Abstract
Diabetes is a common metabolic disorder marked by unusually high plasma glucose levels, which can lead to serious consequences such as retinopathy, diabetic neuropathy and cardiovascular disease. One of the most efficient ways to reduce postprandial hyperglycemia (PPHG) in diabetes mellitus, especially insulin-independent diabetes mellitus, is to lower the amount of glucose that is absorbed by inhibiting carbohydrate hydrolyzing enzymes in the digestive system, such as α-glucosidase and α-amylase. α-Glucosidase is a crucial enzyme that catalyzes the final stage of carbohydrate digestion. As a result, α-glucosidase inhibitors can slow D-glucose release from complex carbohydrates and delay glucose absorption, resulting in lower postprandial plasma glucose levels and control of PPHG. Many attempts have been made in recent years to uncover efficient α-glucosidase inhibitors from natural sources to build a physiologic functional diet or lead compound for diabetes treatment. Many phytoconstituent α-glucosidase inhibitors have been identified from plants, including alkaloids, flavonoids, anthocyanins, terpenoids, phenolic compounds, glycosides and others. The current review focuses on the most recent updates on different traditional/medicinal plant extracts and isolated compounds’ biological activity that can help in the development of potent therapeutic medications with greater efficacy and safety for the treatment of type 2 diabetes or to avoid PPHG. For this purpose, we provide a summary of the latest scientific literature findings on plant extracts as well as plant-derived bioactive compounds as potential α-glucosidase inhibitors with hypoglycemic effects. Moreover, the review elucidates structural insights of the key drug target, α-glucosidase enzymes, and its interaction with different inhibitors.
1. Introduction
Diabetes mellitus is a metabolic condition defined by chronically high blood sugar levels [1]. The International Diabetes Federation Diabetes Atlas estimates that it affected 537 million people globally in 2021, and that number is expected to rise to 643 million by 2030 [2]. Diabetes mellitus was the ninth major cause of mortality in a worldwide study conducted by the World Health Organization (WHO) (2019), and it is projected to be the seventh leading cause of death by 2030. According to the International Diabetes Federation (IDF), 6.05 million individuals in Korea suffer from diabetes mellitus as of 2020 [3]. The insulin hormone is generated by pancreatic β-cells and plays a key role in regulating blood glucose levels. It is required for several cellular activities such as glucose absorption and transport, glycogen synthesis, protein synthesis and fatty acid synthesis. Inadequate insulin production or insulin resistance hinders proper glucose homeostasis, resulting in hyperglycemia [4]. Chronic hyperglycemia can have major long-term consequences such as cardiovascular disease nerve damage and renal failure [5]. Depending on the mechanism of its manifestation, diabetes mellitus can be categorized into three types; type 1 diabetes mellitus (T1DM), type 2 diabetes mellitus (T2DM) and gestational diabetes. T1DM affects roughly 5–10% of all diabetes patients and is characterized by the death of pancreatic insulin-producing β-cells destroyed by the immune system, resulting in an extreme shortage of insulin, hyperglycemia, inflammation, oxidative damages and other metabolic problems [6,7]. T2DM affects over 90% of diabetes people worldwide and is expected to reach 592 million by 2035 [8]. T2DM is characterized by insulin resistance resulting from insulin receptor insensitivity, persistent hyperglycemia, dyslipidemia and low-level inflammation (Scheme 1) [8,9]. Gestational diabetes occurs only during pregnancy in women and results in unfavorable clinical conditions in both the mother and her kids [10]. Hyperglycemia is the most serious criterion of all forms of diabetes, and it can lead to a variety of complications such as cardiovascular disease, neuropathy, renal failure, lipid metabolism issues and many others. Therefore, controlling blood glucose levels in diabetes individuals is very critical [11,12]. Reduced postprandial hyperglycemia is one treatment method for treating diabetes in its early stages. This is accomplished by suppressing the carbohydrate-hydrolyzing enzymes, α-glucosidase and α-amylase in the digestive system, which prevents glucose absorption. As a result, inhibitors of these enzymes slow the absorption of glucose, hence dampening the postprandial plasma glucose spike [13,14].
Scheme 1.
Flow chart for the pathophysiology of type 2 diabetes.
Since the 1990s, anti-diabetic medicines with α-glucosidase inhibitory capabilities, such as acarbose, miglitol and voglibose, have been commercially accessible for treating postprandial hyperglycemia. Since their molecular structure is comparable to that of disaccharides or oligosaccharides, those antidiabetic drugs can bind to the carbohydrate-binding site of α-glucosidase. The complexes that result from such binding have a higher affinity than carbohydrate–glucosidase complexes, which consequently leads to a delay in carbohydrate digestion and absorption and thus reduces the PPHG. Nonetheless, the repeated ingestion of them causes flatulence, severe stomach discomfort, allergic responses, etc. [15,16,17]. Despite the commercial availability of efficient AGIs, researchers are continuously working developing novel bioactive AGIs with strong inhibitory potential and fewer adverse effects. Several bioactive compounds have been reported to alleviate various pathophysiological conditions [18,19,20,21,22,23,24,25,26]. Additionally, numerous attempts have been made to synthesize non-cytotoxic compounds with α-glucosidase inhibition activity [27,28,29]. In recent decades, there has been a surge of growing interest in using natural products as medicinal agents, particularly in the prevention and management of T2DM. Medicinal herbs and traditional remedies have been employed throughout history to treat a wide range of medical conditions, including diabetes. This review gives an overview of the most recent plant-derived extracts as well as bioactive compounds that inhibit α-glucosidase, and it emphasizes the most promising therapeutic candidates for T2DM management via α-glucosidase inhibition. The most recent updates include, from various natural sources, different plant extracts, their hypoglycemic effect on animal models, phenolic compounds, flavonoids, tannins, anthocyanins and polysaccharides. The review was carried out based on published work between 2019 and 2022 by using scientific search engines such as Scopus, PubMed, Science Direct and SciFinder. The inclusion criteria were medical plants with a folklore history exhibiting α-glucosidase activities.
2. Alpha-Glucosidases Structure and Mechanism of Action
Complex carbohydrates are broken down into monosaccharides in the gastrointestinal system by several breakdown processes and are absorbed in the small intestine. The digestive process starts with the production of amylases (EC 3.2.1.1), which catalyze the breakdown of starch into shorter polysaccharides and are mostly generated by the salivary and pancreatic glands [30]. When partly hydrolyzed starch enters the small intestine, it is further processed by amylases of the pancreas, which target the α-1 and four linkages of carbohydrate-releasing dextrins [31]. α-Glucosidases at the brush border of enterocytes mediate the last stage in glucose metabolism. The enzymes have duplicated glycoside hydrolase domains (GH31) that hydrolyze α-glucosidic disaccharide and oligosaccharide bonds [32,33] (Figure 1a). These glycosidases play important roles in a variety of biological activities, including carbohydrate digestion, lysosomal glycoconjugate catabolism and post-translational glycoprotein changes. The oligosaccharides resulting from α-amylase digestion are finally hydrolyzed to monosaccharides by α-glucosidases; maltase glucoamylase [MGAM (EC 3.2.1.20) and (EC 3.2.1.3)] and sucrose isomaltase [SI (EC 3.2.1.48) and (EC 3.2.1.10)]. MGAM (EC 3.2.1.20) are the most active of the four α-glucosidases, releasing glucose from non-reducing ends of oligosaccharides [34,35,36,37,38].
Figure 1.
(a) Ribbon diagram of the structure of Human Nt MGAM/acarbose complex as a representative for GH31 α-glucosidase. Different domains are colored as follows: N-terminal domain, blue; catalytic domain, green; subdomain b1, pale green; subdomain b2, lemon; C-terminal domain 1, red; and C-terminal domain 2, orange. (b) Human Nt MGAM/acarbose complex active site; sticks represent residues situated within a 4-A° radius of a valienamine unit. The acarbose is colored cyan and is shown as sticks and wire for a and b, respectively. (a,b) were adopted from the structure, with PDB entry code: 2QMJ [39], and were generated using PyMol [40].
The catalytic domains of MGAM and SI are duplicated, with an N-terminal membrane-adjacent domain (ntMGAM and ntSI) and a C-terminal luminal domain (ctMGAM and ctSI) (Figure 1a, Figure 2a and Figure 3a). An O-glycosylated stalk produced from the N-terminal domain attaches the domains to the brush border membrane of the small intestine [41]. The N- and C-terminal domains of MGAM and SI have more sequence similarity (~60%) when compared to the N- and C-terminus domains of the same enzyme in other species (~40 percent sequence identity). This is due to the MGAM and genes evolving from a previously duplicated ancestor gene through duplication and divergence. The N- and C-terminals of MGAM and SI are members of the glycoside hydrolases (GH) 31 family. The nonreducing ends of α (1–4)-glycosidic bonds are hydrolyzed by the four domains, although they have different inclinations for malto-oligosaccharides of variant lengths [35,36,37,38]. MGAM favors α-1,4-oligosaccharides and can effectively hydrolyze lengths up to glucohexaose. α-1, 6-glycosidic linkages are hydrolyzed by MGAM at just a 2% rate compared to α-1,4-glycosidic bondage, and there is a little sum of α-1,2- and α-1,3-hydrolyzing activity. On the other hand, SI represents almost 80% of the total intestinal maltase activity (α-1,4 glycosidic linkages) and nearly all sucrase activity (α-1,2-glycosidic linkages) in the small intestine. SI may also hydrolyze isomaltose’s α-1,6-glycosidic bonds, and there is modest α-1,3-hydrolyzing activity [41,42]. The hydrolyzed glucose is then transported by glucose transporter (GLUT)-2 and sodium/glucose cotransporter-1 (SGLT1) from intestinal mucosa into the blood circulation, causing postprandial hyperglycemia (PPHG) [38].
Figure 2.
(a) Ribbon diagram of Human Nt SI crystal structure in complex with kotalanol. (b) Human Nt SI important active site residues (catalysis/substrate binding). The kotalanol is colored cyan and is shown as sticks. (a,b) were adopted from the structure, with PDB entry code: 3LPP [43], and were generated using PyMol [40].
Since the inhibition of α-glucosidase enzymes results in a glucose production delay, which contributes to its therapeutic role in T2DM, the relationship between α-glucosidases’ catalytic characteristics, particularly substrate selectivity, and their structures have been the subject of much research in the past two decades. Except for CtSI, the three-dimensional structures of these subunits are now available [39,43,44]. The α-glucosidases’ structures are protein complexes containing inhibitors such as acarbose and kotalanol. (Figure 1, Figure 2 and Figure 3). Each α-glucosidase structure consists of four main domains; an N-terminal domain, a catalytic domain of the (the (β/α)8-barrel and two C-terminal domains. Inserts 1 and 2 of the catalytic domain are located right after β-strands 3 and 4, respectively (Figure 1a). The general architectures of these subunits’ structures are almost similar, except for insert 1. CtMGAM insertion 1 differs from the others because it includes an additional helical segment of 21 amino acid residues [44] (Figure 3a). In the catalytic domain, the active site pocket (Subsite-1) is formed by β-barrel loops, and the residues involved with subsite-1 formation are highly conserved among α-glucosidases’ subunits. At subsite-1, twelve residues reside within 4-A° of an acarbose valienamine unit and may contribute to enzyme/inhibitor interactions (Y299, D327, I328, I364, W406, W441, D443, M444, R526, W539, D542 and H600) (Figure 1b). D443 and D542 each supply a catalytic nucleophile and a generic acid/base. The hydroxy groups of the valienamine establish a hydrogen bond with the side chains of D327, R526 and H600 (Figure 1b). In NtMGAM, the aromatic residue of Y299 of the catalytic domain is oddly different. Both MGAM subunits feature Tyrosine residue (Y299 in NtMGAM and Y1251 in CtMGAM) (Figure 1b and Figure 3b), and NtSI has W327 (Figure 2b). This Tryptophan residue is thought to be key in giving the α-(1→6)-specificity of NtSI [43] (Figure 2b). Mutational studies have shown that substituting Tryptophan residues for the Y299 of NtMGAM and Y1251 of CtMGAM enhances the enzyme catalytic activity for isomaltose hydrolysis [44]. The binding of α-glucosidase with isomaltose (α-(1→6) specific) was clarified using the crystal structure of α-glucosidase from Ruminococcus obeum [45]. The W169 bulky side chain appeared to impede its mobility by being opposed to the flexible α-(1→6)-glucosidic linkage with three bonds. A site-directed mutagenesis investigation demonstrated the relevance of W169 to α-(1→6)-specificity, in which the replacement of W169 with Y significantly lowered the hydrolysis activity toward isomaltose and turned the α-(1→6) specific α-glucosidase into an α-(1→4)-specific enzyme [45]. These structural insights can help us to understand α-glucosidase interactions with different AGI to produce AGI with fewer side effects.
