Proanthocyanidins from Vaccinium vitis-idaea L. Leaves: Perspectives in Wound Healing and Designing for Topical Delivery
Abstract
1. Introduction
2. Results
2.1. Phytochemical Profiling of PRF
2.2. ‘Wound-Healing’ Properties of PRF
2.3. Characterization of Experimental Polymeric Films
2.3.1. Thickness of Films
2.3.2. Moisture of Films
- (a)
- Experimental MC-HEC films (Nos. 1–5, 7, 9, 14, 15) contained 2.5–3.0 g of PEG 400, and the moisture content in the film ranged from 3.9 to 5.1%;
- (b)
- Experimental MC-HEC films (Nos. 6, 10–13) contained 2.0 g of PEG 400 and MH0.375-P2.5 film (No. 8) contained 2.5 PEG 400; the moisture content of the films ranged from 5.5 to 7.1%.
2.3.3. Stickiness of Films
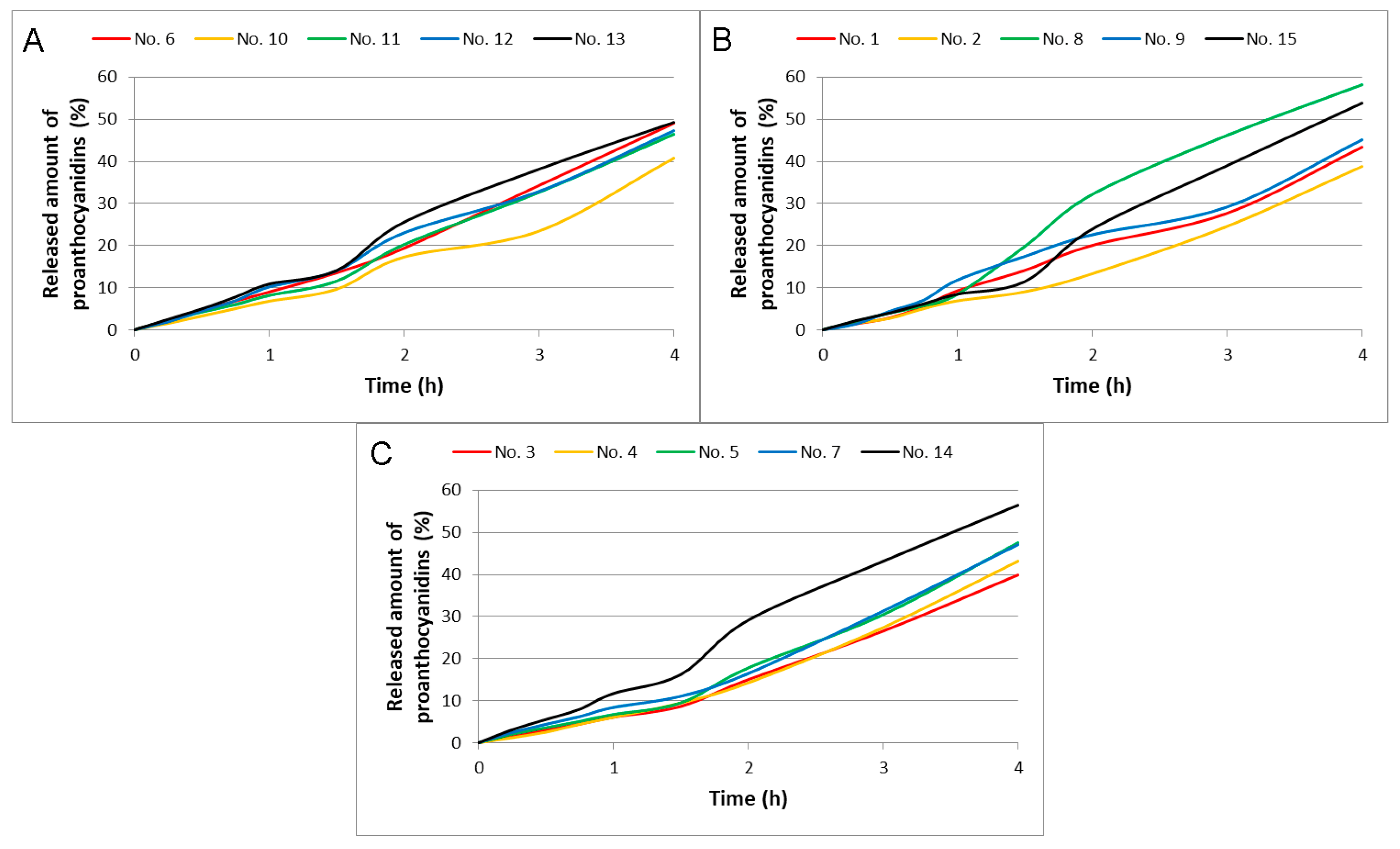
2.3.4. Proanthocyanidins Release from Films
2.3.5. Selection of the Film
3. Discussion
4. Materials and Methods
4.1. Plant Material
4.2. Chemicals and Solvents
4.3. Cell Culture
4.4. Phytochemical Analysis
4.4.1. HPLC-PDA Method
4.4.2. DMAC Method
4.5. ‘Wound Healing’ Assay
4.6. Development of Experimental Film Composition
4.6.1. Experimental Design and Optimization of the Film Composition
- Linear model (p = 0.0001) of the moisture: Y1 = −0.973X1 − 5.360X2 − 2.131X3 + 11.208;
- Linear model (p = <0.0001) of the stickiness: Y2 = −1.803X1 + 0.110X2 + 0.171X3 + 0.454;
- Linear model (p = 0.0034) of the release of biologically active compounds after 15 min: Y3 = −5.718X1 − 19.902X2 − 0.044X3 + 5.445;
- Maximum stickiness (5+);
- Maximum release after 15 min (4+);
- Minimum moisture (3+).
4.6.2. The Production of the Experimental Polymeric Films
4.6.3. Thickness Measurement
4.6.4. Moisture Measurement
4.6.5. Stickiness Measurement
- (1)
- The pre-test speed was 1 mm/s.
- (2)
- The test speed was 0.5 mm/s.
- (3)
- The post-test speed was 1 mm/s.
- (4)
- The applied force was 1 N.
- (5)
- The return distance was 10 mm.
- (6)
- The contact time was 10 s.
4.6.6. In Vitro Release Test
4.7. Statistical Analysis
5. Conclusions
Author Contributions
Funding
Institutional Review Board Statement
Informed Consent Statement
Data Availability Statement
Conflicts of Interest
References
- Kowalska, K. Lingonberry (Vaccinium vitis-idaea L.) fruit as a source of bioactive compounds with health-promoting effects—A review. Int. J. Mol. Sci. 2021, 22, 5126. [Google Scholar] [CrossRef] [PubMed]
- Kylli, P.; Nohynek, L.; Puupponen-Pimiä, R.; Westerlund-Wikström, B.; Leppänen, T.; Welling, J.; Moilanen, E.; Heinonen, M. Lingonberry (Vaccinium vitis-idaea) and European cranberry (Vaccinium microcarpon) proanthocyanidins: Isolation, identification, and bioactivities. J. Agric. Food Chem. 2011, 59, 3373–3384. [Google Scholar] [CrossRef] [PubMed]
