Unravelling Phytochemical and Bioactive Potential of Three Hypericum Species from Romanian Spontaneous Flora: H. alpigenum, H. perforatum and H. rochelii
Abstract
1. Introduction
2. Results
2.1. Phenolic Profile of the Extracts
| Peak No. | Rt (min) | λmax (nm) | [M−H]− (m/z) | MS2 (m/z) | Tentative Identification | Quantification (mg/g Extract) | Ref. | |||||
|---|---|---|---|---|---|---|---|---|---|---|---|---|
| HAA | HAM | HPA | HPM | HRA | HRM | |||||||
| 1 | 4.37 | 324, 298 | 353 | 191(100), 179(45), 135(10), 161 (5) | 3-O-Caffeoylquinic acid 1 | 68.1 ± 1.192 bB | 30.34 ± 0.886 aC | 12.78 ± 0.097 aA | 14.11 ± 0.361 bB | 12.43 ± 0.113 bA | 7.45 ± 0.196 aA | [25] |
| 2 | 5.59 | 215, 31 | 337 | 163(100), 173(50), 191(25), 119(9), 135 (5) | 3-O-p-Coumaroylquinic acid 2 | nd | nd | 3.03 ± 0.002 aA | 4.32 ± 0.095 b | 98.09 ± 1.114 aB | nd | [36] |
| 3 | 5.68 | 220, 310 | 353 | 173(100), 179(42), 191(24), 135(3) | 4-O-Caffeoylquinic acid 1 | 23.17 ± 0.612 b | 12.89 ± 0.249 a | nd | nd | nd | nd | [25] |
| 4 | 6.16 | 289, 322 | 353 | 191(100), 179(13), 161 (<5), 135(<5) | 5-O-Caffeoylquinic acid 1 | nd | nd | 10.91 ± 0.037 a | 15.76 ± 0.653 bA | nd | 50.56 ± 2.477 aB | [37] |
| 5 | 6.51 | 280 | 577 | 425(100), 407(68), 451(24), 289(22), 287(12) | Β-type (epi)catechin dimer 3 | 19.35 ± 0.318 b | 9.13 ± 0.369 a | nd | nd | nd | nd | [27] |
| 6 | 8.36 | 280 | 289 | 245(100), 205(36), 203(12), 179(6), 125(3) | (+)-Catechin 3 | 21.22 ± 0.621 bB | 9.86 ± 0.296 aB | nd | nd | 5.92 ± 0.065 bA | 3.79 ± 0.129 aA | [27] |
| 7 | 8.36 | 280 | 289 | 245(100), 205(32), 179(15), 203(7) | (-)-Epicatechin 3 | nd | nd | 11.96 ± 0.345 aB | 19.09 ± 0.003 bB | 8.33 ± 0.162 bA | 3.82 ± 0.008 aA | [38] |
| 8 | 9.29 | 280 | 865 | 695(100), 577(48), 713(33), 575(26), 287 | Β-type (epi)catechin trimer 3 | nd | nd | 9.27 ± 0.035 a | 13.79 ± 0.002 b | nd | nd | [34] |
| 9 | 13.37 | 257, 274, 315 | 421 | 301(100), 331(91), 259 | Mangiferin 4 | 6.52 ± 0.097 bC | 3.14 ± 0.149 aA | 2.18 ± 0.065 aA | 3.86 ± 0.138 bB | 5.44 ± 0.01 bB | 3.3 ± 0.012 aA | [38] |
| 10 | 10.73 | 280 | 1153 | 865(100), 577(54), 713(20), 287 | Β-type (epi)catechin tetramer 3 | nd | 5.62 ± 0.859 aA | 10.62 ± 0.205 a | 15.63 ± 0.326 bB | nd | nd | [38] |
| 11 | 12.99 | 280 | 1153 | 865(100), 577(54), 713(20), 287 | Β-type (epi)catechin tetramer 3 | 26.34 ± 0.357 b | 11.83 ± 0.082 a | nd | nd | nd | nd | [36] |
| 12 | 13.88 | 216, 354 | 625 | 463(100), 301(23) | Quercetin-O-dihexoside 4 | nd | nd | 0.49 ± 0.001 a | 1.34 ± 0.059 b | nd | nd | [39] |
| 13 | 14.18 | 265, 353 | 479 | 317(100) | Myricetin-O-hexoside 5 | nd | nd | nd | nd | 7.36 ± 0.113 b | 4.73 ± 0.432 a | [37] |
| 14 | 15.89 | 280 | 577 | 425(100), 451(40), 407 | Procyanidin B5 3 | 14.42 ± 0.043 b | 7.52 ± 0.194 a | nd | nd | nd | nd | [39] |
| 15 | 16.16 | 268, 359 | 463 | 317(100) | Myricetin-O-rhamnoside 5 | nd | nd | nd | nd | 66.59 ± 0.36 b | 42.87 ± 0.691 a | [40] |
| 16 | 16.41 | 255, 355 | 609 | 301(100) | Quercetin-O-deoxyhexosyl-hexoside 4 | 1.81 ± 0.001 bA | 0.58 ± 0.001 aA | 7.29 ± 0.023 aB | 9.44 ± 0.035 bB | nd | nd | [39] |
| 17 | 17.08 | 355 | 463 | 301(100) | Quercetin-O-hexoside 4 | 65.37 ± 1.932 b | 13.54 ± 0.002 a | 13.75 ± 0.11 a | nd | nd | nd | [40] |