Figure 3.
(a) Ribbon diagram of the structure of human ctMGAM/acarbose complex. (b) Human ctMGAM important active site residues (catalysis/substrate binding). The acarbose is colored cyan and is shown as sticks. (a,b) were adopted from the structure, with PDB entry code: 3TOP [44], and were generated using PyMol [40].
Figure 3.
(a) Ribbon diagram of the structure of human ctMGAM/acarbose complex. (b) Human ctMGAM important active site residues (catalysis/substrate binding). The acarbose is colored cyan and is shown as sticks. (a,b) were adopted from the structure, with PDB entry code: 3TOP [44], and were generated using PyMol [40].

3. Plant Extracts as α-Glucosidase Inhibitor Sources
Many herbal medications have been advocated for diabetes treatment in addition to the already available therapeutic alternatives. Traditional plant remedies are utilized all over the world to treat a variety of diabetes symptoms. The fact that plant preparations have fewer adverse reactions than current conventional medications [46,47,48,49], along with their lower cost, is encouraging both the general population and national health care organizations to examine natural medical items as alternatives to synthetic drugs [50]. As a result, research into such compounds derived from traditional medicinal herbs has become increasingly significant [51].
Cucurbitaceae family member Momordica charantia L. has been exploited as a traditional medicine for managing diabetes mellitus and other metabolic syndromes [52]. M. charantia is rich in phytoconstituents such as flavonoids, alkaloids, polysaccharides, poly peptides, glycosides phenolic and fatty acids that enhance its pharmacologic efficacy [53,54]. M. charantia methanolic extract shows potent α-glucosidase inhibition activity and significantly improves fasting blood glucose levels and insulin in diabetic rats. The acarbose shows higher α-glucosidase inhibition (79.91 ± 0.77%) in vitro than M. charantia methanolic extract (72.30 ± 0.30%) [52].
Artemisia absinthium belongs to the Asteraceae family, which is considered to be the most common traditional Moroccan medicine used for diabetes [55]. The hypoglycemic effect of A. absinthium L. aqueous and ethyl acetate extracts have been studied in diabetic rats [56]. A. absinthium ethyl acetate extracts show higher α-glucosidase inhibition activity in vitro than the aqueous extract (IC50 for ethyl acetate extract 0.155 ± 0.0009 mg/mL, aqueous extract 0.170 ± 0.0002 mg/mL as compared to acarbose 0.148 ± 0.002 mg/mL). However, in vivo, only the aqueous extract of A. absinthium leaves show significant hypoglycemic activity, whereas the ethyl acetate extract shows no α-glucosidase activity. Such activity could be due to the high content of polyphenols in the A. absinthium extract.
Several extracts (20) from edible spices such as mace, nutmeg, coriander, star anise and fenugreek were investigated for their anti-diabetic potential as α-glucosidase inhibitors [57]. Among them, the ethyl acetate extract of star anise has the most potent anti-α-glucosidase activity in vitro (IC50 4.76 ± 0.71 to 201.34 ± 20.07 μg/mL of control acarbose). The mechanism of inhibition was further investigated, and the kinetic analysis revealed the competitive and reversible binding of star anise ethyl acetate extract to α-glucosidase. The study showed that star anise ethyl acetate extract injection in hyperglycemic rabbits decreases blood glucose levels significantly and in a time-dependent manner.
Amomum villosum plant fruit from the Zingiberaceae family is a Korean traditional medicine used in the treatment of different digestive diseases. The fruit water extract used by healthy individuals shows a positive effect on postprandial glycemia and insulin secretion during clinical assessment [58]. A. villosum water extract was investigated for its α-glucosidase activity at different concentrations of 1, 3 and 5 mg/mL, which proportionally increased the inhibition against rat α-glucosidase with IC50 of 31.99 ± 6.79%, 48.85 ± 4.75% and 62.58 ± 6.69%, respectively. Although A. villosum water extract has lower inhibition on α-glucosidase than the reference acarbose, it showed a considerable drop in blood glucose levels in the sucrose loading test when administered to the rats compared to the control group [59].
Merremia tridentata (L.) is a traditional medicinal plant used for the treatment of diabetes and several other disorders in Vietnam. The antidiabetic effect of stem-ethanol extract (SE) as well as flavonoid-rich fractions (FF) of the stem of M. tridentata were investigated in diabetic mice [60]. The study revealed that the daily administration of 100 mg/kg SE and 50, 75 mg/kg FF to diabetic mice for twenty days has a higher hypoglycemic effect than the reference drugs, metformin (10 mg/kg) and glibenclamide (5 mg/kg), without affecting the body weight of tested mice. Moreover, SE and FF showed decent α-glucosidase inhibition activity when compared with acarbose (IC50 (mg/mL) 0.44 ± 0.11, 0.24 ± 0.08 and 0.29 ± 0.06, respectively) (Table 1).
Table 1.
Plant extracts showing in vivo α-glucosidase inhibition activity.
Several medicinal plant extracts have been recently reported to exhibit potent α-glucosidase inhibitory activity and hypoglycemic effects in animal models. For one of the most famous and commercial green teas in China (Lu’an guapian green tea (LGGT)), its methanol extract shows α-glucosidase inhibition activity, and when supplemented with the diet, it improves insulin sensitivity and glucose tolerance in mice [61]. For another edible spice/medicinal herb from China, Amomum tsao-ko, its methanol extract shows hypoglycemic activity in a dose-dependent manner while treating STZ-induced diabetic mice as well as in vitro [62]. After six weeks of treatment, the extract significantly decreases the fasting blood glucose in diabetic mice. The study identifies bioactive constituents from methanol extracts such as phenols, flavonoids, oligosaccharides, coumarins and others that could be responsible for α-glucosidase inhibition/hypoglycemic activity. Recently, edible and hydroponically grown Lactuca sativa soil have been reported to substantially reduce blood glucose levels in diabetic rats besides in vitro α-glucosidase inhibition activity [63]. The crude extract and two isolated compounds Coniferol (1) and dillapiole (2) (from chloroform phyto-fractions) of Allium consanguineum were investigated for their hypoglycemic effects [64]. The in vivo studies revealed that two compounds, coniferol and dillapiole, substantially lower blood glucose levels in albino mice. The ethanolic leaves extract of Amischotolype mollissima has shown α-glucosidase enzymatic activity in addition to the antihyperglycemic effect that was observed in the swiss albino mice oral glucose tolerance test in a dose-dependent manner [65]. The methanolic flower extract of Descurainia sophia showed in vitro α-glucosidase activity with mixed (competitive/non-competitive) inhibition [66]. Moreover, consuming the flower extract reduced blood glucose levels in the male rats when compared to the control group. The authors propose that the hypoglycemic effect of the D. sophia flower extract is due to flavonoid and phenolic phytochemical contents in the extract (Table 1).
Other traditional plant extracts have been recently reported for their α-glucosidase potency, and further in vivo studies are required to verify their hypoglycemic biological effect. These studies have examined the potential role of herbal plants against α-glucosidase activity (Table 2). Among the most recent plant extract studies in the literature that are included in this review, Cerasus humilis, Gymnanthemum amygdalinum, and Paliurus spina-christi Mill have the highest α-glucosidase inhibition activities compared to the positive control acarbose. Cerasus humilis (Sok. leaf-tea) has been identified as a good source of α-glucosidase inhibitors [84]. C. humilis methanol extract with a high flavonoid/phenolic content has a substantially higher α-glucosidase inhibition activity ((IC50 = 36.57 μg/mL) in comparison to acarbose (IC50 = 189.57 μg/mL). Among the phenolic compounds isolated from C. humilis methanol extract in this study, myricetin, avicularin, pruning, quercitrin, guajavarin and isoquercitrin were accountable for their α-glucosidase activity. The Paliurus spina-christi mill fruit is used as an antidiabetic traditional medicine in Turkey, and a recent study showed that n-hexane fractions derived from the methanolic fruit extract have remarkably higher α-glucosidase inhibitory effects than acarbose with IC50 of 445.7 ± 8.5 and 4212.6 ± 130.0 µg/mL, respectively [85]. The phytochemical analysis of the fruit extract identified three terpenic compounds (betulin, betulinic acid and lupeol) with a higher α-glucosidase inhibitory activity than acarbose. Gymnanthemum amygdalinum (Delile) is another folk medicine plant that has been traditionally used in Nigeria to treat diabetes, and the flavonoid-rich fractions of its leaf extract show a substantial antidiabetic effect [86]. A recent study showed that flower methanol extract also exhibits great α-glucosidase inhibitory activity with IC50 greater than the positive control [87]. The flower methanolic extract fractionation with ethyl acetate solvent yield in two flavonoid compounds with luteolin showed the highest α-glucosidase activity than 2-(3,4-dihydroxy phenyl)-5,7-dihydroxy-3-methoxy-4H-chromen-4-on compared to the positive control. Polysaccharides extracted from the water extract of Evodiae fructus, a Chinese medicinal herb, show promising α-glucosidase inhibition activity [88]. The polar extracts of Oryza sativa L (black rice) bran possess potent α-glucosidase inhibitory activity [89]. The preliminary analysis of these traditional medicinal plant extracts revealed promising α-glucosidase inhibition activity, and further analysis is required to support their anti-diabetic effect.
Table 2.
Summary of an in vitro α-glucosidase inhibition assay for plant extracts.
4. Plant-Derived Bioactive Compounds as Potential α-Glucosidase Inhibitors
There have been reports of various plants having α-glucosidase inhibition activity. Potential AGI inhibitors have been shown to exist in a wide variety of bioactive substances that fall under several classes of secondary metabolites. Numerous secondary metabolites, including flavonoids, terpenes, phenolic acids, polysaccharides, tannins, anthocyanins, stilbene and many others, have been discovered to have α-glucosidase inhibition activity (Table 3).
Table 3.
List of in vitro α-glucosidase inhibitors reported from various plants.
4.1. Flavonoids
Flavonoids are polyphenolic metabolites that are often present in plants as different glycosides. Typically, they consist of two phenyl rings and one heterocyclic ring in a 15-carbon phenolic structure. They include different subgroups as flavones, isoflavones, flavans, flavanones and flavonols [141]. Flavonoids play an important role in carbohydrate metabolism. Several flavonoid molecules are found to be more effective at inhibiting α-glucosidase.
Le et al. discovered six globunones A-F, two new flavonoids and nine other known compounds that displayed potent inhibition of α-glucosidase with IC50 values between 0.4 and 26.6 μM. When compared to acarbose (IC50 = 93.6 μM), the well-known flavonoid compound Calodenin A (Figure 4a) (IC50 = 0.4 μM) had the greatest effect and exhibited a non-competitive mode of action during kinetic studies [114]. Similarly, Sgariglia et al. [113] isolated five polyphenolic derivatives from the bark of Caesalpinia paraguariensis. Among them, (-) epigallocatechin-gallate (Figure 4b) (IC50 = 5.2 ± 0.15 µM) showed the most significant inhibitory effect against α-glucosidase, which was almost 270-fold higher than the control acarbose (IC50 = 1400.0 ± 0.51 µM).
