A Systematic Map of the Research on Disease Modelling for Agricultural Crops Worldwide
Abstract
1. Background
2. Objective of the Systematic Map
3. Methods
3.1. Search for Relevant Papers
3.2. Paper Screening and Inclusion Criteria
- consider at least one of the selected crops;
- report about any type of model (e.g., empirical or mechanistic);
- concern any type of model purpose (e.g., scenario analysis, disease prediction, or crop protection);
- consider any step of model development (e.g., mathematical structure, evaluation, or practical implementation);
- focus on plant diseases, their causal agents (fungus, bacteria, virus, or phytoplasma), or their vectors.
3.3. Data Coding Strategy
- Bibliographic information: Authors, title, year of publication, journal, publisher, reference type, language, number of citations, URL or DOI, affiliations of the corresponding author;
- Crop: Common name, code for crop groups. According to the Indicative Crop Classification (ICC) codes [25], crops were divided into the following crop systems: cereals, vegetables and melons, fruits (including nuts), oilseed crops, root and tuber crops, beverage and spice crops, leguminous crops, sugar crops, and other crops (Table 2);
- Location of study: Country. The affiliation of the corresponding author was used to define the location of the study. The countries were listed as indicated by the FAO based on the ISO 3166 international standard [26];
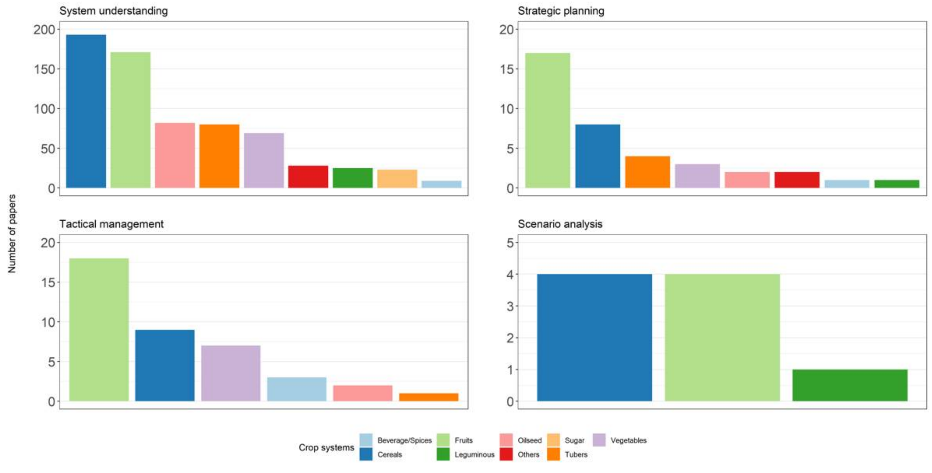
- Disease-causing organism: Scientific name of the causal agent, vector, or disease when specified in the title, and kingdom of the causal agent. Papers in which the disease-causing organism was not specified in the title were coded as “generic”;Study scope: Based on the title of the model, each model was assigned to the following categories according to its scope and purpose: (i) model for system representation and understanding; (ii) model for tactical disease management; (iii) model for strategic planning; and (iv) model for scenario analysis. The main characteristics and examples of papers for each category are listed in Table 3. These categories were described based on the terminology and contributions of Zadoks, Rabbinge, and Rossi [8,27,28].
