999. [Google Scholar] [CrossRef] [Green Version]
- Linić, I.; Šamec, D.; Grúz, J.; Vujčić Bok, V.; Strnad, M.; Salopek-Sondi, B. Involvement of Phenolic Acids in Short-Term Adaptation to Salinity Stress Is Species-Specific among Brassicaceae. Plants 2019, 8, 155. [Google Scholar] [CrossRef] [Green Version]
- Wang, L.-C.; Tsai, M.-C.; Chang, K.-Y.; Fan, Y.-S.; Yeh, C.-H.; Wu, S.-J. Involvement of the Arabidopsis HIT1/AtVPS53 Tethering Protein Homologue in the Acclimation of the Plasma Membrane to Heat Stress. J. Exp. Bot. 2011, 62, 3609–3620. [Google Scholar] [CrossRef] [Green Version]
- Hwang, S.-J.; Chun, J.-H.; Kim, S.-J. Effect of Cold Stress on Carotenoids in Kale Leaves (Brassica oleracea). Korean J. Environ. Agric. 2017, 36, 106–112. [Google Scholar] [CrossRef] [Green Version]
- Jurkow, R.; Wurst, A.; Kalisz, A.; Sękara, A.; Cebula, S. Cold Stress Modifies Bioactive Compounds of Kale Cultivars during Fall–Winter Harvests. Acta Agrobot. 2019, 72, 1761. [Google Scholar] [CrossRef] [Green Version]
- Lee, J.-H.; Myung, M.-O. Short-Term Low Temperature Increases Phenolic Antioxidant Levels in Kale. Hortic. Environ. Biotechnol. 2015, 56, 588–596. [Google Scholar] [CrossRef]
- Lee, M.-J.; Lim, S.; Kim, J.; Myung, M.-O. Heat Shock Treatments Induce the Accumulation of Phytochemicals in Kale Sprouts. Hortic. Sci. Technol. 2012, 30, 509–518. [Google Scholar] [CrossRef]
- Ku, K.M.; Juvik, J.A. Environmental Stress and Methyl Jasmonate-Mediated Changes in Flavonoid Concentrations and Antioxidant Activity in Broccoli Florets and Kale Leaf Tissues. HortScience 2013, 48, 996–1002. [Google Scholar] [CrossRef] [Green Version]
- Sun, B.; Yan, H.; Zhang, F.; Wang, Q. Effects of Plant Hormones on Main Health-Promoting Compounds and Antioxidant Capacity of Chinese Kale. Food Res. Int. 2012, 48, 359–366. [Google Scholar] [CrossRef]
- Yi, G.-E.; Robin, A.H.K.; Yang, K.; Park, J.-I.; Hwang, B.H.; Nou, I.-S. Exogenous Methyl Jasmonate and Salicylic Acid Induce Subspecies-Specific Patterns of Glucosinolate Accumulation and Gene Expression in Brassica oleracea L. Molecules 2016, 21, 1417. [Google Scholar] [CrossRef] [Green Version]
- Cao, M.-J.; Wang, Z.; Zhao, Q.; Mao, J.-L.; Speiser, A.; Wirtz, M.; Hell, R.; Zhu, J.-K.; Xiang, C.-B. Sulfate Availability Affects ABA Levels and Germination Response to ABA and Salt Stress in Arabidopsis Thaliana. Plant J. Cell Mol. Biol. 2014, 77, 604–615. [Google Scholar] [CrossRef]
- Schiavon, M.; Pilon-Smits, E.A. The Fascinating Facets of Plant Selenium Accumulation—Biochemistry, Physiology, Evolution and Ecology. N. Phytol. 2017, 213, 1582–1596. [Google Scholar] [CrossRef] [Green Version]
- Feng, R.; Wei, C.; Tu, S. The Roles of Selenium in Protecting Plants against Abiotic Stresses. Environ. Exp. Bot. 2013, 87, 58–68. [Google Scholar] [CrossRef]
- Brosché, M.; Strid, Å. Molecular Events Following Perception of Ultraviolet-B Radiation by Plants. Physiol. Plant. 2003, 117, 1–10. [Google Scholar] [CrossRef]
