Biochar Addition Alters C: N: P Stoichiometry in Moss Crust-Soil Continuum in Gurbantünggüt Desert
Abstract
:1. Introduction
2. Materials and Methods
2.1. Study Site
2.2. Preparation of Biochar
2.3. Experimental Design
2.4. Field Sampling and Measurement
2.5. Physicochemical Analysis
2.6. Statistical Analysis
3. Results
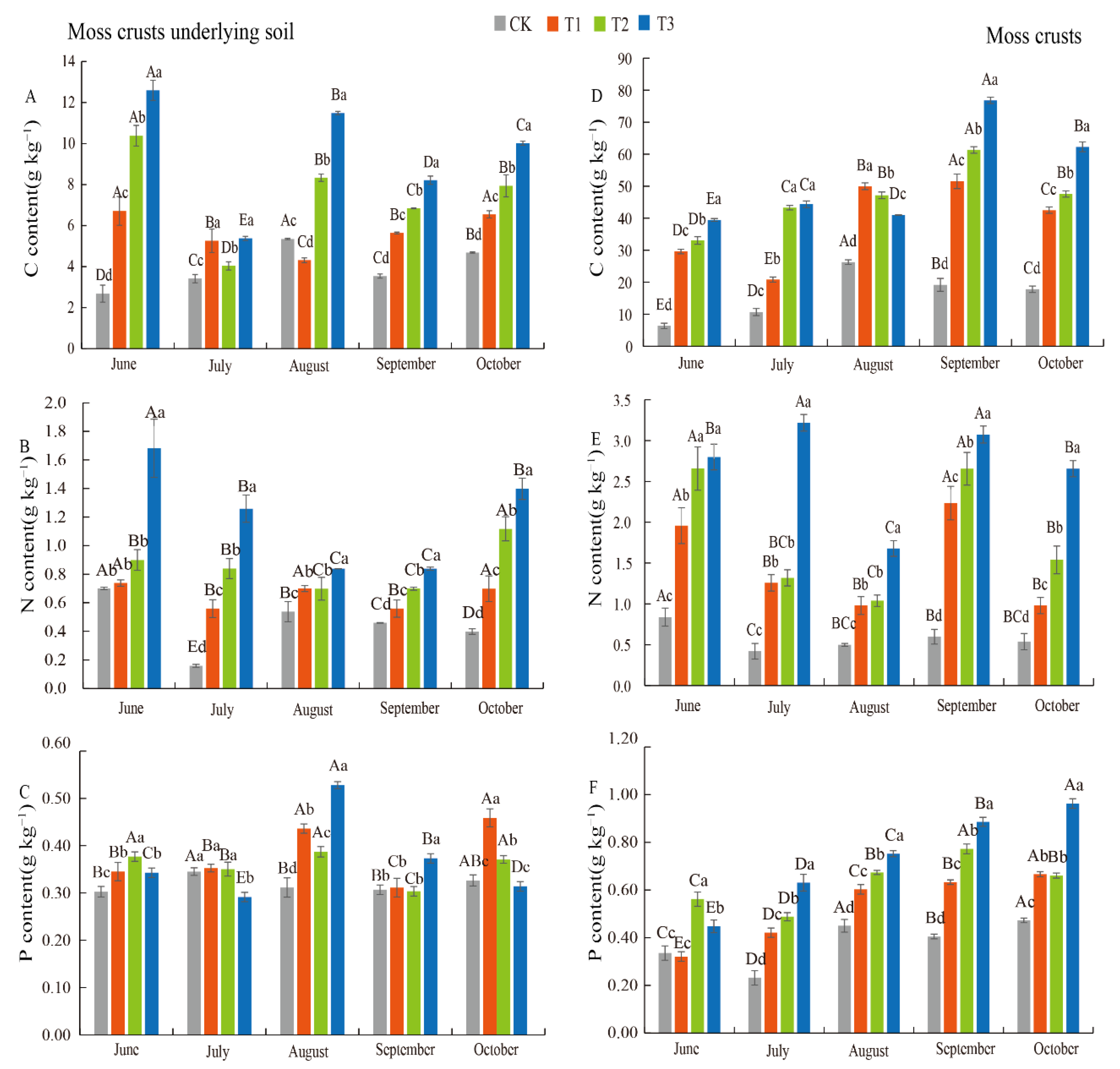
3.1. Effect of Biochar Addition on Soil C, N, P Contents under Moss Crusts
3.2. Effect of Biochar Addition on Nutrient Traits of Moss Crusts
3.3. Nutrients Relationship between Moss Crusts and Its Underlying Soils with Biochar Addition
4. Discussion
4.1. Effect of Biochar Addition on Soil Nutrient Underlying Moss Crusts
4.2. Response of Moss Crust C, N, and P Content and C: N: P Stoichiometry to Biochar Addition
4.3. Effect of Soil Factor on Moss Crusts Stoichiometric Characteristics with Biochar Addition
5. Conclusions
Author Contributions
Funding
Institutional Review Board Statement
Informed Consent Statement
Data Availability Statement
Acknowledgments
Conflicts of Interest
References
- Zhang, J.H.; Li, M.X.; Xu, L.; Zhu, J.X.; Dai, G.H.; He, N.P. C: N: P stoichiometry in terrestrial ecosystems in China. Sci. Total Environ. 2021, 795, 148849. [Google Scholar] [CrossRef] [PubMed]
- Han, W.X.; Fang, J.Y.; Guo, D.L.; Zhang, Y. Leaf nitrogen and phosphorus stoichiometry across 753 terrestrial plant species in China. New Phytol. 2005, 168, 377–385. [Google Scholar] [CrossRef] [PubMed]
- Xie, J.Y.; Fang, H.F.; Zhang, Q.; Chen, M.Y.; Xu, X.T.; Pan, J.; Gao, Y.; Fang, X.M.; Guo, X.M.; Zhang, L. Understory Plant Functional Types Alter Stoichiometry Correlations between Litter and Soil in Chinese Fir Plantations with N and P Addition. Forests 2019, 10, 742. [Google Scholar] [CrossRef] [Green Version]
- Yuan, J.H.; Wang, Y.; Zhao, X.; Chen, H.; Chen, G.L.; Wang, S.Q. Seven years of biochar amendment has a negligible effect on soil available P and a progressive effect on organic C in paddy soils. Biochar 2022, 4, 1. [Google Scholar] [CrossRef]
- Tong, R.; Zhou, B.Z.; Jiang, L.N.; Ge, X.G.; Cao, Y.X.; Yang, Z.Y. Leaf Nitrogen and Phosphorus Stoichiometry of Chinese fir Plantations across China: A Meta-Analysis. Forests 2019, 10, 945. [Google Scholar] [CrossRef] [Green Version]
- Janes-Bassett, V.; Davies, J.; Rowe, E.C.; Tipping, E. Simulating long-term carbon nitrogen and phosphorus biogeochemical cycling in agricultural environments. Sci. Total Environ. 2020, 714, 136599. [Google Scholar] [CrossRef] [PubMed]
- Yu, M.F.; Tao, Y.X.; Liu, W.; Xing, W.; Liu, G.H.; Wang, L.; Ma, L. C, N, and P stoichiometry and their interaction with different plant communities and soils in subtropical riparian wetlands. Environ. Sci. Pollut. Res. 2020, 27, 1024–1034. [Google Scholar] [CrossRef]