- Qi, Q.; Chu, M.; Yu, X.; Xie, Y.; Li, Y.; Du, Y.; Liu, X.; Zhang, Z.; Shi, J.; Yan, N. Anthocyanins and proanthocyanidins: Chemical structures, food sources, bioactivities, and product development. Food Rev. Int. 2022, 1–29. [Google Scholar] [CrossRef]
- Alejo-Armijo, A.; Salido, S.; Altarejos, J. Synthesis of A-type proanthocyanidins and their analogues: A comprehensive review. J. Agric. Food Chem. 2020, 68, 8104–8118. [Google Scholar] [CrossRef] [PubMed]
- Jekabsone, A.; Sile, I.; Cochis, A.; Makrecka-Kuka, M.; Laucaityte, G.; Makarova, E.; Rimondini, L.; Bernotiene, R.; Raudone, L.; Vedlugaite, E.; et al. Investigation of antibacterial and antiinflammatory activities of proanthocyanidins from Pelargonium sidoides DC root extract. Nutrients 2019, 11, 2829. [Google Scholar] [CrossRef]
- Savickiene, N.; Jekabsone, A.; Raudone, L.; Abdelgeliel, A.S.; Cochis, A.; Rimondini, L.; Makarova, E.; Grinberga, S.; Pugovics, O.; Dambrova, M.; et al. Efficacy of proanthocyanidins from Pelargonium sidoides root extract in reducing P. gingivalis viability while preserving oral commensal S. salivarius. Materials 2018, 11, 1499. [Google Scholar] [CrossRef]
- Yu, D.; Huang, T.; Tian, B.; Zhan, J. Advances in biosynthesis and biological functions of proanthocyanidins in horticultural plants. Foods 2020, 9, 1774. [Google Scholar] [CrossRef]
- An, Q.; Gong, X.; Le, L.; Zhu, D.; Xiang, D.; Geng, F.; Zhu, H.; Peng, L.; Zou, L.; Zhao, G.; et al. Prospects for proanthocyanidins from grape seed: Extraction technologies and diverse bioactivity. Food Rev. Int. 2021, 1–20. [Google Scholar] [CrossRef]
- Grether-Beck, S.; Marini, A.; Jaenicke, T.; Krutmann, J. French maritime pine bark extract (Pycnogenol®) effects on human skin: Clinical and molecular evidence. Skin Pharmacol. Physiol. 2016, 29, 13–17. [Google Scholar] [CrossRef]
- Rajakumari, R.; Volova, T.; Oluwafemi, O.S.; Rajeshkumar, S.; Thomas, S.; Kalarikkal, N. Nano formulated proanthocyanidins as an effective wound healing component. Mater. Sci. Eng. C Mater. Biol. Appl. 2020, 106, 110056. [Google Scholar] [CrossRef] [PubMed]
- Sivaraman, K.; Sujitha, P.; Arunkumar, A.; Shanthi, C. Biocompatible films of collagen-procyanidin for wound healing applications. Appl. Biochem. Biotechnol. 2022, 194, 4002–4017. [Google Scholar] [CrossRef] [PubMed]
- Duan, Y.; Li, K.; Wang, H.; Wu, T.; Zhao, Y.; Li, H.; Tang, H.; Yang, W. Preparation and evaluation of curcumin grafted hyaluronic acid modified pullulan polymers as a functional wound dressing material. Carbohydr. Polym. 2020, 238, 116195. [Google Scholar] [CrossRef]
- Kapp, S.; Miller, C.; Santamaria, N. The quality of life of people who have chronic wounds and who self-treat. J. Clin. Nurs. 2018, 27, 182–192. [Google Scholar] [CrossRef] [PubMed]