- Sams, C.E.; Panthee, D.R.; Charron, C.S.; Kopsell, D.A.; Yuan, J.S. Selenium Regulates Gene Expression for Glucosinolate and Carotenoid Biosynthesis in Arabidopsis. J. Am. Soc. Hortic. Sci. 2011, 136, 23–34. [Google Scholar] [CrossRef] [Green Version]
- Zhao, J.; Davis, L.C.; Verpoorte, R. Elicitor Signal Transduction Leading to Production of Plant Secondary Metabolites. Biotechnol. Adv. 2005, 23, 283–333. [Google Scholar] [CrossRef] [PubMed]
- Moreira-Rodríguez, M.; Nair, V.; Benavides, J.; Cisneros-Zevallos, L.; Jacobo-Velázquez, D.A. UVA, UVB Light, and Methyl Jasmonate, Alone or Combined, Redirect the Biosynthesis of Glucosinolates, Phenolics, Carotenoids, and Chlorophylls in Broccoli Sprouts. Int. J. Mol. Sci. 2017, 18, 2330. [Google Scholar] [CrossRef] [PubMed] [Green Version]
- Skirycz, A.; Reichelt, M.; Burow, M.; Birkemeyer, C.; Rolcik, J.; Kopka, J.; Zanor, M.I.; Gershenzon, J.; Strnad, M.; Szopa, J.; et al. DOF Transcription Factor AtDof1.1 (OBP2) is Part of a Regulatory Network Controlling Glucosinolate Biosynthesis in Arabidopsis. Plant J. Cell Mol. Biol. 2006, 47, 10–24. [Google Scholar] [CrossRef] [PubMed]
- Guan, Y.; Hu, W.; Jiang, A.; Xu, Y.; Sa, R.; Feng, K.; Zhao, M.; Yu, J.; Ji, Y.; Hou, M.; et al. Effect of Methyl Jasmonate on Phenolic Accumulation in Wounded Broccoli. Molecules 2019, 24, 3537. [Google Scholar] [CrossRef] [PubMed] [Green Version]
- Liu, L.; Wei, J.; Zhang, M.; Zhang, L.; Li, C.; Wang, Q. Ethylene Independent Induction of Lycopene Biosynthesis in Tomato Fruits by Jasmonates. J. Exp. Bot. 2012, 63, 5751–5761. [Google Scholar] [CrossRef] [PubMed] [Green Version]
- Kim, H.-J.; Fonseca, J.M.; Choi, J.-H.; Kubota, C. Effect of Methyl Jasmonate on Phenolic Compounds and Carotenoids of Romaine Lettuce (Lactuca sativa L.). J. Agric. Food Chem. 2007, 55, 10366–10372. [Google Scholar] [CrossRef]
- Kim, M.J.; Chiu, Y.-C.; Ku, K.-M. Glucosinolates, Carotenoids, and Vitamins E and K Variation from Selected Kale and Collard Cultivars. J. Food Qual. 2017, 2017, e5123572. [Google Scholar] [CrossRef] [Green Version]
- Becerra-Moreno, A.; Alanís-Garza, P.A.; Mora-Nieves, J.L.; Mora-Mora, J.P.; Jacobo-Velázquez, D.A. Kale: An Excellent Source of Vitamin C, pro-Vitamin A, Lutein and Glucosinolates. CyTA J. Food 2014, 12, 298–303. [Google Scholar] [CrossRef]
- Šamec, D.; Ljubej, V.; Redovniković, I.R.; Fistanić, S.; Salopek-Sondi, B. Low Temperatures Affect the Physiological Status and Phytochemical Content of Flat Leaf Kale (Brassica oleracea Var. Acephala) Sprouts. Foods 2022, 11, 264. [Google Scholar] [CrossRef]
- Fiutak, G.; Michalczyk, M. Effect of Artificial Light Source on Pigments, Thiocyanates and Ascorbic Acid Content in Kale Sprouts (Brassica oleracea L. Var. Sabellica L.). Food Chem. 2020, 330, 127189. [Google Scholar] [CrossRef]
- Hahn, C.; Müller, A.; Kuhnert, N.; Albach, D. Diversity of Kale (Brassica oleracea Var. Sabellica): Glucosinolate Content and Phylogenetic Relationships. J. Agric. Food Chem. 2016, 64, 3215–3225. [Google Scholar] [CrossRef]