Figure 4.
Chemical structure of some of the reported flavonoids as α-glucosidase inhibitors; (a) Calodenin A, (b) (-) Epigallocatechin-gallate, and (c) Myricetin-3-O-(2″-O-galloyl)-α-L-rhamnoside.
Recently, two myricetin-derived flavonols, myricetin-3-O-(2″-O-galloyl)-α-L-rhamnoside (IC50 = 1.32 μM) (Figure 4c) and myricetin-3-O-(4″-O-galloyl)-α-L-rhamnoside (IC50 = 1.77 μM), were isolated from Morella rubra. These compounds had a 100-fold stronger inhibitory impact on α-glucosidase enzymes than acarbose (IC50 = 369 μM). According to the molecular docking analysis, the flavonol–enzyme binding was improved due to pi-conjugations between the galloyl functional group and key residues of α-glucosidase at the active site, which may help to explain the significantly higher activity of these two compounds [110]. Even though the in vitro α-glucosidase assay produced encouraging results, further research must be conducted on the preclinical safety and toxicity assessment of these compounds before considering them as potential anti-diabetic medication candidates.
4.2. Terpenoids
Terpenoids are vitally important plant metabolites that are required for both abiotic and biotic stress resistance as well as growth and development. The structural units of terpenoids are composed of isoprene and its derivatives [142]. Based on the isoprene unit number present in the structures, they can be categorized into monoterpenoids, diterpenoids, triterpenoids and sesquiterpenoids [143]. These terpenoids possess anti-cancer, anti-inflammatory and antimicrobial properties [144]. Terpenoid-based drugs such as Taxol (anti-cancer) and Artimesinin (anti-malarial) are commercially available. Lately, researchers have been encouraged to explore terpenoid molecules for anti-diabetic properties.
Two abietane-type diterpenoids, gauleucin E (Figure 5a) and margoclin derived from Gaultheria leucocarpa var. yunnanensis displayed α-glucosidase inhibitory efficacy with IC50 of 319.3 and 327.9 µM, respectively [120]. Similarly, Chen and his co-workers (Chen et al., 2020) reported seven new taxane diterpenoids, taxumarienes A–G from Taxus mairei, and assessed their α-glucosidase inhibitory activities. In comparison to the control substance acarbose (IC50 = 155.86 ± 4.12 µM), taxumariene F (Figure 5b) showed highest inhibitory effects, with an IC50 = 3.7 ± 0.75 μM. Taxumariene F’s significant inhibitory activity was ascribed to the 6/8/6 tricyclic system along with 4(20)-epoxide ring and C-9 acetoxy group. Recently, Yuca et al. evaluated the antidiabetic properties of the triterpenes isolated from Paliurus spina-christi mill fruit. Interestingly, the mixture of betulin (Figure 5c) and betulinic acid (Figure 5d) mixture (IC50 = 248 ± 12 µM) inhibited α-glucosidase 26 times better than acarbose (IC50 = 6561 ± 207 µM) [85]. In light of these findings, it may be intriguing to study the synergistic and antagonistic effects of various terpenoid compounds on α-glucosidase inhibition. Therefore, additional studies, such as kinetics studies and structure–activity relationship (SAR) studies, are essential to comprehend the underlying mechanisms for different terpenoid molecules to inhibit α-glucosidase.
Figure 5.
Chemical structure of some of the reported terpenoids as α-glucosidase inhibitors; (a) Gauleucin E, (b) Taxumariene F, (c) Betulin, and (d) Betulinic acid.
4.3. Phenolic Acids and Their Derivatives
Phenolic acids are a group of bioactive molecules ubiquitous in plants. Their structure consists of functional carboxylic acid groups attached to aromatic phenols. Depending on the number and position of hydroxyl groups, phenolic acids can be classified into cinnamic and benzoic acid derivatives. These natural compounds are powerful antioxidants against free radicals and other reactive oxygen species (ROS) [145,146].
Tergallic acid dilactone isolated from Eugenia jambolana exhibit potent α-glucosidase inhibitory properties with IC50 5.0 ± 0.34 µM, which is 50 times higher than the positive control [121]. Aleixandre et al. [147] investigated the interactions between phenolic acids and α-glucosidase or the substrate by using different conditions such as the preincubation of phenolic acids with the enzyme or substrate and starch gelation in the presence of phenolic acid. Their studies revealed that, in comparison to phenolic acids with more hydroxyl groups, such as caffeic acid (Figure 6a) (IC50 = 0.39 ± 0.02 mM), phenolic acids with fewer hydroxyl groups such as vanillic acid (Figure 6b) (IC50 = 8.38 ± 0.01 mM) showed better inhibition against α-glucosidase. Similarly, Sgariglia et al. [113] reported ellagic acid and its derivatives isolated from Caesalpinia paraguariensis and performed in silico structure–activity relationship studies to evaluate the molecular interactions between α-glucosidase and the inhibitors. Ellagic acid (Figure 6c), 3-O-methylellagic, 3,3′-O-dimethylellagic acid and 3,3′-O-dimethylellagic-4-O-β-D-xylopyranoside show good α-glucosidase inhibition activity with IC50 value of 87.3, 65.1, 73.03, and 263.05 µM, respectively, which are much lower than acarbose (IC50 = 1400 µM). Such promising results make them a potential candidate for lead optimization. However, further research is required to assess their toxicity.
Figure 6.
Chemical structure of some of the reported phenolic acids as α-glucosidase inhibitors; (a) Caffeic acid, (b) Vanilic acid, and (c) Ellagic acid.
4.4. Polysaccharides
Polysaccharides are one of the major classes of biomacromolecules, which comprises long chains of several smaller monosaccharides. They are found in a variety of plants and animals. Growing research evidence suggests that plant-derived polysaccharides exhibit a range of biological activities with low or no toxicity [148]. Additionally, the composition of monosaccharides, glycosidic linkage and molecular weight of the polysaccharides could affect their bioactivity [149,150].
Recent evidence from the literature revealed that polysaccharides from different plant species could inhibit α-glucosidase activity [88,122,151]. A polysaccharide fraction, AXA-1, isolated from wheat bran showed a potential non-competitive mode of inhibitory effects against the α-glucosidase enzyme [123]. Zheng et al. [125] investigated the α-glucosidase inhibitory activity of several polysaccharides extracted from Sargassum fusiforme at different pH conditions. According to the study, SEP-7-40, which has relatively high levels of xylose and galacturonic acid and low molecular weight, exhibits a considerable inhibitory effect (IC50 = 0.304 mg/mL). Similarly, an acidic polysaccharide, SFP-1, isolated from Sargassum fusiforme inhibits α-glucosidase significantly (IC50 = 0.681 mg/mL) in a mixed-type inhibition mode [124]. Such potential α-glucosidase inhibitory effects shown by polysaccharides in combination with their low toxicity could be promising in the development of drugs against diabetes mellitus. Therefore, further and more organized research work is essential to understand the therapeutic role of polysaccharides in the treatment of diabetes mellitus.
4.5. Tannins
Tannins are polyphenolic natural compounds, which play a major role in carbohydrate metabolism [152]. They can be categorized into hydrolyzable tannins and condensed tannins. Tannins have strong anti-oxidant properties that are beneficial in the dietary and healthcare industries. Tannins are widely used in the dietary, leather and chemical industries due to their abundancy in raw materials, chemical reactivity and safe extraction [153,154].
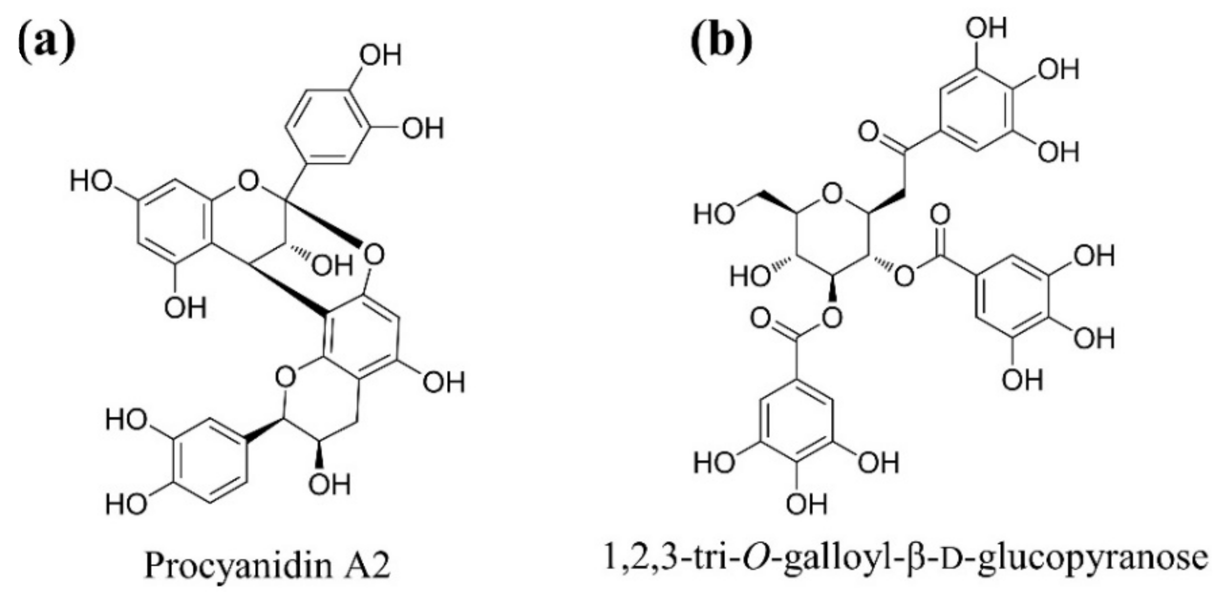
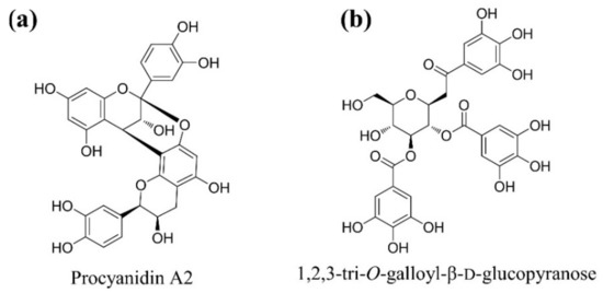
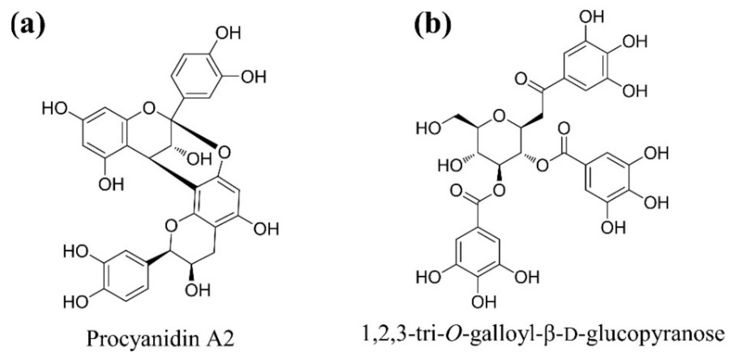
Sheikh et al. [126] studied the role of tannin, procyanidin A2 (Figure 7a) in the postprandial management of diabetes mellitus. The study revealed that procyanidin A2 exhibits significant α-glucosidase inhibitory activities (IC50 = 0.27 ± 0.01 μg/mL). It also significantly reduced elevated G-6-Pase and mRNA levels in diabetic mice. Another study conducted by Zhang et al. [128] revealed that gallotannins isolated from Euphorbia fischeriana steud have antidiabetic potential. Specifically, 1,2,3-tri-O-galloyl-β-D-glucopyranose (Figure 7b) showed the most significant and highly selective α-glucosidase inhibitory effect. Additional SAR studies have indicated that the galloyl and glucopyranosyl groups are crucial in the inhibition of α-glucosidase. Despite these promising results, more thorough research on the mechanism and in vivo evaluations are still needed. Overcoming these drawbacks is essential in developing tannin-based significant α-glucosidase inhibitors.