| 18 | 17.14 | 290, 354 | 477 | 301(100) | Quercetin-3-O-hexuronide 4 | nd | nd | nd | 18.49 ± 0.086 a | nd | nd | [39] |
| 19 | 17.57 | 351 | 463 | 316(100), 317(70) | Myricetin-O-rhamnoside 5 | nd | nd | nd | nd | 15.48 ± 0.413 b | 10.94 ± 0.292 a | [39] |
| 20 | 19.85 | 267, 354 | 463 | 301(100) | Quercetin-O-hexoside 4 | 3.98 ± 0.11 b | 0.75 ± 0.016 aA | nd | 1.82 ± 0.009 aB | nd | nd | [41] |
| 21 | 19.69 | 213, 266, 347 | 593 | 285(100) | Luteolin-O-rutinoside 4 | nd | nd | nd | 2.59 ± 0.007 a | nd | nd | [42] |
| 22 | 19.72 | 352 | 505 | 301(100), 463(55) | Quercetin-O-acetyl-hexoside 4 | nd | nd | 2.1 ± 0.007 a | nd | nd | nd | [25] |
| 23 | 20.06 | 353 | 433 | 301(100) | Quercetin-O-pentoside 4 | nd | nd | nd | nd | 2.77 ± 0.016 b | 2.32 ± 0.057 a | [42] |
| 24 | 20.94 | 357 | 447 | 301(100) | Quercetin-O-deoxyhexoside 4 | 2.55 ± 0.096 bB | 0.8 ± 0.002 aA | 2.04 ± 0.015 aA | 3.9 ± 0.072 bB | 12.19 ± 0.073 bC | 7.41 ± 0.121 aC | [25] |
| 25 | 30.3 | 354 | 301 | 179(100), 151(24) | Quercetin 4 | nd | 0.58 ± 0.001 aA | nd | 3.77 ± 0.01 aB | Nd | nd | [25] |
| Total Phenolic Acids | 91.27 ± 1.804 bB | 43.23 ± 1.135 aB | 26.73 ± 0.063 aA | 34.18 ± 1.109 bA | 110.52 ± 1.227 bC | 58.01 ± 2.281 aC | ||||||
| Total Flavan-3-ols | 81.33 ± 0.616 bC | 25.47 ± 0.04 a | 31.84 ± 0.175 aB | 48.51 ± 0.328 b | 14.25 ± 0.226 bA | 7.61 ± 0.137 a | ||||||
| Total Xanthonoids | 6.52 ± 0.097 bC | 3.14 ± 0.149 aA | 0.49 ± 0.001 aA | 3.86 ± 0.138 bB | 5.44 ± 0.01 bB | 3.3 ± 0.012 aA | ||||||
| Total Flavonoids | 73.71 ± 2.138 bB | 16.25 ± 0.016 aA | 27.36 ± 0.001 aA | 41.35 ± 0.123 bB | 104.39 ± 0.029 bC | 68.28 ± 0.374 aC | ||||||
| Total Phenolic Compounds | 252.83 ± 0.853 bC | 175.78 ± 1.392 aC | 86.42 ± 0.238 aA | 127.9 ± 0.766 bA | 234.61 ± 0.962 bB | 137.2 ± 2.78 aB | ||||||
2.2. Total Phenolic (TPC) and Total Flavonoid Content (TFC)
2.3. Antioxidant Potential of the Extracts
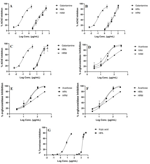
2.4. Enzyme-Inhibitory Activity of the Extracts
2.5. Antimicrobial Properties of the Extracts
3. Discussion
4. Materials and Methods
4.1. Standards, Reagents, and Other Chemicals
4.2. Plant Material
4.3. Extraction Procedure
4.4. LC-DAD-ESI/MSn Characterization of Phenolic Profile
4.5. Evaluation of Total Phenolic (TPC) and Total Flavonoid (TFC) Contents
4.6. Total Antioxidant Capacity
4.6.1. TEAC Assay
4.6.2. FRAP Assay
4.6.3. DPPH Assay
4.6.4. TBARS Assay
4.6.5. OxHLIA Assay
4.7. Enzyme-Inhibitory Activity
4.7.1. α-Glucosidase Inhibition Assay
4.7.2. Tyrosinase Inhibition Assay
4.7.3. Acetylcholinesterase Inhibition Assay
4.8. Antimicrobial Activity
4.9. Statistical Analysis
5. Conclusions
Author Contributions
Funding
Institutional Review Board Statement
Informed Consent Statement
Data Availability Statement
Acknowledgments
Conflicts of Interest
References
- Franklin, G.; Beerhues, L.; Čellárová, E. Editorial: Molecular and Biotechnological Advancements in Hypericum Species. Front. Plant Sci. 2016, 7, 1687. [Google Scholar] [CrossRef] [PubMed]
- European Medicines Agency HMPC Community Herbal Monograph Hypericum Perforatum L. Herba (Traditional Use). Available online: https://www.ema.europa.eu/en/documents/herbal-monograph/final-community-herbal-monograph-hypericum-perforatum-l-herba-traditional-use_en.pdf (accessed on 8 January 2022).