- Lefsrud, M.G.; Kopsell, D.A.; Kopsell, D.E.; Randle, W.M. Kale Carotenoids Are Unaffected by, Whereas Biomass Production, Elemental Concentrations, and Selenium Accumulation Respond to, Changes in Selenium Fertility. J. Agric. Food Chem. 2006, 54, 1764–1771. [Google Scholar] [CrossRef] [PubMed]
- Pospíšil, P. Production of Reactive Oxygen Species by Photosystem II as a Response to Light and Temperature Stress. Front. Plant Sci. 2016, 7, 1950. [Google Scholar] [CrossRef] [PubMed]
- Jahns, P.; Holzwarth, A.R. The Role of the Xanthophyll Cycle and of Lutein in Photoprotection of Photosystem II. Biochim. Biophys. Acta BBA Bioenerg. 2012, 1817, 182–193. [Google Scholar] [CrossRef] [PubMed] [Green Version]
- Luo, H.; He, W.; Li, D.; Bao, Y.; Riaz, A.; Xiao, Y.; Song, J.; Liu, C. Effect of Methyl Jasmonate on Carotenoids Biosynthesis in Germinated Maize Kernels. Food Chem. 2020, 307, 125525. [Google Scholar] [CrossRef]
- Sirhindi, G.; Mushtaq, R.; Gill, S.S.; Sharma, P.; Abd_Allah, E.F.; Ahmad, P. Jasmonic Acid and Methyl Jasmonate Modulate Growth, Photosynthetic Activity and Expression of Photosystem II Subunit Genes in Brassica oleracea L. Sci. Rep. 2020, 10, 9322. [Google Scholar] [CrossRef]
- Saini, R.K.; Harish Prashanth, K.V.; Shetty, N.P.; Giridhar, P. Elicitors, SA and MJ Enhance Carotenoids and Tocopherol Biosynthesis and Expression of Antioxidant Related Genes in Moringa Oleifera Lam. Leaves. Acta Physiol. Plant. 2014, 36, 2695–2704. [Google Scholar] [CrossRef]
- Saniewski, M.; Czapski, J. The Effect of Methyl Jasmonate on Lycopene and β-Carotene Accumulation in Ripening Red Tomatoes. Experientia 1983, 39, 1373–1374. [Google Scholar] [CrossRef]
- Pérez, A.G.; Sanz, C.; Richardson, D.G.; Olías, J.M. Methyl Jasmonate Vapor Promotes β-Carotene Synthesis and Chlorophyll Degradation in Golden Delicious Apple Peel. J. Plant Growth Regul. 1993, 12, 163. [Google Scholar] [CrossRef]
- Divya, P.; Puthusseri, B.; Neelwarne, B. The Effect of Plant Regulators on the Concentration of Carotenoids and Phenolic Compounds in Foliage of Coriander. LWT Food Sci. Technol. 2014, 56, 101–110. [Google Scholar] [CrossRef]
- Falk, K.L.; Tokuhisa, J.G.; Gershenzon, J. The Effect of Sulfur Nutrition on Plant Glucosinolate Content: Physiology and Molecular Mechanisms. Plant Biol. 2007, 9, 573–581. [Google Scholar] [CrossRef]
- Kliebenstein, D.J.; Kroymann, J.; Brown, P.; Figuth, A.; Pedersen, D.; Gershenzon, J.; Mitchell-Olds, T. Genetic Control of Natural Variation in Arabidopsis Glucosinolate Accumulation. Plant Physiol. 2001, 126, 811–825. [Google Scholar] [CrossRef] [PubMed] [Green Version]
- Hsu, F.-C.; Wirtz, M.; Heppel, S.C.; Bogs, J.; Krämer, U.; Khan, M.S.; Bub, A.; Hell, R.; Rausch, T. Generation of Se-Fortified Broccoli as Functional Food: Impact of Se Fertilization on S Metabolism. Plant Cell Environ. 2011, 34, 192–207. [Google Scholar] [CrossRef] [PubMed]