- Sen, C.K.; Gordillo, G.M.; Roy, S.; Kirsner, R.; Lambert, L.; Hunt, T.K.; Gottrup, F.; Gurtner, G.C.; Longaker, M.T. Human skin wounds: A major and snowballing threat to public health and the economy. Wound Repair Regen. 2009, 17, 763–771. [Google Scholar] [CrossRef] [PubMed]
- Han, G.; Ceilley, R. Chronic wound healing: A review of current management and treatments. Adv. Ther. 2017, 34, 599–610. [Google Scholar] [CrossRef]
- Hemmati, A.A.; Foroozan, M.; Houshmand, G.; Moosavi, Z.B.; Bahadoram, M.; Maram, N.S. The topical effect of grape seed extract 2% cream on surgery wound healing. Glob. J. Health Sci. 2014, 7, 52–58. [Google Scholar] [CrossRef]
- Ghosh, P.K.; Gaba, A. Phyto-extracts in wound healing. J. Pharm. Pharm. Sci. 2013, 16, 760–820. [Google Scholar] [CrossRef]
- Jahan, F.; Happy, A.A.; Chowdhury, M.M.H.; Hossain, M.A. Natural herbs and spices: A great resource for skin care cosmetics. J. Plant Sci. 2019, 7, 86. [Google Scholar] [CrossRef]
- Pünnel, L.C.; Lunter, D.J. Film-forming systems for dermal drug delivery. Pharmaceutics 2021, 13, 932. [Google Scholar] [CrossRef]
- Kathe, K.; Kathpalia, H. Film forming systems for topical and transdermal drug delivery. Asian J. Pharm. Sci. 2017, 12, 487–497. [Google Scholar] [CrossRef]
- Alven, S.; Aderibigbe, B.A. Hyaluronic acid-based scaffolds as potential bioactive wound dressings. Polymers 2021, 13, 2102. [Google Scholar] [CrossRef] [PubMed]
- Sarabahi, S. Recent advances in topical wound care. Indian J. Plast. Surg. 2012, 45, 379–387. [Google Scholar] [CrossRef] [PubMed]
- Velaga, S.P.; Nikjoo, D.; Vuddanda, P.R. Experimental studies and modeling of the drying kinetics of multicomponent polymer films. AAPS PharmSciTech 2018, 19, 425–435. [Google Scholar] [CrossRef]
- Karki, S.; Kim, H.; Na, S.-J.; Shin, D.; Jo, K.; Lee, J. Thin films as an emerging platform for drug delivery. Asian J. Pharm. Sci. 2016, 11, 559–574. [Google Scholar] [CrossRef]
- Bîrsan, M.; Apostu, M.; Todoran, N.; Antonoaea, P.; Rusu, A.; Ciurba, A. Development of dermal films containing miconazole nitrate. Molecules 2018, 23, E1640. [Google Scholar] [CrossRef]
- Ferlemi, A.V.; Lamari, F.N. Berry leaves: An alternative source of bioactive natural products of nutritional and medicinal value. Antioxidants 2016, 5, 17. [Google Scholar] [CrossRef]
- Thilakarathna, W.P.D.W.; Rupasinghe, H.P.V. Optimization of the extraction of proanthocyanidins from grape seeds using ultrasonication-assisted aqueous ethanol and evaluation of anti-steatosis activity in vitro. Molecules 2022, 27, 1363. [Google Scholar] [CrossRef]
- Ștefănescu, B.E.; Szabo, K.; Mocan, A.; Crişan, G. Phenolic compounds from five Ericaceae species leaves and their related bioavailability and health benefits. Molecules 2019, 24, 2046. [Google Scholar] [CrossRef]