- Sačková, V.; Kuliková, L.; Kello, M.; Uhrinová, I.; Fedoročko, P. Enhanced Antiproliferative and Apoptotic Response of HT-29 Adenocarcinoma Cells to Combination of Photoactivated Hypericin and Farnesyltransferase Inhibitor Manumycin A. Int. J. Mol. Sci. 2011, 12, 8388–8405. [Google Scholar] [CrossRef] [PubMed]
- Allegra, A.; Tonacci, A.; Spagnolo, E.V.; Musolino, C.; Gangemi, S. Antiproliferative Effects of St. John’s Wort, Its Derivatives, and Other Hypericum Species in Hematologic Malignancies. Int. J. Mol. Sci. 2020, 22, 146. [Google Scholar] [CrossRef]
- Agostinis, P.; Vantieghem, A.; Merlevede, W.; de Witte, P.A.M. Hypericin in cancer treatment: More light on the way. Int. J. Biochem. Cell Biol. 2002, 34, 221–241. [Google Scholar] [CrossRef]
- Dresler, S.; Kováčik, J.; Strzemski, M.; Sowa, I.; Wójciak-Kosior, M. Methodological aspects of biologically active compounds quantification in the genus Hypericum. J. Pharm. Biomed. Anal. 2018, 155, 82–90. [Google Scholar] [CrossRef]
- Nobakht, S.Z.; Akaberi, M.; Mohammadpour, A.; Tafazoli Moghadam, A.; Emami, A. Hypericum perforatum: Traditional uses, clinical trials, and drug interactions. Iran. J. Basic Med. Sci. 2022, 25, 1045–1058. [Google Scholar] [CrossRef] [PubMed]
- Ersoy, E.; Eroglu Ozkan, E.; Boga, M.; Yilmaz, M.A.; Mat, A. Anti-aging potential and anti-tyrosinase activity of three Hypericum species with focus on phytochemical composition by LC–MS/MS. Ind. Crops Prod. 2019, 141, 111735. [Google Scholar] [CrossRef]
- Marrelli, M.; Statti, G.; Conforti, F.; Menichini, F. New Potential Pharmaceutical Applications of Hypericum Species. Mini-Rev. Med. Chem. 2016, 16, 710–720. [Google Scholar] [CrossRef]
- Stojanovic, G.; Dordevic, A.; Smelcerovic, A. Do Other Hypericum Species Have Medical Potential As St. John’s Wort (Hypericum perforatum)? Curr. Med. Chem. 2013, 20, 2273–2295. [Google Scholar] [CrossRef]
- Zhang, J.; Gao, L.; Hu, J.; Wang, C.; Hagedoorn, P.-L.; Li, N.; Zhou, X. Hypericin: Source, Determination, Separation, and Properties. Sep. Purif. Rev. 2022, 51, 1–10. [Google Scholar] [CrossRef]
- Robson, N.K.B. Studies in the genus Hypericum L. (Hypericaceae) 5(1). Sections 10. Olympia to 15/16. Crossophyllum. Phytotaxa 2013, 4, 5. [Google Scholar] [CrossRef]
- Kitanov, G.M.; Nedialkov, P.T. Mangiferin and isomangiferin in some Hypericum species. Biochem. Syst. Ecol. 1998, 26, 647–653. [Google Scholar] [CrossRef]
- Đorđević, A.; Stojanović, G. Chemical composition of Hypericum rochelii Griseb. &Schenk headspace volatiles. Adv. Technol. 2019, 8, 26–29. [Google Scholar] [CrossRef]
- Đorđević, A.; Lazarević, J.; Šmelcerović, A.; Stojanović, G. The case of Hypericum rochelii Griseb. & Schenk and Hypericum umbellatum A. Kern. essential oils: Chemical composition and antimicrobial activity. J. Pharm. Biomed. Anal. 2013, 77, 145–148. [Google Scholar] [CrossRef]
- Euromed+ PlantBase Hypericum richeri Vill—Euromed+ PlantBase. Available online: https://europlusmed.org/cdm_dataportal/taxon/3f2d7da8-b87f-4f41-9b79-b4bbc7d96257 (accessed on 8 January 2022).