- McKenzie, M.J.; Chen, R.K.Y.; Leung, S.; Joshi, S.; Rippon, P.E.; Joyce, N.I.; McManus, M.T. Selenium Treatment Differentially Affects Sulfur Metabolism in High and Low Glucosinolate Producing Cultivars of Broccoli (Brassica oleracea L.). Plant Physiol. Biochem. 2017, 121, 176–186. [Google Scholar] [CrossRef]
- Pérez-Balibrea, S.; Moreno, D.A.; García-Viguera, C. Improving the Phytochemical Composition of Broccoli Sprouts by Elicitation. Food Chem. 2011, 129, 35–44. [Google Scholar] [CrossRef]
- Mikkelsen, M.D.; Petersen, B.L.; Glawischnig, E.; Jensen, A.B.; Andreasson, E.; Halkier, B.A. Modulation of CYP79 Genes and Glucosinolate Profiles in Arabidopsis by Defense Signaling Pathways. Plant Physiol. 2003, 131, 298–308. [Google Scholar] [CrossRef] [PubMed] [Green Version]
- Torres-Contreras, A.M.; Nair, V.; Senés-Guerrero, C.; Pacheco, A.; González-Agüero, M.; Ramos-Parra, P.A.; Cisneros-Zevallos, L.; Jacobo-Velázquez, D.A. Chemical Genetics Applied to Elucidate the Physiological Role of Stress-Signaling Molecules on the Wound-Induced Accumulation of Glucosinolates in Broccoli. Plants 2021, 10, 2660. [Google Scholar] [CrossRef] [PubMed]
- Wiesner, M.; Hanschen, F.S.; Schreiner, M.; Glatt, H.; Zrenner, R. Induced Production of 1-Methoxy-Indol-3-Ylmethyl Glucosinolate by Jasmonic Acid and Methyl Jasmonate in Sprouts and Leaves of Pak Choi (Brassica rapa ssp. Chinensis). Int. J. Mol. Sci. 2013, 14, 14996–15016. [Google Scholar] [CrossRef] [Green Version]
- Finley, J.W.; Sigrid-Keck, A.; Robbins, R.J.; Hintze, K.J. Selenium Enrichment of Broccoli: Interactions between Selenium and Secondary Plant Compounds. J. Nutr. 2005, 135, 1236–1238. [Google Scholar] [CrossRef] [Green Version]
- Villarreal-García, D.; Nair, V.; Cisneros-Zevallos, L.; Jacobo-Velázquez, D.A. Plants as Biofactories: Postharvest Stress-Induced Accumulation of Phenolic Compounds and Glucosinolates in Broccoli Subjected to Wounding Stress and Exogenous Phytohormones. Front. Plant Sci. 2016, 7, 45. [Google Scholar] [CrossRef] [Green Version]
- Denness, L.; McKenna, J.F.; Segonzac, C.; Wormit, A.; Madhou, P.; Bennett, M.; Mansfield, J.; Zipfel, C.; Hamann, T. Cell Wall Damage-Induced Lignin Biosynthesis Is Regulated by a Reactive Oxygen Species- and Jasmonic Acid-Dependent Process in Arabidopsis. Plant Physiol. 2011, 156, 1364–1374. [Google Scholar] [CrossRef] [PubMed] [Green Version]
- Jacobo-Velázquez, D.A.; González-Agüero, M.; Cisneros-Zevallos, L. Cross-Talk between Signaling Pathways: The Link between Plant Secondary Metabolite Production and Wounding Stress Response. Sci. Rep. 2015, 5, 8608. [Google Scholar] [CrossRef] [PubMed] [Green Version]
- Kim, J.I.; Dolan, W.L.; Anderson, N.A.; Chapple, C. Indole Glucosinolate Biosynthesis Limits Phenylpropanoid Accumulation in Arabidopsis Thaliana. Plant Cell 2015, 27, 1529–1546. [Google Scholar] [CrossRef] [PubMed] [Green Version]