- Vilkickyte, G.; Raudone, L.; Petrikaite, V. Phenolic fractions from Vaccinium vitis-idaea L. and their antioxidant and anticancer activities assessment. Antioxidants 2020, 9, 1261. [Google Scholar] [CrossRef]
- Symma, N.; Hensel, A. Advanced analysis of oligomeric proanthocyanidins: Latest approaches in liquid chromatography and mass spectrometry based analysis. Phytochem. Rev. 2022, 21, 809–833. [Google Scholar] [CrossRef]
- Vilkickyte, G.; Petrikaite, V.; Pukalskas, A.; Sipailiene, A.; Raudone, L. Exploring Vaccinium vitis-idaea L. as a potential source of therapeutic agents: Antimicrobial, antioxidant, and anti-inflammatory activities of extracts and fractions. J. Ethnopharmacol. 2022, 292, 115207. [Google Scholar] [CrossRef] [PubMed]
- Bujor, O.C.; Ginies, C.; Popa, V.I.; Dufour, C. Phenolic compounds and antioxidant activity of lingonberry (Vaccinium vitis-idaea L.) leaf, stem and fruit at different harvest periods. Food Chem. 2018, 252, 356–365. [Google Scholar] [CrossRef] [PubMed]
- Zeller, W.E.; Mueller-Harvey, I. Challenges in Analyzing Bioactive Proanthocyanidins. In Recent Advances in Polyphenol Research; Reed, J.D., Pereira de Freitas, V.A., Quideau, S., Eds.; John Wiley & Sons: Hoboken, NJ, USA, 2021; Volume 7, pp. 131–175. ISBN 978-1-119-54595-8. [Google Scholar]
- Sintara, M.; Li, L.; Cunningham, D.G.; Prior, R.L.; Wu, X.; Chang, T. Single-laboratory validation for determination of total soluble proanthocyanidins in cranberry using 4-dimethylaminocinnamaldehyde. J. AOAC Int. 2018, 101, 805–809. [Google Scholar] [CrossRef] [PubMed]
- Prior, R.L.; Fan, E.; Ji, H.; Howell, A.; Nio, C.; Payne, M.J.; Reed, J. Multi-laboratory validation of a standard method for quantifying proanthocyanidins in cranberry powders. J. Sci. Food Agric. 2010, 90, 1473–1478. [Google Scholar] [CrossRef] [PubMed]
- Rodríguez-Pérez, C.; Quirantes-Piné, R.; Contreras, M.D.M.; Uberos, J.; Fernández-Gutiérrez, A.; Segura-Carretero, A. Assessment of the stability of proanthocyanidins and other phenolic compounds in cranberry syrup after gamma-irradiation treatment and during storage. Food Chem. 2015, 174, 392–399. [Google Scholar] [CrossRef]
- Khanna, S.; Venojarvi, M.; Roy, S.; Sharma, N.; Trikha, P.; Bagchi, D.; Bagchi, M.; Sen, C.K. Dermal wound healing properties of redox-active grape seed proanthocyanidins. Free Radic. Biol. Med. 2002, 33, 1089–1096. [Google Scholar] [CrossRef]
- Bainbridge, P. Wound healing and the role of fibroblasts. J. Wound Care 2013, 22, 407–408, 410–412. [Google Scholar] [CrossRef]
- Singh, S.; Young, A.; McNaught, C.E. The physiology of wound healing. Surg. Oxf. 2017, 35, 473–477. [Google Scholar] [CrossRef]
