Impacts of Rapid Desiccation on Oxidative Status, Ultrastructure and Physiological Functions of Syzygium maire (Myrtaceae) Zygotic Embryos in Preparation for Cryopreservation
Abstract
1. Introduction
2. Results
2.1. Embryo Response to Desiccation and Cryopreservation
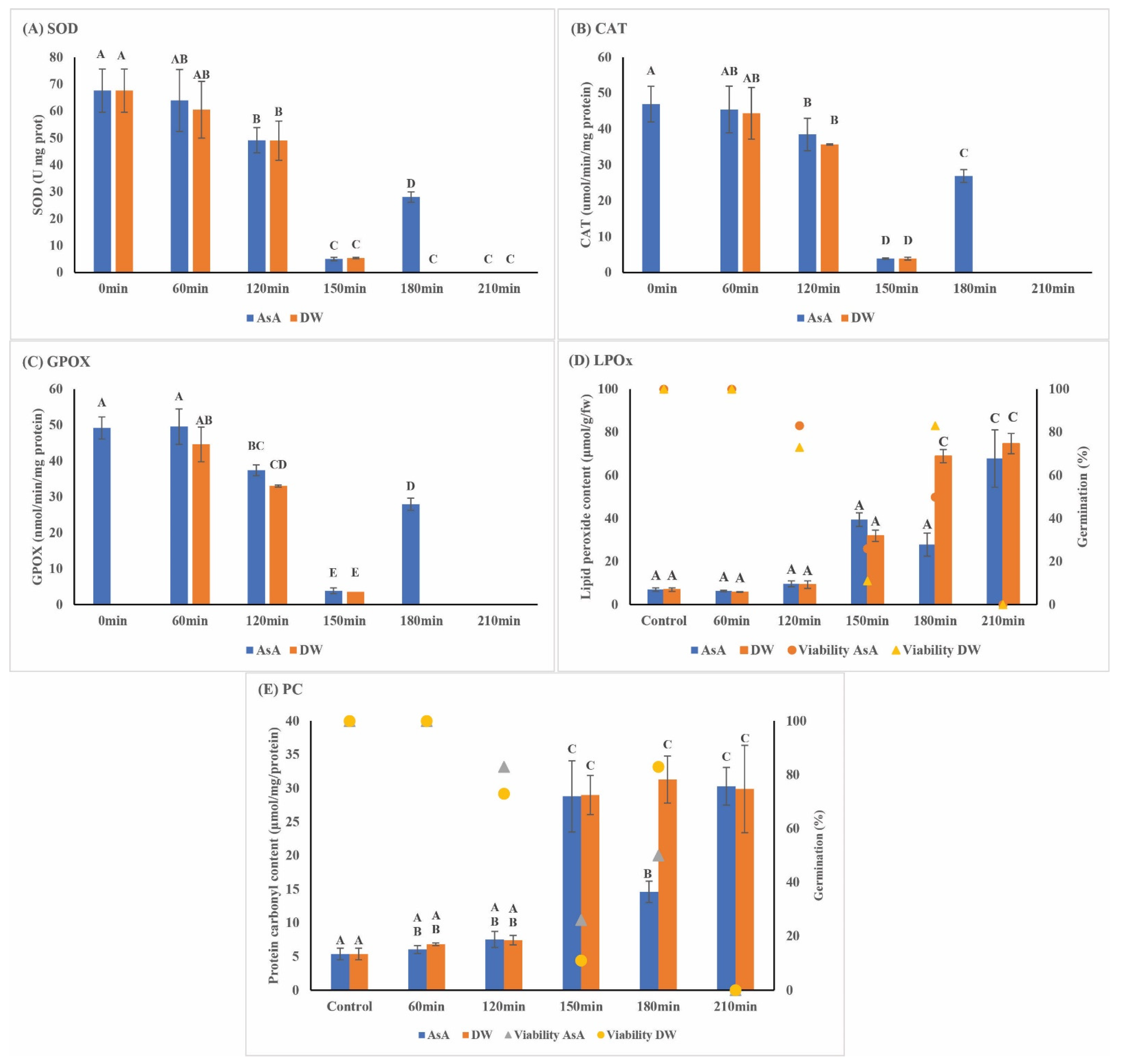
2.2. Oxidative Stress
2.3. Differential Scanning Calorimetry (DSC)
2.4. Ultrastructural Observations
3. Discussion
4. Materials and Methods
4.1. Plant Material
4.2. Embryonic Axis Excision and In Vitro Germination for Viability Assessment
4.3. Embryo Desiccation
4.3.1. Rapid Desiccation
4.3.2. Slow Desiccation
4.4. Cryopreservation of Desiccated EAs
4.5. Oxidative Stress
4.6. Extraction of Total Proteins and Semi-Purification of Protein Extracts
4.6.1. Extraction of Lipids
4.6.2. Antioxidant Enzyme Assays
4.6.3. Protein Carbonyls
4.6.4. Lipid Peroxide Assay
4.7. Differential Scanning Calorimetry (DSC)
4.8. Ultrastructural Observations—Transmission Electron Microscopy (TEM)
4.9. Statistical Analysis
5. Conclusions
Supplementary Materials
Author Contributions
Funding
Institutional Review Board Statement
Data Availability Statement
Acknowledgments
Conflicts of Interest
References
- Wesley-Smith, J.; Pammenter, N.; Berjak, P.; Walters, C. The effects of two drying rates on the desiccation tolerance of embryonic axes of recalcitrant Jackfruit (Artocarpus heterophyllus Lamk.) seeds. Ann. Bot. 2001, 88, 653–664. [Google Scholar] [CrossRef]
- Berjak, P.; Pammenter, N.W. From Avicennia to Zizania: Seed recalcitrance in perspective. Ann. Bot. 2008, 101, 213–228. [Google Scholar] [CrossRef] [PubMed]
- Sakai, A.; Kobayashi, S.; Oiyama, I. Cryopreservation of nucellar cells of navel orange (Citrus sinensis Osb. var. brasiliensis Tanaka) by vitrification. Plant Cell Rep. 1990, 9, 30–33. [Google Scholar] [CrossRef] [PubMed]
- N’Nan, O.; Borges, M.; Konan, J.L.K.; Hocher, V.; Verdeil, J.L.; Tregear, J.; N’guetta, A.S.P.; Engelmann, F.; Malaurie, B. A simple protocol for cryopreservation of zygotic embryos of ten accessions of coconut (Cocos nucifera L.). In Vitro Cell. Dev. Biol. Plant 2012, 48, 160–166. [Google Scholar] [CrossRef]
- Bharuth, V.; Naidoo, C. Responses to cryopreservation of recalcitrant seeds of Ekebergia capensis from different provenances. S. Afr. J. Bot. 2020, 132, 1–14. [Google Scholar] [CrossRef]
- Ballesteros, D.; Sershen; Varghese, B.; Berjak, P.; Pammenter, N.W. Uneven drying of zygotic embryos and embryonic axes of recalcitrant seeds: Challenges and considerations for cryopreservation. Cryobiology 2014, 69, 100–109. [Google Scholar] [CrossRef]
- Walters, C.; Wesley-Smith, J.; Crane, J.; Hill, L.M.; Chmielarz, P.; Pammenter, N.; Berjak, P. Cryopreservation of recalcitrant (i.e., desiccation-sensitive) seeds. In Plant Cryopreservation: A Practical Guide; Reed, B.M., Ed.; Springer: New York, NY, USA, 2008; pp. 465–482. [Google Scholar]
