Salt Tolerant Bacillus Strains Improve Plant Growth Traits and Regulation of Phytohormones in Wheat under Salinity Stress
Abstract
1. Introduction
2. Results
2.1. Bacterial Growth and Biofilm Potential under Various Salt Concentrations
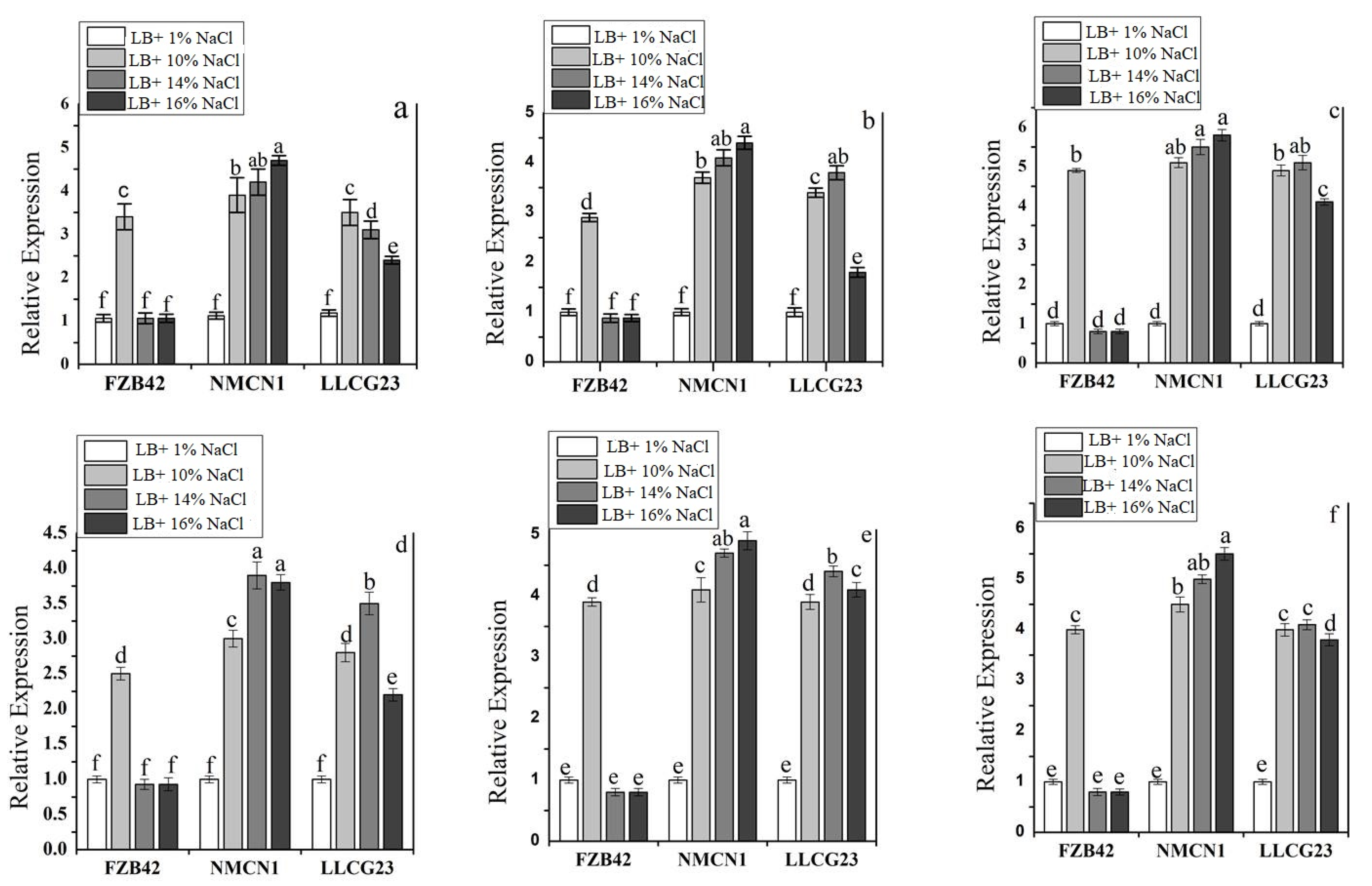
2.2. Relative Expression Profiling of Predicted Genes through qPCR
2.3. ROS Regulation Potential of Bacillus Strains under Salt Conditions
2.4. Seedling Growth and Root Morphological Parameters
2.5. Plant Stress Response Parameters Quantification and Expression Analysis
2.6. Bacillus Strains Enhance Plant Growth under Saline Conditions
2.7. ROS Reduction in Wheat Roots by Bacillus Strains under Salt Conditions
2.8. Regulation of Photosynthesis in Wheat by BACILLUS Strains
2.9. Expression Analysis of Growth and Salt Related Genes in Wheat
3. Discussion
4. Materials and Methods
4.1. Growth and Biofilm Formation of Bacillus Strains
4.2. Genetic Analysis of Bacillus Strains and Expression of Predicted Salt Related Genes
4.3. ROS Detection in the Selected Strains Grown under Saline Conditions
4.4. Determination of Salt Stress Effects on Vigour Index of Wheat Seedlings
4.5. Measuring Effects of Salt Stress on Seedling Roots
4.6. Salt Stress Alleviation and Plant Growth Promotion by Bacillus Strains
4.7. Rhizoscanning of Wheat Plant Roots for Morphological Traits
4.8. Determination of Photosynthetic Potential of Plants under Salt Conditions
4.9. Quantification of Plant Stress Response Parameters and Their Expression Profiling
4.9.1. Abscisic Acid (ABA) Determination
4.9.2. Quantification of Proline in Wheat Plants under Salt Stress
4.9.3. Estimation of MDA Level (Lipid Peroxidation) in Salt-Treated Wheat Plants
4.9.4. Expression Analysis of Growth and Salt Stress Related Genes in Wheat Plant
4.10. Statistical Analysis
5. Conclusions
Supplementary Materials
Author Contributions
Funding
Institutional Review Board Statement
Informed Consent Statement
Data Availability Statement
Conflicts of Interest
References
- Sharma, D.; Singh, R.; Tiwari, R.; Kumar, R.; Gupta, V.K. Wheat Responses and Tolerance to Terminal Heat Stress: A Review; Springer: Berlin/Heidelberg, Germany, 2019; ISBN 9789811368820. [Google Scholar]
- Rahaie, M.; Xue, G.-P.; Schenk, P.M. The Role of Transcription Factors in Wheat under Different Abiotic Stresses. Abiotic Stress. Responses Appl. Agric. 2013, 367–385. [Google Scholar] [CrossRef][Green Version]
- Mahalingam, R. Consideration of Combined Stress: A Crucial Paradigm for Improving Multiple Stress Tolerance in Plants. In Combined Stresses in Plants; Springer: Berlin/Heidelberg, Germany, 2015; pp. 1–25. [Google Scholar]