- İğci, B.K.; Aytaç, Z. An investigation on the in vitro wound healing activity and phytochemical composition of Hypericum pseudolaeve N. Robson growing in Turkey. Turk. J. Pharm. Sci. 2020, 17, 610–619. [Google Scholar] [CrossRef]
- Siriwattanasatorn, M.; Itharat, A.; Thongdeeying, P.; Ooraikul, B. In vitro wound healing activities of three most commonly used thai medicinal plants and their three markers. Evid. Based Complement. Altern. Med. 2020, 2020, 6795383. [Google Scholar] [CrossRef]
- Bolla, S.R.; Mohammed Al-Subaie, A.; Yousuf Al-Jindan, R.; Papayya Balakrishna, J.; Kanchi Ravi, P.; Veeraraghavan, V.P.; Arumugam Pillai, A.; Gollapalli, S.S.R.; Palpath Joseph, J.; Surapaneni, K.M. In vitro wound healing potency of methanolic leaf extract of Aristolochia saccata is possibly mediated by its stimulatory effect on collagen-1 expression. Heliyon 2019, 5, e01648. [Google Scholar] [CrossRef]
- Hemmati, A.A.; Aghel, N.; Rashidi, I.; Gholampur-Aghdami, A. Topical grape (Vitis vinifera) seed extract promotes repair of full thickness wound in rabbit. Int. Wound J. 2011, 8, 514–520. [Google Scholar] [CrossRef] [PubMed]
- Han, B.; Jaurequi, J.; Tang, B.W.; Nimni, M.E. Proanthocyanidin: A natural crosslinking reagent for stabilizing collagen matrices. J. Biomed. Mater. Res. A 2003, 65, 118–124. [Google Scholar] [CrossRef]
- Hedayatyanfard, K.; Haddadi, N.S.; Ziai, S.A.; Karim, H.; Niazi, F.; Steckelings, U.M.; Habibi, B.; Modarressi, A.; Dehpour, A.R. The renin-angiotensin system in cutaneous hypertrophic scar and keloid formation. Exp. Dermatol. 2020, 29, 902–909. [Google Scholar] [CrossRef] [PubMed]
- Joshi, R.; Akram, W.; Chauhan, R.; Garud, N. Thin Films: A Promising Approach for Drug Delivery System; IntechOpen: London, UK, 2022; pp. 1–25. ISBN 978-1-80355-832-5. [Google Scholar] [CrossRef]
- George, J.; Sabapathi, S.N.; Hatna, S. Water soluble polymer-based nanocomposites containing cellulose nanocrystals. In Eco-friendly Polymer Nanocomposites: Processing and Properties; Thakur, V.K., Thakur, M.K., Eds.; Springer: New Delhi, India, 2015; pp. 259–293. ISBN 978-81-322-2470-9. [Google Scholar] [CrossRef]
- Wach, R.A.; Mitomo, H.; Yoshii, F. ESR investigation on gamma-irradiated methylcellulose and hydroxyethylcellulose in dry state and in aqueous solution. J. Radioanal. Nucl. Chem. 2004, 261, 113–118. [Google Scholar] [CrossRef]
- D’souza, A.A.; Shegokar, R. Polyethylene glycol (PEG): A versatile polymer for pharmaceutical applications. Expert Opin. Drug Deliv. 2016, 13, 1257–1275. [Google Scholar] [CrossRef]
- Sothornvit, R.; Krochta, J.M. Plasticizers in Edible Films and Coatings. In Innovations in Food Packaging; Han, J.H., Ed.; Academic Press: London, UK, 2005; pp. 403–433. ISBN 978-0-12-311632-1. [Google Scholar] [CrossRef]