- Endo, Y.; Usuki, R.; Kaneda, T. Antioxidant Effects of Chlorophyll and Pheophytin on the Autoxidation of Oils in the Dark. I. Comparison of the Inhibitory Effects. J. Am. Oil Chem. Soc. 1985, 62, 1375–1378. [Google Scholar] [CrossRef]
- Lanfer-Marquez, U.M.; Barros, R.M.C.; Sinnecker, P. Antioxidant Activity of Chlorophylls and Their Derivatives. Food Res. Int. 2005, 38, 885–891. [Google Scholar] [CrossRef]
- Barillari, J.; Iori, R.; Papi, A.; Orlandi, M.; Bartolini, G.; Gabbanini, S.; Pedulli, G.F.; Valgimigli, L. Kaiware Daikon (Raphanus sativus L.) Extract: A Naturally Multipotent Chemopreventive Agent. J. Agric. Food Chem. 2008, 56, 7823–7830. [Google Scholar] [CrossRef]
- Baek, M.W.; Choi, H.R.; Solomon, T.; Jeong, C.S.; Lee, O.-H.; Tilahun, S. Preharvest Methyl Jasmonate Treatment Increased the Antioxidant Activity and Glucosinolate Contents of Hydroponically Grown Pak Choi. Antioxidants 2021, 10, 131. [Google Scholar] [CrossRef]
- Sánchez-Pujante, P.J.; Borja-Martínez, M.; Pedreño, M.Á.; Almagro, L. Biosynthesis and Bioactivity of Glucosinolates and Their Production in Plant in Vitro Cultures. Planta 2017, 246, 19–32. [Google Scholar] [CrossRef]
- Barillari, J.; Canistro, D.; Paolini, M.; Ferroni, F.; Pedulli, G.F.; Iori, R.; Valgimigli, L. Direct Antioxidant Activity of Purified Glucoerucin, the Dietary Secondary Metabolite Contained in Rocket (Eruca sativa Mill.) Seeds and Sprouts. J. Agric. Food Chem. 2005, 53, 2475–2482. [Google Scholar] [CrossRef]
- Cabello-Hurtado, F.; Gicquel, M.; Esnault, M.-A. Evaluation of the Antioxidant Potential of Cauliflower (Brassica oleracea) from a Glucosinolate Content Perspective. Food Chem. 2012, 132, 1003–1009. [Google Scholar] [CrossRef]
- Papi, A.; Orlandi, M.; Bartolini, G.; Barillari, J.; Iori, R.; Paolini, M.; Ferroni, F.; Grazia Fumo, M.; Pedulli, G.F.; Valgimigli, L. Cytotoxic and Antioxidant Activity of 4-Methylthio-3-Butenyl Isothiocyanate from Raphanus sativus L. (Kaiware Daikon) Sprouts. J. Agric. Food Chem. 2008, 56, 875–883. [Google Scholar] [CrossRef] [PubMed]
- Natella, F.; Maldini, M.; Leoni, G.; Scaccini, C. Glucosinolates Redox Activities: Can They Act as Antioxidants? Food Chem. 2014, 149, 226–232. [Google Scholar] [CrossRef] [PubMed]
- Stahl, W.; Sies, H. Antioxidant Activity of Carotenoids. Mol. Aspects Med. 2003, 24, 345–351. [Google Scholar] [CrossRef]
- Merhan, O. The Biochemistry and Antioxidant Properties of Carotenoids; IntechOpen: London, UK, 2017; ISBN 978-953-51-3212-7. [Google Scholar]
- Ligor, M.; Trziszka, T.; Buszewski, B. Study of Antioxidant Activity of Biologically Active Compounds Isolated from Green Vegetables by Coupled Analytical Techniques. Food Anal. Methods 2013, 6, 630–636. [Google Scholar] [CrossRef] [Green Version]
- Sikora, E.; Bodziarczyk, I. Composition and Antioxidant Activity of Kale (Brassica oleracea L. Var. Acephala) Raw and Cooked. Acta Sci. Pol. Technol. Aliment. 2012, 11, 239–248. [Google Scholar]