- Genc, Y.; Taylor, J.; Lyons, G.H.; Li, Y.; Cheong, J.; Appelbee, M.; Oldach, K.; Sutton, T. Bread Wheat with High Salinity and Sodicity Tolerance. Front. Plant Sci. 2019, 10, 1280. [Google Scholar] [CrossRef]
- Martinez-Beltran, J.; Manzur, C.L. Overview of salinity problems in the world and FAO strategies to address the problem. In Proceedings of the 3rd International Salinity Forum, Riverside, CA, USA, 25–27 April 2005; pp. 311–313. [Google Scholar]
- Yasin, N.A.; Akram, W.; Khan, W.U.; Ahmad, S.R.; Ahmad, A.; Ali, A. Halotolerant Plant-Growth Promoting Rhizobacteria Modulate Gene Expression and Osmolyte Production to Improve Salinity Tolerance and Growth in Capsicum annum L. Environ. Sci. Pollut. Res. 2018, 25, 23236–23250. [Google Scholar] [CrossRef]
- Jacoby, R.P.; Che-Othman, M.H.; Millar, A.H.; Taylor, N.L. Analysis of the Sodium Chloride-Dependent Respiratory Kinetics of Wheat Mitochondria Reveals Differential Effects on Phosphorylating and Non-Phosphorylating Electron Transport Pathways. Plant Cell Environ. 2016, 39, 823–833. [Google Scholar] [CrossRef]
- Quintela, V.; Walter, S.; Serra, F.; Ynglety, M.; Pereira, C.; Ricardo, B.; Maria, E.; Guedes, S.; Mohammed, L.; Alyemeni, N.; et al. Pretreatment with 24-Epibrassinolide Synergistically Protects Root Structures and Chloroplastic Pigments and Upregulates Antioxidant Enzymes and Biomass in Na+-Stressed Tomato Plants. J. Plant Growth Regul. 2022, 41, 2869–2885. [Google Scholar] [CrossRef]
- Srivastava, S.S.; Bist, V.; Srivastava, S.S.; Singh, P.C.; Trivedi, P.K.; Asif, M.H.; Chauhan, P.S.; Nautiyal, C.S. Unraveling Aspects of Bacillus amyloliquefaciens Mediated Enhanced Production of Rice under Biotic Stress of Rhizoctonia Solani. Front. Plant Sci. 2016, 7, 587. [Google Scholar] [CrossRef]
- Bharti, N.; Barnawal, D.; Awasthi, A.; Yadav, A.; Kalra, A. Plant Growth Promoting Rhizobacteria Alleviate Salinity Induced Negative Effects on Growth, Oil Content and Physiological Status in Mentha Arvensis. Acta Physiol. Plant. 2014, 36, 45–60. [Google Scholar] [CrossRef]
- Dresselhaus, T.; Hückelhoven, R. Biotic and Abiotic Stress Responses in Crop Plants. Agronomy 2018, 8, 267. [Google Scholar] [CrossRef]
- Ayaz, M.; Ali, Q.; Farzand, A.; Khan, A.R.; Ling, H.; Gao, X. Nematicidal Volatiles from Bacillus atrophaeus GBSC56 Promote Growth and Stimulate Induced Systemic Resistance in Tomato against Meloidogyne Incognita. Int. J. Mol. Sci. 2021, 22, 5049. [Google Scholar] [CrossRef]