- Panchal, M.S.; Patel, H.; Bagada, A.; Vadalia, K.R. Formulation and evaluation of mouth dissolving film of ropinirole hydrochloride by using pullulan polymers. Int. J. Pharm. Res. Allied Sci. 2012, 1, 60–72. [Google Scholar]
- Dobhal, N.; Bhatt, J.; Joshi, B.C. Formulation and characterization of amlodipine loaded in-situ film forming hydrogen for dermal drug delivery. J. Med. Pharm. 2022, 11, 4928–4933. [Google Scholar] [CrossRef]
- Wei, C.; Yen, J.-Y. Effect of Film Thickness and interlayer on the adhesion strength of diamond like carbon films on different substrates. Diam. Relat. Mater. 2007, 16, 1325–1330. [Google Scholar] [CrossRef]
- Jongjareonrak, A.; Benjakul, S.; Visessanguan, W.; Tanaka, M. Effects of plasticizers on the properties of edible films from skin gelatin of bigeye snapper and brownstripe red snapper. Eur. Food Res. Technol. 2006, 222, 229–235. [Google Scholar] [CrossRef]
- Okur, M.E.; Ayla, Ş.; Batur, Ş.; Yoltaş, A.; Genç, E.; Pertek, S.; Üstündağ Okur, N. Evaluation of in situ gel containing pycnogenol for cutaneous wound healing. Medeni. Med. J. 2019, 34, 67–75. [Google Scholar] [CrossRef]
- Smeriglio, A.; Barreca, D.; Bellocco, E.; Trombetta, D. Proanthocyanidins and hydrolysable tannins: Occurrence, dietary intake and pharmacological effects. Br. J. Pharmacol. 2017, 174, 1244–1262. [Google Scholar] [CrossRef] [PubMed]
- Karlsson, K.; Schuster, E.; Stading, M.; Rigdahl, M. Foaming behavior of water-soluble cellulose derivatives: Hydroxypropyl methylcellulose and ethyl hydroxyethyl cellulose. Cellulose 2015, 22, 2651–2664. [Google Scholar] [CrossRef]
- Gupta, E.; Mishra, P. Functional food with some health benefits, so called superfood: A review. Curr. Nutr. Food Sci. 2021, 17, 144–166. [Google Scholar] [CrossRef]
- Zulfakar, M.H.; Goh, J.Y.; Rehman, K. Development and mechanical characterization of eugenol–cetalkonium chloride sustained release mucoadhesive oral film. Polym. Compos. 2016, 37, 3200–3209. [Google Scholar] [CrossRef]
- Siafaka, P.I.; Zisi, A.P.; Exindari, M.K.; Karantas, I.D.; Bikiaris, D.N. Porous dressings of modified chitosan with poly(2-hydroxyethyl acrylate) for topical wound delivery of levofloxacin. Carbohydr. Polym. 2016, 143, 90–99. [Google Scholar] [CrossRef] [PubMed]
- Dogan, E.; Yanmaz, L.; Gedikli, S.; Ersoz, U.; Okumus, Z. The effect of Pycnogenol on wound healing in diabetic rats. Ostomy Wound Manag. 2017, 63, 41–47. [Google Scholar]
- Liu, W.C.; Wang, H.Y.; Lee, T.H.; Chung, R.J. Gamma-poly glutamate/gelatin composite hydrogels crosslinked by proanthocyanidins for wound healing. Mater. Sci. Eng. C 2019, 101, 630–639. [Google Scholar] [CrossRef] [PubMed]
- Surini, S. Cosmetic serum containing grape (Vitis vinifera L.) Seed extract phytosome: Formulation and in vitro penetration study. J. Young Pharm. 2018, 10, 51–55. [Google Scholar] [CrossRef]