- Zlatkovic, B.; Nikolic, M.; Drndarevic, M.; Jovanovic, M.; Niketic, M. Revision of the genus Hypericum L. (Hypericaceae) in three herbarium collections from Serbia. Bull. Nat. Hist. Mus. 2014, 5, 93–127. [Google Scholar] [CrossRef]
- Ferretti, G.; Maggi, F.; Tirillini, B. Essential oil composition of Hypericum richeri Vill. from Italy. Flavour Fragr. J. 2005, 20, 295–298. [Google Scholar] [CrossRef]
- Venditti, A.; Bianco, A. Secondary metabolites of Hypericum richeri Vill. collected in Central Italy: Chemotaxonomy and ethnomedicinal relevance. Trends Phytochem. Res. 2018, 2, 155–162. [Google Scholar]
- Zdunic, G.; Godjevac, D.; Savikin, K.; Petrovic, S. Comparative Analysis of Phenolic Compounds in Seven Hypericum Species and Their Antioxidant Properties. Nat. Prod. Commun. 2017, 12, 1934578X1701201. [Google Scholar] [CrossRef]
- Zdunić, G.; Godevac, D.; Milenković, M.; Šavikin, K.; Menković, N.; Petrović, S. Anti-inflammatory and gastroprotective properties of Hypericum richeri oil extracts. Nat. Prod. Commun. 2010, 5, 1215–1218. [Google Scholar] [CrossRef]
- Dordević, A.; Zlatković, B.; Lazarević, J.; Palić, R. A detailed chemical composition and antimicrobial activity of Hypericum richeri Vill. subsp. grisebachii (Boiss.) Nyman essential oil from Serbia. J. Med. Plant Res. 2011, 5, 5486–5492. [Google Scholar]
- Clifford, M.N.; Johnston, K.L.; Knight, S.; Kuhnert, N. Hierarchical scheme for LC-MSn identification of chlorogenic acids. J. Agric. Food Chem. 2003, 51, 2900–2911. [Google Scholar] [CrossRef] [PubMed]
- Clifford, M.N.; Zheng, W.; Kuhnert, N. Profiling the chlorogenic acids of aster by HPLC-MSn. Phytochem. Anal. 2006, 17, 384–393. [Google Scholar] [CrossRef] [PubMed]
- Jabeur, I.; Tobaldini, F.; Martins, N.; Barros, L.; Martins, I.; Calhelha, R.C.; Henriques, M.; Silva, S.; Achour, L.; Santos-Buelga, C.; et al. Bioactive properties and functional constituents of Hypericum androsaemum L.: A focus on the phenolic profile. Food Res. Int. 2016, 89, 422–431. [Google Scholar] [CrossRef] [PubMed]
- Du, H.; Wu, J.; Li, H.; Zhong, P.-X.; Xu, Y.-J.; Li, C.-H.; Ji, K.-X.; Wang, L.-S. Polyphenols and triterpenes from Chaenomeles fruits: Chemical analysis and antioxidant activities assessment. Food Chem. 2013, 141, 4260–4268. [Google Scholar] [CrossRef] [PubMed]
- Zvezdanović, J. UHPLC–DAD–ESI–MS/MS characterization of St. John’s wort infusions from Serbia origin. Chem. Pap. 2022, 76, 1329–1347. [Google Scholar] [CrossRef]
- Yu, Q.; Qi, J.; Yu, H.-X.; Chen, L.-L.; Kou, J.-P.; Liu, S.-J.; Yu, B.-Y. Qualitative and Quantitative Analysis of Phenolic Compounds in the Leaves of Aquilaria sinensis Using Liquid Chromatography-Mass Spectrometry. Phytochem. Anal. 2013, 24, 349–356. [Google Scholar] [CrossRef] [PubMed]
- Trevisan, M.T.S.; Farias de Almeida, R.; Soto, G.; De Melo Virginio Filho, E.; Ulrich, C.M.; Owen, R.W. Quantitation by HPLC-UV of Mangiferin and Isomangiferin in Coffee (Coffea arabica) Leaves from Brazil and Costa Rica After Solvent Extraction and Infusion. Food Anal. Methods 2016, 9, 2649–2655. [Google Scholar] [CrossRef]
- Barbosa, W.L.R.; Peres, A.; Gallori, S.; Vincieri, F.F. Determination of myricetin derivatives in Chrysobalanus icaco L. (Chrysobalanaceae). Rev. Bras. Farmacogn. 2006, 16, 333–337. [Google Scholar] [CrossRef]
- Pascale, R.; Acquavia, M.A.; Cataldi, T.R.I.; Onzo, A.; Coviello, D.; Bufo, S.A.; Scrano, L.; Ciriello, R.; Guerrieri, A.; Bianco, G. Profiling of quercetin glycosides and acyl glycosides in sun-dried peperoni di Senise peppers (Capsicum annuum L.) by a combination of LC-ESI(-)-MS/MS and polarity prediction in reversed-phase separations. Anal. Bioanal. Chem. 2020, 412, 3005–3015. [Google Scholar] [CrossRef]
- March, R.E.; Lewars, E.G.; Stadey, C.J.; Miao, X.-S.; Zhao, X.; Metcalfe, C.D. A comparison of flavonoid glycosides by electrospray tandem mass spectrometry. Int. J. Mass Spectrom. 2006, 248, 61–85. [Google Scholar] [CrossRef]