- Chen, J.; Yang, J.; Ma, L.; Li, J.; Shahzad, N.; Kim, C.K. Structure-Antioxidant Activity Relationship of Methoxy, Phenolic Hydroxyl, and Carboxylic Acid Groups of Phenolic Acids. Sci. Rep. 2020, 10, 2611. [Google Scholar] [CrossRef]
- Pereira, D.M.; Valentão, P.; Pereira, J.A.; Andrade, P.B. Phenolics: From Chemistry to Biology. Molecules 2009, 14, 2202–2211. [Google Scholar] [CrossRef]
- Naguib, A.E.-M.M.; El-Baz, F.K.; Salama, Z.A.; Abd El Baky Hanaa, H.; Ali, H.F.; Gaafar, A.A. Enhancement of Phenolics, Flavonoids and Glucosinolates of Broccoli (Brassica olaracea, Var. Italica) as Antioxidants in Response to Organic and Bio-Organic Fertilizers. J. Saudi Soc. Agric. Sci. 2012, 11, 135–142. [Google Scholar] [CrossRef] [Green Version]
- Miceli, N.; Cavò, E.; Ragusa, M.; Cacciola, F.; Mondello, L.; Dugo, L.; Acquaviva, R.; Malfa, G.A.; Marino, A.; D’Arrigo, M.; et al. Brassica Incana Ten. (Brassicaceae): Phenolic Constituents, Antioxidant and Cytotoxic Properties of the Leaf and Flowering Top Extracts. Mololecules 2020, 25, 1461. [Google Scholar] [CrossRef] [Green Version]
- Aguilar-Camacho, M.; Welti-Chanes, J.; Jacobo-Velázquez, D.A. Combined Effect of Ultrasound Treatment and Exogenous Phytohormones on the Accumulation of Bioactive Compounds in Broccoli Florets. Ultrason. Sonochem. 2019, 50, 289–301. [Google Scholar] [CrossRef]
- Miceli, N.; Trovato, A.; Marino, A.; Bellinghieri, V.; Melchini, A.; Dugo, P.; Cacciola, F.; Donato, P.; Mondello, L.; Güvenç, A.; et al. Phenolic Composition and Biological Activities of Juniperus Drupacea Labill. Berries from Turkey. Food Chem. Toxicol. Int. J. Publ. Br. Ind. Biol. Res. Assoc. 2011, 49, 2600–2608. [Google Scholar] [CrossRef] [PubMed]
- Vavrusova, M.; Pindstrup, H.; Johansen, L.B.; Andersen, M.L.; Andersen, H.J.; Skibsted, L.H. Characterisation of a Whey Protein Hydrolysate as Antioxidant. Int. Dairy J. 2015, 47, 86–93. [Google Scholar] [CrossRef]
- Hazra, B.; Biswas, S.; Mandal, N. Antioxidant and Free Radical Scavenging Activity of Spondias pinnata. BMC Complement. Altern. Med. 2008, 8, 63. [Google Scholar] [CrossRef] [PubMed] [Green Version]












| Phenolic Compound Concentration (mg/100 g DW) 1,2,3 | ||||||||||||||||||||||||||||||||||||
|---|---|---|---|---|---|---|---|---|---|---|---|---|---|---|---|---|---|---|---|---|---|---|---|---|---|---|---|---|---|---|---|---|---|---|---|---|
| Treatment | 4-O-CQA | 3-O-H-K | Sinapic acid | Ferulic acid | 1-S-2-FG | 1,2-diS-2-FG | K-3-O-s-so7-O-g | Quercetin | Total | |||||||||||||||||||||||||||
| CTRL | 47.69 | ± | 0.65 | a | 80.12 | ± | 2.77 | a | 68.27 | ± | 1.12 | a | 21.59 | ± | 0.96 | a | 4.00 | ± | 0.84 | a | 29.37 | ± | 1.26 | a | 27.10 | ± | 1.04 | c | 12.71 | ± | 0.66 | bc | 290.84 | ± | 9.31 | a |
| MeJA 25 µM | 18.68 | ± | 0.97 | c | 17.52 | ± | 5.61 | d | 18.48 | ± | 2.82 | e | 9.53 | ± | 0.26 | c | 1.42 | ± | 0.58 | c | 10.29 | ± | 2.28 | b | 63.67 | ± | 1.85 | a | 32.02 | ± | 1.48 | a | 171.59 | ± | 15.85 | e |