4. Results
4.1. When Were Papers on Plant Disease Models Published?
4.2. In Which Countries Have Plant Disease Models Been Developed?
4.3. Which Crops Were Targeted in Disease Modelling?
4.4. Which Pathogen Kingdoms Were Considered?
4.5. For Which Scope the Models Were Developed?
5. Implications for Future Development of Plant Disease Models
Author Contributions
Funding
Data Availability Statement
Acknowledgments
Conflicts of Interest
References
- Savary, S.; Nelson, A.; Pangga, I.; Aunario, J.; Hijmans, R.; Wassmann, R.; Willocquet, L. Food security, crop health, and global change. CEEDIN 2010, 51, 51–54. [Google Scholar]
- Fisher, M.C.; Henk, D.A.; Briggs, C.J.; Brownstein, J.S.; Madoff, L.C.; McCraw, S.L.; Gurr, S.J. Emerging fungal threats to animal, plant and ecosystem health. Nature 2012, 484, 186–194. [Google Scholar] [CrossRef] [PubMed]
- Pretty, J.; Sutherland, W.J.; Ashby, J.; Auburn, J.; Baulcombe, D.; Bell, M.; Bentley, J.; Bickersteth, S.; Brown, K.; Burke, J.; et al. The top 100 questions of importance to the future of global agriculture. Int. J. Agric. Sustain. 2010, 8, 219–236. [Google Scholar] [CrossRef]
- Rossi, V.; Sperandio, G.; Caffi, T.; Simonetto, A.; Gilioli, G. Critical success factors for the adoption of decision tools in IPM. Agronomy 2019, 9, 710. [Google Scholar] [CrossRef]
- Rossi, V.; Caffi, T.; Salinari, F. Helping farmers face the increasing complexity of decision-making for crop protection. Phytopathol. Mediterr. 2012, 51, 457–479. [Google Scholar]
- Lázaro, E.; Makowski, D.; Vicent, A. Decision support systems halve fungicide use compared to calendar-based strategies without increasing disease risk. Commun. Earth Environ. 2021, 2, 1–10. [Google Scholar] [CrossRef]
- González-Domínguez, E.; Fedele, G.; Salinari, F.; Rossi, V. A general model for the effect of crop management on plant disease epidemics at different scales of complexity. Agronomy 2020, 10, 462. [Google Scholar] [CrossRef]
- Rossi, V.; Giosuè, S.; Caffi, T. Modelling plant diseases for decision making in crop protection. In Precision Crop Protection—The Challenge and Use of Heterogeneity; Oerke, E.C., Gerhards, R., Menz, G., Sikora, R., Eds.; Springer: Dordrecht, The Netherlands, 2010; pp. 241–258. [Google Scholar]
- Waggoner, P.E. Forecasting epidemics. In Plant Pathology: An Advance Treatise; Horsfall, J.G., Dimond, A.E., Eds.; Academic Press: New York, NY, USA, 1960; pp. 291–313. [Google Scholar]
- Mills, W.D. Efficient use of sulfur dusts and sprays during rain to control apple scab. Cornell Ext. Bull. 1944, 630. [Google Scholar]
- Baldacci, E. Epifitie di Plasmopara viticola (1941–1946) nell’Oltrepó Pavese ed Adozione del Calendario di Incubazione Come Strumento di Lotta; Università Degli Studi di Pavia, Istituto Botanico: Pavia, Italy, 1947; pp. 45–85. [Google Scholar]
- Van der Plank, J.E. Analysis of epidemics. In Plant Pathology: An Advance Treatise; Horsfall, J.G., Dimond, A.E., Eds.; Academic Press: New York, NY, USA, 1960; pp. 229–289. [Google Scholar]
- Van der Plank, J.E. Plant Diseases: Epidemics and Control; Academic Press: New York, NY, USA, 1963. [Google Scholar]
- Zadoks, J.C. Systems analysis and the dynamics of epidemics. Phytopathology 1971, 61, 600–610. [Google Scholar]
- De Wolf, E.D.; Isard, S.A. Disease cycle approach to plant disease prediction. Annu. Rev. Phytopathol. 2008, 45, 203–220. [Google Scholar] [CrossRef]