- Hadi, F.; Ayaz, M.; Ali, S.; Shafiq, M.; Ullah, R. Comparative Effect of Polyethylene Glycol and Mannitol Induced Drought on Growth (in Vitro) of Canola (Brassica napus), Cauliflower (Brassica oleracea) and Tomato (Lycopersicon esculentum) Seedlings. Int. J. Biosci. 2014, 6655, 34–41. [Google Scholar] [CrossRef]
- Grover, M.; Ali, S.Z.; Sandhya, V.; Rasul, A.; Venkateswarlu, B. Role of Microorganisms in Adaptation of Agriculture Crops to Abiotic Stresses. World J. Microbiol. Biotechnol. 2011, 27, 1231–1240. [Google Scholar] [CrossRef]
- Ansari, F.A.; Ahmad, I.; Pichtel, J. Growth Stimulation and Alleviation of Salinity Stress to Wheat by the Biofilm Forming Bacillus pumilus Strain FAB10. Appl. Soil Ecol. 2019, 143, 45–54. [Google Scholar] [CrossRef]
- Smith, D.L.; Gravel, V.; Yergeau, E. Editorial: Signaling in the Phytomicrobiome. Front. Plant Sci. 2017, 8, 8–10. [Google Scholar] [CrossRef]
- Ali, Q.; Ayaz, M.; Mu, G.; Hussain, A.; Yuanyuan, Q.; Yu, C.; Xu, Y.; Manghwar, H.; Gu, Q.; Wu, H.; et al. Revealing Plant Growth-Promoting Mechanisms of Bacillus strains in Elevating Rice Growth and Its Interaction with Salt Stress. Front. Plant Sci. 2022, 13, 1–17. [Google Scholar] [CrossRef]
- Khan, M.A.; Asaf, S.; Khan, A.L.; Adhikari, A.; Jan, R.; Ali, S.; Imran, M.; Kim, K.M.; Lee, I.J. Halotolerant Rhizobacterial Strains Mitigate the Adverse Effects of NaCl Stress in Soybean Seedlings. Biomed Res. Int. 2019, 2019, 9530963. [Google Scholar] [CrossRef]
- Wu, L.; Wu, H.-J.; Qiao, J.; Gao, X.; Borriss, R. Novel Routes for Improving Biocontrol Activity of Bacillus Based Bioinoculants. Front. Microbiol. 2015, 6, 1395. [Google Scholar] [CrossRef]
- Zubair, M.; Hanif, A.; Farzand, A.; Sheikh, T.M.M.; Khan, A.R.; Suleman, M.; Ayaz, M.; Gao, X. Genetic Screening and Expression Analysis of Psychrophilic Bacillus Spp. Reveal Their Potential to Alleviate Cold Stress and Modulate Phytohormones in Wheat. Microorganisms 2019, 7, 373. [Google Scholar] [CrossRef]
- Borriss, R.; Chen, X.-H.H.; Rueckert, C.; Blom, J.; Becker, A.; Baumgarth, B.; Fan, B.; Pukall, R.; Schumann, P.; Spröer, C.; et al. Relationship of Bacillus amyloliquefaciens Clades Associated with Strains DSM 7T and FZB42T: A Proposal for Bacillus amyloliquefaciens Subsp. Amyloliquefaciens Subsp. Nov. and Bacillus amyloliquefaciens Subsp. Plantarum Subsp. Nov. Based on Complete Genom. Int. J. Syst. Evol. Microbiol. 2011, 61, 1786–1801. [Google Scholar] [CrossRef]
- Nicholson, W.L. Roles of Bacillus Endospores in the Environment. Cell. Mol. Life Sci. C. 2002, 59, 410–416. [Google Scholar] [CrossRef]