- Zdunić, G.; Gođevac, D.; Šavikin, K.; Novaković, M.; Milosavljević, S.; Petrović, S. Isolation and identification of phenolic compounds from Hypericum richeri Vill. and their antioxidant capacity. Nat. Prod. Res. 2011, 25, 175–187. [Google Scholar] [CrossRef] [PubMed]
- Cirak, C.; Radusiene, J.; Jakstas, V.; Ivanauskas, L.; Yayla, F.; Seyis, F.; Camas, N. Secondary metabolites of Hypericum species from the Drosanthe and Olympia sections. S. Afr. J. Bot. 2016, 104, 82–90. [Google Scholar] [CrossRef]
- Crockett, S.L.; Robson, N.K.B. Taxonomy and Chemotaxonomy of the Genus Hypericum. Med. Aromat. Plant Sci. Biotechnol. 2011, 5, 1–13. [Google Scholar] [PubMed]
- Ferreres, F.; Valentão, P.; Pereira, J.A.; Bento, A.; Noites, A.; Seabra, R.M.; Andrade, P.B. HPLC-DAD-MS/MS-ESI screening of phenolic compounds in Pieris brassicae L. Reared on brassica rapa var. rapa L. J. Agric. Food Chem. 2008, 56, 844–853. [Google Scholar] [CrossRef]
- Dias, M.I.; Barros, L.; Morales, P.; Cámara, M.; Alves, M.J.; Oliveira, M.B.P.P.; Santos-Buelga, C.; Ferreira, I.C.F.R. Wild Fragaria vesca L. fruits: A rich source of bioactive phytochemicals. Food Funct. 2016, 7, 4523–4532. [Google Scholar] [CrossRef]
- Dias, M.I.; Barros, L.; Oliveira, M.B.P.P.; Santos-Buelga, C.; Ferreira, I.C.F.R. Phenolic profile and antioxidant properties of commercial and wild Fragaria vesca L. roots: A comparison between hydromethanolic and aqueous extracts. Ind. Crops Prod. 2015, 63, 125–132. [Google Scholar] [CrossRef]
- Bessada, S.M.F.; Barreira, J.C.M.; Barros, L.; Ferreira, I.C.F.R.; Oliveira, M.B.P.P. Phenolic profile and antioxidant activity of Coleostephus myconis (L.) Rchb.f.: An underexploited and highly disseminated species. Ind. Crops Prod. 2016, 89, 45–51. [Google Scholar] [CrossRef]
- Martins, N.; Barros, L.; Santos-Buelga, C.; Ferreira, I.C.F.R. Antioxidant potential of two Apiaceae plant extracts: A comparative study focused on the phenolic composition. Ind. Crops Prod. 2016, 79, 188–194. [Google Scholar] [CrossRef]
- Guimarães, R.; Barros, L.; Dueñas, M.; Calhelha, R.C.; Carvalho, A.M.; Santos-Buelga, C.; Queiroz, M.J.R.P.; Ferreira, I.C.F.R. Nutrients, phytochemicals and bioactivity of wild Roman chamomile: A comparison between the herb and its preparations. Food Chem. 2013, 136, 718–725. [Google Scholar] [CrossRef]
- Rodrigues, S.; Calhelha, R.C.; Barreira, J.C.M.; Dueñas, M.; Carvalho, A.M.; Abreu, R.M.V.; Santos-Buelga, C.; Ferreira, I.C.F.R. Crataegus monogyna buds and fruits phenolic extracts: Growth inhibitory activity on human tumor cell lines and chemical characterization by HPLC-DAD-ESI/MS. Food Res. Int. 2012, 49, 516–523. [Google Scholar] [CrossRef]
- Babotă, M.; Frumuzachi, O.; Gâvan, A.; Iacoviță, C.; Pinela, J.; Barros, L.; Ferreira, I.C.F.R.; Zhang, L.; Lucini, L.; Rocchetti, G.; et al. Optimized ultrasound-assisted extraction of phenolic compounds from Thymus comosus Heuff. ex Griseb. et Schenk (wild thyme) and their bioactive potential. Ultrason. Sonochem. 2022, 84, 105954. [Google Scholar] [CrossRef] [PubMed]
- Béjaoui, A.; Ben Salem, I.; Rokbeni, N.; M’rabet, Y.; Boussaid, M.; Boulila, A. Bioactive compounds from Hypericum humifusum and Hypericum perfoliatum: Inhibition potential of polyphenols with acetylcholinesterase and key enzymes linked to type-2 diabetes. Pharm. Biol. 2017, 55, 906–911. [Google Scholar] [CrossRef] [PubMed]
- Radulović, N.; Stankov-Jovanović, V.; Stojanović, G.; Šmelcerović, A.; Spiteller, M.; Asakawa, Y. Screening of in vitro antimicrobial and antioxidant activity of nine Hypericum species from the Balkans. Food Chem. 2007, 103, 15–21. [Google Scholar] [CrossRef]
