Differences in Gene Expression of Pear Selections Showing Leaf Curling or Leaf Reddening Symptoms Due to Pear Decline Phytoplasma
Abstract
1. Introduction
2. Results
2.1. Foliar Symptoms in Selections 8824-1 and 9328-1
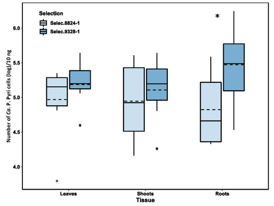
2.2. Detection and Quantification of PD Phytoplasma in Selections 9328-1 and 8824-1
2.3. Expression of Genes Involved in Carbohydrate Metabolism
2.4. Expression of Stress/Defense Related Genes
3. Discussion
4. Materials and Methods
4.1. Plant Material
4.2. Phytoplasma Detection and Quantification
4.3. RNA Extraction
4.4. cDNA Synthesis and Cloning
4.5. Gene Expression and Statistical Analysis
5. Conclusions
Supplementary Materials
Author Contributions
Funding
Institutional Review Board Statement
Informed Consent Statement
Data Availability Statement
Conflicts of Interest
References
- Seemüller, E.; Schneider, B. “Candidatus Phytoplasma mali”, “Candidatus Phytoplasma pyri” and “Candidatus Phytoplasma prunorum”, the causal agents of apple proliferation, pear decline and European stone fruit yellows, respectively. Int. J. Syst. Evol. Microbiol. 2004, 54, 1217–1226. [Google Scholar] [CrossRef] [PubMed]
- Mariën, B.; Balzarolo, M.; Dox, I.; Leys, S.; Lorène, M.J.; Geron, C.; Portillo-Estrada, M.; AbdElgawad, H.; Asard, H.; Campioli, M. Detecting the onset of autumn leaf senescence in deciduous forest trees of the temperate zone. New Phytol. 2019, 224, 166–176. [Google Scholar] [CrossRef] [PubMed]
- Seemüller, E.; Moll, E.; Schneider, B. Pear decline resistance in progenies of Pyrus taxa used as rootstocks. Eur. J. Plant Pathol. 2009, 123, 217–223. [Google Scholar] [CrossRef]
- Schaper, U. Condition of the Phloem and the Persistence of Mycoplasmalike Organisms Associated with Apple Proliferation and Pear Decline. Phytopathology 1982, 72, 736–742. [Google Scholar] [CrossRef]
- Lorenz, K.H.; Schneider, B.; Ahrens, U.; Seemuller, E. Detection of the apple proliferation and pear decline phytoplasmas by PCR amplification of ribosomal and nonribosomal DNA. Phytopathology 1995, 85, 771–776. [Google Scholar] [CrossRef]
- Martini, M.; Ermacora, P.; Magris, G.; Ferrini, F.; Loi, N. Symptom expression and ‘Candidatus Phytoplasma prunorum’ concentration in different Prunus species. Bull. Insectology 2011, 64, 171–172. [Google Scholar]
- Roggia, C.; Caciagli, P.; Galetto, L.; Pacifico, D.; Veratti, F.; Bosco, D.; Marzachì, C. Flavescence dorée phytoplasma titre in field-infected Barbera and Nebbiolo grapevines. Plant Pathol. 2014, 63, 31–41. [Google Scholar] [CrossRef]
- Hren, M.; Ravnikar, M.; Brzin, J.; Ermacora, P.; Carraro, L.; Bianco, P.A.; Casati, P.; Borgo, M.; Angelini, E.; Rotter, A.; et al. Induced expression of sucrose synthase and alcohol dehydrogenase I genes in phytoplasma-infected grapevine plants grown in the field. Plant Pathol. 2009, 58, 170–180. [Google Scholar] [CrossRef]
- Santi, S.; Grisan, S.; Pierasco, A.; De Marco, F.; Musetti, R. Laser microdissection of grapevine leaf phloem infected by stolbur reveals site-specific gene responses associated to sucrose transport and metabolism. Plant Cell Environ. 2013, 36, 343–355. [Google Scholar] [CrossRef]