- Ali, Q.; Ayaz, M.; Yu, C.; Wang, Y.; Gu, Q.; Wu, H.; Gao, X. Cadmium Tolerant Microbial Strains Possess Different Mechanisms for Cadmium Biosorption and Immobilization in Rice Seedlings Chemosphere Cadmium Tolerant Microbial Strains Possess Different Mechanisms for Cadmium Biosorption and Immobilization in Rice Seedlings. Chemosphere 2022, 303, 135206. [Google Scholar] [CrossRef]
- Das, P.; Behera, B.K.; Meena, D.K.; Azmi, S.A.; Chatterjee, S.; Meena, K.; Sharma, A.P. Priyanka Das Salt Stress Tolerant Genes in Halophilic and Halotolerant Bacteria: Salt Stress Adaptation and Osmoprotection. Int. J. Curr. Microbiol. Appl. Sci. 2015, 4, 642–658. [Google Scholar]
- Ranea, J.A.G.; Buchan, D.W.A.; Thornton, J.M.; Orengo, C.A. Evolution of Protein Superfamilies and Bacterial Genome Size. J. Mol. Biol. 2004, 336, 871–887. [Google Scholar] [CrossRef] [PubMed]
- Hoffmann, T.; Boiangiu, C.; Moses, S.; Bremer, E. Responses of Bacillus subtilis to Hypotonic Challenges: Physiological Contributions of Mechanosensitive Channels to Cellular Survival. Appl. Environ. Microbiol. 2008, 74, 2454–2460. [Google Scholar] [CrossRef]
- Wood, J.M. Bacterial Osmoregulation: A Paradigm for the Study of Cellular Homeostasis. Annu. Rev. Microbiol. 2011, 65, 215–238. [Google Scholar] [CrossRef] [PubMed]
- Cui, P.; Liu, H.; Islam, F.; Li, L.; Farooq, M.A.; Ruan, S.; Zhou, W. OsPEX11, a Peroxisomal Biogenesis Factor 11, Contributes to Salt Stress Tolerance in Oryza Sativa. Front. Plant Sci. 2016, 7, 1357. [Google Scholar] [CrossRef]
- Yan, F.; Yu, Y.; Gozzi, K.; Chen, Y.; Guo, J.; Chai, Y. Genome-Wide Investigation of Biofilm Formation in Bacillus cereus. Appl. Environ. Microbiol. 2017, 83, e00561-17. [Google Scholar] [CrossRef]
- Kumar, P.P. Regulation of Biotic and Abiotic Stress Responses by Plant Hormones. Plant Cell Rep. 2013, 32, 943. [Google Scholar] [CrossRef][Green Version]
- Cutler, S.R.; Rodriguez, P.L.; Finkelstein, R.R.; Abrams, S.R. Abscisic Acid: Emergence of a Core Signaling Network. Annu. Rev. Plant Biol. 2010, 61, 651–679. [Google Scholar] [CrossRef]
- Bharti, N.; Pandey, S.S.; Barnawal, D.; Patel, V.K.; Kalra, A. Plant Growth Promoting Rhizobacteria Dietzia natronolimnaea Modulates the Expression of Stress Responsive Genes Providing Protection of Wheat from Salinity Stress. Sci. Rep. 2016, 6, 34768. [Google Scholar] [CrossRef]
- Gill, S.S.; Tuteja, N. Reactive Oxygen Species and Antioxidant Machinery in Abiotic Stress Tolerance in Crop Plants. Plant Physiol. Biochem. 2010, 48, 909–930. [Google Scholar] [CrossRef]
- Tavakoli, M.; Poustini, K.; Alizadeh, H. Proline Accumulation and Related Genes in Wheat Leaves under Salinity Stress. J. Agric. Sci. Technol. 2016, 18, 707–716. [Google Scholar]
