The Structural, Biological, and In-Silico Profiling of Novel Capryloyl Tetra-Glucoside and Aliphatic Ester Constituents from the Abutilon indicum Offers New Perspectives on the Treatment of Pain and Inflammation
Abstract
1. Introduction
2. Materials and Methods
2.1. Collection of Plant Material
2.2. Extraction and Isolation
2.3. General Experimental Procedures
2.4. Animals
2.4.1. Safety Profile Study
2.4.2. Administration of Drugs
2.4.3. Carrageenan-Induced Rat Hind Paw Edema
2.4.4. Analgesic Activity
Hot Plate Test
Acetic Acid-Induced Writhing Test
2.5. ADMET Analysis
2.6. Molecular Docking
2.6.1. Ligand Preparation
2.6.2. Protein Preparation
2.7. Statistical Analysis
3. Results
3.1. Structural Profiling of Isolated Phytoconstituents
3.1.1. Compound (AB-01)- 5′ Hydoxyl Palmitate
3.1.2. Compound (AB-02)- Capryloyl Diglucoside
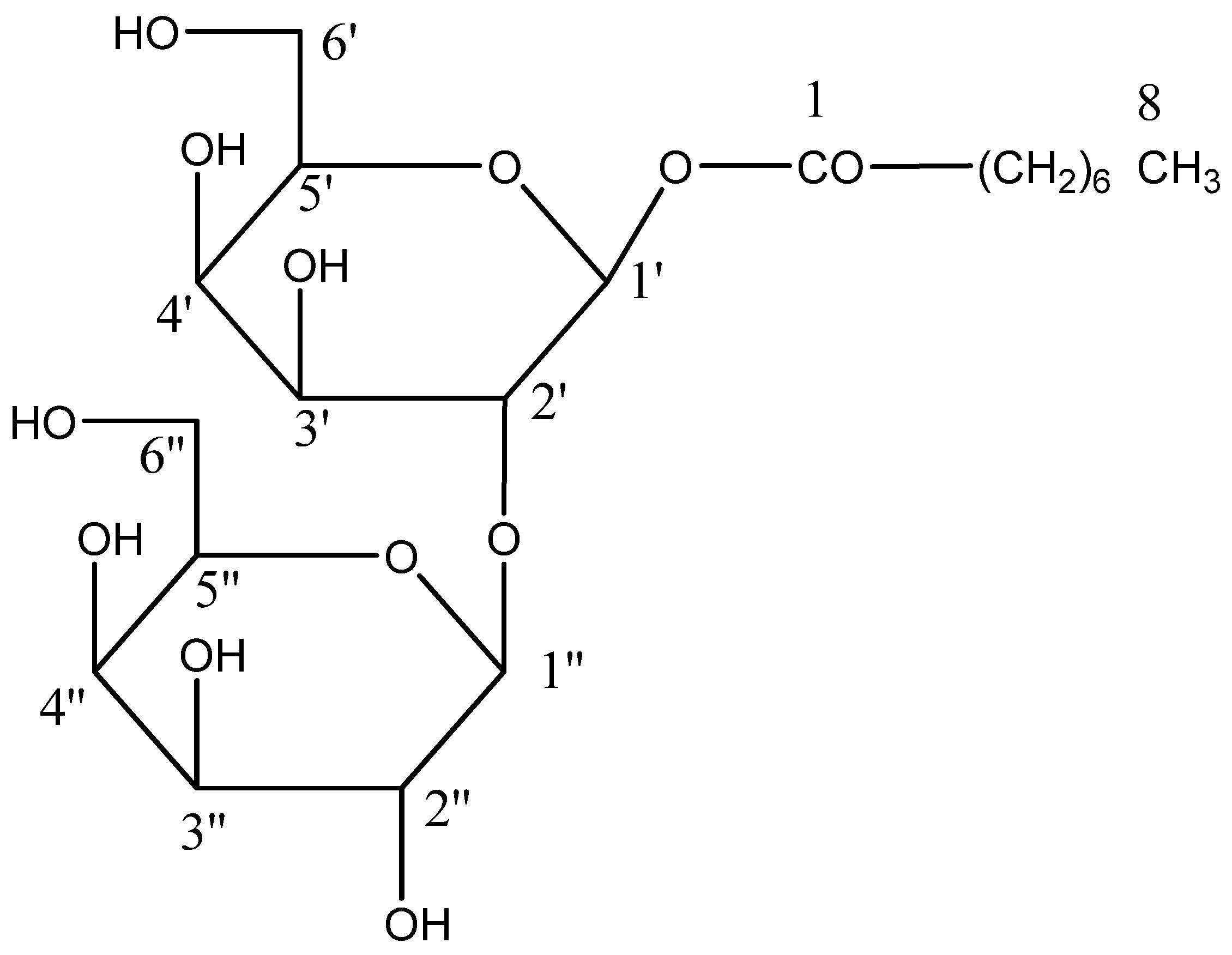