- Zheng, S.M.; Xia, Y.H.; Hu, Y.J.; Chen, X.B.; Rui, Y.C.; Gunina, A.; He, X.Y.; Ge, T.; Wu, J.S.; Su, Y.R.; et al. Stoichiometry of carbon, nitrogen, and phosphorus in soil: Effects of agricultural land use and climate at a continental scale. Soil Tillage Res. 2021, 209, 104903. [Google Scholar] [CrossRef]
- Yang, Y.; Liu, B.R. Effects of planting Caragana shrubs on soil nutrients and stoichiometries in desert steppe of Northwest China. Catena 2019, 183, 104213. [Google Scholar] [CrossRef]
- Li, H.B.; Dong, X.L.; da Silva, E.B.; de Oliveira, L.M.; Chen, Y.S.; Ma, L.Q. Mechanisms of metal sorption by biochars: Biochar characteristics and modifications. Chemosphere 2017, 178, 466–478. [Google Scholar] [CrossRef]
- Hossain, M.Z.; Bahar, M.M.; Sarkar, B.; Donne, S.W.; Ok, Y.S.; Palansooriya, K.N.; Kirkham, M.B.; Chowdhury, S.; Bolan, N. Biochar and its importance on nutrient dynamics in soil and plant. Biochar 2020, 2, 379–420. [Google Scholar] [CrossRef]
- Pan, S.Y.; Dong, C.D.; Su, J.F.; Wang, P.Y.; Chen, C.W.; Chang, J.S.; Kim, H.; Huang, C.P.; Hung, C.M. The Role of Biochar in Regulating the Carbon, Phosphorus, and Nitrogen Cycles Exemplified by Soil Systems. Sustainability 2021, 13, 5612. [Google Scholar] [CrossRef]
- Jing, Y.L.; Zhang, Y.H.; Han, I.; Wang, P.; Mei, Q.W.; Huang, Y.J. Effects of different straw biochars on soil organic carbon, nitrogen, available phosphorus, and enzyme activity in paddy soil. Sci. Rep. 2020, 10, 8837. [Google Scholar] [CrossRef] [PubMed]
- Case, S.D.C.; McNamara, N.P.; Reay, D.S.; Stott, A.W.; Grant, H.K.; Whitaker, J. Biochar suppresses N2O emissions while maintaining N availability in a sandy loam soil. Soil Biol. Biochem. 2015, 81, 178–185. [Google Scholar] [CrossRef] [Green Version]
- Bai, S.H.; Reverchon, F.; Xu, C.Y.; Xu, Z.H.; Blumfield, T.J.; Zhao, H.T.; Zwieten, L.V.; Wallace, H.M. Wood biochar increases nitrogen retention in field settings mainly through abiotic processes. Soil Biol. Biochem. 2015, 90, 232–240. [Google Scholar] [CrossRef]
- Zhang, Y.F.; Wang, J.M.; Feng, Y. The effects of biochar addition on soil physicochemical properties: A review. Catena 2021, 202, 105284. [Google Scholar] [CrossRef]
- Belnap, J.; Lange, O.L. Biological Soil Crusts: Structure, Function, and Management; Springer: Berlin/Heidelberg, Germany, 2003. [Google Scholar]
- Kakeh, J.; Gorji, M.; Mohammadi, M.H.; Asadi, H.; Khormali, F.; Sohrabi, M.; Cerdà, A. Biological soil crusts determine soil properties and salt dynamics under arid climatic condition in Qara Qir, Iran. Sci. Total Environ. 2020, 732, 139168. [Google Scholar] [CrossRef]