- Ayaz, M.; Ahmad, R.; Shahzad, M.; Khan, N.; Shah, M.M.; Khan, S.A. Drought Stress Stunt Tomato Plant Growth and Up-Regulate Expression of SlAREB, SlNCED3, and SlERF024 Genes. Sci. Hortic. 2015, 195, 48–55. [Google Scholar] [CrossRef]
- Shahzad, R.; Waqas, M.; Khan, A.L.; Asaf, S.; Khan, M.A.; Kang, S.M.; Yun, B.W.; Lee, I.J. Seed-Borne Endophytic Bacillus Amyloliquefaciens RWL-1 Produces Gibberellins and Regulates Endogenous Phytohormones of Oryza Sativa. Plant Physiol. Biochem. 2016, 106, 236–243. [Google Scholar] [CrossRef] [PubMed]
- Glick, B.R.; Cheng, Z.; Czarny, J.; Duan, J. Promotion of Plant Growth by ACC Deaminase-Producing Soil Bacteria. Eur. J. Plant Pathol. 2007, 119, 329–339. [Google Scholar] [CrossRef]
- Naz, I.; Bano, A. Tamoor-Ul-Hassan Isolation of Phytohormones Producing Plant Growth Promoting Rhizobacteria from Weeds Growing in Khewra Salt Range, Pakistan and Their Implication in Providing Salt Tolerance to Glycine Max L. African J. Biotechnol. 2009, 8, 5762–5768. [Google Scholar] [CrossRef]
- Peck, S.; Mittler, R. Plant Signaling in Biotic and Abiotic Stress. J. Exp. Bot. 2020, 71, 1649–1651. [Google Scholar] [CrossRef]
- Mahajan, S.; Tuteja, N. Cold, Salinity and Drought Stresses: An Overview. Arch. Biochem. Biophys. 2005, 444, 139–158. [Google Scholar] [CrossRef]
- Palaniyandi, S.A.; Damodharan, K.; Yang, S.H.; Suh, J.W. Streptomyces Sp. Strain PGPA39 Alleviates Salt Stress and Promotes Growth of “Micro Tom” Tomato Plants. J. Appl. Microbiol. 2014, 117, 766–773. [Google Scholar] [CrossRef]
- Hontzeas, N.; Richardson, A.O.; Belimov, A.; Safronova, V.; Abu-Omar, M.M.; Click, B.R. Evidence for Horizontal Transfer of 1-Aminocyclopropane-1-Carboxylate Deaminase Genes. Appl. Environ. Microbiol. 2005, 71, 7556–7558. [Google Scholar] [CrossRef]
- Gagne-Bourque, F.; Mayer, B.F.; Charron, J.-B.; Vali, H.; Bertrand, A.; Jabaji, S. Accelerated Growth Rate and Increased Drought Stress Resilience of the Model Grass Brachypodium Distachyon Colonized by Bacillus subtilis B26. PLoS ONE 2015, 10, e0130456. [Google Scholar] [CrossRef]
- Kempf, B.; Bremer, E. OpuA, an Osmotically Regulated Binding Protein-Dependent Transport System for the Osmoprotectant Glycine Betaine in Bacillus subtilis. J. Biol. Chem. 1995, 270, 16701–16713. [Google Scholar] [CrossRef] [PubMed]
- Dogsa, I.; Choudhary, K.S.; Marsetic, Z.; Hudaiberdiev, S.; Vera, R.; Pongor, S.; Mandic-Mulec, I. ComQXPA Quorum Sensing Systems May Not Be Unique to Bacillus subtilis: A Census in Prokaryotic Genomes. PLoS ONE 2014, 9, e96122. [Google Scholar] [CrossRef] [PubMed]