- Sershen; Varghese, B.; Pammenter, N.W.; Berjak, P. Cryo-tolerance of zygotic embryos from recalcitrant seeds in relation to oxidative stress-a case study on two amaryllid species. J. Plant Physiol. 2012, 169, 999–1011. [Google Scholar] [CrossRef]
- Benson, E.E.; Lynch, P.T.; Jones, J. The detection of lipid peroxidation products in cryoprotected and frozen rice cells: Consequences for post-thaw survival. Plant Sci. 1992, 85, 107–114. [Google Scholar] [CrossRef]
- Walters, C.; Pammenter, N.W.; Berjak, P.; Crane, J. Desiccation damage, accelerated ageing and respiration in desiccation tolerant and sensitive seeds. Seed Sci. Res. 2001, 11, 135–148. [Google Scholar]
- Berjak, P.; Sershen; Varghese, B.; Pammenter, N.W. Cathodic amelioration of the adverse effects of oxidative stress accompanying procedures necessary for cryopreservation of embryonic axes of recalcitrant-seeded species. Seed Sci. Res. 2011, 21, 187–203. [Google Scholar] [CrossRef]
- Whitaker, C.; Beckett, R.P.; Minibayeva, F.V.; Kranner, I. Production of reactive oxygen species in excised, desiccated and cryopreserved explants of Trichilia dregeana Sond. S. Afr. J. Bot. 2010, 76, 112–118. [Google Scholar] [CrossRef]
- Parkhey, S.; Naithani, S.C.; Keshavkant, S. ROS production and lipid catabolism in desiccating Shorea robusta seeds during aging. Plant Physiol. Biochem. 2012, 57, 261–267. [Google Scholar] [CrossRef] [PubMed]
- Ntuli, T.M.; Finch-Savage, W.E.; Berjak, P.; Pammenter, N.W. Increased drying rate lowers the critical water content for survival in embryonic axes of English oak (Quercus robur L.) seeds. J. Integr. Plant Biol. 2011, 53, 270–280. [Google Scholar] [CrossRef] [PubMed]
- Xu, Y.; Huang, B. Exogenous ascorbic acid mediated abiotic stress tolerance in plants. In Ascorbic Acid in Plant Growth, Develpment and Stress Tolerance; Hossain, M., Munne-Bosch, S., Burritt, D.J., Diaz-Vivancos, P., Fujita, M., Lorence, A., Eds.; Springer: Cham, Switzerland, 2017. [Google Scholar]
- Wang, Z.C.; Deng, X.X. Cryopreservation of shoot-tips of citrus using vitrification: Effect of reduced form of glutathione. CryoLetters 2004, 25, 43–50. [Google Scholar]
- Ren, L.; Zhang, D.; Chen, G.Q.; Reed, B.M.; Shen, X.H.; Chen, H.Y. Transcriptomic profiling revealed the regulatory mechanism of Arabidopsis seedlings response to oxidative stress from cryopreservation. Plant Cell Rep. 2015, 34, 2161–2178. [Google Scholar] [CrossRef]
- Benson, E. Cryopreservation theory. In Plant Cryopreservation: A Practical Guide; Reed, B.M., Ed.; Springer: New York, NY, USA, 2008; pp. 15–30. [Google Scholar]