- Krause, R.A.; Massie, L.B. Predictive systems: Modern approaches to disease control. Annu. Rev. Phytopathol. 1975, 13, 31–47. [Google Scholar] [CrossRef]
- Zadoks, J.C.; Rijsdijk, F.; Rabbinge, R. EPIPRE, a systems approach to supervised control of pests and diseases of wheat in the Netherlands. In Pest and Pathogen Conrol: Strategic, Tactical and Policy Models; Conway, G.R., Ed.; Wiley: New York, NY, USA, 1984; pp. 344–351. [Google Scholar]
- Rabbinge, R.; de Wit, C.T. Systems, model and simulation. Tetrahedron Lett. 1989, 23, 4461–4464. [Google Scholar]
- Leffelaar, P.A.; Ferrari, T.J. Some elements of dynamic simulation. In Simulation and Systems Management in Crop Protection; Pudoc: Wageningen, The Netherlands, 1989; Volume 66, pp. 37–39. [Google Scholar]
- Butt, D.J.; Jeger, M.J. The practical implementation of models in crop disease management. In Mathematical Modelling of Crop Disease; Gilligan, C.A., Ed.; Academic Press: New York, NY, USA, 1985; pp. 207–230. [Google Scholar]
- James, K.L.; Randall, N.P.; Haddaway, N.R. A methodology for systematic mapping in environmental sciences. Environ. Evid. 2016, 5, 1–13. [Google Scholar] [CrossRef]
- Berlin, A.; Källström, H.N.; Lindgren, A.; Olson, Å. Scientific evidence for sustainable plant disease protection strategies for the main arable crops in Sweden. A systematic map protocol. Environ. Evid. 2018, 7, 1–8. [Google Scholar] [CrossRef]
- Randall, N.P.; James, K.L. The effectiveness of integrated farm management, organic farming and agri-environment schemes for conserving biodiversity in temperate Europe—A systematic map. Environ. Evid. 2012, 1, 1–21. [Google Scholar] [CrossRef]
- Faostat. Available online: http://www.fao.org/faostat/en/#data (accessed on 16 June 2021).
- World Program for the Census of Agriculture Classification of Crops. System of Integrated Agricultural Censuses and Surveys; Food and Agriculture Organization of the United Nations: Rome, Italy, 2010; Volume 1, pp. 142–146. [Google Scholar]
- FAO. Country Codes/Names. Available online: https://www.fao.org/countryprofiles/iso3list/en/ (accessed on 30 November 2021).
- Rabbinge, R.; Rossing, W.A.H.; Van der Werf, W. Systems approaches in epidemiology and plant disease management. Neth. J. Plant Pathol. 1993, 99, 161–171. [Google Scholar] [CrossRef][Green Version]
- Zadoks, J.C.; Schein, R.D. Epidemiology and Plant Disease Management; Oxford University Press Inc.: New York, NY, USA, 1979. [Google Scholar]
- Chevalier-Gérard, C.; Denis, J.; Meynard, J. Estimation of yield loss caused by fungal diseases on winter wheat: Construction and validation of a model taking into account the effects of the cropping system. Agronomie 1994, 14, 305–318. [Google Scholar] [CrossRef]
- Foster, J.M.; McDonald, M.R. Evaluation of the TOM-CAST forecasting model in asparagus for management of Stemphylium Leaf Spot in Ontario, Canada. Plant Dis. 2018, 102, 2253–2257. [Google Scholar] [CrossRef]
- Jørgensen, L.N.; Matzen, N.; Ficke, A.; Nielsen, G.C.; Jalli, M.; Ronis, A.; Andersson, B.; Djurle, A. Validation of risk models for control of leaf blotch diseases in wheat in the Nordic and Baltic countries. Eur. J. Plant Pathol. 2020, 157, 599–613. [Google Scholar] [CrossRef]
- Van der Zwet, T.; Biggs, A.R.; Heflebower, R.; Lightner, G.W. Evaluation of the MARYBLYT computer model for predicting blossom blight on apple in West Virginia and Maryland. Plant Dis. 1994, 78, 225–230. [Google Scholar] [CrossRef]