- Helmann, J.D.; Wu, M.F.W.; Gaballa, A.; Kobel, P.A.; Morshedi, M.M.; Fawcett, P.; Paddon, C. The Global Transcriptional Response of Bacillus subtilis to Peroxide Stress Is Coordinated by Three Transcription Factors. J. Bacteriol. 2003, 185, 243–253. [Google Scholar] [CrossRef] [PubMed]
- Ramu, V.S.; Paramanantham, A.; Ramegowda, V.; Mohan-Raju, B.; Udayakumar, M.; Senthil-Kumar, M. Transcriptome Analysis of Sunflower Genotypes with Contrasting Oxidative Stress Tolerance Reveals Individual-and Combined-Biotic and Abiotic Stress Tolerance Mechanisms. PLoS ONE 2016, 11, e0157522. [Google Scholar] [CrossRef]
- Flemming, H.-C.; Wingender, J. The Biofilm Matrix. Nat. Rev. Microbiol. 2010, 8, 623–633. [Google Scholar] [CrossRef]
- Feldman, M.; Ginsburg, I.; Al-Quntar, A.; Steinberg, D. Thiazolidinedione-8 Alters Symbiotic Relationship in C. Albicans-S. Mutans Dual Species Biofilm. Front. Microbiol. 2016, 7, 140. [Google Scholar] [CrossRef]
- Silva, B.R.S.; Batista, B.L.; Lobato, A.K.S. Anatomical Changes in Stem and Root of Soybean Plants Submitted to Salt Stress. Plant Biol. 2021, 23, 57–65. [Google Scholar] [CrossRef]
- Jain, D.; Chattopadhyay, D. Analysis of Gene Expression in Response to Water Deficit of Chickpea (Cicer arietinum L.) Varieties Differing in Drought Tolerance. BMC Plant Biol. 2010, 10, 24. [Google Scholar] [CrossRef]
- Song, S.-Y.; Chen, Y.; Chen, J.; Dai, X.-Y.; Zhang, W.-H. Physiological Mechanisms Underlying OsNAC5-Dependent Tolerance of Rice Plants to Abiotic Stress. Planta 2011, 234, 331–345. [Google Scholar] [CrossRef]
- Weber, H.; Chételat, A.; Reymond, P.; Farmer, E.E. Selective and Powerful Stress Gene Expression in Arabidopsis in Response to Malondialdehyde. Plant J. 2004, 37, 877–888. [Google Scholar] [CrossRef]
- Tahir, H.A.S.S.; Gu, Q.; Wu, H.; Raza, W.; Hanif, A.; Wu, L.; Colman, M.V.; Gao, X. Plant Growth Promotion by Volatile Organic Compounds Produced by Bacillus subtilis SYST2. Front. Microbiol. 2017, 8, 171. [Google Scholar] [CrossRef] [PubMed]
- Adesemoye, A.O.; Torbert, H.A.; Kloepper, J.W. Enhanced Plant Nutrient Use Efficiency with PGPR and AMF in an Integrated Nutrient Management System. Can. J. Microbiol. 2008, 54, 876–886. [Google Scholar] [CrossRef] [PubMed]
- Etesami, H.; Maheshwari, D.K. Use of Plant Growth Promoting Rhizobacteria (PGPRs) with Multiple Plant Growth Promoting Traits in Stress Agriculture: Action Mechanisms and Future Prospects. Ecotoxicol. Environ. Saf. 2018, 156, 225–246. [Google Scholar] [CrossRef] [PubMed]