- Kakeh, J.; Gorji, M.; Sohrabi, M.; Tavili, A.; Pourbabaee, A.A. Effects of biological soil crusts on some physicochemical characteristics of rangeland soils of Alagol, Turkmen Sahra, NE Iran. Soil Tillage Res. 2018, 181, 152–159. [Google Scholar] [CrossRef]
- Evans, R.D.; Johansen, J.R. Microbiotic Crusts and Ecosystem Processes. CRC Crit. Rev. Plant Sci. 2010, 18, 183–225. [Google Scholar] [CrossRef]
- Xiao, B.; Hu, K.L.; Ren, T.S.; Li, B.G. Moss-dominated biological soil crusts significantly influence soil moisture and temperature regimes in semiarid ecosystems. Geoderma 2016, 263, 35–46. [Google Scholar] [CrossRef]
- Zhang, B.C.; Zhou, X.B.; Zhang, Y.M. Responses of microbial activities and soil physical-chemical properties to the successional process of biological soil crusts in the Gurbantunggut Desert, Xinjiang. J. Arid Land 2014, 7, 101–109. [Google Scholar] [CrossRef]
- Hui, R.; Li, X.R.; Jia, R.L.; Liu, L.C.; Zhao, R.M.; Zhao, X.; Wei, Y.P. Photosynthesis of two moss crusts from the Tengger Desert with contrasting sensitivity to supplementary UV-B radiation. Photosynthetica 2014, 52, 36–49. [Google Scholar] [CrossRef]
- Wu, B.L.; Lang, X.M.; Jiang, D.B. Köppen Climate Zones in China Over the Last 21,000 Years. J. Geophys. Res. Atmos. 2021, 126, 6. [Google Scholar] [CrossRef]
- Liu, J.G.; Liu, W.G.; Long, X.E.; Chen, Y.G.; Huang, T.W.; Huo, J.S.; Duan, L.C.; Wang, X.Y. Effects of nitrogen addition on C: N: P stoichiometry in moss crust-soil continuum in the N-limited Gurbantünggüt Desert, Northwest China. Eur. J. Soil Biol. 2020, 98, 103174. [Google Scholar] [CrossRef]
- Tao, Y.; Zhang, Y.M.; Downing, A. Similarity and difference in vegetation structure of three desert shrub communities under the same temperate climate but with different microhabitats. Bot. Stud. 2013, 54, 59. [Google Scholar] [CrossRef] [Green Version]
- Zhang, Y.M.; Chen, J.; Wang, L.; Wang, X.Q.; Gu, Z.H. The spatial distribution patterns of biological soil crusts in the Gurbantunggut Desert, Northern Xinjiang, China. J. Arid Environ. 2007, 68, 599–610. [Google Scholar] [CrossRef]
- Oladele, S.; Adeyemo, A.; Adegaiye, A.; Awodun, M. Effects of biochar amendment and nitrogen fertilization on soil microbial biomass pools in an Alfisol under rain-fed rice cultivation. Biochar 2019, 1, 163–176. [Google Scholar] [CrossRef] [Green Version]
- Xie, S.Y.; Yu, G.W.; Jiang, R.Q.; Ma, J.L.; Shang, X.F.; Wang, G.; Wang, Y.; Yang, Y.A.; Li, C.X. Moderate sewage sludge biochar application on alkaline soil for corn growth: A field study. Biochar 2021, 3, 135–147. [Google Scholar] [CrossRef]
- Faloye, O.T.; Ajayi, A.E.; Alatise, M.O.; Ewulo, B.S.; Horn, R. Nutrient uptake, maximum yield production, and economic return of maize under deficit irrigation with biochar and inorganic fertiliser amendments. Biochar 2019, 1, 375–388. [Google Scholar] [CrossRef] [Green Version]