Figure 7.
Chemical structure of some of the reported tannins as α-glucosidase inhibitors; (a) procyanidin A2, and (b) 1,2,3-tri-O-galloyl-β-D-glucopyranose.
4.6. Other Secondary Metabolites
Besides flavonoids, terpenoids, phenolic acids, tannins and polysaccharides, there are many other classes of secondary metabolites, which have been reported with significant α-glucosidase inhibitory properties. Other bioactive molecules include stilbene, anthocyanin, anthraquinone, xanthones, chalcone derivatives, pregnane glycosides, etc. [129,131,133,136,138].
J. Chen et al. [132] investigated cyanidin and its derivatives isolated from the fruit of Cinnamomum camphora for in vitro α-glucosidase inhibitory activities. Significantly higher inhibition was observed with cyanidin (IC50 = 5.293 × 10−3 mM) (Figure 8a) in comparison to acarbose (IC50 = 1.644 mM). Kim et al. [134], explored aloe vera plants and isolated various bioactive metabolites using chromatographic techniques, and they investigated their inhibitory mechanism of them on α-glucosidase. Chysalodin (Figure 8b), an anthraquinone dimer, has the greatest ability to block α-glucosidase of all of them. The kinetic analysis further showed that chysalodin competes with the substrate of α-glucosidase for binding to the active region of the receptor.
Figure 8.
Chemical structure of some bioactive compounds reported as potential α-glucosidase inhibitors; (a) Cyanidin, (b) Chysalodin, (c) Parmosidone I, (d) 3β,8β,14β,20-tetrahydroxy-(20S)-pregn-5-ene-3-O-β-D-glucopyranosyl-(1→4)-O-β-D-digitaloside-20-O-3-isoval-β-D-glucopyranoside, (e) Fucoxanthin, (f) 2-(3′,4′-dihydroxyphenyl)-2,3-dihydro-4,6-dihydroxy-2-(methoxy)-3-benzofuranone, and (g) Mangoxanthone A.
Other metabolites, depsidones isolated from lichen Parmotrema tsavoense, have been reported to inhibit α-glucosidase. All five new depsidones, parmosidones F–J (Figure 8c), showed significantly higher α-glucosidase inhibition with IC50 values ranging from 10.7 to 17.6 µM in comparison to acarbose (IC50 = 449 µM) [135]. Another new pregnane glycoside compound, 3β,8β,14β,20-tetrahydroxy-(20S)-pregn-5-ene-3-O-β-D-glucopyranosyl-(1→4)-O-β-D-digitaloside-20-O-3-isoval-β-D-glucopyranoside (Figure 8d), isolated from Caralluma hexagona Lavranos, was found to be a good α-glucosidase inhibitor (IC50 = 0.67 ± 0.01 µM) [137].
Another study conducted by Zaharudi and his co-workers identified fucoxanthin (Figure 8e) from Undaria pinnatifida as a potential α-glucosidase inhibitor, with IC50 of 0.047 ± 0.001 mg/mL, which is 12-fold higher than that of acarbose (IC50 = 0.6 ± 0.01 mg/mL) [93]. Similarly, Quan et al. [139] reported another potential α-glucosidase inhibitor from the perennial herb, Hylotelephium erythrostictum. The isolated bioactive compound, 2-(3′, 4′-dihydroxyphenyl)-2, 3-dihydro-4, 6-dihydroxy-2-(methoxy)-3-benzofuranone (Figure 8f) (IC50 = 1.8 µM) showed 457 times more inhibition than acarbose (IC50 = 822.9 µM) and showed a competitive mode of inhibition toward the α-glucosidase substrate. Recently, Yang et al. [140] reported new prenylated xanthone, mangoxanthone A, (Figure 8g) isolated from Garcinia mangostana, with moderate α-glucosidase inhibitory activity with IC50 of 22.74 ± 2.07 μM.
These results and conclusions, however, are derived based on the reactions to α-glucosidase in vitro and may not accurately represent the processes involved in vivo. Despite the fact that numerous bioactive substances with various structural moieties display notable α-glucosidase inhibitory activity, the pharmacodynamics behind their inhibition remain unexplored. Therefore, comprehensive and detailed research is required to assess the toxicity, potential drug interactions and long-term side effects of these reported compounds to develop them as α-glucosidase inhibitors for the treatment and management of diabetes mellitus.
5. Conclusions
Diabetes mellitus is a carbohydrate metabolic disorder caused by decreased insulin production or increasing insulin resistance. Herbal remedies for diabetes have been utilized in patients with insulin-dependent and insulin-independent diabetes, diabetic peripheral neuropathy, diabetic retinopathy and other diabetic-related conditions. According to the research on their potential effectiveness against diabetes, natural compounds have a significant role to play in diabetes care, which requires additional investigation for drug development and nutraceuticals from natural plant resources. However, many herbal medicines in use today have not been well researched, and some have the capacity to induce significant adverse effects and substantial drug-to-drug interactions. To understand the pharmacological activity of herbal treatments presently being used in traditional folk medicine to treat diabetes mellitus, further study is required. Although a tremendous effort has been made by scientists to analyze the antidiabetic effects of several natural products, shortcomings are still remaining. Most of the research focuses on the in vitro studies of natural products with fewer researchers conducting in vivo studies and further pharmaceutical advanced studies. Moreover, there is a need for more structural insight into the interaction between glucosidases and the promising anti-diabetic drug targets, which can have great value in new antidiabetic drug discoveries. The goal of this review paper is to summarize the most recent discoveries in research on natural products that act as α-glucosidase enzyme inhibitors. Indeed, reducing postprandial hyperglycemia is one therapeutic strategy for diabetes in its early stages. This is accomplished by slowing glucose absorption in the digestive system by inhibiting the carbohydrate-hydrolyzing enzymes α-glucosidases. Therefore, inhibitors of these enzymes reduce the rate of glucose absorption, hence dampening the postprandial plasma glucose spike. This study reviews over forty extracts collected using various solvents and more than fifty natural products. This review’s insight should contribute to the ultimate objective of discovering new therapeutic medications with greater efficacy and safety for the treatment of type 2 diabetes or to avoid hyperglycemia.
Author Contributions
Conceptualization, H.K.; Writing—original draft preparation, H.K.; Writing—review and editing, K.-H.B.; Funding acquisition, K.-H.B. All authors have read and agreed to the published version of the manuscript.
Funding
This research was supported by the Basic Science Research Program through the National Research Foundation of Korea (NRF) funded by the Ministry of Education (NRF-2021R1F1A1060297).
Data Availability Statement
Not applicable.
Conflicts of Interest
The authors declare no conflict of interest.
References
- Alrefai, H.; Allababidi, H.; Levy, S.; Levy, J. The Endocrine System in Diabetes Mellitus. Endocrine 2002, 18, 105–120. [Google Scholar] [CrossRef]
- IDF. International Diabetes Federation IDF Diabetes Atlas, 10th ed.; IDF: Brussels, Belgium, 2021; Available online: https://diabetesatlas.org/idfawp/resource-files/2021/07/IDF_Atlas_10th_Edition_2021.pdf (accessed on 1 August 2022).
- Bae, J.H.; Han, K.-D.; Ko, S.-H.; Yang, Y.S.; Choi, J.H.; Choi, K.M.; Kwon, H.-S.; Won, K.C. Diabetes Fact Sheet in Korea 2021. Diabetes Metab. J. 2022, 46, 417–426. [Google Scholar] [CrossRef] [PubMed]
- Wilcox, G. Insulin and Insulin Resistance. Clin. Biochem. Rev. 2005, 26, 19. [Google Scholar] [PubMed]
- Kumar Tripathi, B.; Srivastava, A.K. Diabetes mellitus: Complications and therapeutics RA130. Med. Sci. Monit. 2006, 12, 130–147. [Google Scholar]
- Li, M.; Song, L.; Qin, X. Advances in the cellular immunological pathogenesis of type 1 diabetes. J. Cell. Mol. Med. 2014, 18, 749–758. [Google Scholar] [CrossRef]
- Rashid, K.; Chowdhury, S.; Ghosh, S.; Sil, P.C. Curcumin attenuates oxidative stress induced NFκB mediated inflammation and endoplasmic reticulum dependent apoptosis of splenocytes in diabetes. Biochem. Pharmacol. 2017, 143, 140–155. [Google Scholar] [CrossRef]
- Zimmet, P.; Alberti, K.G.M.M.; Shaw, J. Global and societal implications of the diabetes epidemic. Nature 2001, 414, 782–787. [Google Scholar] [CrossRef]
- Esser, N.; Paquot, N.; Scheen, A.J. Anti-inflammatory agents to treat or prevent type 2 diabetes, metabolic syndrome and cardiovascular disease. Expert Opin. Investig. Drugs 2015, 24, 283–307. [Google Scholar] [CrossRef]
- Association, A.D. Standards of Medical Care in Diabetes—2014. Diabetes Care 2013, 37, S11–S66. [Google Scholar] [CrossRef]
- Bello, N.A.; Pfeffer, M.A.; Skali, H.; McGill, J.B.; Rossert, J.; Olson, K.A.; Weinrauch, L.; Cooper, M.E.; de Zeeuw, D.; Rossing, P.; et al. Retinopathy and clinical outcomes in patients with type 2 diabetes mellitus, chronic kidney disease, and anemia. BMJ Open Diabetes Res. Care 2014, 2, e000011. [Google Scholar] [CrossRef]
- Jiao, Y.; Hua, D.; Huang, D.; Zhang, Q.; Yan, C. Characterization of a new heteropolysaccharide from green guava and its application as an α-glucosidase inhibitor for the treatment of type II diabetes. Food Funct. 2018, 9, 3997–4007. [Google Scholar] [CrossRef]