- Nunes, M.A.; Rodrigues, F.; Oliveira, M.B.P.P. Grape Processing by-Products as Active Ingredients for Cosmetic Proposes. In Handbook of Grape Processing By-Products; Galanakis, C.M., Ed.; Academic Press: London, UK, 2017; pp. 267–292. ISBN 978-0-12-809870-7. [Google Scholar] [CrossRef]
- Gugleva, V.; Ivanova, N.; Sotirova, Y.; Andonova, V. Dermal drug delivery of phytochemicals with phenolic structure via lipid-based nanotechnologies. Pharmaceuticals 2021, 14, 837. [Google Scholar] [CrossRef] [PubMed]
- Stravinskiene, D.; Sliziene, A.; Baranauskiene, L.; Petrikaite, V.; Zvirbliene, A. Inhibitory monoclonal antibodies and their recombinant derivatives targeting surface-exposed carbonic anhydrase XII on cancer cells. Int. J. Mol. Sci. 2020, 21, 9411. [Google Scholar] [CrossRef]
- Amarachinta, P.R.; Sharma, G.; Samed, N.; Chettupalli, A.K.; Alle, M.; Kim, J.C. Central composite design for the development of carvedilol-loaded transdermal ethosomal hydrogel for extended and enhanced anti-hypertensive effect. J. Nanobiotechnol. 2021, 19, 100. [Google Scholar] [CrossRef] [PubMed]
- Hubner, P.; Marcilio, N.R.; Tessaro, I.C. Gelatin/poly(vinyl alcohol) based hydrogel film—A potential biomaterial for wound dressing: Experimental design and optimization followed by rotatable central composite design. J. Biomater. Appl. 2021, 36, 682–700. [Google Scholar] [CrossRef] [PubMed]
- Kalkan, S.; Otağ, M.R.; Engin, M.S. Physicochemical and bioactive properties of edible methylcellulose films containing Rheum ribes L. Extract. Food Chem. 2020, 307, 125524. [Google Scholar] [CrossRef]
- Laffleur, F.; Ataii, M.; Nagler, M. Evaluation of cellulose based films comprising tea tree oil against dermatophytes and yeasts. Eur. J. Pharm. Sci. 2021, 167, 105989. [Google Scholar] [CrossRef] [PubMed]






| Films No. | Code * | Thickness (µm) | Moisture (%) | Stickiness (N) |
|---|---|---|---|---|
| 1 | MH0.425-P2.5 | 470 ± 16 | 4.6 ± 0.4 | 0.275 ± 0.008 |
| 2 | MH0.400-P2.5 | 348 ± 9 | 4.5 ± 0.2 | 0.362 ± 0.011 |
| 3 | MH0.400-P3.0 | 323 ± 9 | 4.6 ± 0.9 | 0.419 ± 0.012 |
| 4 | MH0.450-P3.0 | 408 ± 5 | 3.9 ± 0.3 | 0.366 ± 0.007 |
| 5 | MH0.400-P3.0 | 429 ± 20 | 4.1 ± 0.4 | 0.386 ± 0.024 |
| 6 | MH0.400-P2.0 | 285 ± 13 | 7.1 ± 1.0 | 0.143 ± 0.017 |
| 7 | MH0.400-P3.0 | 441 ± 19 | 4.3 ± 0.1 | 0.327 ± 0.017 |
| 8 | MH0.375-P2.5 | 426 ± 11 | 5.5 ± 0.4 | 0.370 ± 0.031 |
| 9 | MH0.425-P2.5 | 522 ± 33 | 5.1 ± 0.4 | 0.275 ± 0.015 |
| 10 | MH0.400-P2.0 | 304 ± 6 | 5.7 ± 0.5 | 0.264 ± 0.006 |
| 11 | MH0.400-P2.0 | 322 ± 5 | 6.4 ± 0.8 | 0.191 ± 0.008 |
| 12 | MH0.450-P2.0 | 340 ± 7 | 6.3 ± 0.3 | 0.179 ± 0.017 |
| 13 | MH0.350-P2.0 | 262 ± 18 | 6.3 ± 0.7 | 0.276 ± 0.010 |