- Hren, M.; Nikolić, P.; Rotter, A.; Blejec, A.; Terrier, N.; Ravnikar, M.; Dermastia, M.; Gruden, K. “Bois noir” phytoplasma induces significant reprogramming of the leaf transcriptome in the field grown grapevine. BMC Genom. 2009, 10, 460. [Google Scholar] [CrossRef]
- Landi, L.; Romanazzi, G. Seasonal variation of defense-related gene expression in leaves from bois noir affected and recovered grapevines. J. Agric. Food Chem. 2011, 59, 6628–6637. [Google Scholar] [CrossRef]
- Musetti, R.; Paolacci, A.; Ciaffi, M.; Tanzarella, O.A.; Polizzotto, R.; Tubaro, F.; Mizzau, M.; Ermacora, P.; Badiani, M.; Osler, R. Phloem cytochemical modification and gene expression following the recovery of apple plants from apple proliferation disease. Phytopathology 2010, 100, 390–399. [Google Scholar] [CrossRef]
- van Loon, L.C.; Rep, M.; Pieterse, C.M.J. Significance of Inducible Defense-related Proteins in Infected Plants. Annu. Rev. Phytopathol. 2006, 44, 135–162. [Google Scholar] [CrossRef]
- Bertazzon, N.; Bagnaresi, P.; Forte, V.; Mazzucotelli, E.; Filippin, L.; Guerra, D.; Zechini, A.; Cattivelli, L.; Angelini, E. Grapevine comparative early transcriptomic profiling suggests that Flavescence dorée phytoplasma represses plant responses induced by vector feeding in susceptible varieties. BMC Genom. 2019, 20, 1–27. [Google Scholar] [CrossRef]
- Junqueira, A.C.B.; Bedendo, I.P.; Pascholati, S.F. Effect of phytoplasma infection on the activity of peroxidase, β-1,3 glucanase and chitinase in corn plants. Summa Phytopathol. 2011, 37, 194–198. [Google Scholar] [CrossRef][Green Version]
- Shadle, G.L.; Wesley, S.V.; Korth, K.L.; Chen, F.; Lamb, C.; Dixon, R.A. Phenylpropanoid compounds and disease resistance in transgenic tobacco with altered expression of l -phenylalanine ammonia-lyase. Phytochemistry 2003, 64, 153–161. [Google Scholar] [CrossRef]
- Patui, S.; Bertolini, A.; Clincon, L.; Ermacora, P.; Braidot, E.; Vianello, A.; Zancani, M. Involvement of plasma membrane peroxidases and oxylipin pathway in the recovery from phytoplasma disease in apple (Malus domestica). Physiol. Plant. 2013, 148, 200–213. [Google Scholar] [CrossRef] [PubMed]
- Paolacci, A.R.; Catarcione, G.; Ederli, L.; Zadra, C.; Pasqualini, S.; Badiani, M.; Musetti, R.; Santi, S.; Ciaffi, M. Jasmonate-mediated defence responses, unlike salicylate-mediated responses, are involved in the recovery of grapevine from bois noir disease. BMC Plant Biol. 2017, 17, 1–19. [Google Scholar] [CrossRef]
- Musetti, R.; Buxa, S.V.; De Marco, F.; Loschi, A.; Polizzotto, R.; Kogel, K.; Bel, A.J.E. Van Phytoplasma-Triggered Ca 2 + Influx Is Involved in Sieve-Tube Blockage. Mol. Plant-Microbe Interact. 2013, 26, 379–386. [Google Scholar] [CrossRef]
- Musetti, R. Biochemical changes in plants infected by phytoplasmas. In Phytoplasmas: Genomes, Plant Hosts and Vectors; 2009; pp. 132–146. ISBN 9781845935306. [Google Scholar]