- Sakai, A. Plant cryopreservation. In Life in the Frozen State; Fuller, B., Lane, N., Benson, E.E., Eds.; CRC Press: London, UK, 2004; pp. 329–345. [Google Scholar]
- Taylor, M.J.; Brockbank, K.G.M. Vitrification in tissue preservation: New developments. In Life in the Frozen State; Fuller, B., Lane, N., Benson, E.E., Eds.; CRC Press: London, UK, 2004; pp. 604–641. [Google Scholar]
- Volk, G.M.; Walters, C. Plant vitrification solution 2 lowers water content and alters freezing behavior in shoot tips during cryoprotection. Cryobiology 2006, 52, 48–61. [Google Scholar] [CrossRef]
- Pammenter, N.W.; Greggains, V.; Kioko, J.I.; Wesley-Smith, J.; Berjak, P.; Finch-Savage, W.E. Effects of differential drying rates on viability retention of recalcitrant seeds of Ekebergia capensis. Seed Sci. Res. 1998, 8, 463–471. [Google Scholar] [CrossRef]
- Coelho, S.V.B.; da Rosa, S.D.V.F.; Clemente, A.D.C.S.; Lacerda, L.N.C.; Silva, L.C.; Fantazzini, T.B.; Ribeiro, F.A.S.; Castro, E.M. Ultrastructural damage in coffee seeds exposed to drying and to subzero (°C) temperatures. Coffee Sci. 2020, 15, e151760. [Google Scholar]
- Wen, B.; Cai, C.; Wang, R.; Song, S.; Song, J. Cytological and physiological changes in recalcitrant Chinese fan palm (Livistona chinensis) embryos during cryopreservation. Protoplasma 2012, 249, 323–335. [Google Scholar] [CrossRef]
- Sershen; Berjak, P.; Pammenter, N.W.; Wesley-Smith, J. Rate of dehydration, state of subcellular organisation and nature of cryoprotection are critical factors contributing to the variable success of cryopreservation: Studies on recalcitrant zygotic embryos of Haemanthus montanus. Protoplasma 2012, 249, 171–186. [Google Scholar] [CrossRef]
- Sershen; Berjak, P.; Pammenter, N.W. Desiccation sensitivity of excised embryonic axes of selected amaryllid species. Seed Sci. Res. 2008, 18, 1–11. [Google Scholar] [CrossRef]
- Berjak, P.; Mycock, D. Calcium, with magnesium, is essential for normal seedling development from partially dehydrated recalcitrant axes: A study on Trichilia dregeana Sond. Seed Sci. Res. 2004, 14, 217–231. [Google Scholar] [CrossRef]
- Reed, B.M. Antioxidants and cryopreservation, the new normal? Acta Hortic. 2014, 1039, 41–48. [Google Scholar] [CrossRef]
- de Lange, P.J.; Rolfe, J.R.; Barkla, J.W.; Courtney, S.P.; Champion, P.D.; Perrie, L.R.; Beadel, S.M.; Ford, K.A.; Breitwieser, I.; Schonberger, I.; et al. Conservation Status of New Zealand Indigenous Vascular Plants, 2017, 22nd ed.; Department of Conservation: Wellington, New Zealand, 2018. [Google Scholar]
- Nadarajan, J.; van der Walt, K.; Lehnebach, C.A.; Saeiahagh, H.; Pathirana, R. Integrated ex situ conservation strategies for endangered New Zealand Myrtaceae species. N. Z. J. Bot. 2021, 59, 72–89. [Google Scholar] [CrossRef]