- Chiasson, J.-L. Acarbose for the Prevention of Diabetes, Hypertension, and Cardiovascular Disease in Subjects with Impaired Glucose Tolerance: The Study to Prevent Non-Insulin-Dependent Diabetes Mellitus (Stop-Niddm) Trial. Endocr. Pract. 2006, 12, 25–30. [Google Scholar] [CrossRef]
- Chen, X.; Zheng, Y.; Shen, Y. Voglibose (Basen, AO-128), One of the Most Important α-Glucosidase Inhibitors. Curr. Med. Chem. 2006, 13, 109–116. [Google Scholar] [CrossRef]
- Krentz, A.J.; Bailey, C.J. Oral Antidiabetic Agents. Drugs 2005, 65, 385–411. [Google Scholar] [CrossRef]
- Patil, P.; Mandal, S.; Tomar, S.K.; Anand, S. Food protein-derived bioactive peptides in management of type 2 diabetes. Eur. J. Nutr. 2015, 54, 863–880. [Google Scholar] [CrossRef]
- Sugihara, H.; Nagao, M.; Harada, T.; Nakajima, Y.; Tanimura-Inagaki, K.; Okajima, F.; Tamura, H.; Inazawa, T.; Otonari, T.; Kawakami, M.; et al. Comparison of three α-glucosidase inhibitors for glycemic control and bodyweight reduction in Japanese patients with obese type 2 diabetes. J. Diabetes Investig. 2014, 5, 206–212. [Google Scholar] [CrossRef]
- Basak, P.; Sadhukhan, P.; Sarkar, P.; Sil, P.C. Perspectives of the Nrf-2 signaling pathway in cancer progression and therapy. Toxicol. Rep. 2017, 4, 306–318. [Google Scholar] [CrossRef]
- Das, J.; Ghosh, J.; Manna, P.; Sinha, M.; Sil, P.C. Arsenic-induced oxidative cerebral disorders: Protection by taurine. Drug Chem. Toxicol. 2009, 32, 93–102. [Google Scholar] [CrossRef]
- Ghosh, S.; Basak, P.; Dutta, S.; Chowdhury, S.; Sil, P.C. New insights into the ameliorative effects of ferulic acid in pathophysiological conditions. Food Chem. Toxicol. 2017, 103, 41–55. [Google Scholar] [CrossRef]
- Manna, P.; Sinha, M.; Sil, P.C. Cadmium induced testicular pathophysiology: Prophylactic role of taurine. Reprod. Toxicol. 2008, 26, 282–291. [Google Scholar] [CrossRef]
- Manna, P.; Sinha, M.; Sil, P.C. Prophylactic role of arjunolic acid in response to streptozotocin mediated diabetic renal injury: Activation of polyol pathway and oxidative stress responsive signaling cascades. Chem. Biol. Interact. 2009, 181, 297–308. [Google Scholar] [CrossRef]
- Manna, P.; Ghosh, J.; Das, J.; Sil, P.C. Streptozotocin induced activation of oxidative stress responsive splenic cell signaling pathways: Protective role of arjunolic acid. Toxicol. Appl. Pharmacol. 2010, 244, 114–129. [Google Scholar] [CrossRef]
- Manna, P.; Ghosh, M.; Ghosh, J.; Das, J.; Sil, P.C. Contribution of nano-copper particles to in vivo liver dysfunction and cellular damage: Role of IκBα/NF-κB, MAPKs and mitochondrial signal. Nanotoxicology 2012, 6, 1–21. [Google Scholar] [CrossRef]
- Sarkar, A.; Ghosh, S.; Chowdhury, S.; Pandey, B.; Sil, P.C. Targeted delivery of quercetin loaded mesoporous silica nanoparticles to the breast cancer cells. Biochim. Biophys. Acta—Gen. Subj. 2016, 1860, 2065–2075. [Google Scholar] [CrossRef]
- Sinha, M.; Manna, P.; Sil, P.C. Aqueous extract of the bark of Terminalia arjuna plays a protective role against sodium-fluoride-induced hepatic and renal oxidative stress. J. Nat. Med. 2007, 61, 251–260. [Google Scholar] [CrossRef]
- Kashtoh, H.; Hussain, S.; Khan, A.; Saad, S.M.; Khan, J.A.J.; Khan, K.M.; Perveen, S.; Choudhary, M.I. Oxadiazoles and thiadiazoles: Novel α-glucosidase inhibitors. Bioorg. Med. Chem. 2014, 22, 5454–5465. [Google Scholar] [CrossRef]
- Niaz, H.; Kashtoh, H.; Khan, J.A.J.; Khan, A.; Wahab, A.T.; Alam, M.T.; Khan, K.M.; Perveen, S.; Choudhary, M.I. Synthesis of diethyl 4-substituted-2,6-dimethyl-1,4-dihydropyridine-3,5-dicarboxylates as a new series of inhibitors against yeast α-glucosidase. Eur. J. Med. Chem. 2015, 95, 199–209. [Google Scholar] [CrossRef] [PubMed]
- Kashtoh, H.; Muhammad, M.T.; Khan, J.J.A.; Rasheed, S.; Khan, A.; Perveen, S.; Javaid, K.; Atia-Tul-Wahab; Khan, K.M.; Choudhary, M.I. Dihydropyrano [2,3-c] pyrazole: Novel in vitro inhibitors of yeast α-glucosidase. Bioorg. Chem. 2016, 65, 61–72. [Google Scholar] [CrossRef] [PubMed]
- Mandel, A.L.; Breslin, P.A.S. High Endogenous Salivary Amylase Activity Is Associated with Improved Glycemic Homeostasis following Starch Ingestion in Adults. J. Nutr. 2012, 142, 853–858. [Google Scholar] [CrossRef] [PubMed]
- Peyrot des Gachons, C.; Breslin, P.A.S. Salivary Amylase: Digestion and Metabolic Syndrome. Curr. Diabetes Rep. 2016, 16, 102. [Google Scholar] [CrossRef] [PubMed]
- Jongkees, S.A.K.; Withers, S.G. Unusual enzymatic glycoside cleavage mechanisms. Acc. Chem. Res. 2014, 47, 226–235. [Google Scholar] [CrossRef]
- Lombard, V.; Golaconda Ramulu, H.; Drula, E.; Coutinho, P.M.; Henrissat, B. The carbohydrate-active enzymes database (CAZy) in 2013. Nucleic Acids Res. 2014, 42, D490–D495. [Google Scholar] [CrossRef]
- Diaz-Sotomayor, M.; Quezada-Calvillo, R.; Avery, S.E.; Chacko, S.K.; Yan, L.; Lin, A.H.-M.; Ao, Z.; Hamaker, B.R.; Nichols, B.L. Maltase-Glucoamylase Modulates Gluconeogenesis and Sucrase-Isomaltase Dominates Starch Digestion Glucogenesis. J. Pediatr. Gastroenterol. Nutr. 2013, 57, 704–712. [Google Scholar] [CrossRef]
- Nichols, B.L.; Avery, S.; Sen, P.; Swallow, D.M.; Hahn, D.; Sterchi, E. The maltase-glucoamylase gene: Common ancestry to sucrase-isomaltase with complementary starch digestion activities. Proc. Natl. Acad. Sci. USA 2003, 100, 1432–1437. [Google Scholar] [CrossRef]
- Butterworth, P.J.; Warren, F.J.; Ellis, P.R. Human α-amylase and starch digestion: An interesting marriage. Starch—Stärke 2011, 63, 395–405. [Google Scholar] [CrossRef]
- Dhital, S.; Warren, F.J.; Butterworth, P.J.; Ellis, P.R.; Gidley, M.J. Mechanisms of starch digestion by α -amylase—Structural basis for kinetic properties. Crit. Rev. Food Sci. Nutr. 2017, 57, 875–892. [Google Scholar] [CrossRef]
- Williamson, G. Possible effects of dietary polyphenols on sugar absorption and digestion. Mol. Nutr. Food Res. 2013, 57, 48–57. [Google Scholar] [CrossRef]
- Sim, L.; Quezada-Calvillo, R.; Sterchi, E.E.; Nichols, B.L.; Rose, D.R. Human Intestinal Maltase–Glucoamylase: Crystal Structure of the N-Terminal Catalytic Subunit and Basis of Inhibition and Substrate Specificity. J. Mol. Biol. 2008, 375, 782–792. [Google Scholar] [CrossRef]
- Schrödinger, L.L.C.; DeLano, W. PyMOL Molecular Graphic System Version 2020, 2. Available online: https://pymol.org/2/support.html? (accessed on 1 August 2022).
- Sim, L.; Jayakanthan, K.; Mohan, S.; Nasi, R.; Johnston, B.D.; Pinto, B.M.; Rose, D.R. New Glucosidase Inhibitors from an Ayurvedic Herbal Treatment for Type 2 Diabetes: Structures and Inhibition of Human Intestinal Maltase-Glucoamylase with Compounds from Salacia reticulata. Biochemistry 2010, 49, 443–451. [Google Scholar] [CrossRef]
- Elferink, H.; Bruekers, J.P.J.; Veeneman, G.H.; Boltje, T.J. A comprehensive overview of substrate specificity of glycoside hydrolases and transporters in the small intestine. Cell. Mol. Life Sci. 2020, 77, 4799–4826. [Google Scholar] [CrossRef]
- Sim, L.; Willemsma, C.; Mohan, S.; Naim, H.Y.; Mario Pinto, B.; Rose, D.R. Structural Basis for Substrate Selectivity in Human Maltase-Glucoamylase and Sucrase-Isomaltase N-terminal Domains. J. Biol. Chem. 2010, 285, 17763. [Google Scholar] [CrossRef]
- Ren, L.; Qin, X.; Cao, X.; Wang, L.; Bai, F.; Bai, G.; Shen, Y. Structural insight into substrate specificity of human intestinal maltase-glucoamylase. Protein Cell 2011, 2, 827–836. [Google Scholar] [CrossRef]
- Tan, K.; Tesar, C.; Wilton, R.; Keigher, L.; Babnigg, G.; Joachimiak, A. Novel α-glucosidase from human gut microbiome: Substrate specificities and their switch. FASEB J. 2010, 24, 3939–3949. [Google Scholar] [CrossRef]
- Bishoff, H. Pharmacological properties of the novel glucosidase inhibitors BAY m 1099 (miglitol) and BAY o 1248. Diabetes Res. Clin. Pract. 1985, 1, S53. [Google Scholar]
- Horii, S.; Fukase, H.; Matsuo, T.; Kameda, Y.; Asano, N.; Matsui, K. Synthesis and a-D-Glucosidase Inhibitory Activity of N-Substituted Valiolamine Derivatives as Potential Oral Antidiabetic Agents. J. Med. Chem. 1986, 29, 1038–1046. [Google Scholar] [CrossRef]
- Englyst, H.N.; Hay, S.; Macfarlane, G.T. Polysaccharide breakdown by mixed populations of human faecal bacteria. FEMS Microbiol. Ecol. 1987, 3, 163–171. [Google Scholar] [CrossRef]
- Weaver, G.A.; Tangel, C.T.; Krause, J.A.; Parfitt, M.M.; Jenkins, P.L.; Rader, J.M.; Lewis, B.A.; Miller, T.L.; Wolin, M.J. Acarbose Enhances Human Colonic Butyrate Production. J. Nutr. 1997, 127, 717–723. [Google Scholar] [CrossRef] [PubMed]
- Venkatesh, S.; Reddy, G.D.; Reddy, B.M.; Ramesh, M.; Rao, A.V.N.A. Antihyperglycemic activity of Caralluma attenuata. Fitoterapia 2003, 74, 274–279. [Google Scholar] [CrossRef]
- Suba, V.; Murugesan, T.; Arunachalam, G.; Mandal, S.C.; Saha, B.P. Anti-diabetic potential of Barleria lupulina extract in rats. Phytomedicine 2004, 11, 202–205. [Google Scholar] [CrossRef] [PubMed]
- Hussain, F.; Hafeez, J.; Khalifa, A.S.; Naeem, M.; Ali, T.; Eed, E.M. In vitro and in vivo study of inhibitory potentials of α-glucosidase and acetylcholinesterase and biochemical profiling of M. charantia in alloxan-induced diabetic rat models. Am. J. Transl. Res. 2022, 14, 3824–3839. [Google Scholar] [PubMed]
- Bortolotti, M.; Mercatelli, D.; Polito, L. Momordica charantia, a nutraceutical approach for inflammatory related diseases. Front. Pharmacol. 2019, 10, 486. [Google Scholar] [CrossRef]