- Rossi, V.; Giosuè, S.; Racca, P. Modelling the effect of weather on wheat powdery mildew. Acta Phytopathol. Entomol. Hungarica 2000, 35, 323–332. [Google Scholar]
- Xu, X.; Madden, L.V.; Edwards, S.G. Modeling the effects of environmental conditions on HT2 and T2 toxin accumulation in field oat grains. Phytopathology 2014, 104, 57–66. [Google Scholar] [CrossRef] [PubMed]
- Willbur, J.F.; Fall, M.L.; Byrne, A.M.; Chapman, S.A.; McCaghey, M.M.; Mueller, B.D.; Schmidt, R.; Chilvers, M.I.; Mueller, D.S.; Kabbage, M.; et al. Validating Sclerotinia sclerotiorum apothecial models to predict Sclerotinia stem rot in Soybean (Glycine max) fields. Plant Dis. 2018, 102, 2592–2601. [Google Scholar] [CrossRef] [PubMed]
- Sutton, J.C.; James, T.D.W.; Rowell, P.M. Botcast: A forecasting system to time the initial fungicide spray for managing Botrytis leaf blight of onions. Agric. Ecosyst. Environ. 1986, 18, 123–143. [Google Scholar] [CrossRef]
- Llorente, I.; Moragrega, C.; Vilardell, P.; Montesinos, E. STREP: A brown-spot disease predictor for scheduling fungicide sprays against Stemphylium vesicarium on pear. EPPO Bull. 2000, 30, 143–148. [Google Scholar] [CrossRef]
- Beresford, R.M.; Manktelow, D.W.L. Economics of reducing fungicide use by weather-based disease forecasts for control of Venturia inaequalis in apples. N. Z. J. Crop Hortic. Sci. 1994, 22, 113–120. [Google Scholar] [CrossRef]
- Carisse, O.; Bacon, R.; Lefebvre, A.; Lessard, K. A degree-day model to initiate fungicide spray programs for management of grape powdery mildew [Erysiphe necator]. Can. J. Plant Pathol. 2009, 31, 186–194. [Google Scholar]
- Michailides, T.J.; Morgan, D.P.; Puckett, R.D. Growers can reduce sprays during control of Botryosphaeria panicle and shoot blight of pistachio by using a leaf wetness model. Acta Hortic. 2014, 1028, 179–184. [Google Scholar] [CrossRef]
- Gottwald, T.R.; Taylor, E.L.; Amorim, L.; Bergamin-Filho, A.; Bassanezi, R.B.; Silva, G.J.; Fogliata, G.; Fourie, P.H.; Graham, J.H.; Hattingh, V.; et al. Probabilistic risk-based model for the assessment of Phyllosticta citricarpa-infected citrus fruit and illicit plant material as pathways for pathogen introduction and establishment. Crop Prot. 2021, 142, 105521. [Google Scholar] [CrossRef]
- Narouei-Khandan, H.A.; Halbert, S.E.; Worner, S.P.; van Bruggen, A.H.C. Global climate suitability of citrus huanglongbing and its vector, the Asian citrus psyllid, using two correlative species distribution modeling approaches, with emphasis on the USA. Eur. J. Plant Pathol. 2016, 144, 655–670. [Google Scholar] [CrossRef]
- Yonow, T.; Hattingh, V.; de Villiers, M. CLIMEX modelling of the potential global distribution of the citrus black spot disease caused by Guignardia citricarpa and the risk posed to Europe. Crop Prot. 2013, 44, 18–28. [Google Scholar] [CrossRef]
- Savary, S.; Duveiller, E.; Forbes, G.; Willocquet, L.; Hijmans, R. Food security and plant disease epidemics: Modeling potential epidemics on rice, potato, and wheat. Phytopathology 2010, 100, 1. [Google Scholar]
- Luo, Y.; Tebeest, D.O.; Teng, P.S.; Fabellar, N.G. Simulation studies on risk analysis of rice leaf blast epidemics associated with global climate change in several Asian countries. J. Biogeogr. 1995, 22, 673–678. [Google Scholar] [CrossRef]