| MeJA 50 µM | 29.88 | ± | 0.85 | bc | 72.24 | ± | 4.61 | a | 26.76 | ± | 2.25 | d | 6.20 | ± | 0.90 | c | 0.76 | ± | 0.10 | d | 15.37 | ± | 2.29 | b | 34.81 | ± | 0.36 | b | 11.47 | ± | 0.40 | bc | 197.77 | ± | 11.77 | d |
| MeJA 100 µM | 33.01 | ± | 0.96 | b | 62.99 | ± | 5.44 | b | 39.23 | ± | 3.47 | c | 6.09 | ± | 0.74 | c | 1.51 | ± | 0.64 | c | 12.04 | ± | 0.85 | b | 31.19 | ± | 1.51 | b | 22.95 | ± | 2.80 | b | 212.31 | ± | 16.40 | d |
| Se 10 mg/L | 36.43 | ± | 1.09 | b | 61.74 | ± | 0.62 | b | 24.95 | ± | 1.38 | d | 17.15 | ± | 0.97 | ab | 3.84 | ± | 0.13 | a | 24.18 | ± | 0.90 | a | 17.65 | ± | 1.67 | d | 14.93 | ± | 0.77 | b | 200.87 | ± | 7.53 | d |
| Se 20 mg/L | 39.61 | ± | 2.13 | b | 66.13 | ± | 4.13 | b | 27.22 | ± | 2.73 | c | 18.25 | ± | 0.93 | ab | 3.62 | ± | 0.13 | a | 24.36 | ± | 0.50 | a | 26.03 | ± | 1.69 | c | 23.75 | ± | 1.57 | b | 228.97 | ± | 13.81 | d |
| Se 40 mg/L | 33.69 | ± | 2.69 | b | 49.65 | ± | 2.23 | c | 32.60 | ± | 1.56 | c | 23.92 | ± | 1.40 | a | 3.98 | ± | 0.29 | a | 25.61 | ± | 1.85 | a | 19.35 | ± | 0.92 | d | 26.86 | ± | 0.57 | b | 215.67 | ± | 11.51 | d |
| S 30 mg/L | 46.69 | ± | 1.32 | a | 71.41 | ± | 3.68 | ab | 51.36 | ± | 6.27 | b | 16.15 | ± | 0.87 | ab | 3.20 | ± | 0.05 | a | 26.00 | ± | 0.44 | a | 21.78 | ± | 1.57 | d | 13.54 | ± | 0.12 | bc | 250.12 | ± | 14.33 | c |
| S 60 mg/L | 41.33 | ± | 3.7 | a | 86.14 | ± | 4.13 | a | 73.22 | ± | 3.28 | a | 19.25 | ± | 0.86 | a | 2.95 | ± | 0.85 | ab | 27.13 | ± | 0.60 | a | 26.69 | ± | 1.28 | b | 19.76 | ± | 1.62 | b | 296.46 | ± | 16.32 | a |
| S 120 mg/L | 32.83 | ± | 6.68 | b | 79.36 | ± | 2.23 | a | 58.6 | ± | 5.27 | b | 17.92 | ± | 1.69 | a | 3.23 | ± | 0.51 | a | 26.63 | ± | 1.01 | a | 39.73 | ± | 0.06 | b | 21.08 | ± | 0.49 | b | 279.39 | ± | 17.94 | b |
| Phenolic Compound Concentration (mg/100 g DW) 1,2,3 | ||||||||||||||||||||||||||||||||||||
|---|---|---|---|---|---|---|---|---|---|---|---|---|---|---|---|---|---|---|---|---|---|---|---|---|---|---|---|---|---|---|---|---|---|---|---|---|
| Treatment | 4-O-CQA | 3-O-H-K | Sinapic acid | Ferulic acid | 1-S-2-FG | 1,2-diS- 2-FG | K-3-O-s-so7-O-g | Quercetin | Total | |||||||||||||||||||||||||||
| CTRL | 43.34 | ± | 2.90 | a | 91.18 | ± | 4.16 | a | 84.68 | ± | 4.02 | a | 28.04 | ± | 1.11 | a | 6.32 | ± | 0.42 | a | 3.51 | ± | 2.95 | ab | 32.86 | ± | 2.36 | cd | 23.97 | ± | 0.99 | c | 313.91 | ± | 18.89 | a |
| MeJA 25 µM | 17.16 | ± | 0.97 | d | 32.52 | ± | 3.03 | d | 28.48 | ± | 2.22 | e | 13.96 | ± | 0.26 | c | 2.42 | ± | 0.83 | c | 0.93 | ± | 2.28 | c | 57.92 | ± | 1.85 | a | 46.10 | ± | 1.72 | a | 199.96 | ± | 13.16 | d |
| MeJA 50 µM | 25.88 | ± | 0.85 | c | 40.45 | ± | 7.61 | c | 36.27 | ± | 2.11 | e | 12.20 | ± | 0.48 | c | 2.52 | ± | 0.77 | c | 0.37 | ± | 0.97 | c | 41.98 | ± | 0.10 | b | 31.11 | ± | 0.31 | b | 190.23 | ± | 13.2 | d |
| MeJA 100 µM | 29.32 | ± | 0.49 | c | 67.23 | ± | 3.35 | b | 46.97 | ± | 4.22 | d | 11.97 | ± | 1.94 | c | 2.35 | ± | 0.83 | c | 1.30 | ± | 0.56 | c | 41.19 | ± | 1.23 | b | 26.95 | ± | 1.61 | bc | 227.90 | ± | 14.22 | c |