- Van der Walt, K.; Kemp, P.; Sofkova-Bobcheva, S.; Burritt, D.J.; Nadarajan, J. Seed development, germination, and storage behaviour of Syzygium maire (Myrtaceae), a threatened endemic New Zealand tree. N. Z. J. Bot. 2021, 59, 198–216. [Google Scholar] [CrossRef]
- Hendry, G.A.F.; Finch-Savage, W.E.; Thorpe, P.C.; Atherton, N.M.; Buckland, S.M.; Nilsson, K.A.; Seel, W.E. Free radical processes and loss of seed viability during desiccation in the recalcitrant species Quercus robur L. New Phytol. 1992, 122, 273–279. [Google Scholar] [CrossRef]
- Fuller, B.J.; Lane, N.; Benson, E.E. Life in the Frozen State; CRC Press: Boca Raton, FL, USA, 2004. [Google Scholar]
- Jariteh, M.; Ebrahimzadeh, H.; Niknam, V.; Mirmasoumi, M.; Vahdati, K. Developmental changes of protein, proline and some antioxidant enzymes activities in somatic and zygotic embryos of Persian walnut (Juglans regia L.). Plant Cell Tissue Organ Cult. 2015, 122, 101–115. [Google Scholar] [CrossRef]
- Chandra, J.; Dubey, M.; Varghese, B.; Sershen; Keshavkant, S. Towards understanding the basis of desiccation-induced oxidative stress in recalcitrant seeds: The case of Madhuca latifolia Roxb. S. Afr. J. Bot. 2021, 142, 100–105. [Google Scholar] [CrossRef]
- Varghese, B.; Sershen; Berjak, P.; Varghese, D.; Pammenter, N.W. Differential drying rates of recalcitrant Trichilia dregeana embryonic axes: A study of survival and oxidative stress metabolism. Physiol. Plant. 2011, 142, 326–338. [Google Scholar] [CrossRef]
- Nadarajan, J.; Pritchard, H.W. Biophysical characteristics of successful oilseed embryo cryoprotection and cryopreservation using vacuum infiltration vitrification: An innovation in plant cell preservation. PLoS ONE 2014, 9, e96169. [Google Scholar] [CrossRef]
- Wesley-Smith, J.; Walters, C.; Pammenter, N.W.; Berjak, P. Why is intracellular ice lethal? A microscopical study showing evidence of programmed cell death in cryo-exposed embryonic axes of recalcitrant seeds of Acer saccharinum. Ann. Bot. 2015, 115, 991–1000. [Google Scholar] [CrossRef] [PubMed]
- Reed, B.M. Plant Cryopreservation: A Practical Guide; Springer: New York, NY, USA, 2008. [Google Scholar]
- Walters, C.; Berjak, P.; Pammenter, N.; Kennedy, K.; Raven, P. Preservation of Recalcitrant Seeds. Science 2013, 339, 915–916. [Google Scholar] [CrossRef] [PubMed]
- Fahy, G.M.; Wowk, B. Principles of cryopreservation by vitrification. In Cryopreservation and Freeze-Drying Protocols; Wolkers, W.F., Oldenhof, H., Eds.; Springer: New York, NY, USA, 2014; pp. 21–82. [Google Scholar]
- Choi, J.; Bischof, J.C. Review of biomaterial thermal property measurements in the cryogenic regime and their use for prediction of equilibrium and non-equilibrium freezing applications in cryobiology. Cryobiology 2010, 60, 52–70. [Google Scholar] [CrossRef] [PubMed]