- Minamino, Y.; Fujitake, N.; Suzuki, T.; Yoshitake, S.; Koizumi, H.; Tomotsune, M. Effect of biochar addition on leaf-litter decomposition at soil surface during three years in a warm-temperate secondary deciduous forest, Japan. Sci. Rep. 2019, 9, 16961. [Google Scholar] [CrossRef]
- Niu, J.P.; Yang, K.; Tang, Z.J.; Wang, Y.T. Relationships between Soil Crust Development and Soil Properties in the Desert Region of North China. Sustainability 2017, 9, 725. [Google Scholar] [CrossRef] [Green Version]
- Oesper, R.E. Kjeldahl and the determination of nitrogen. J. Comput. Nonlinear Dyn. 2013, 8, 689–698. [Google Scholar] [CrossRef]
- Rowland, A.P.; Grimshaw, H.M. A wet oxidation procedure suitable for total nitrogen and phosphorus in soil. Commun. Soil Sci. Plant Anal. 1985, 16, 551–560. [Google Scholar] [CrossRef]
- Nelson, D.W.; Sommers, L.E. Total Carbon, Organic Carbon, and Organic Matter in Methods of Soil Analysis, Part 2. Chemical and Microbiological Properties; American Society of Agronomy: Madison, WI, USA, 1982; pp. 539–579. [Google Scholar]
- Sims, G.K.; Ellsworth, T.R.; Mulvaney, R.L. Microscale determination of inorganic nitrogen in water and soil extracts. Commun. Soil Sci. Plant Anal. 1995, 26, 1–2. [Google Scholar] [CrossRef]
- Li, C.Z.; Zhao, L.H.; Sun, P.S.; Zhao, F.Z.; Kang, D.; Yang, G.H.; Han, X.H.; Feng, Y.Z.; Ren, G.X. Deep Soil C, N, and P Stocks and Stoichiometry in Response to Land Use Patterns in the Loess Hilly Region of China. PLoS ONE 2016, 11, e0159075. [Google Scholar] [CrossRef]
- Alotaibi, K.D.; Schoenau, J.J. Addition of Biochar to a Sandy Desert Soil: Effect on Crop Growth, Water Retention and Selected Properties. Agronomy 2019, 9, 327. [Google Scholar] [CrossRef] [Green Version]
- Chen, X.; Yang, S.H.; Ding, J.; Jiang, Z.W.; Sun, X. Effects of Biochar Addition on Rice Growth and Yield under Water-Saving Irrigation. Water 2021, 13, 209. [Google Scholar] [CrossRef]
- El-Naggar, A.; El-Naggar, A.H.; Shaheen, S.M.; Sarkar, B.; Chang, S.X.; Tsang, D.C.W.; Rinklebe, J.; Ok, Y.S. Biochar composition-dependent impacts on soil nutrient release, carbon mineralization, and potential environmental risk: A review. J. Environ. Manag. 2019, 241, 458–467. [Google Scholar] [CrossRef]
- Li, Y.; Zhou, C.F.; Qiu, Y.X.; Tigabu, M.; Ma, X.Q. Effects of biochar and litter on carbon and nitrogen mineralization and soil microbial community structure in a China fir plantation. J. For. Res. 2018, 30, 1913–1923. [Google Scholar] [CrossRef]
- Lehmann, J.; da Silva, J.P., Jr.; Steiner, C.; Nehls, T.; Zech, W.; Glaser, B. Nutrient availability and leaching in an archaeological Anthrosol and a Ferralsol of the Central Amazon basin: Fertilizer, manure and charcoal amendments. Plant Soil 2003, 249, 343–357. [Google Scholar] [CrossRef]