- Arshad, M.; Shaharoona, B.; Mahmood, T. Inoculation with Pseudomonas Spp. Containing ACC-Deaminase Partially Eliminates the Effects of Drought Stress on Growth, Yield, and Ripening of Pea (Pisum sativum L.). Pedosphere 2008, 18, 611–620. [Google Scholar] [CrossRef]
- Rasul, M.; Yasmin, S.; Zubair, M.; Mahreen, N.; Yousaf, S.; Arif, M.; Sajid, Z.I.; Mirza, M.S. Phosphate Solubilizers as Antagonists for Bacterial Leaf Blight with Improved Rice Growth in Phosphorus Deficit Soil. Biol. Control 2019, 136, 103997. [Google Scholar] [CrossRef]
- Suleman, M.; Yasmin, S.; Rasul, M.; Yahya, M.; Atta, B.M.; Mirza, M.S. Phosphate Solubilizing Bacteria with Glucose Dehydrogenase Gene for Phosphorus Uptake and Beneficial Effects on Wheat. PLoS ONE 2018, 13, e0204408. [Google Scholar] [CrossRef] [PubMed]
- Linić, I.; Šamec, D.; Grúz, J.; Vujčić Bok, V.; Strnad, M.; Salopek-Sondi, B. Involvement of Phenolic Acids in Short-Term Adaptation to Salinity Stress Is Species-Specific among Brassicaceae. Plants 2019, 8, 155. [Google Scholar] [CrossRef]
- Hayat, R.; Ali, S.; Amara, U.; Khalid, R.; Ahmed, I. Soil Beneficial Bacteria and Their Role in Plant Growth Promotion: A Review. Ann. Microbiol. 2010, 60, 579–598. [Google Scholar] [CrossRef]
- Velho, R.V.; Caldas, D.G.G.; Medina, L.F.C.; Tsai, S.M.; Brandelli, A. Real-Time PCR Investigation on the Expression of SboA and ItuD Genes in Bacillus spp. Lett. Appl. Microbiol. 2011, 52, 660–666. [Google Scholar] [CrossRef]
- Livak, K.J.; Schmittgen, T.D. Analysis of Relative Gene Expression Data Using Real-Time Quantitative PCR and the 2−ΔΔCT Method. Methods 2001, 25, 402–408. [Google Scholar] [CrossRef]
- Kim, T.Y.; Jang, J.Y.; Jeon, S.J.; Lee, H.W.; Bae, C.H.; Yeo, J.H.; Lee, H.B.; Kim, I.S.; Park, H.W.; Kim, J.C. Nematicidal Activity of Kojic Acid Produced by Aspergillus oryzae against Meloidogyne incognita. J. Microbiol. Biotechnol. 2016, 26, 1383–1391. [Google Scholar] [CrossRef] [PubMed]
- Massawe, V.C.; Hanif, A.; Farzand, A.; Mburu, D.K.; Ochola, S.O.; Wu, L.; Tahir, H.A.S.; Gu, Q.; Wu, H.; Gao, X. Volatile Compounds of Endophytic Bacillus Spp. Have Biocontrol Activity against Sclerotinia Sclerotiorum. Phytopathology 2018, 108, 1373–1385. [Google Scholar] [CrossRef] [PubMed]
- Pavlović, I.; Petřík, I.; Tarkowská, D.; Lepeduš, H.; Vujčić Bok, V.; Radić Brkanac, S.; Novák, O.; Salopek-Sondi, B. Correlations between Phytohormones and Drought Tolerance in Selected Brassica Crops: Chinese Cabbage, White Cabbage and Kale. Int. J. Mol. Sci. 2018, 19, 2866. [Google Scholar] [CrossRef]