- Wesley-Smith, J.; Berjak, P.; Pammenter, N.; Vertucci, C.W. Ultrastructural Evidence for the Effects of Freezing in Embryonic Axes of Pisum sativum L. at Various Water Contents. Ann. Bot. 1995, 76, 59–64. [Google Scholar] [CrossRef]
- Vertucci, C.W. A calorimetric study of the changes in lipids during seed storage under dry conditions. Plant Physiol. 1992, 99, 310–316. [Google Scholar] [CrossRef] [PubMed]
- Vertucci, C.W. Relationship between Thermal Transitions and Freezing Injury in Pea and Soybean Seeds. Plant Physiol. 1989, 90, 1121–1128. [Google Scholar] [CrossRef]
- Naidoo, S. Studies on Factors Influencing Viability after Cryopreservation of Excised Zygotic Embryos from Recalcitrant Seeds of Two Amaryllid Species. Ph.D. Thesis, University of KwaZulu-Natal, Durban, South Africa, 2010. [Google Scholar]
- Ramsay, J.L.; Koster, K.L. A comparison of anhydrous fixation methods for the observation of pea embryonic axes (Pisum sativum L. cv. Alaska). Seed Sci. Res. 2002, 12, 83–90. [Google Scholar] [CrossRef]
- Kaczmarczyk, A.; Rutten, T.; Melzer, M.; Keller, E.R.J. Ultrastructural changes associated with cryopreservation of potato (Solanum tuberosum) shoot tips. CryoLetters 2008, 29, 145–156. [Google Scholar]
- Wilkinson, T.; Wetten, A.; Prychid, C.; Fay, M.F. Suitability of cryopreservation for the long-term storage of rare and endangered plant species: A case history for Cosmos atrosanguineus. Ann. Bot. 2003, 91, 65–74. [Google Scholar] [CrossRef]
- Sershen; Berjak, P.; Pammenter, N.W.; Wesley-Smith, J. The effects of various parameters during processing for cryopreservation on the ultrastructure and viability of recalcitrant zygotic embryos of Amaryllis belladonna. Protoplasma 2012, 249, 155–169. [Google Scholar] [CrossRef]
- Murashige, T.; Skoog, F. A Revised Medium for Rapid Growth and Bio Assays with Tobacco Tissue Cultures. Physiol. Plant. 1962, 15, 473–497. [Google Scholar] [CrossRef]
- Fryer, H.J.L.; Davis, G.E.; Manthorpe, M.; Varon, S. Lowry protein assay using an automatic microtiter plate spectrophotometer. Anal. Biochem. 1986, 153, 262–266. [Google Scholar] [CrossRef]
- Ewing, J.F.; Janero, D.R. Microplate superoxide dismutase assay employing a nonenzymatic superoxide generator. Anal. Biochem. 1995, 232, 243–248. [Google Scholar] [CrossRef] [PubMed]
- Summermatter, K.; Sticher, L.; Metraux, J.P. Systematic responses in Arabidopsis thaliana infected and challenged with Pseudomonas syringae py. syringae. Plant Physiol. 1995, 108, 1379–1385. [Google Scholar] [CrossRef][Green Version]
- Gillespie, K.M.; Rogers, A.; Ainsworth, E.A. Growth at elevated ozone or elevated carbon dioxide concentration alters antioxidant capacity and response to acute oxidative stress in soybean (Glycine max). J. Exp. Bot. 2011, 62, 2667–2678. [Google Scholar] [CrossRef]