- Saddiqe, Z.; Naeem, I.; Maimoona, A. A review of the antibacterial activity of Hypericum perforatum L. J. Ethnopharmacol. 2010, 131, 511–521. [Google Scholar] [CrossRef]
- Saddiqe, Z.; Naeem, I.; Hellio, C.; Patel, A.V.; Abbas, G. Phytochemical profile, antioxidant and antibacterial activity of four Hypericum species from the UK. S. Afr. J. Bot. 2020, 133, 45–53. [Google Scholar] [CrossRef]
- Granato, D.; Santos, J.S.; Maciel, L.G.; Nunes, D.S. Chemical perspective and criticism on selected analytical methods used to estimate the total content of phenolic compounds in food matrices. TrAC-Trends Anal. Chem. 2016, 80, 266–279. [Google Scholar] [CrossRef]
- Granato, D.; Shahidi, F.; Wrolstad, R.; Kilmartin, P.; Melton, L.D.; Hidalgo, F.J.; Miyashita, K.; van Camp, J.; Alasalvar, C.; Ismail, A.B.; et al. Antioxidant activity, total phenolics and flavonoids contents: Should we ban in vitro screening methods? Food Chem. 2018, 264, 471–475. [Google Scholar] [CrossRef]
- Gitea, D.; Vicas, S.; Gitea, M.A.; Nemeth, S.; Tit, D.M.; Pasca, B.; Purza, L.; Iovan, C. HPLC screening of bioactives compounds and antioxidant capacity of different hypericum species. Rev. Chim. 2018, 69, 305–309. [Google Scholar] [CrossRef]
- Altun, M.L.; Yılmaz, B.S.; Orhan, I.E.; Citoglu, G.S. Assessment of cholinesterase and tyrosinase inhibitory and antioxidant effects of Hypericum perforatum L. (St. John’s wort). Ind. Crops Prod. 2013, 43, 87–92. [Google Scholar] [CrossRef]
- Llorent-Martínez, E.J.; Zengin, G.; Lobine, D.; Molina-García, L.; Mollica, A.; Mahomoodally, M.F. Phytochemical characterization, in vitro and in silico approaches for three Hypericum species. New J. Chem. 2018, 42, 5204–5214. [Google Scholar] [CrossRef]
- Tusevski, O.; Krstikj, M.; Stanoeva, J.P.; Stefova, M.; Gadzovska Simic, S. Phenolic profile and biological activity of Hypericum perforatum L.: Can roots be considered as a new source of natural compounds? S. Afr. J. Bot. 2018, 117, 301–310. [Google Scholar] [CrossRef]
- Ozkan, E.E.; Ozsoy, N.; Ozden, T.Y.; Ozhan, G.; Mat, A. Evaluation of Chemical Composition and In-vitro Biological Activities of Three Endemic Hypericum Species from Anatolia (H. thymbrifolium, H. spectabile and H. pseudolaeve). Iran. J. Pharm. Res. IJPR 2018, 17, 1036–1046. [Google Scholar] [PubMed]
- Doğan, Ş.; Gökalsın, B.; Şenkardeş, İ.; Doğan, A.; Sesal, N.C. Anti-quorum sensing and anti-biofilm activities of Hypericum perforatum extracts against Pseudomonas aeruginosa. J. Ethnopharmacol. 2019, 235, 293–300. [Google Scholar] [CrossRef] [PubMed]
- Aygül, A.; Şerbetçi, T. The antibacterial and antivirulent potential of Hypericum lydium against Staphylococcus aureus: Inhibition of growth, biofilm formation, and hemolytic activity. Eur. J. Integr. Med. 2020, 35, 101061. [Google Scholar] [CrossRef]
- Babotă, M.; Voştinaru, O.; Păltinean, R.; Mihali, C.; Dias, M.I.; Barros, L.; Ferreira, I.C.F.R.; Mocan, A.; Crişan, O.; Nicula, C.; et al. Chemical Composition, Diuretic, and Antityrosinase Activity of Traditionally Used Romanian Cerasorum stipites. Front. Pharmacol. 2021, 12, 634. [Google Scholar] [CrossRef]
- Asghari, B.; Zengin, G.; Bahadori, M.B.; Abbas-Mohammadi, M.; Dinparast, L. Amylase, glucosidase, tyrosinase, and cholinesterases inhibitory, antioxidant effects, and GC-MS analysis of wild mint (Mentha longifolia var. calliantha) essential oil: A natural remedy. Eur. J. Integr. Med. 2018, 22, 44–49. [Google Scholar] [CrossRef]
- Kamoutsis, C.; Fesatidou, M.; Petrou, A.; Geronikaki, A.; Poroikov, V.; Ivanov, M.; Soković, M.; Ćirić, A.; Carazo, A.; Mladěnka, P. Triazolo Based-Thiadiazole Derivatives. Synthesis, Biological Evaluation and Molecular Docking Studies. Antibiotics 2021, 10, 804. [Google Scholar] [CrossRef]
- RStudio: Integrated Development for R. Rstudio Team; PBC: Boston, MA, USA, 2020; Available online: http://www.rstudio.com (accessed on 1 September 2022).