- Sithtisarn, S.; Harinasut, P.; Pornbunlualap, S.; Cha-Um, S.; Carillo, P.; Gibon, Y. PROTOCOL: Extraction and Determination of Glycine Betaine Initiating Author Name. Kasetsart J. Nat. Sci. 2009, 43, 146–152. [Google Scholar]
- Mustafiz, A.; Sahoo, K.K.; Singla-Pareek, S.L.; Sopory, S.K. Metabolic Engineering of Glyoxalase Pathway for Enhancing Stress Tolerance in Plants. In Plant Stress Tolerence; Springer: Berlin/Heidelberg, Germany, 2010; Volume 639, ISBN 9781607617013. [Google Scholar]
- Rio, D.C.; Ares, M.; Hannon, G.J.; Nilsen, T.W. Purification of RNA Using TRIzol (TRI Reagent). Cold Spring Harb. Protoc. 2010, 5, pdb.prot5439. [Google Scholar] [CrossRef] [PubMed]
- Saddique, M.A.B.; Ali, Z.; Sher, M.A.; Farid, B.; Ikram, R.M.; Ahmad, M.S. Proline, Total Antioxidant Capacity, and OsP5CS Gene Activity in Radical and Plumule of Rice Are Efficient Drought Tolerance Indicator Traits. Int. J. Agron. 2020, 2020, 8862792. [Google Scholar] [CrossRef]











| Publisher’s Note: MDPI stays neutral with regard to jurisdictional claims in published maps and institutional affiliations. | 
© 2022 by the authors. Licensee MDPI, Basel, Switzerland. This article is an open access article distributed under the terms and conditions of the Creative Commons Attribution (CC BY) license (https://creativecommons.org/licenses/by/4.0/).
Share and Cite
Ayaz, M.; Ali, Q.; Jiang, Q.; Wang, R.; Wang, Z.; Mu, G.; Khan, S.A.; Khan, A.R.; Manghwar, H.; Wu, H.; et al. Salt Tolerant Bacillus Strains Improve Plant Growth Traits and Regulation of Phytohormones in Wheat under Salinity Stress. Plants 2022, 11, 2769. https://doi.org/10.3390/plants11202769
Ayaz M, Ali Q, Jiang Q, Wang R, Wang Z, Mu G, Khan SA, Khan AR, Manghwar H, Wu H, et al. Salt Tolerant Bacillus Strains Improve Plant Growth Traits and Regulation of Phytohormones in Wheat under Salinity Stress. Plants. 2022; 11(20):2769. https://doi.org/10.3390/plants11202769
Chicago/Turabian StyleAyaz, Muhammad, Qurban Ali, Qifan Jiang, Ruoyi Wang, Zhengqi Wang, Guangyuan Mu, Sabaz Ali Khan, Abdur Rashid Khan, Hakim Manghwar, Huijun Wu, and et al. 2022. "Salt Tolerant Bacillus Strains Improve Plant Growth Traits and Regulation of Phytohormones in Wheat under Salinity Stress" Plants 11, no. 20: 2769. https://doi.org/10.3390/plants11202769
APA StyleAyaz, M., Ali, Q., Jiang, Q., Wang, R., Wang, Z., Mu, G., Khan, S. A., Khan, A. R., Manghwar, H., Wu, H., Gao, X., & Gu, Q. (2022). Salt Tolerant Bacillus Strains Improve Plant Growth Traits and Regulation of Phytohormones in Wheat under Salinity Stress. Plants, 11(20), 2769. https://doi.org/10.3390/plants11202769
 
        