3.1.3. Compound (AB-03)- Capryl Diglucoside
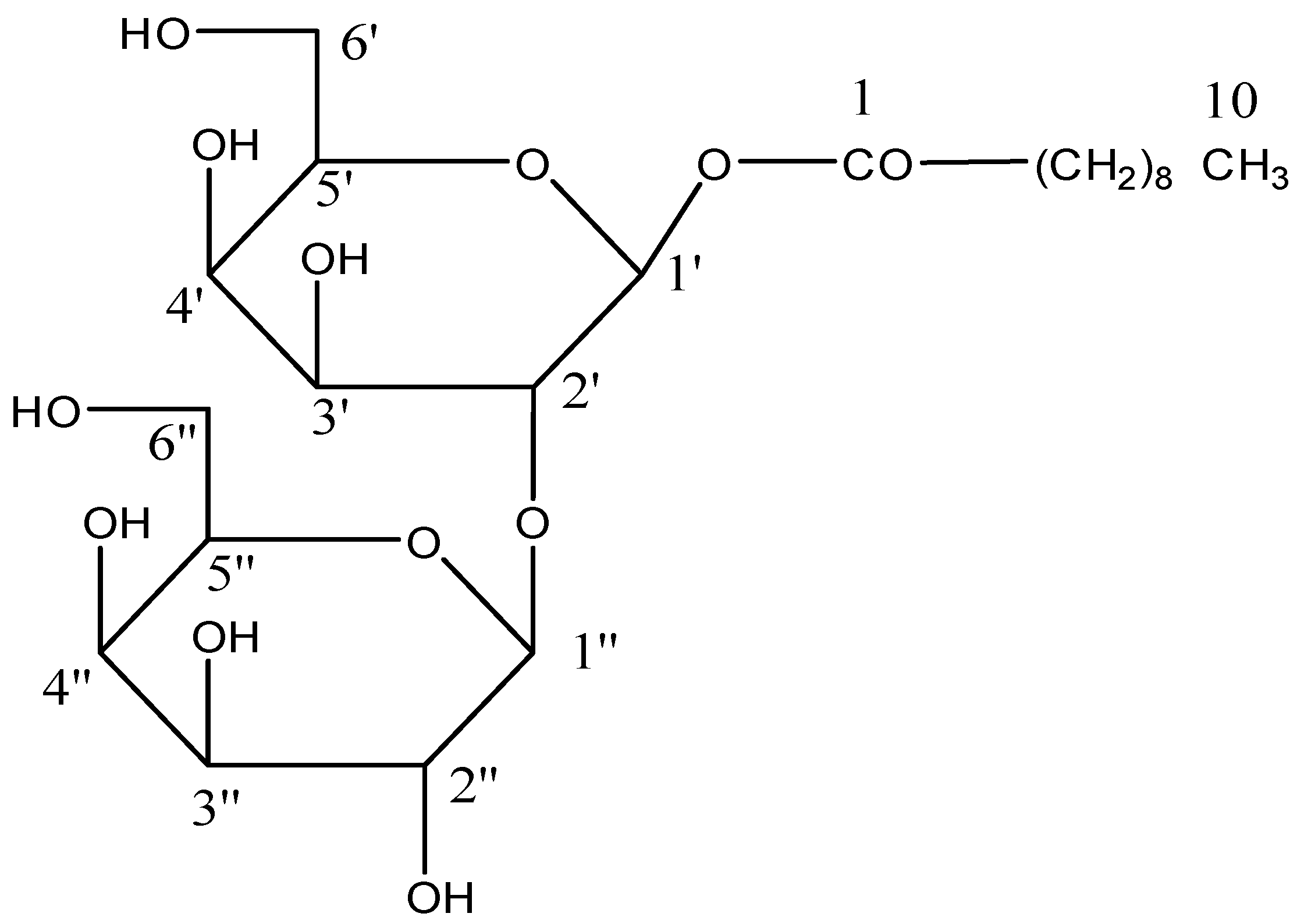
3.1.4. Compound (AB-04)- Palmityl Diglucoside
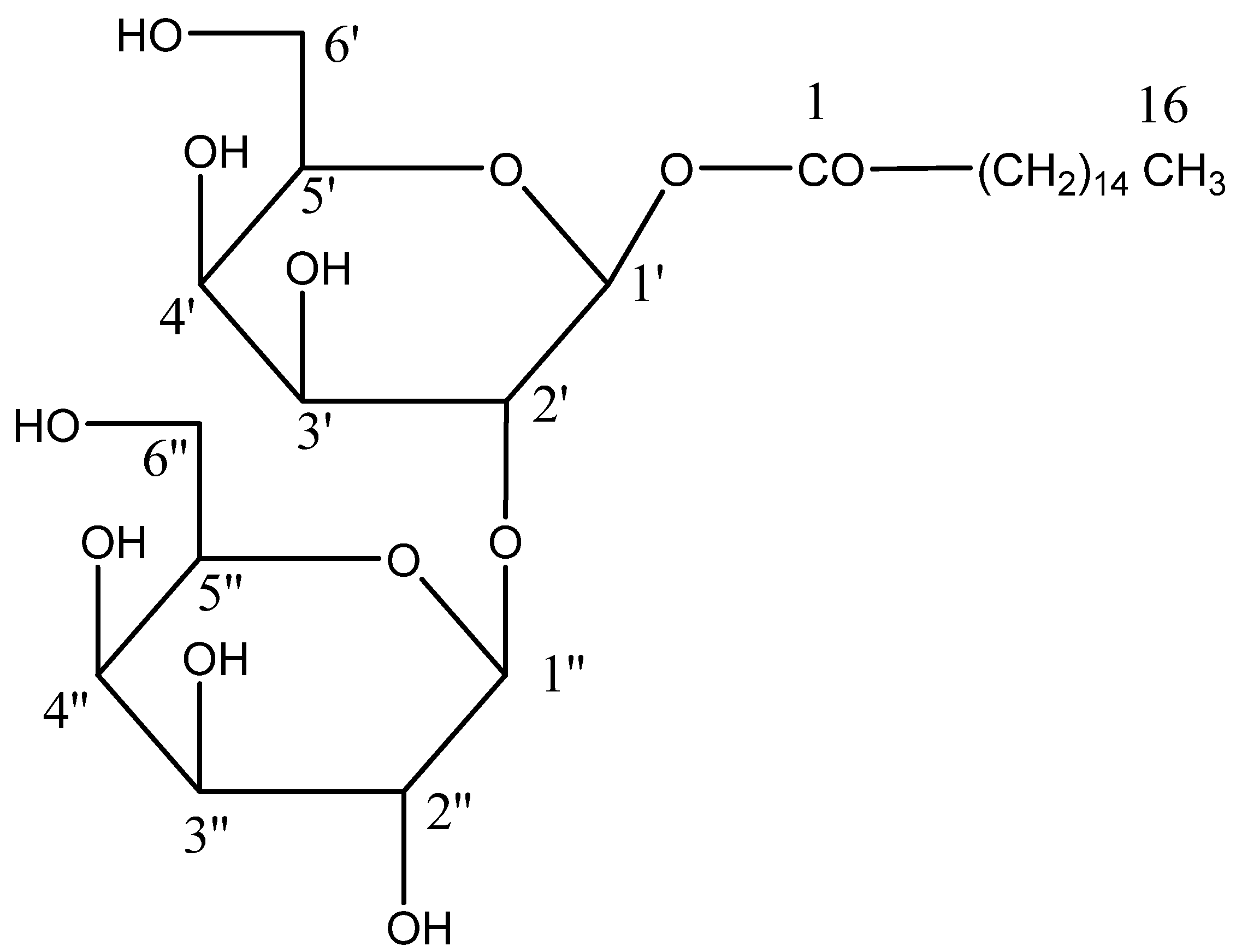
3.1.5. Compound (AB-05)- Capryloyl Tetraglucoside
3.2. Safety Profile Study
3.3. Carrageenan-Induced Rat Paw Edema
3.4. Hot Plate Test
3.5. Acetic Acid-Induced Writhing Methods
3.6. ADMET Analysis
3.7. Molecular Docking
4. Discussion
5. Conclusions
Supplementary Materials
Author Contributions
Funding
Data Availability Statement
Acknowledgments
Conflicts of Interest
References
- Ahmed, S.; Rahman, A.; Mathur, M.; Athar, M.; Sultana, S. Anti-Tumor Promoting Activity of Asteracantha Longifolia against Experimental Hepatocarcinogenesis in Rats. Food Chem. Toxicol. 2001, 39, 19–28. [Google Scholar] [CrossRef]
- Chauhan, N.; Kumar, D.; Kasana, M.S. Medicinal Plants of Muzaffarnagar District Used in Treatment of Urinary Tract and Kidney Stones. Indian J. Tradit. Knowl. 2009, 8, 191–195. [Google Scholar]