- Smith-becker, J.; Marois, E.; Huguet, E.J.; Midland, S.L.; Sims, J.J.; Keen, N.T. Accumulation of Salicylic Acid and 4-Hydroxybenzoic Acid in Phloem Fluids of Cucumber during Systemic Acquired Resistance Is Preceded by a Transient Increase in Phenylalanine Ammonia-Lyase Activity in Petioles and Stems. Plant Physiol. 1998, 116, 231–238. [Google Scholar] [CrossRef]
- Bell, R.L. Effect of resistant and susceptible east European pears on development and mortality of the pear psylla, Cacopsylla pyricola (Förster). HortScience 2015, 50, 661–665. [Google Scholar] [CrossRef]
- Ermacora, P.; Osler, R. Symptoms of phytoplasma diseases. Methods Mol. Biol. 2019, 1875, 53–67. [Google Scholar] [CrossRef] [PubMed]
- Bertaccini, A.; Duduk, B. Phytoplasma and phytoplasma diseases: A review of recent research. Phytopathol. Mediterr. 2009, 48, 355–378. [Google Scholar]
- Murakami, P.F.; Schaberg, P.G.; Shane, J.B. Stem girdling manipulates leaf sugar concentrations and anthocyanin expression in sugar maple trees during autumn. Tree Physiol. 2008, 28, 1467–1473. [Google Scholar] [CrossRef]
- Anderson, R.; Ryser, P. Early autumn senescence in red maple (Acer rubrum L.) is associated with high leaf anthocyanin content. Plants 2015, 4, 505–522. [Google Scholar] [CrossRef]
- Nar, H.; Saglam, A.; Terzi, R.; Várkonyi, Z.; Kadioglu, A. Leaf rolling and photosystem II efficiency in Ctenanthe setosa exposed to drought stress. Photosynthetica 2009, 47, 429–436. [Google Scholar] [CrossRef]
- Sharma, Y.K.; Davis, K.R. Ozone-lnduced Expression of Stress-Related Genes in Ara bidopsis thaliana. Plant Physiol. 1994, 105, 1089–1096. [Google Scholar] [CrossRef]
- Lefeuvre, P.; Martin, D.P.; Harkins, G.; Lemey, P.; Gray, A.J.A.; Meredith, S.; Lakay, F.; Monjane, A.; Lett, J.M.; Varsani, A.; et al. The spread of tomato yellow leaf curl virus from the middle east to the world. PLoS Pathog. 2010, 6, e1001164. [Google Scholar] [CrossRef]
- Koch, K. Sucrose metabolism: Regulatory mechanisms and pivotal roles in sugar sensing and plant development. Curr. Opin. Plant Biol. 2004, 7, 235–246. [Google Scholar] [CrossRef]
- Machenaud, J.; Henri, R.; Dieuaide-Noubhani, M.; Pracros, P.; Renaudin, J.; Eveillard, S. Gene expression and enzymatic activity of invertases and sucrose synthase in Spiroplasma citri or stolbur phytoplasma infected plants. Bull. Insectology 2007, 60, 219–220. [Google Scholar]
- Sturm, A. Update on Biochemistry Invertases. Primary Structures, Functions, and Roles in Plant Development and Sucrose Partitioning Some Common Molecular Features but Differ. Plant Physiol. 1999, 121, 1–7. [Google Scholar] [CrossRef] [PubMed]
- Hogenhout, S.A.; Oshima, K.; Ammar, E.D.; Kakizawa, S.; Kingdom, H.N.; Namba, S. Phytoplasmas: Bacteria that manipulate plants and insects. Mol. Plant Pathol. 2008, 9, 403–423. [Google Scholar] [CrossRef] [PubMed]
- Oshima, K.; Kakizawa, S.; Nishigawa, H.; Jung, H.; Wei, W.; Suzuki, S.; Arashida, R.; Nakata, D.; Miyata, S.; Ugaki, M.; et al. Reductive evolution suggested from the complete genome sequence of a plant-pathogenic phytoplasma. Nat. Genet. 2004, 36, 2003–2005. [Google Scholar] [CrossRef] [PubMed]