| Se 10 mg/L | 39.98 | ± | 1.24 | a | 72.10 | ± | 6.68 | b | 62.34 | ± | 3.27 | c | 34.28 | ± | 0.97 | a | 6.71 | ± | 0.05 | a | 4.76 | ± | 0.39 | a | 16.88 | ± | 1.57 | d | 27.00 | ± | 0.01 | bc | 264.03 | ± | 14.18 | b |
| Se 20 mg/L | 31.13 | ± | 2.70 | b | 74.35 | ± | 7.30 | b | 72.04 | ± | 3.28 | b | 28.50 | ± | 0.93 | a | 5.58 | ± | 0.82 | b | 3.13 | ± | 0.03 | ab | 28.87 | ± | 1.03 | cd | 30.75 | ± | 1.62 | b | 274.35 | ± | 17.72 | b |
| Se 40 mg/L | 38.32 | ± | 2.07 | ab | 94.36 | ± | 5.33 | a | 69.11 | ± | 4.33 | c | 23.89 | ± | 1.40 | ab | 4.56 | ± | 0.61 | b | 4.86 | ± | 0.50 | a | 24.32 | ± | 0.21 | d | 22.86 | ± | 0.90 | c | 282.28 | ± | 15.34 | ab |
| S 30 mg/L | 40.98 | ± | 1.37 | a | 99.99 | ± | 7.60 | a | 73.74 | ± | 5.96 | a | 27.83 | ± | 0.87 | a | 7.76 | ± | 0.40 | a | 4.56 | ± | 0.85 | a | 19.32 | ± | 1.92 | d | 18.93 | ± | 0.98 | c | 293.11 | ± | 19.95 | a |
| S 60 mg/L | 33.65 | ± | 2.21 | b | 75.70 | ± | 7.33 | b | 88.00 | ± | 4.88 | a | 32.82 | ± | 0.86 | a | 8.13 | ± | 0.62 | a | 3.30 | ± | 0.10 | ab | 34.97 | ± | 1.73 | c | 21.75 | ± | 1.79 | c | 298.32 | ± | 19.53 | a |
| S 120 mg/L | 39.89 | ± | 2.47 | a | 92.99 | ± | 9.96 | a | 74.11 | ± | 7.44 | a | 24.95 | ± | 1.69 | ab | 9.84 | ± | 0.78 | a | 4.60 | ± | 1.51 | b | 35.63 | ± | 0.84 | c | 27.58 | ± | 0.98 | bc | 309.59 | ± | 25.68 | a |
Publisher’s Note: MDPI stays neutral with regard to jurisdictional claims in published maps and institutional affiliations. |
© 2022 by the authors. Licensee MDPI, Basel, Switzerland. This article is an open access article distributed under the terms and conditions of the Creative Commons Attribution (CC BY) license (https://creativecommons.org/licenses/by/4.0/).
Share and Cite
Ortega-Hernández, E.; Antunes-Ricardo, M.; Cisneros-Zevallos, L.; Jacobo-Velázquez, D.A. Selenium, Sulfur, and Methyl Jasmonate Treatments Improve the Accumulation of Lutein and Glucosinolates in Kale Sprouts. Plants 2022, 11, 1271. https://doi.org/10.3390/plants11091271
Ortega-Hernández E, Antunes-Ricardo M, Cisneros-Zevallos L, Jacobo-Velázquez DA. Selenium, Sulfur, and Methyl Jasmonate Treatments Improve the Accumulation of Lutein and Glucosinolates in Kale Sprouts. Plants. 2022; 11(9):1271. https://doi.org/10.3390/plants11091271
Chicago/Turabian StyleOrtega-Hernández, Erika, Marilena Antunes-Ricardo, Luis Cisneros-Zevallos, and Daniel A. Jacobo-Velázquez. 2022. "Selenium, Sulfur, and Methyl Jasmonate Treatments Improve the Accumulation of Lutein and Glucosinolates in Kale Sprouts" Plants 11, no. 9: 1271. https://doi.org/10.3390/plants11091271
APA StyleOrtega-Hernández, E., Antunes-Ricardo, M., Cisneros-Zevallos, L., & Jacobo-Velázquez, D. A. (2022). Selenium, Sulfur, and Methyl Jasmonate Treatments Improve the Accumulation of Lutein and Glucosinolates in Kale Sprouts. Plants, 11(9), 1271. https://doi.org/10.3390/plants11091271