- Abujabhah, I.S.; Bound, S.A.; Doyle, R.; Bowman, J.P. Effects of biochar and compost amendments on soil physico-chemical properties and the total community within a temperate agricultural soil. Appl. Soil Ecol. 2016, 98, 243–253. [Google Scholar] [CrossRef]
- Lehmann, J.; Rillig, M.C.; Thies, J.; Masiello, C.A.; Hockaday, W.C.; Crowley, D. Biochar effects on soil biota—A review. Soil Biol. Biochem. 2011, 43, 1812–1836. [Google Scholar] [CrossRef]
- Huang, T.W.; Liu, W.G.; Long, X.E.; Jia, Y.Y.; Wang, X.Y.; Chen, Y.G. Different Responses of Soil Bacterial Communities to Nitrogen Addition in Moss Crust. Front. Microbiol. 2021, 12, 665975. [Google Scholar] [CrossRef] [PubMed]
- Chen, S.; Cade-Menun, B.J.; Bainard, L.D.; Luce, M.S.; Hu, Y.; Chen, Q. The influence of long-term N and P fertilization on soil P forms and cycling in a wheat/fallow cropping. Geoderma 2021, 404, 115274. [Google Scholar] [CrossRef]
- Laird, D.; Fleming, P.; Wang, B.Q.; Horton, R.; Karlen, D. Biochar impact on nutrient leaching from a Midwestern agricultural soil. Geoderma 2010, 158, 436–442. [Google Scholar] [CrossRef] [Green Version]
- Liang, B.; Lehmann, J.; Solomon, D.; Kinyangi, J.; Grossman, J.; O’Neill, B.; Skjemstad, J.O.; Thies, J.; Luizão, F.J.; Petersen, J.; et al. Black Carbon Increases Cation Exchange Capacity in Soils. Soil Sci. Soc. Am. J. 2006, 705, 1719–1730. [Google Scholar] [CrossRef] [Green Version]
- Heindel, R.C.; Governali, F.C.; Spickard, A.M.; Virginia, R.A. The Role of Biological Soil Crusts in Nitrogen Cycling and Soil Stabilization in Kangerlussuaq, West Greenland. Ecosystems 2018, 22, 1–14. [Google Scholar] [CrossRef]
- Feng, W.Y.; Yang, F.; Cen, R.; Liu, J.; Qu, Z.Y.; Miao, Q.F. Effects of straw biochar application on soil temperature, available nitrogen and growth of corn. J. Environ. Manag. 2020, 277, 111331. [Google Scholar] [CrossRef]
- Cao, H.; Jia, M.F.; Xun, M.; Wang, X.S.; Chen, K.; Yang, H.Q. Nitrogen transformation and microbial community structure varied in apple rhizosphere and rhizoplane soils under biochar amendment. J. Soils Sediments 2021, 21, 853–868. [Google Scholar] [CrossRef]
- Dai, Z.M.; Xiong, X.Q.; Zhu, Z.; Xu, X.J.; Leng, P.; Li, J.H.; Tang, C.; Xu, J.M. Association of biochar properties with changes in soil bacterial, fungal and fauna communities and nutrient cycling processes. Biochar 2021, 3, 239–254. [Google Scholar] [CrossRef]
- Prapagdee, S.; Tawinteung, N. Effects of biochar on enhanced nutrient use efficiency of green bean, Vigna radiata L. Environ. Sci. Pollut. Res. 2017, 24, 9460–9467. [Google Scholar] [CrossRef] [PubMed]