- Xu, W.; Sun, H.; Jin, J.; Cheng, J. Predicting the potential distribution of apple canker pathogen (Valsa mali) in China under climate change. Forests 2020, 11, 1126. [Google Scholar] [CrossRef]
- Wójtowicz, A.; Wójtowicz, M.; Sigvald, R.; Pasternak, M. Predicting the effects of climate change on the latency period of wheat leaf rust in western Poland. Acta Agric. Scand. B 2017, 67, 223–234. [Google Scholar] [CrossRef]
- FAO. World Food and Agriculture—Statistical Yearbook 2021; Food and Agriculture Organization of the United Nations: Rome, Italy, 2021. [Google Scholar]
- Oerke, E.C. Crop losses to pests. J. Agric. Sci. 2006, 144, 31–43. [Google Scholar] [CrossRef]
- Savary, S.; Willocquet, L.; Pethybridge, S.J.; Esker, P.; McRoberts, N.; Nelson, A. The global burden of pathogens and pests on major food crops. Nat. Ecol. Evol. 2019, 3, 430–439. [Google Scholar] [CrossRef]
- Calles, T. The international year of pulses: What are they and why are they important. Crop. Soils 2016, 49, 38. [Google Scholar]
- Alexandratos, N.; Bruinsma, J. World Agriculture Towards 2030/2050; ESA Working Paper No. 12-03; Food and Agriculture Organization of the United Nations: Rome, Italy, 2012. [Google Scholar]
- Campbell, C.L.; Madden, L.V. Introduction to Plant Disease Epidemiology; John Wiley and Sons: New York, NY, USA, 1990; pp. 43–73. [Google Scholar]
- Gent, D.H.; Mahaffee, W.F.; McRoberts, N.; Pfender, W.F. The use and role of predictive systems in disease management. Annu. Rev. Phytopathol. 2013, 51, 267–289. [Google Scholar] [CrossRef]
- Zadoks, J.C.; Rabbinge, R. Modelling to a purposeed. In Advances in Plant Pathology, Vol. 3. Mathematical Modelling of Crop Diseases; Gilligan, C.A., Ed.; Academic Press: London, UK, 1985; pp. 231–244. [Google Scholar]
- Rossi, V.; Caffi, T.; Giosuè, S.; Bugiani, R. A mechanistic model simulating primary infections of downy mildew in grapevine. Ecol. Modell. 2008, 212, 480–491. [Google Scholar] [CrossRef]
- Caffi, T.; Rossi, V.; Carisse, O. Evaluation of a dynamic model for primary infections caused by Plasmopara viticola on grapevine in Quebec. Plant Health Prog. 2011, 12, 22. [Google Scholar] [CrossRef]
- Caffi, T.; Rossi, V.; Bugiani, R. Evaluation of a warning system for controlling primary infections of grapevine downy mildew. Plant Dis. 2010, 94, 709–716. [Google Scholar] [CrossRef] [PubMed]
- Rossi, V.; Salinari, F.; Poni, S.; Caffi, T.; Bettati, T. Addressing the implementation problem in agricultural decision support systems: The example of vite.net®. Comput. Electron. Agric. 2014, 100, 88–99. [Google Scholar] [CrossRef]
- Rossi, V.; Giosuè, S.; Bugiani, R. A model simulating deposition of Venturia inaequalis ascospores on apple trees. EPPO Bull. 2003, 33, 404–417. [Google Scholar] [CrossRef]
- Rossi, V.; Giosuè, S.; Bugiani, R. A-scab (Apple-scab), a simulation model for estimating risk of Venturia inaequalis primary infections. EPPO Bull. 2007, 37, 300–308. [Google Scholar] [CrossRef]






| Thematic Block | Search Strings |
|---|---|
| Modeling | model* OR simulat* OR predict* OR forecast* OR prognos* |
| Plant disease | disease* OR pathog* OR epidem* OR infect* |
| Topic to exclude | molec* OR gen* OR “image recognition” OR weed OR locus OR Arabidopsis OR Brachypodium OR cell OR human OR celiac OR coeliac OR cancer OR allergy OR hyper* OR rat OR mouse |