- Wang, Q.; Wu, X.; Shi, F.; Liu, Y. Comparison of antidiabetic effects of saponins and polysaccharides from Momordica charantia L. in STZ-induced type 2 diabetic mice. Biomed. Pharmacother. 2019, 109, 744–750. [Google Scholar] [CrossRef]
- Bouyahya, A.; El Omari, N.; Elmenyiy, N.; Guaouguaou, F.E.; Balahbib, A.; Belmehdi, O.; Salhi, N.; Imtara, H.; Mrabti, H.N.; El-Shazly, M.; et al. Moroccan antidiabetic medicinal plants: Ethnobotanical studies, phytochemical bioactive compounds, preclinical investigations, toxicological validations and clinical evidences; challenges, guidance and perspectives for future management of diabetes worldwide. Trends Food Sci. Technol. 2021, 115, 147–254. [Google Scholar] [CrossRef]
- Hbika, A.; Daoudi, N.E.; Bouyanzer, A.; Bouhrim, M.; Mohti, H.; Loukili, E.H.; Mechchate, H.; Al-Salahi, R.; Nasr, F.A.; Bnouham, M.; et al. Artemisia absinthium L. Aqueous and Ethyl Acetate Extracts: Antioxidant Effect and Potential Activity In Vitro and In Vivo against Pancreatic α-Amylase and Intestinal α-Glucosidase. Pharmaceutics 2022, 14, 481. [Google Scholar] [CrossRef]
- Alqahtani, Y.S.; Mahnashi, M.H.; Alyami, B.A.; Alqarni, A.O.; Huneif, M.A.; Nahari, M.H.; Ali, A.; Javed, Q.; Ilyas, H.; Rafiq, M. Preparation of Spice Extracts: Evaluation of Their Phytochemical, Antioxidant, Antityrosinase, and Anti-α-Glucosidase Properties Exploring Their Mechanism of Enzyme Inhibition with Antibrowning and Antidiabetic Studies in Vivo. Biomed. Res. Int. 2022, 2022, 9983124. [Google Scholar] [CrossRef]
- Kim, H.R.; Paulrayer, A.; Kwon, Y.G.; Ryu, D.G.; Baek, D.G.; Geum, J.H.; Lee, J.H.; Lee, G.S.; Kwon, K.B. Acute effects of Amomum villosum Lour. fruit extract on postprandial glycemia and insulin secretion: A single-blind, placebo-controlled, crossover study in healthy subjects. Saudi J. Biol. Sci. 2020, 27, 2968–2971. [Google Scholar] [CrossRef]
- Kim, H.R.; Antonisamy, P.; Kim, Y.S.; Lee, G.; Ham, H.D.; Kwon, K.B. Inhibitory effect of Amomum villosum water extracts on α-glucosidase activity. Physiol. Mol. Plant Pathol. 2022, 117, 101779. [Google Scholar] [CrossRef]
- Vo Van, L.; Pham, E.C.; Nguyen, C.V.; Duong, N.T.N.; Vi Le Thi, T.; Truong, T.N. In vitro and in vivo antidiabetic activity, isolation of flavonoids, and in silico molecular docking of stem extract of Merremia tridentata (L.). Biomed. Pharmacother. 2022, 146, 112611. [Google Scholar] [CrossRef]
- Li, M.; Luo, X.; Ho, C.-T.; Li, D.; Guo, H.; Xie, Z. A new strategy for grading of Lu’an guapian green tea by combination of differentiated metabolites and hypoglycaemia effect. Food Res. Int. 2022, 159, 111639. [Google Scholar] [CrossRef]
- Xie, L.; Yu, D.; Li, Y.; Ju, H.; Chen, J.; Hu, L.; Yu, L. Characterization, Hypoglycemic Activity, and Antioxidant Activity of Methanol Extracts from Amomum tsao-ko: In vitro and in vivo Studies. Front. Nutr. 2022, 9, 869749. [Google Scholar] [CrossRef]
- Naseem, S.; Ismail, H. In vitro and in vivo evaluations of antioxidative, anti-Alzheimer, antidiabetic and anticancer potentials of hydroponically and soil grown Lactuca sativa. BMC Complement. Med. Ther. 2022, 22, 30. [Google Scholar] [CrossRef]
- Mahnashi, M.H.; Alqahtani, Y.S.; Alqarni, A.O.; Alyami, B.A.; Alqahtani, O.S.; Jan, M.S.; Hussain, F.; Islam, Z.U.; Ullah, F.; Ayaz, M.; et al. Phytochemistry, anti-diabetic and antioxidant potentials of Allium consanguineum Kunth. BMC Complement. Med. Ther. 2022, 22, 154. [Google Scholar] [CrossRef]
- Medha, M.M.; Devnath, H.S.; Biswas, B.; Bokshi, B.; Sadhu, S.K. In silico profiling of analgesic and antihyperglycemic effects of ethanolic leaves extract of Amischotolype mollissima: Evidence from in vivo studies. Saudi J. Biol. Sci. 2022, 29, 103312. [Google Scholar] [CrossRef]
- Sadeghi, M.; Shakouri Khomartash, M.; Gorgani-Firuzjaee, S.; Vahidi, M.; Motevalli Khiavi, F.; Taslimi, P. α-glucosidase inhibitory, antioxidant activity, and GC/MS analysis of Descurainia sophia methanolic extract: In vitro, in vivo, and in silico studies. Arab. J. Chem. 2022, 15, 104055. [Google Scholar] [CrossRef]
- Zhang, L.L.; Han, L.; Yang, S.Y.; Meng, X.M.; Ma, W.F.; Wang, M. The mechanism of interactions between flavan-3-ols against a-glucosidase and their in vivo antihyperglycemic effects. Bioorg. Chem. 2019, 85, 364–372. [Google Scholar] [CrossRef]
- Rynjah, C.V.; Devi, N.N.; Khongthaw, N.; Syiem, D.; Majaw, S. Evaluation of the antidiabetic property of aqueous leaves extract of Zanthoxylum armatum DC. using in vivo and in vitro approaches. J. Tradit. Complement. Med. 2018, 8, 134–140. [Google Scholar] [CrossRef]
- Yang, S.-E.; Lin, Y.-F.; Liao, J.-W.; Chen, J.-T.; Chen, C.-L.; Chen, C.-I.; Hsu, S.-L.; Song, T.-Y. Insulin sensitizer and antihyperlipidemic effects of Cajanus cajan (L.) millsp. root in methylglyoxal-induced diabetic rats. Chin. J. Physiol. 2022, 65, 125. [Google Scholar] [CrossRef]
- Yue, H.; Wang, L.; Jiang, S.; Banma, C.; Jia, W.; Tao, Y.; Zhao, X. Hypoglycemic effects of Rhodiola crenulata (HK. f. et. Thoms) H. Ohba in vitro and in vivo and its ingredient identification by UPLC-triple-TOF/MS. Food Funct. 2022, 13, 1659–1667. [Google Scholar] [CrossRef]
- Zhang, X.F.; Tang, Y.J.; Guan, X.X.; Lu, X.; Li, J.; Chen, X.L.; Deng, J.L.; Fan, J.M. Flavonoid constituents of Amomum tsao-ko Crevost et Lemarie and their antioxidant and antidiabetic effects in diabetic rats—In vitro and in vivo studies. Food Funct. 2022, 13, 437–450. [Google Scholar] [CrossRef]
- Abu-Odeh, A.; Shehadeh, M.; Suaifan, G.A.R.Y.; Karameh, N.; Rahman, D.A.; Kandil, Y. In Vitro and In Vivo Antidiabetic Activity, Phenolic Content and Microscopical Characterization of Terfezia claveryi. Molecules 2022, 27, 4843. [Google Scholar] [CrossRef]
- Wang, W.; Liu, Z.; Kong, F.; He, L.; Fang, L.; Shu, Q. Quantitative analysis of resveratrol derivatives in the seed coats of tree peonies and their hypoglycemic activities in vitro/vivo. Food Funct. 2022, 13, 846–856. [Google Scholar] [CrossRef] [PubMed]
- Bouknana, S.; Daoudi, N.E.; Bouhrim, M.; Ziyyat, A.; Legssyer, A.; Mekhfi, H.; Bnouham, M. Ammodaucus leucotrichus Coss. & Durieu: Antihyperglycemic activity via the inhibition of α-amylase, α-glucosidase, and intestinal glucose absorption activities and its chemical composition. J. Pharm. Pharmacogn. Res. 2022, 10, 94–103. [Google Scholar] [CrossRef]
- Ortega, R.; Valdés, M.; Alarcón-Aguilar, F.J.; Fortis-Barrera, Á.; Barbosa, E.; Velazquez, C.; Calzada, F. Antihyperglycemic Effects of Salvia polystachya Cav. and Its Terpenoids: α-Glucosidase and SGLT1 Inhibitors. Plants 2022, 11, 575. [Google Scholar] [CrossRef] [PubMed]
- Amin, E.; Abdel-Bakky, M.S.; Darwish, M.A.; Mohammed, H.A.; Chigurupati, S.; Qureshi, K.A.; Hassan, M.H.A. The Glycemic Control Potential of Some Amaranthaceae Plants, with Particular Reference to In Vivo Antidiabetic Potential of Agathophora alopecuroides. Molecules 2022, 27, 973. [Google Scholar] [CrossRef]
- Zhang, X.; Rehman, R.U.; Wang, S.; Ji, Y.; Li, J.; Liu, S.; Wang, H. Blue honeysuckle extracts retarded starch digestion by inhibiting glycosidases and changing the starch structure. Food Funct. 2022, 13, 6072–6088. [Google Scholar] [CrossRef]
- Zhang, Y.; Pan, Y.; Li, J.; Zhang, Z.; He, Y.; Yang, H.; Zhou, P. Inhibition on α-Glucosidase Activity and Non-Enzymatic Glycation by an Anti-Oxidative Proteoglycan from Ganoderma lucidum. Molecules 2022, 27, 1457. [Google Scholar] [CrossRef]
- Teng, B.S.; Wang, C.D.; Yang, H.J.; Wu, J.S.; Zhang, D.; Zheng, M.; Fan, Z.H.; Pan, D.; Zhou, P. A protein tyrosine phosphatase 1B activity inhibitor from the fruiting bodies of Ganoderma lucidum (Fr.) Karst and its hypoglycemic potency on streptozotocin-induced type 2 diabetic mice. J. Agric. Food Chem. 2011, 59, 6492–6500. [Google Scholar] [CrossRef]
- Abd El Hafeez, M.S.; El Gindi, O.; Hetta, M.H.; Aly, H.F.; Ahmed, S.A. Quality Control, Anti-Hyperglycemic, and Anti-Inflammatory Assessment of Colvillea racemosa Leaves Using In Vitro, In Vivo Investigations and Its Correlation with the Phytoconstituents Identified via LC-QTOF-MS and MS/MS. Plants 2022, 11, 830. [Google Scholar] [CrossRef]
- Kumar, A.; Aswal, S.; Chauhan, A.; Semwal, R.B.; Singh, R.; Andola, H.C.; Joshi, S.K.; Semwal, D.K. Antidiabetic effect of aqueous-ethanol extract from the aerial parts of Artemisia roxburghiana. Nat. Prod. Res. 2020, 36, 1300–1305. [Google Scholar] [CrossRef]
- Saadullah, M.; Asif, M.; Uzair, M.; Afzal, S.; Rashid, S.A.; Rashad, M.; Bashir, R.; Mahmood, S.; Batool, J.A. Pharmacological evaluation of the hypoglycemic and anti-Alzheimer’s activities of aerial parts of Breynia distachia (Phyllanthaceae). Trop. J. Pharm. Res. 2022, 21, 579–587. [Google Scholar] [CrossRef]
- Muddatstsir, I.; Risky, S.E.; Setyo Purnomo, A.; Fahimah, M.; Sri, F. Antidiabetic, cytotoxic and antioxidant activities of Rhodomyrtus tomentosa leaf extracts. RSC Adv. 2022, 12, 25697–25710. [Google Scholar] [CrossRef]
- Li, S.; Wang, R.; Hu, X.; Li, C.; Wang, L. Bio-affinity ultra-filtration combined with HPLC-ESI-qTOF-MS/MS for screening potential α-glucosidase inhibitors from Cerasus humilis (Bge.) Sok. leaf-tea and in silico analysis. Food Chem. 2022, 373, 131528. [Google Scholar] [CrossRef]