- Zhan, S.X.; Wang, Y.; Zhu, Z.C.; Li, W.H.; Bai, Y.F. Nitrogen enrichment alters plant N: P stoichiometry and intensifies phosphorus limitation in a steppe ecosystem. Environ. Exp. Bot. 2017, 134, 21–32. [Google Scholar] [CrossRef]
- Wang, Z.; Jimoh, S.O.; Li, X.L.; Ji, B.M.; Struik, P.C.; Sun, S.X. Different responses of plant N and P resorption to overgrazing in three dominant species in a typical steppe of Inner Mongolia, China. PeerJ 2020, 8, e9915. [Google Scholar] [CrossRef] [PubMed]
- Zhang, Y.J.; Ding, J.Q.; Wang, H.; Su, L.; Zhao, C.C. Biochar addition alleviate the negative effects of drought and salinity stress on soybean productivity and water use efficiency. BMC Plant. Biol. 2020, 20, 288. [Google Scholar] [CrossRef]
- Dong, Z.W.; Li, C.J.; Li, S.Y.; Lei, J.Q.; Zhao, Y.; Umut, H. Stoichiometric features of C, N, and P in soil and litter of Tamarix cones and their relationship with environmental factors in the Taklimakan Desert, China. J. Soils Sediments 2019, 20, 690–704. [Google Scholar] [CrossRef]
- Duckett, J.G.; Pressel, S. Of mosses and vascular plants. Nat. Plants 2020, 6, 184–185. [Google Scholar] [CrossRef]
- Gao, S.; DeLuca, T.H.; Cleveland, C.C. Biochar additions alter phosphorus and nitrogen availability in agricultural ecosystems: A meta-analysis. Sci. Total Environ. 2019, 654, 463–472. [Google Scholar] [CrossRef]
- Lu, J.Y.; Yang, M.; Liu, M.G.; Lu, Y.X.; Yang, H.M. Nitrogen and phosphorus fertilizations alter nitrogen, phosphorus and potassium resorption of alfalfa in the Loess Plateau of China. J. Plant Nutr. 2019, 42, 1–13. [Google Scholar] [CrossRef]
- Yang, Y.; Liu, B.R.; An, S.S. Ecological stoichiometry in leaves, roots, litters and soil among different plant communities in a desertified region of Northern China. Catena 2018, 166, 328–338. [Google Scholar] [CrossRef]
- Li, M.; Liu, M.; Li, Z.P.; Jiang, C.Y.; Wu, M. Soil N transformation and microbial community structure as affected by adding biochar to a paddy soil of subtropical China. J. Integr. Agric. 2016, 15, 209–219. [Google Scholar] [CrossRef] [Green Version]
- Xu, M.; Gao, P.; Yang, Z.J.; Su, L.L.; Wu, J.; Yang, G. Biochar impacts on phosphorus cycling in rice ecosystem. Chemosphere 2019, 225, 311–319. [Google Scholar] [CrossRef] [PubMed]





| Treatment | C (g kg−1) | N (g kg−1) | P (g kg−1) | C: N | C: P | N: P |
|---|---|---|---|---|---|---|
| CK | 3.93 ± 0.84 d | 0.5 ± 0.03 d | 0.32 ± 0.022 b | 7.86 ± 1.24 a | 12.28 ± 1.44 d | 1.56 ± 0.03 c |
| T1 | 5.69 ± 0.38 c | 0.7 ± 0.02 c | 0.38 ± 0.016 a | 8.13 ± 0.31 a | 14.97 ± 0.31 c | 1.84 ± 0.04 c |
| T2 | 7.50 ± 0.52 b | 0.9 ± 0.04 b | 0.36 ± 0.028 ab | 8.33 ± 0.21 a | 20.83 ± 0.28 b | 2.50 ± 0.08 b |
| T3 | 9.54 ± 0.3 a | 1.2 ± 0.05 a | 0.37 ± 0.022 a | 7.95 ± 0.2 a | 25.78 ± 0.55 a | 3.24 ± 0.07 a |