- Oshima, K.; Ishii, Y.; Kakizawa, S.; Sugawara, K.; Neriya, Y.; Himeno, M.; Minato, N.; Miura, C.; Shiraishi, T.; Yamaji, Y.; et al. Dramatic transcriptional changes in an intracellular parasite enable host switching between plant and insect. PLoS ONE 2011, 6, e23242. [Google Scholar] [CrossRef]
- Giorno, F.; Guerriero, G.; Biagetti, M.; Ciccotti, A.M.; Baric, S. Gene expression and biochemical changes of carbohydrate metabolism in invitro micro-propagated apple plantlets infected by “Candidatus Phytoplasma mali”. Plant Physiol. Biochem. 2013, 70, 311–317. [Google Scholar] [CrossRef]
- Wingler, A.; Purdy, S.; MacLean, J.A.; Pourtau, N. The role of sugars in integrating environmental signals during the regulation of leaf senescence. J. Exp. Bot. 2006, 57, 391–399. [Google Scholar] [CrossRef]
- Junqueira, A.; Bedendo, I.; Pascholati, S. Biochemical changes in corn plants infected by the maize bushy stunt phytoplasma. Physiol. Mol. Plant Pathol. 2004, 65, 181–185. [Google Scholar] [CrossRef]
- Strommer, J. The plant ADH gene family. Plant J. 2011, 66, 128–142. [Google Scholar] [CrossRef]
- Ramonell, K.M.; Kuang, A.; Porterfield, D.M.; Crispi, M.L.; Xiao, Y.; Mcclure, G.; Musgrave, M.E. Influence of atmospheric oxygen on leaf structure and starch deposition in arabidopsis thaliana. Plant Cell Environ. 2001, 24, 419–428. [Google Scholar] [CrossRef]
- Marquez, A.; Dueñas, M.; Serratosa, M.P.; Merida, J. Formation of vitisins and anthocyanin-flavanol adducts during red grape drying. J. Agric. Food Chem. 2012, 60, 6866–6874. [Google Scholar] [CrossRef]
- Koes, R.E.; Quattrocchio, F. Flavonoid Biosynthesis. In Plant Metabolism and Biotechnology; John Wiley & Sons, Inc.: Hoboken, NJ, USA, 2011; Volume 16, pp. 293–320. [Google Scholar] [CrossRef]
- Dermastia, M. Plant hormones in phytoplasma infected plants. Front. Plant Sci. 2019, 10, 477. [Google Scholar] [CrossRef] [PubMed]
- Ahmad, J.N.; Renaudin, J.; Eveillard, S. Expression of defence genes in stolbur phytoplasma infected tomatoes, and effect of defence stimulators on disease development. Eur. J. Plant Pathol. 2014, 139, 39–51. [Google Scholar] [CrossRef]
- Fischer, T.C.; Gosch, C.; Pfeiffer, J.; Halbwirth, H.; Halle, C.; Stich, K.; Forkmann, G. Flavonoid genes of pear (Pyrus communis). Trees-Struct. Funct. 2007, 21, 521–529. [Google Scholar] [CrossRef]
- Wong, J.H.; Namasivayam, P.; Abdullah, M.P. The PAL2 promoter activities in relation to structural development and adaptation in Arabidopsis thaliana. Planta 2012, 235, 267–277. [Google Scholar] [CrossRef]
- Guo, W.; Jin, L.; Miao, Y.; He, X.; Hu, Q.; Guo, K.; Zhu, L.; Zhang, X. An ethylene response-related factor, GbERF1-like, from Gossypium barbadense improves resistance to Verticillium dahliae via activating lignin synthesis. Plant Mol. Biol. 2016, 91, 305–318. [Google Scholar] [CrossRef]
- Bendix, C.; Lewis, J.D. The enemy within: Phloem-limited pathogens. Mol. Plant Pathol. 2018, 19, 238–254. [Google Scholar] [CrossRef]