- Yuca, H.; Özbek, H.; Demirezer, L.Ö.; Güvenalp, Z. Assessment of the α-glucosidase and α-amylase inhibitory potential of Paliurus spina-christi Mill. and its terpenic compounds. Med. Chem. Res. 2022, 31, 1393–1399. [Google Scholar] [CrossRef]
- Divneet Kaur, N.K.; Chopra, A. A comprehensive review on phytochemistry and pharmacological activities of Vernonia amygdalina. Pharmacogn. Phytochem. 2018, 2018, 2629–2636. [Google Scholar] [CrossRef]
- Vonia, S.; Hartati, R.; Insanu, M. In Vitro Alpha-Glucosidase Inhibitory Activity and the Isolation of Luteolin from the Flower of Gymnanthemum amygdalinum (Delile) Sch. Bip ex Walp. Molecules 2022, 27, 2132. [Google Scholar] [CrossRef]
- Xiong, G.; Ma, L.; Zhang, H.; Li, Y.; Zou, W.; Wang, X.; Xu, Q.; Xiong, J.; Hu, Y.; Wang, X. Physicochemical properties, antioxidant activities and α-glucosidase inhibitory effects of polysaccharides from Evodiae fructus extracted by different solvents. Int. J. Biol. Macromol. 2022, 194, 484–498. [Google Scholar] [CrossRef]
- Bhuyan, P.; Ganguly, M.; Baruah, I.; Borgohain, G. Bioactive compounds isolated from black rice bran: Combined in vitro and in silico evidence supporting the antidiabetic effect of black rice. RSC Adv. 2022, 12, 22650–22661. [Google Scholar] [CrossRef]
- Vinodhini, S.; Rajeswari, V.D. Exploring the antidiabetic and anti-obesity properties of Samanea saman through in vitro and in vivo approaches. J. Cell. Biochem. 2019, 120, 1539–1549. [Google Scholar] [CrossRef]
- Ma, L.F.; Yan, J.J.; Lang, H.Y.; Jin, L.C.; Qiu, F.J.; Wang, Y.J.; Xi, Z.F.; Shan, W.G.; Zhan, Z.J.; Ying, Y.M. Bioassay-guided isolation of lanostane-type triterpenoids as α-glucosidase inhibitors from Ganoderma hainanense. Phytochem. Lett. 2019, 29, 154–159. [Google Scholar] [CrossRef]
- Subramanian, R.; Asmawi, M.Z.; Sadikun, A. In vitro α-glucosidase and α-amylase enzyme inhibitory effects of Andrographis paniculata extract and andrographolide. Acta Biochim. Pol. 2008, 55, 391–398. [Google Scholar] [CrossRef]
- Zaharudin, N.; Staerk, D.; Dragsted, L.O. Inhibition of α-glucosidase activity by selected edible seaweeds and fucoxanthin. Food Chem. 2019, 270, 481–486. [Google Scholar] [CrossRef]
- Aslam, H.; Khan, A.; Naureen, H.; Ali, F.; Ullah, F.; Sadiq, A. Potential application of Conyza canadensis (L) Cronquist in the management of diabetes: In vitro and in vivo evaluation. Trop. J. Pharm. Res. 2018, 17, 1287–1293. [Google Scholar] [CrossRef]
- Shihabudeen, H.M.S.; Priscilla, D.H.; Thirumurugan, K.; Mohamed Sham Shihabudeen, H.; Hansi Priscilla, D.; Thirumurugan, K.; Shihabudeen, H.M.S.; Priscilla, D.H.; Thirumurugan, K. Cinnamon extract inhibits α-glucosidase activity and dampens postprandial glucose excursion in diabetic rats. Funct. Foods Connect. Nutr. Health Food Sci. 2013, 8, 289–314. [Google Scholar] [CrossRef]
- Agawane, S.B.; Gupta, V.S.; Kulkarni, M.J.; Bhattacharya, A.K.; Koratkar, S.S. Chemo-biological evaluation of antidiabetic activity of Mentha arvensis L. and its role in inhibition of advanced glycation end products. J. Ayurveda Integr. Med. 2019, 10, 166–170. [Google Scholar] [CrossRef]
- Yang, D.; Wang, L.; Zhai, J.; Han, N.; Liu, Z.; Li, S.; Yin, J. Characterization of antioxidant, α-glucosidase and tyrosinase inhibitors from the rhizomes of Potentilla anserina L. and their structure–activity relationship. Food Chem. 2021, 336, 127714. [Google Scholar] [CrossRef]
- Ning, Z.W.; Zhai, L.X.; Huang, T.; Peng, J.; Hu, D.; Xiao, H.T.; Wen, B.; Lin, C.Y.; Zhao, L.; Bian, Z.X. Identification of α-glucosidase inhibitors from: Cyclocarya paliurus tea leaves using UF-UPLC-Q/TOF-MS/MS and molecular docking. Food Funct. 2019, 10, 1893–1902. [Google Scholar] [CrossRef]
- Yang, Z.; Qin, C.; Weng, P.; Zhang, X.; Xia, Q.; Wu, Z.; Liu, L.; Xiao, J. In vitro evaluation of digestive enzyme inhibition and antioxidant effects of naked oat phenolic acid compound (OPC). Int. J. Food Sci. Technol. 2020, 55, 2531–2540. [Google Scholar] [CrossRef]
- Liu, S.; Li, D.; Huang, B.; Chen, Y.; Lu, X.; Wang, Y. Inhibition of pancreatic lipase, α-glucosidase, α-amylase, and hypolipidemic effects of the total flavonoids from Nelumbo nucifera leaves. J. Ethnopharmacol. 2013, 149, 263–269. [Google Scholar] [CrossRef]
- Nguyen, N.H.; Pham, Q.T.; Luong, T.N.H.; Le, H.K.; Vo, V.G. Potential Antidiabetic Activity of Extracts and Isolated Compound from Adenosma bracteosum (Bonati). Biomolecules 2020, 10, 201. [Google Scholar] [CrossRef]
- Salahuddin, M.A.H.; Ismail, A.; Kassim, N.K.; Hamid, M.; Ali, M.S.M. Phenolic profiling and evaluation of in vitro antioxidant, α-glucosidase and α-amylase inhibitory activities of Lepisanthes fruticosa (Roxb) Leenh fruit extracts. Food Chem. 2020, 331, 127240. [Google Scholar] [CrossRef]
- Antu, K.A.; Riya, M.P.; Mishra, A.; Anilkumar, K.S.; Chandrakanth, C.K.; Tamrakar, A.K.; Srivastava, A.K.; Raghu, K.G. Antidiabetic property of Symplocos cochinchinensis is mediated by inhibition of alpha glucosidase and enhanced insulin sensitivity. PLoS ONE 2014, 9, e105829. [Google Scholar] [CrossRef] [PubMed]
- Floris, S.; Fais, A.; Medda, R.; Pintus, F.; Piras, A.; Kumar, A.; Kuś, P.M.; Westermark, G.T.; Era, B. Washingtonia filifera seed extracts inhibit the islet amyloid polypeptide fibrils formations and α-amylase and α-glucosidase activity. J. Enzyme Inhib. Med. Chem. 2021, 36, 517–524. [Google Scholar] [CrossRef] [PubMed]
- Lin, Y.T.; Lin, H.R.; Yang, C.S.; Liaw, C.C.; Sung, P.J.; Kuo, Y.H.; Cheng, M.J.; Chen, J.J. Antioxidant and Anti-α-Glucosidase Activities of Various Solvent Extracts and Major Bioactive Components from the Fruits of Crataegus pinnatifida. Antioxidants 2022, 11, 320. [Google Scholar] [CrossRef] [PubMed]
- Chen, X.; He, X.; Sun, J.; Wang, Z. Phytochemical Composition, Antioxidant Activity, α-Glucosidase and Acetylcholinesterase Inhibitory Activity of Quinoa Extract and Its Fractions. Molecules 2022, 27, 2420. [Google Scholar] [CrossRef]
- Priscilla, D.H.; Roy, D.; Suresh, A.; Kumar, V.; Thirumurugan, K. Naringenin inhibits α-glucosidase activity: A promising strategy for the regulation of postprandial hyperglycemia in high fat diet fed streptozotocin induced diabetic rats. Chem. Biol. Interact. 2014, 210, 77–85. [Google Scholar] [CrossRef]
- Yang, J.; Wang, X.; Zhang, C.; Ma, L.; Wei, T.; Zhao, Y.; Peng, X. Comparative study of inhibition mechanisms of structurally different flavonoid compounds on α-glucosidase and synergistic effect with acarbose. Food Chem. 2021, 347, 129056. [Google Scholar] [CrossRef]
- Ogi, K.; Sumitani, H. Elucidation of an α-glucosidase inhibitor from the peel of Allium cepa by principal component analysis. Biosci. Biotechnol. Biochem. 2019, 83, 751–754. [Google Scholar] [CrossRef]
- Liu, Y.; Wang, R.; Ren, C.; Pan, Y.; Li, J.; Zhao, X.; Xu, C.; Chen, K.; Li, X.; Gao, Z. Two Myricetin-Derived Flavonols from Morella rubra Leaves as Potent α-Glucosidase Inhibitors and Structure-Activity Relationship Study by Computational Chemistry. Oxid. Med. Cell. Longev. 2022, 2022, 1–16. [Google Scholar] [CrossRef]
- Tian, J.L.; Si, X.; Wang, Y.H.; Gong, E.S.; Xie, X.; Zhang, Y.; Li, B.; Shu, C. Bioactive flavonoids from Rubus corchorifolius inhibit α-glucosidase and α-amylase to improve postprandial hyperglycemia. Food Chem. 2021, 341, 128149. [Google Scholar] [CrossRef]
- Ni, M.; Hu, X.; Gong, D.; Zhang, G. Inhibitory mechanism of vitexin on α-glucosidase and its synergy with acarbose. Food Hydrocoll. 2020, 105, 105824. [Google Scholar] [CrossRef]
- Sgariglia, M.A.; Garibotto, F.M.; Soberón, J.R.; Angelina, E.L.; Andujar, S.A.; Vattuone, M.A. Study of polyphenols from Caesalpinia paraguariensis as α-glucosidase inhibitors: Kinetics and structure–activity relationship. New J. Chem. 2022, 46, 11044–11055. [Google Scholar] [CrossRef]
- Le, T.-K.-D.K.D.; Danova, A.; Aree, T.; Duong, T.-H.H.; Koketsu, M.; Ninomiya, M.; Sawada, Y.; Kamsri, P.; Pungpo, P.; Chavasiri, W. α-Glucosidase Inhibitors from the Stems of Knema globularia. J. Nat. Prod. 2022, 85, 776–786. [Google Scholar] [CrossRef]
- Ouyang, J.K.; Dong, L.M.; Xu, Q.L.; Wang, J.; Liu, S.B.; Qian, T.; Yuan, Y.F.; Tan, J.W. Triterpenoids with α-glucosidase inhibitory activity and cytotoxic activity from the leaves of Akebia trifoliata. RSC Adv. 2018, 8, 40483–40489. [Google Scholar] [CrossRef]
- Alqahtani, A.S.; Hidayathulla, S.; Rehman, M.T.; Elgamal, A.A.; Al-Massarani, S.; Razmovski-Naumovski, V.; Alqahtani, M.S.; El Dib, R.A.; Alajmi, M.F. Alpha-Amylase and Alpha-Glucosidase Enzyme Inhibition and Antioxidant Potential of 3-Oxolupenal and Katononic Acid Isolated from Nuxia oppositifolia. Biomolecules 2020, 10, 61. [Google Scholar] [CrossRef]
- Zhou, X.L.; Li, S.B.; Yan, M.Q.; Luo, Q.; Wang, L.S.; Shen, L.L.; Liao, M.L.; Lu, C.H.; Liu, X.Y.; Liang, C.Q. Bioactive dammarane triterpenoid saponins from the leaves of Cyclocarya paliurus. Phytochemistry 2021, 183, 112618. [Google Scholar] [CrossRef]
- Tran, C.-L.; Dao, T.-B.-N.; Tran, T.-N.; Mai, D.-T.; Tran, T.-M.-D.; Tran, N.-M.-A.; Dang, V.-S.; Vo, T.-X.; Duong, T.-H.; Sichaem, J.; et al. Alpha-Glucosidase Inhibitory Diterpenes from Euphorbia antiquorum Growing in Vietnam. Molecules 2021, 26, 2257. [Google Scholar] [CrossRef]