| Assay | HAA | HAM | HPA | HPM | HRA | HRM | Reference/ Control |
|---|---|---|---|---|---|---|---|
| TPC (mg GAE/g) | 187.04 ± 6.64 bB | 159.66 ± 4.34 aB | 147.46 ± 5.09 aA | 140.44 ± 4.51 aA | 141.57 ± 3.63 aA | 134.55 ± 3.63 aA | Gallic acid - |
| TFC (mg RE/g) | 78.08 ± 1.32 aC | 100.17 ± 1.27 bC | 47.01 ± 0.86 bA | 39.42 ± 0.59 aA | 55.36 ± 1.39 aB | 75.95 ± 0.74 bB | Rutin - |
| TEAC (μg TE/g) | 257.83 ± 4.21 aA | 255.48 ± 4.41 aA | 253.93 ± 3.40 aA | 259.04 ± 4.19 aA | 253.70 ± 3.24 aA | 303.29 ± 4.76 bB | Trolox 72.93 ± 0.56 * |
| FRAP (μg TE/g) | 433.47 ± 2.04 aC | 524.93 ± 9.16 bC | 394.71 ± 13.44 bB | 316.96 ± 7.97 aA | 346.30 ± 8.52 aA | 487.26 ± 10.16 bB | Trolox 120.85 ± 0.88 * |
| DPPH (μg TE/g) | 196.75 ± 0.79 aB | 225.05 ± 4.31 bB | 204.84 ± 4.66 aB | 197.78 ± 3.79 aA | 187.19 ± 1.29 aA | 255.76 ± 4.69 bC | Trolox 58.85 ± 0.48 * |
| TBARS (μg/mL) | 3.05 ± 0.01 aA | 4.44 ± 0.04 bA | 9.71 ± 0.09 aC | 10.35 ± 0.03 bC | 6.36 ± 0.03 aB | 8.79 ± 0.01 bB | Trolox 11.85 ± 0.03 * |
| OxHLIA (μg/mL) | 21.40 ± 0.52 bB* | 19.30 ± 0.70 aB | 8.57 ± 0.36 aA | 8.46 ± 0.29 aA | 7.77 ± 0.20 aA | 8.57 ± 0.37 bA | Trolox 21.72 ± 0.65 * |
| Enzyme | IC50 (μg/mL) | Positive Control | |||||
|---|---|---|---|---|---|---|---|
| HAA | HAM | HPA | HPM | HRA | HRM | ||
| α-Glucosidase (μg/mL) | 27.07 ± 0.82 bA | 17.35 ± 4.29 aA | 22.29 ± 4.62 aA | 24.88 ± 2.82 aA | 27.27 ± 4.12 aA | 22.29 ± 4.62 aA | Acarbose 51.63 ± 2.40 * |
| Tyrosinase (μg/mL) | NA | NA | 1664.49 ± 133.45 | NA | NA | NA | Kojic acid 9.66 ± 1.70 * |
| Acetylcholin-esterase (μg/mL) | 46.18 ± 9.60 bB | 28.66 ± 5.68 aA | 20.29 ± 0.99 aA | 19.63 ± 4.07 aA | 28.16 ± 1.52 aA | 29.05 ± 3.86 aA | Galantamine 0.12 ± 0.001 * |
| Sample | MIC/ MBC | Staphylococcus aureus | Bacillus cereus | Listeria monocytogenes | Escherichia coli | Salmonella Typhimurium | Enterobacter cloacae |
|---|---|---|---|---|---|---|---|
| HAA | MIC | 1 | 1 | 1 | 1 | 1 | 2 |
| MBC | 2 | 2 | 2 | 2 | 2 | 4 | |
| HAM | MIC | >8 | >8 | >8 | >8 | >8 | >8 |
| MBC | >8 | >8 | >8 | >8 | >8 | >8 | |
| HPA | MIC | 0.50 | 0.50 | 0.25 | 0.25 | 0.25 | 0.50 |
| MBC | 1 | 1 | 0.50 | 0.50 | 0.50 | 1 | |
| HPM | MIC | 0.25 | 1 | 1 | 0.50 | 0.50 | 1 |
| MBC | 0.50 | 2 | 2 | 1 | 1 | 2 | |
| HRA | MIC | 0.50 | 0.50 | 0.50 | 0.25 | 1 | 1 |
| MBC | 1 | 1 | 1 | 0.5 | 2 | 2 | |
| HRM | MIC | 0.25 | 1 | 1 | 1 | 0.50 | 1 |
| MBC | 0.50 | 2 | 2 | 2 | 1 | 2 | |
| Streptomycin | MIC | 0.10 | 0.025 | 0.015 | 1.0 | 0.10 | 0.025 |
| MBC | 0.20 | 0.05 | 0.30 | 2 | 0.20 | 0.05 | |
| Ampicillin | MIC | 0.10 | 0.10 | 0.15 | 0.5 | 0.15 | 0.10 |
| MBC | 0.15 | 0.15 | 0.30 | 1 | 0.20 | 0.15 |