| Crop System | Crops (Number of Selected Papers) |
|---|---|
| 1. Cereals | Barley (17), Maize (15), Millet (1), Oats (2), Rice (30), Rye (2), Sorghum (4), Wheat (143) |
| 2. Vegetables and melon | Artichokes (1), Asparagus (2), Brassicas (12), Carrots (9), Cucumbers (7), Eggplants (1), Garlic (1), Leeks (1), Lettuce (5), Melon (1), Onion (18), Quinoa (1), Tomatoes (19), Watermelon (1) |
| 3. Fruits and nuts | Apple (44), Banana (8), Cherries (2), Citrus (28), Grape (51), Kiwi (1), Mango (7), Nectarines (6), Nuts (20), Papaya (1), Pears (13), Pineapple (1), Pistachios (2), Plantain (4), Plums (2), Strawberries (20) |
| 4. Oilseed crops | Coconut (2), Mustard (4), Oil palm (2), Olives (3), Rapeseed (33), Safflower (1), Soybeans (38), Sunflower (3) |
| 5. Root and tuber crops | Cassava (5), Potatoes (80) |
| 6. Beverage and spice crops | Chillies (5), Cocoa (1), Coffee (7) |
| 7. Leguminous crops | Beans (15), Lentils (1), Peas (11) |
| 8. Sugar crops | Sugar beet (17), Sugar cane (6) |
| 9. Other crops | Cotton (11), Hops (9), Persimmon (1), Poppy (1), Rubber (2), Tobacco (6) |
| Scope Category | Examples of Scope | Examples of Papers |
|---|---|---|
| 1. System representation and understanding | 1.1 Effect of environmental or agronomical variables on disease development 1.2 Simulation of epidemic development in time and/or space 1.3 Simulation of yield losses due to disease development 1.4 Evaluation or validation of previously developed models | [29,30,31,32,33,34,35] |
| 2. Tactical disease management | 2.1 Schedule of crop protection interventions 2.2 Best timing and frequency of disease control measures | [36,37,38,39,40] |
| 3. Strategic planning | 3.1 Evaluation of disease risk distribution (spatial, climatic, or geographic) | [41,42,43,44] |
| 4. Scenario analysis | 4.1 Simulation, interpretation, and evaluation of crop protection scenarios | [45,46,47] |
| Kingdom | No. of Papers |
|---|---|
| Fungi | 501 |
| Chromista | 101 |
| Generic 1 | 51 |
| Bacteria (vector) | 41 (3) |
| Virus (vector) | 48 (17) |
| Protista | 4 |
| Animalia | 2 |
Publisher’s Note: MDPI stays neutral with regard to jurisdictional claims in published maps and institutional affiliations. |
© 2022 by the authors. Licensee MDPI, Basel, Switzerland. This article is an open access article distributed under the terms and conditions of the Creative Commons Attribution (CC BY) license (https://creativecommons.org/licenses/by/4.0/).
Share and Cite
Fedele, G.; Brischetto, C.; Rossi, V.; Gonzalez-Dominguez, E. A Systematic Map of the Research on Disease Modelling for Agricultural Crops Worldwide. Plants 2022, 11, 724. https://doi.org/10.3390/plants11060724
Fedele G, Brischetto C, Rossi V, Gonzalez-Dominguez E. A Systematic Map of the Research on Disease Modelling for Agricultural Crops Worldwide. Plants. 2022; 11(6):724. https://doi.org/10.3390/plants11060724
Chicago/Turabian StyleFedele, Giorgia, Chiara Brischetto, Vittorio Rossi, and Elisa Gonzalez-Dominguez. 2022. "A Systematic Map of the Research on Disease Modelling for Agricultural Crops Worldwide" Plants 11, no. 6: 724. https://doi.org/10.3390/plants11060724
APA StyleFedele, G., Brischetto, C., Rossi, V., & Gonzalez-Dominguez, E. (2022). A Systematic Map of the Research on Disease Modelling for Agricultural Crops Worldwide. Plants, 11(6), 724. https://doi.org/10.3390/plants11060724