- Musetti, R.; Farhan, K.; De Marco, F.; Polizzotto, R.; Paolacci, A.; Ciaffi, M.; Ermacora, P.; Grisan, S.; Santi, S.; Osler, R. Differentially-regulated defence genes in Malus domestica during phytoplasma infection and recovery. Eur. J. Plant Pathol. 2013, 136, 13–19. [Google Scholar] [CrossRef]
- Albrecht, U.; Bowman, K.D. Gene expression in Citrus sinensis (L.) Osbeck following infection with the bacterial pathogen Candidatus Liberibacter asiaticus causing Huanglongbing in Florida. Plant Sci. 2008, 175, 291–306. [Google Scholar] [CrossRef]
- Zhai, R.; Wang, Z.; Yang, C.; Lin-Wang, K.; Espley, R.; Liu, J.; Li, X.; Wu, Z.; Li, P.; Guan, Q.; et al. PbGA2ox8 induces vascular-related anthocyanin accumulation and contributes to red stripe formation on pear fruit. Hortic. Res. 2019, 6, 137. [Google Scholar] [CrossRef]
- Himeno, M.; Kitazawa, Y.; Yoshida, T.; Maejima, K.; Yamaji, Y.; Oshima, K.; Namba, S. Purple top symptoms are associated with reduction of leaf cell death in phytoplasma-infected plants. Sci. Rep. 2014, 4, 1–7. [Google Scholar] [CrossRef] [PubMed]
- Kaviani, M. Resistance to Pear Decline Phytoplasma and Its Relationship to Pathogen Overwintering, Host Response and Foliar Symptoms. Ph.D. Thesis, University of Guelph, Guelph, ON, Canada, 2014. [Google Scholar]
- Tichopad, A.; Dilger, M.; Schwarz, G.; Pfaf, M.W. Standardized determination of real-time PCR effciency from a single reaction set-up. Nucleic Acids Res. 2003, 31, 2–7. [Google Scholar] [CrossRef] [PubMed]
- Simon, P. Q-Gene: Processing quantitative real-time RT-PCR data. Bioinformatics 2003, 19, 1439–1440. [Google Scholar] [CrossRef] [PubMed]
- Andersen, C.L.; Jensen, J.L.; Ørntoft, T.F. Normalization of Real-Time Quantitative Reverse Transcription-PCR Data: A Model-Based Variance Estimation Approach to Identify Genes Suited for Normalization, Applied to Bladder and Colon Cancer Data Sets. Cancer Res. 2004, 64, 5245–5250. [Google Scholar] [CrossRef]
- Dirlewanger, E.; Graziano, E.; Joobeur, T.; Garriga-Calderé, F.; Cosson, P.; Howad, W.; Arús, P. Comparative mapping and marker-assisted selection in Rosaceae fruit crops. Proc. Natl. Acad. Sci. USA 2004, 101, 9891–9896. [Google Scholar] [CrossRef]
- Abbà, S.; Galetto, L.; Carle, P.; Carrère, S.; Delledonne, M.; Foissac, X.; Palmano, S.; Veratti, F.; Marzachì, C. RNA-Seq profile of flavescence dorée phytoplasma in grapevine. BMC Genom. 2014, 15, 1–13. [Google Scholar] [CrossRef]
- Pagliarani, C.; Gambino, G.; Ferrandino, A.; Chitarra, W.; Vrhovsek, U.; Cantu, D.; Palmano, S.; Marzachì, C.; Schubert, A. Molecular memory of Flavescence dorée phytoplasma in recovering grapevines. Hortic. Res. 2020, 7, 126. [Google Scholar] [CrossRef]




| Name | Primer Sequence [5′–3′] | Amplicon Size (bp) | Annealing Temperature (°C) a | RT-qPCR Efficiency b | R2 c | |
|---|---|---|---|---|---|---|
| ACTIN | F | CCTCCCACATGCCATCCTT | 51 | 60 | 1.8816 | 0.99 |
| R | TCTGTAAGATCACGACCTGCCA | |||||
| GAPDH | F | CCATATCAAGGGAGGTGCAAA | 51 | 58.4 | 1.8454 | 0.99 |
| R | TCCTTGCTGGGAGCAGAGAT | |||||
| EF-1α | F | GTGTGATTGAGAGGTTCGAGA | 65 | 58.5 | 1.8637 | 0.99 |
| R | CCAGGCATACTTGAACGACC | |||||