| Sample | MIC/ MFC | Aspergillus fumigatus | Aspergillus niger | Aspergillus versicolor | Penicillium funiculosum | Penicillium verrucosum var. cyclopium | Trichoderma viride |
|---|---|---|---|---|---|---|---|
| HAA | MIC | 8 | 4 | 4 | 4 | >8 | 2 |
| MFC | >8 | 8 | 8 | 8 | >8 | 4 | |
| HAM | MIC | 4 | 4 | 4 | >8 | 4 | >8 |
| MFC | 8 | 8 | 8 | >8 | 8 | >8 | |
| HRA | MIC | 4 | 2 | 4 | 4 | 8 | 2 |
| MFC | 8 | 4 | 8 | 8 | >8 | 4 | |
| HRM | MIC | 4 | 8 | 4 | >8 | 4 | 4 |
| MFC | 8 | >8 | 8 | >8 | 8 | 8 | |
| HPA | MIC | 2 | 1 | 1 | 4 | 2 | 4 |
| MFC | 4 | 2 | 2 | 8 | 4 | 8 | |
| HPM | MIC | 4 | 4 | 4 | >8 | >8 | 4 |
| MFC | 8 | 8 | 8 | >8 | >8 | 8 | |
| Ketoconazole | MIC | 0.15 | 0.15 | 0.10 | 0.2 | 0.10 | 0.10 |
| MFC | 0.20 | 0.20 | 0.20 | 0.25 | 0.20 | 0.20 | |
| Bifonazole | MIC | 0.20 | 0.20 | 0.20 | 0.20 | 0.20 | 1 |
| MFC | 0.5 | 0.5 | 0.5 | 0.5 | 0.3 | 1.5 |
Publisher’s Note: MDPI stays neutral with regard to jurisdictional claims in published maps and institutional affiliations. |
© 2022 by the authors. Licensee MDPI, Basel, Switzerland. This article is an open access article distributed under the terms and conditions of the Creative Commons Attribution (CC BY) license (https://creativecommons.org/licenses/by/4.0/).
Share and Cite
Babotă, M.; Frumuzachi, O.; Mocan, A.; Tămaș, M.; Dias, M.I.; Pinela, J.; Stojković, D.; Soković, M.; Bădărău, A.S.; Crișan, G.; et al. Unravelling Phytochemical and Bioactive Potential of Three Hypericum Species from Romanian Spontaneous Flora: H. alpigenum, H. perforatum and H. rochelii. Plants 2022, 11, 2773. https://doi.org/10.3390/plants11202773
Babotă M, Frumuzachi O, Mocan A, Tămaș M, Dias MI, Pinela J, Stojković D, Soković M, Bădărău AS, Crișan G, et al. Unravelling Phytochemical and Bioactive Potential of Three Hypericum Species from Romanian Spontaneous Flora: H. alpigenum, H. perforatum and H. rochelii. Plants. 2022; 11(20):2773. https://doi.org/10.3390/plants11202773
Chicago/Turabian StyleBabotă, Mihai, Oleg Frumuzachi, Andrei Mocan, Mircea Tămaș, Maria Inês Dias, José Pinela, Dejan Stojković, Marina Soković, Alexandru Sabin Bădărău, Gianina Crișan, and et al. 2022. "Unravelling Phytochemical and Bioactive Potential of Three Hypericum Species from Romanian Spontaneous Flora: H. alpigenum, H. perforatum and H. rochelii" Plants 11, no. 20: 2773. https://doi.org/10.3390/plants11202773
APA StyleBabotă, M., Frumuzachi, O., Mocan, A., Tămaș, M., Dias, M. I., Pinela, J., Stojković, D., Soković, M., Bădărău, A. S., Crișan, G., Barros, L., & Păltinean, R. (2022). Unravelling Phytochemical and Bioactive Potential of Three Hypericum Species from Romanian Spontaneous Flora: H. alpigenum, H. perforatum and H. rochelii. Plants, 11(20), 2773. https://doi.org/10.3390/plants11202773