- Paglia, D.E.; Valentine, W.N. Studies on the quantitative and qualitative characterization of erythrocyte glutathione peroxidase. J. Lab. Clin. Med. 1967, 70, 158–169. [Google Scholar]
- Reznick, A.Z.; Packer, L. Oxidative damage to proteins: Spectrophotometric method for carbonyl assay. Methods Enzymol. 1994, 233, 357–363. [Google Scholar]
- Mihalievic, B.; Kutasin-Razem, B.; Razem, D. The re-evaluation of the ferric thiocyanate assay for lipid hydroperoxides with special considerations of the mechanistic aspects of the response. Free Radical Biol. Med. 1996, 21, 53–63. [Google Scholar] [CrossRef]
- Nadarajan, J.; Mansor, M.; Krishnapillay, B.; Staines, H.J.; Benson, E.E.; Harding, K. Applications of differential scanning calorimetry in developing cryopreservation strategies for Parkia speciosa, a tropical tree producing recalcitrant seeds. CryoLetters 2008, 29, 95–110. [Google Scholar]
- Block, W. Water status and thermal analysis of alginate beads used in cryopreservation of plant germplasm. Cryobiology 2003, 47, 59–72. [Google Scholar] [CrossRef]






| Slow Desiccation | |||
|---|---|---|---|
| Desiccation Time (min) | Embryo MC (g/g) | Survival (%) | |
| −LN | +LN | ||
| 0 | 1.860 ± 0.51 | 100 ± 0.0 a | 0 |
| 60 | 1.019 ± 0.25 | 100 ± 0.0 a | 0 |
| 120 | 0.731 ± 0.25 | 100 ± 0.0 a | 0 |
| 180 | 0.457 ± 0.18 | 86.6 ± 15.3 ab | 0 |
| 240 | 0.643 ± 0.31 | 40 ± 17.3 def | 0 |
| 300 | 0.478 ± 0.06 | 16.7 ± 11.5 fg | 0 |
| 360 | 0.407 ± 0.18 | 0 g | 0 |
| Rapid Desiccation | |||
| Desiccation Time (min) | Embryo MC (g/g) | Survival (%) | |
| −LN | +LN | ||
| 0 | 1.94 ± 0.93 | 100 ± 0 a | 0 |
| 60 | 0.75 ± 0.06 | 78.7 ± 30.8 ab | 0 |
| 120 | 0.44 ± 0.15 | 56.5 ± 24.6 b | 0 |
| 150 | 0.35 ± 0.06 | 50.7 ± 20.1 bc | 0 |
| 180 | 0.28 ± 0.05 | 28.5 ± 30.2 cd | 0 |
| 210 | 0.2 ± 0.02 | 0 d | 0 |
| Dry Time (min) | MC (g/g) | Rehydration | Embryo Survival (%) | Enzymatic Antioxidants | Damage Markers | |||
|---|---|---|---|---|---|---|---|---|
| SOD (U mg−1 prot) | CAT (nmol/min/mg prot) | GPOX (nmol/min/mg prot) | PC (nmol/mg prot) | LPOx (nmol/g/FW) | ||||
| 0 | 1.94 ± 0.2 | n/a | 100 ± 0.0 | 67.6 ± 8.1 a | 46.9 ± 4.96 a | 49.19 ± 3.06 a | 5.38 ± 0.85 a | 7.00 ± 0.82 a |
| 60 | 0.75 ± 0.12 | AsA | 100 ± 0.0 | 63.9 ± 11.5 ab | 45.5 ± 6.5 ab | 49.5 ± 4.9 a | 6.0 ± 0.6 ab | 6.3 ± 0.3 a |
| DW | 100 ± 0.0 | 60.5 ± 10.5 ab | 44.6 ± 5.4 ab | 44.6 ± 5.0 ab | 6.2 ± 0.2 ab | 5.9 ± 0.1 a | ||
| 120 | 0.45 ± 0.17 | AsA | 87.5 ± 15 | 49.2 ± 4.6 b | 38.5 ± 4.5 ab | 37.4 ± 1.5 bc | 7.5 ± 1.2 ab | 9.7 ± 1.4 a |
| DW | 53.0 ± 24.5 | 49.1 ± 7.3 b | 35.7 ± 0.2 bc | 33.1 ± 4.8 cd | 7.3 ± 0.7 ab | 9.4 ± 1.7 a | ||