- Chen, K.; Liu, X.Q.; Wang, W.L.; Luo, J.G.; Kong, L.Y. Taxumarienes A–G, seven new α-glucosidase inhibitory taxane-diterpenoids from the leaves of Taxus mairei. Bioorg. Chem. 2020, 94, 103400. [Google Scholar] [CrossRef]
- Hu, Y.-J.; Lan, Q.; Su, B.-J.; Chen, Z.-F.; Liang, D. Structurally diverse abietane-type Diterpenoids from the aerial parts of Gaultheria leucocarpa var. yunnanensis. Phytochemistry 2022, 201, 113255. [Google Scholar] [CrossRef]
- Liu, F.; Ma, H.; Wang, G.; Liu, W.; Seeram, N.P.; Mu, Y.; Xu, Y.; Huang, X.; Li, L. Phenolics from Eugenia jambolana seeds with advanced glycation endproduct formation and alpha-glucosidase inhibitory activities. Food Funct. 2018, 9, 4246–4254. [Google Scholar] [CrossRef]
- Liu, Y.; Zhu, J.; Yu, J.; Chen, X.; Zhang, S.; Cai, Y.; Li, L. A new functionality study of vanillin as the inhibitor for α-glucosidase and its inhibition kinetic mechanism. Food Chem. 2021, 353, 129448. [Google Scholar] [CrossRef]
- Lv, Q.Q.; Cao, J.J.; Liu, R.; Chen, H.Q. Structural characterization, α-amylase and α-glucosidase inhibitory activities of polysaccharides from wheat bran. Food Chem. 2021, 341, 128218. [Google Scholar] [CrossRef]
- Zhang, M.; Yang, R.; Yu, S.; Zhao, W. A novel α-glucosidase inhibitor polysaccharide from Sargassum fusiforme. Int. J. Food Sci. Technol. 2022, 57, 67–77. [Google Scholar] [CrossRef]
- Zheng, Q.; Jia, R.-B.; Ou, Z.-R.; Li, Z.-R.; Zhao, M.; Luo, D.; Lin, L. Comparative study on the structural characterization and α-glucosidase inhibitory activity of polysaccharide fractions extracted from Sargassum fusiforme at different pH conditions. Int. J. Biol. Macromol. 2022, 194, 602–610. [Google Scholar] [CrossRef] [PubMed]
- Sheikh, Y.; Chanu, M.B.; Mondal, G.; Manna, P.; Chattoraj, A.; Chandra Deka, D.; Chandra Talukdar, N.; Chandra Borah, J. Procyanidin A2, an anti-diabetic condensed tannin extracted from Wendlandia glabrata, reduces elevated G-6-Pase and mRNA levels in diabetic mice and increases glucose uptake in CC1 hepatocytes and C1C12 myoblast cells. RSC Adv. 2019, 9, 17211–17219. [Google Scholar] [CrossRef] [PubMed]
- LEE, S.-H.; PARK, M.-H.; KANG, S.-M.; KO, S.-C.; KANG, M.-C.; CHO, S.; PARK, P.-J.; JEON, B.-T.; KIM, S.-K.; HAN, J.-S.; et al. Dieckol Isolated from Ecklonia cava Protects against High-Glucose Induced Damage to Rat Insulinoma Cells by Reducing Oxidative Stress and Apoptosis. Biosci. Biotechnol. Biochem. 2012, 76, 1445–1451. [Google Scholar] [CrossRef] [PubMed]
- Zhang, J.; Li, Y.-N.; Guo, L.-B.; He, J.; Liu, P.-H.; Tian, H.-Y.; Zhang, W.-K.; Xu, J.-K. Diverse gallotannins with α-glucosidase and α-amylase inhibitory activity from the roots of Euphorbia fischeriana steud. Phytochemistry 2022, 202, 113304. [Google Scholar] [CrossRef] [PubMed]
- Yang, J.-B.; Tian, J.-Y.; Dai, Z.; Ye, F.; Ma, S.-C.; Wang, A.-G. A-Glucosidase inhibitors extracted from the roots of Polygonum multiflorum Thunb. Fitoterapia 2017, 117, 65–70. [Google Scholar] [CrossRef]
- Tran, H.H.T.; Nguyen, M.C.; Le, H.T.; Nguyen, T.L.; Pham, T.B.; Chau, V.M.; Nguyen, H.N.; Nguyen, T.D. Inhibitors of α-glucosidase and α-amylase from Cyperus rotundus. Pharm. Biol. 2014, 52, 74–77. [Google Scholar] [CrossRef]
- Xu, Y.; Xie, L.; Xie, J.; Liu, Y.; Chen, W. Pelargonidin-3-O-rutinoside as a novel α-glucosidase inhibitor for improving postprandial hyperglycemia. Chem. Commun. 2019, 55, 39–42. [Google Scholar] [CrossRef]
- Guang, C.J.; Wu, S.F.; Zhang, Q.F.; Yin, Z.P.; Zhang, L. α-Glucosidase inhibitory effect of anthocyanins from Cinnamomum camphora fruit: Inhibition kinetics and mechanistic insights through in vitro and in silico studies. Int. J. Biol. Macromol. 2020, 143, 696–703. [Google Scholar] [CrossRef]
- Jung, H.; Ali, M.; Choi, J. Promising Inhibitory Effects of Anthraquinones, Naphthopyrone, and Naphthalene Glycosides, from Cassia obtusifolia on α-Glucosidase and Human Protein Tyrosine Phosphatases 1B. Molecules 2016, 22, 28. [Google Scholar] [CrossRef]
- Kim, J.H.; Cho, C.W.; Lee, J.I.; Vinh, L.B.; Kim, K.T.; Cho, I.S. An investigation of the inhibitory mechanism of α-glucosidase by chysalodin from Aloe vera. Int. J. Biol. Macromol. 2020, 147, 314–318. [Google Scholar] [CrossRef]
- Duong, T.H.; Hang, T.X.H.; Le Pogam, P.; Tran, T.N.; Mac, D.H.; Dinh, M.H.; Sichaem, J. α-Glucosidase Inhibitory Depsidones from the Lichen Parmotrema tsavoense. Planta Med. 2020, 86, 776–781. [Google Scholar] [CrossRef]
- Trang, D.T.; Yen, D.T.H.; Cuong, N.T.; Anh, L.T.; Hoai, N.T.; Tai, B.H.; Van Doan, V.; Yen, P.H.; Quang, T.H.; Nhiem, N.X.; et al. Pregnane glycosides from Gymnema inodorum and their α-glucosidase inhibitory activity. Nat. Prod. Res. 2021, 35, 2157–2163. [Google Scholar] [CrossRef]
- Choucry, M.A.; Shalabi, A.A.; El Halawany, A.M.; El-Sakhawy, F.S.; Zaiter, A.; Morita, H.; Chaimbault, P.; Abdel-Sattar, E. New Pregnane Glycosides Isolated from Caralluma hexagona Lavranos as Inhibitors of α-Glucosidase, Pancreatic Lipase, and Advanced Glycation End Products Formation. ACS Omega 2021, 6, 18881–18889. [Google Scholar] [CrossRef]
- Wang, Y.-F.; Yu, M.-H.; Xu, L.-J.; Niu, L.-X.; Huang, C.-Y.; Xu, H.; Yang, P.-M.; Hu, X. Diels–Alder type adducts with potent alpha-glucosidase inhibitory activity from Morus macroura. Phytochem. Lett. 2018, 26, 149–153. [Google Scholar] [CrossRef]
- Quan, Y.S.; Zhang, X.Y.; Yin, X.M.; Wang, S.H.; Jin, L.L. Potential α-glucosidase inhibitor from Hylotelephium erythrostictum. Bioorg. Med. Chem. Lett. 2020, 30, 127665. [Google Scholar] [CrossRef]
- Yang, L.; Zhang, D.; Li, J.-B.; Zhang, X.; Zhou, N.; Zhang, W.-Y.; Lu, H. Prenylated xanthones with α-glucosidase and α-amylase inhibitory effects from the pericarp of Garcinia mangostana. J. Asian Nat. Prod. Res. 2022, 24, 624–633. [Google Scholar] [CrossRef]
- Proença, C.; Ribeiro, D.; Freitas, M.; Fernandes, E. Flavonoids as potential agents in the management of type 2 diabetes through the modulation of α-amylase and α-glucosidase activity: A review. Crit. Rev. Food Sci. Nutr. 2022, 62, 3137–3207. [Google Scholar] [CrossRef]
- Bergman, M.E.; Davis, B.; Phillips, M.A. Medically Useful Plant Terpenoids: Biosynthesis, Occurrence, and Mechanism of Action. Molecules 2019, 24, 3961. [Google Scholar] [CrossRef]
- Tholl, D. Biosynthesis and biological functions of terpenoids in plants. Biotechnol. Isoprenoids 2015, 148, 63–106. [Google Scholar]
- Greay, S.J.; Hammer, K.A. Recent developments in the bioactivity of mono- and diterpenes: Anticancer and antimicrobial activity. Phytochem. Rev. 2015, 14, 1–6. [Google Scholar] [CrossRef]
- Kim, K.-H.H.; Tsao, R.; Yang, R.; Cui, S.W. Phenolic acid profiles and antioxidant activities of wheat bran extracts and the effect of hydrolysis conditions. Food Chem. 2006, 95, 466–473. [Google Scholar] [CrossRef]
- Vinayagam, R.; Jayachandran, M.; Xu, B. Antidiabetic Effects of Simple Phenolic Acids: A Comprehensive Review. Phyther. Res. 2016, 30, 184–199. [Google Scholar] [CrossRef]
- Aleixandre, A.; Gil, J.V.; Sineiro, J.; Rosell, C.M. Understanding phenolic acids inhibition of α-amylase and α-glucosidase and influence of reaction conditions. Food Chem. 2022, 372, 131231. [Google Scholar] [CrossRef]
- Deng, Y.; Huang, L.; Zhang, C.; Xie, P.; Cheng, J.; Wang, X.; Liu, L. Novel polysaccharide from Chaenomeles speciosa seeds: Structural characterization, α-amylase and α-glucosidase inhibitory activity evaluation. Int. J. Biol. Macromol. 2020, 153, 755–766. [Google Scholar] [CrossRef]
- Chen, J.; Zhang, X.; Huo, D.; Cao, C.; Li, Y.; Liang, Y.; Li, B.; Li, L. Preliminary characterization, antioxidant and α-glucosidase inhibitory activities of polysaccharides from Mallotus furetianus. Carbohydr. Polym. 2019, 215, 307–315. [Google Scholar] [CrossRef]
- Wang, B.-H.; Cao, J.-J.; Zhang, B.; Chen, H.-Q. Structural characterization, physicochemical properties and α-glucosidase inhibitory activity of polysaccharide from the fruits of wax apple. Carbohydr. Polym. 2019, 211, 227–236. [Google Scholar] [CrossRef]
- Gong, P.; Guo, Y.; Chen, X.; Cui, D.; Wang, M.; Yang, W.; Chen, F. Structural Characteristics, Antioxidant and Hypoglycemic Activities of Polysaccharide from Siraitia grosvenorii. Molecules 2022, 27, 4192. [Google Scholar] [CrossRef]
- Shahwan, M.; Alhumaydhi, F.; Ashraf, G.M.; Hasan, P.M.Z.; Shamsi, A. Role of polyphenols in combating Type 2 Diabetes and insulin resistance. Int. J. Biol. Macromol. 2022, 206, 567–579. [Google Scholar] [CrossRef]
- Szczurek, A. Perspectives on Tannins. Biomolecules 2021, 11, 442. [Google Scholar] [CrossRef] [PubMed]
- Fraga-Corral, M.; Otero, P.; Echave, J.; Garcia-Oliveira, P.; Carpena, M.; Jarboui, A.; Nuñez-Estevez, B.; Simal-Gandara, J.; Prieto, M.A. By-products of agri-food industry as tannin-rich sources: A review of tannins’ biological activities and their potential for valorization. Foods 2021, 10, 137. [Google Scholar] [CrossRef] [PubMed]
Publisher’s Note: MDPI stays neutral with regard to jurisdictional claims in published maps and institutional affiliations. |
© 2022 by the authors. Licensee MDPI, Basel, Switzerland. This article is an open access article distributed under the terms and conditions of the Creative Commons Attribution (CC BY) license (https://creativecommons.org/licenses/by/4.0/).