| ADH3 | F | TGTTGGGGAAGGTGTTGAA | 42 | 59.4 | 1.9413 | 0.99 |
| R | CGAGGTTGGTGATCATGT | |||||
| AIV2 | F | ACAATGACCCTCTCCTCACCAAA | 63 | 59.4 | 1.9931 | 0.99 |
| R | GACCAGAATCGGGTTGCCGGAGTA | |||||
| CHIT.c3 | F | GGACAGGCAAAAACGGTCTA | 65 | 58.2 | 1.9423 | 0.99 |
| R | TCTAGGTGAGCATCCGGGAT | |||||
| PAL | F | GTTGCGCTTTGTCAGTCCGT | 60 | 58.6 | 1.9658 | 0.99 |
| R | TACAGTGTTCCTCAAGTTCTC | |||||
| PP2 | F | CAGCGCAGGATCCAAAAGTC | 51 | 58.5 | 1.8790 | 0.99 |
| R | GGCCGTTGTCATCAGGAATTT | |||||
| SUSY | F | ATTTCTCAACCGCCACCTTTC | 54 | 58 | 1.9420 | 0.98 |
| R | TCCAACGATTCTCTGTTACGGA | |||||
| PHYTOF3/R3 d | F | GTGAATACGTTCTCGGGGTTTGT | 136 | 60 | 1.9825 | 0.99 |
| R | ATACCTTCTTACGACTTAACCCCA | |||||
| TaqMan probe | FAM-CAATACCCGAAACCAG-IowBlack®® FQ | |||||
| Name | Pyrus sp. Homolog a | Arabidopsis thaliana Homolog b | Arabidopsis thaliana Annotation | Function c | Nt Identity (%) d |
|---|---|---|---|---|---|
| ACTIN | AF386514 | NM_114519 | ACTIN-12 | structural constituent of cytoskeleton | 81 |
| GAPDH | AB266449 | AK318794 | glyceraldehyde-3-phosphate dehydrogenase | glycolysis | 100 |
| EF-1α | AY338250 | AK317216 | elongation factor 1-alpha | translation | 99 |
| SUSY | AB190798 | NM_116461 | sucrose synthase | carbohydrate metabolism | 100 |
| AIV2 | AB190800 | NM_101096 | acid beta-fructofuranosidase (vacuolar invertase) | carbohydrate metabolism | 100 |
| ADH3 | AF031899 | AY088010 | alcohol dehydrogenase 1 | stress/defence-related | 83 |
| CHIT.c3 | FJ589785 | NM_122314 | chitinase A | stress/defence-related | 68 |
| PAL | DQ230992 | NM_129260 | Phenylalanine ammonia lyase | stress/defence-related | 96 |
| PP2 | FN395069 | NM_102858 | phloem protein 2 | stress/defence-related | 77 |
Publisher’s Note: MDPI stays neutral with regard to jurisdictional claims in published maps and institutional affiliations. |
© 2022 by the authors. Licensee MDPI, Basel, Switzerland. This article is an open access article distributed under the terms and conditions of the Creative Commons Attribution (CC BY) license (https://creativecommons.org/licenses/by/4.0/).
Share and Cite
Kaviani, M.; Goodwin, P.H.; Hunter, D.M. Differences in Gene Expression of Pear Selections Showing Leaf Curling or Leaf Reddening Symptoms Due to Pear Decline Phytoplasma. Plants 2022, 11, 427. https://doi.org/10.3390/plants11030427
Kaviani M, Goodwin PH, Hunter DM. Differences in Gene Expression of Pear Selections Showing Leaf Curling or Leaf Reddening Symptoms Due to Pear Decline Phytoplasma. Plants. 2022; 11(3):427. https://doi.org/10.3390/plants11030427
Chicago/Turabian StyleKaviani, Mina, Paul H. Goodwin, and David M. Hunter. 2022. "Differences in Gene Expression of Pear Selections Showing Leaf Curling or Leaf Reddening Symptoms Due to Pear Decline Phytoplasma" Plants 11, no. 3: 427. https://doi.org/10.3390/plants11030427
APA StyleKaviani, M., Goodwin, P. H., & Hunter, D. M. (2022). Differences in Gene Expression of Pear Selections Showing Leaf Curling or Leaf Reddening Symptoms Due to Pear Decline Phytoplasma. Plants, 11(3), 427. https://doi.org/10.3390/plants11030427