| 14 | MH0.350-P3.0 | 373 ± 19 | 4.4 ± 0.3 | 0.412 ± 0.027 |
| 15 | MH0.375-P2.5 | 369 ± 25 | 4.8 ± 0.2 | 0.319 ± 0.005 |
| Properties | Stickiness (N) | Release after 0.25 h (%) | Moisture (%) |
|---|---|---|---|
| Theoretical value | 0.432 | 2.60 | 4.3 |
| Experimental value | 0.412 | 3.12 | 4.4 |
| Films No. | MC Amount (g) | HEC Amount (g) | PEG 400 Amount (g) | The Ratio between MC:HEC | The Ratio between Polymers Mixture: PEG 400 | Code * |
|---|---|---|---|---|---|---|
| 1 | 0.350 | 0.075 | 2.5 | 4.7:1 | 1:5.9 | MH0.425-P2.5 |
| 2 | 0.325 | 0.075 | 2.5 | 4.3:1 | 1:6.3 | MH0.400-P2.5 |
| 3 | 0.300 | 0.100 | 3.0 | 3.0:1 | 1:7.5 | MH0.400-P3.0 |
| 4 | 0.350 | 0.100 | 3.0 | 3.5:1 | 1:6.7 | MH0.450-P3.0 |
| 5 | 0.325 | 0.075 | 3.0 | 4.3:1 | 1:7.5 | MH0.400-P3.0 |
| 6 | 0.350 | 0.050 | 2.0 | 7.0:1 | 1:5.0 | MH0.400-P2.0 |
| 7 | 0.350 | 0.050 | 3.0 | 7.0:1 | 1:7.5 | MH0.400-P3.0 |
| 8 | 0.300 | 0.075 | 2.5 | 4.0:1 | 1:6.7 | MH0.375-P2.5 |
| 9 | 0.325 | 0.100 | 2.5 | 3.3:1 | 1:5.9 | MH0.425-P2.5 |
| 10 | 0.300 | 0.100 | 2.0 | 3.0:1 | 1:5.0 | MH0.400-P2.0 |
| 11 | 0.325 | 0.075 | 2.0 | 4.3:1 | 1:5.0 | MH0.400-P2.0 |
| 12 | 0.350 | 0.100 | 2.0 | 3.5:1 | 1:4.4 | MH0.450-P2.0 |
| 13 | 0.300 | 0.050 | 2.0 | 6.0:1 | 1:5.7 | MH0.350-P2.0 |
| 14 | 0.300 | 0.050 | 3.0 | 6.0:1 | 1:8.6 | MH0.350-P3.0 |
| 15 | 0.325 | 0.050 | 2.5 | 6.5:1 | 1:6.7 | MH0.375-P2.5 |
Publisher’s Note: MDPI stays neutral with regard to jurisdictional claims in published maps and institutional affiliations. |
© 2022 by the authors. Licensee MDPI, Basel, Switzerland. This article is an open access article distributed under the terms and conditions of the Creative Commons Attribution (CC BY) license (https://creativecommons.org/licenses/by/4.0/).
Share and Cite
Vilkickyte, G.; Zilius, M.; Petrikaite, V.; Raudone, L. Proanthocyanidins from Vaccinium vitis-idaea L. Leaves: Perspectives in Wound Healing and Designing for Topical Delivery. Plants 2022, 11, 2615. https://doi.org/10.3390/plants11192615
Vilkickyte G, Zilius M, Petrikaite V, Raudone L. Proanthocyanidins from Vaccinium vitis-idaea L. Leaves: Perspectives in Wound Healing and Designing for Topical Delivery. Plants. 2022; 11(19):2615. https://doi.org/10.3390/plants11192615
Chicago/Turabian StyleVilkickyte, Gabriele, Modestas Zilius, Vilma Petrikaite, and Lina Raudone. 2022. "Proanthocyanidins from Vaccinium vitis-idaea L. Leaves: Perspectives in Wound Healing and Designing for Topical Delivery" Plants 11, no. 19: 2615. https://doi.org/10.3390/plants11192615
APA StyleVilkickyte, G., Zilius, M., Petrikaite, V., & Raudone, L. (2022). Proanthocyanidins from Vaccinium vitis-idaea L. Leaves: Perspectives in Wound Healing and Designing for Topical Delivery. Plants, 11(19), 2615. https://doi.org/10.3390/plants11192615