| Treatment | C (g kg−1) | N (g kg−1) | P (g kg−1) | C: N | C: P | N: P |
|---|---|---|---|---|---|---|
| CK | 16.07 ± 2.20 d | 0.58 ± 0.03 d | 0.35 ± 0.034 d | 27.71 ± 20.36 a | 45.9 ± 2.94 b | 1.65 ± 0.09 c |
| T1 | 38.89 ± 2.24 c | 1.5 ± 0.09 c | 0.53 ± 0.021 c | 25.93 ± 20.57 a | 73.38 ± 2.36 a | 2.83 ± 0.09 b |
| T2 | 46.48 ± 2.54 b | 1.8 ± 0.08 b | 0.63 ± 0.041 b | 25.82 ± 6.83 a | 73.78 ± 2.28 a | 2.86 ± 0.09 b |
| T3 | 52.79 ± 2.08 a | 2.7 ± 0.09 a | 0.74 ± 0.024 a | 19.55 ± 3.18 b | 71.34 ± 1.69 a | 3.65 ± 0.04 a |
| Treatment | Ammonium Nitrogen (mg/kg) | Nitrate Nitrogen (mg/kg) | pH | EC (ms/cm) | SMC (%) |
|---|---|---|---|---|---|
| CK | 9.49 ± 1.32 c | 16.41 ± 3.58 b | 7.31 ± 0.12 b | 0.39 ± 0.03 c | 10.69 ± 1.27 c |
| T1 | 10.30 ± 1.06 bc | 21.57 ± 2.91 b | 7.53 ± 0.07 b | 0.58 ± 0.11 b | 13.06 ± 0.96 ab |
| T2 | 13.05 ± 1.18 b | 23.92 ± 4.34 ab | 7.80 ± 0.09 a | 0.97 ± 0.09 a | 12.78 ± 0.60 ab |
| T3 | 18.84 ± 2.73 a | 30.06 ± 5.69 a | 7.92 ± 0.1 a | 1.02 ± 0.08 a | 15.37 ± 2.03 a |
| Soil Factors | Order of Importance | F | P |
|---|---|---|---|
| Nitrate Nitrogen | 1 | 31.83 | 0.001 *** |
| N: P | 2 | 22.247 | 0.001 *** |
| C: P | 3 | 19.265 | 0.001 *** |
| EC | 4 | 9.6353 | 0.001 *** |
| pH | 5 | 6.8974 | 0.009 ** |
| SMC | 6 | 7.1193 | 0.016 * |
| N | 7 | 4.5511 | 0.03 * |
| P | 8 | 2.6575 | 0.09 |
| Ammonium Nitrogen | 9 | 2.4603 | 0.122 |
| C: N | 10 | 1.7793 | 0.186 |
| C | 11 | 0.6689 | 0.445 |
Publisher’s Note: MDPI stays neutral with regard to jurisdictional claims in published maps and institutional affiliations. |
© 2022 by the authors. Licensee MDPI, Basel, Switzerland. This article is an open access article distributed under the terms and conditions of the Creative Commons Attribution (CC BY) license (https://creativecommons.org/licenses/by/4.0/).
Share and Cite
Chang, Y.; Liu, W.; Mao, Y.; Yang, T.; Chen, Y. Biochar Addition Alters C: N: P Stoichiometry in Moss Crust-Soil Continuum in Gurbantünggüt Desert. Plants 2022, 11, 814. https://doi.org/10.3390/plants11060814
Chang Y, Liu W, Mao Y, Yang T, Chen Y. Biochar Addition Alters C: N: P Stoichiometry in Moss Crust-Soil Continuum in Gurbantünggüt Desert. Plants. 2022; 11(6):814. https://doi.org/10.3390/plants11060814
Chicago/Turabian StyleChang, Yaobao, Weiguo Liu, Yuqing Mao, Tao Yang, and Yinguang Chen. 2022. "Biochar Addition Alters C: N: P Stoichiometry in Moss Crust-Soil Continuum in Gurbantünggüt Desert" Plants 11, no. 6: 814. https://doi.org/10.3390/plants11060814
APA StyleChang, Y., Liu, W., Mao, Y., Yang, T., & Chen, Y. (2022). Biochar Addition Alters C: N: P Stoichiometry in Moss Crust-Soil Continuum in Gurbantünggüt Desert. Plants, 11(6), 814. https://doi.org/10.3390/plants11060814