| 150 | 0.30 ± 0.01 | AsA | 37.0 ± 17.8 | 5.1 ± 0.6 d | 3.9 ± 0.2 d | 3.9 ± 0.8 e | 28.8 ± 5.3 c | 39.6 ± 3.2 b |
| DW | n/a | 5.4 ± 0.3 d | 3.9 ± 0.4 d | 3.3 ± 0.3 e | 29.1 ± 2.9 c | 32.0 ± 2.7 b | ||
| 180 | 0.28 ± 0.07 | AsA | 49.3 ± 17.2 | 28.1 ± 1.9 c | 26.9 ± 1.8 c | 28.0 ± 1.1 d | 14.6 ± 1.6 b | 27.9 ± 5.3 b |
| DW | 81.7 ± 18.3 | ND | ND | ND | 31.3 ± 3.5 c | 68.9 ± 3.0 c | ||
| 210 | 0.20 ± 0.03 | AsA | 0 | ND | ND | ND | 30.3 ± 2.8 c | 67.9 ± 13.3 c |
| DW | 0 | ND | ND | ND | 29.9 ± 6.5 c | 74.7 ± 4.7 c | ||
| F-value | 69.39 | 98.63 | 162.5 | 43.6 | 95.98 | |||
| Dry Time (min) | Embryo Weight (mg) | Total MC (g/g) | Water Composition | |
|---|---|---|---|---|
| * Osmotically Active Water Content (Frozen Water) (g/g) | ** Osmotically Inactive Water Content (Unfrozen Water) (g/g) | |||
| 0 | 5.21 ± 0.6 | 1.94 ± 0.2 | 2.36 ± 1.0 | 0.38 ± 0.05 |
| 60 | 2.96 ± 0.8 | 0.75 ± 0.12 | 0.71 ± 0.2 | 0.18 ± 0.05 |
| 120 | 2.74 ± 0.4 | 0.45 ± 0.17 | 0.38 ± 0.07 | 0.04 ± 0.03 |
| 150 | 2.13 ± 0.1 | 0.30 ± 0.01 | 0.33 ± 0.1 | 0.04 ± 0.03 |
| 180 | 3.20 ± 0.5 | 0.28 ± 0.07 | 0.21 ± 0.01 | 0.06 ± 0.01 |
| 210 | 0.20 ± 0.03 | ND | ND | |
Publisher’s Note: MDPI stays neutral with regard to jurisdictional claims in published maps and institutional affiliations. |
© 2022 by the authors. Licensee MDPI, Basel, Switzerland. This article is an open access article distributed under the terms and conditions of the Creative Commons Attribution (CC BY) license (https://creativecommons.org/licenses/by/4.0/).
Share and Cite
van der Walt, K.; Burritt, D.J.; Nadarajan, J. Impacts of Rapid Desiccation on Oxidative Status, Ultrastructure and Physiological Functions of Syzygium maire (Myrtaceae) Zygotic Embryos in Preparation for Cryopreservation. Plants 2022, 11, 1056. https://doi.org/10.3390/plants11081056
van der Walt K, Burritt DJ, Nadarajan J. Impacts of Rapid Desiccation on Oxidative Status, Ultrastructure and Physiological Functions of Syzygium maire (Myrtaceae) Zygotic Embryos in Preparation for Cryopreservation. Plants. 2022; 11(8):1056. https://doi.org/10.3390/plants11081056
Chicago/Turabian Stylevan der Walt, Karin, David J. Burritt, and Jayanthi Nadarajan. 2022. "Impacts of Rapid Desiccation on Oxidative Status, Ultrastructure and Physiological Functions of Syzygium maire (Myrtaceae) Zygotic Embryos in Preparation for Cryopreservation" Plants 11, no. 8: 1056. https://doi.org/10.3390/plants11081056
APA Stylevan der Walt, K., Burritt, D. J., & Nadarajan, J. (2022). Impacts of Rapid Desiccation on Oxidative Status, Ultrastructure and Physiological Functions of Syzygium maire (Myrtaceae) Zygotic Embryos in Preparation for Cryopreservation. Plants, 11(8), 1056. https://doi.org/10.3390/plants11081056