- Raja, R.R.; Kailasam, K.V. Abutilon Indicum L. (Malvaceae)-Medicinal Potential Review. Pharmacogn. J. 2015, 7, 330–332. [Google Scholar] [CrossRef]
- Baek, S.J.; Krisanapun, C.; Lee, S.H.; Peungvicha, P.; Temsiririrkkul, R. Antidiabetic Activities of Abutilon Indicum (L.) Sweet Are Mediated by Enhancement of Adipocyte Differentiation and Activation of the GLUT1 Promoter. Evid. -Based Complement. Altern. Med. 2011, 2011, 167684. [Google Scholar] [CrossRef]
- Chakraborty, A.; Chandewar, A.; Charde, M. Phytochemical Screening & in Vivo Fertility Enhancing Activity (Aphrodisiac) of Abutilon Indicum Roots on Male Wistar Rats. Asian J. Chem. Sci. 2017, 2, 1–9. [Google Scholar] [CrossRef]
- Kuo, P.C.; Yang, M.L.; Wu, P.L.; Shih, H.N.; Thang, T.D.; Dung, N.X.; Wu, T.S. Chemical Constituents from Abutilon Indicum. J. Asian Nat. Prod. Res. 2008, 10, 689–693. [Google Scholar] [CrossRef] [PubMed]
- Porchezhian, E.; Ansari, S.H. Hepatoprotective Activity of Abutilon Indicum on Experimental Liver Damage in Rats. Phytomedicine 2005, 12, 62–64. [Google Scholar] [CrossRef]
- Srividya, A.R.; Dhanabal, S.P.; Jeevitha, S.; Varthan, V.J.V.; Kumar, R.R. Relationship between Antioxidant Properties and Chemical Composition of Abutilon Indicum Linn. Indian J. Pharm. Sci. 2012, 74, 163–167. [Google Scholar] [CrossRef]
- Hussain, M.S.; Fareed, S.; Ali, M.; Alam, M.S.; Rahman, M.A.; Srivastava, A.K. Phytochemical Investigation and Simultaneous Estimation of Bioactive Lupeol and Stigmasterol in Abutilon Indicum by Validated HPTLC Method. J. Coast. Life Med. 2014, 2, 394–401. [Google Scholar] [CrossRef]
- Hussain, M.S.; Fareed, S.; Ali, M.; Rahman, M.A. Validation of the Method for the Simultaneous Estimation of Bioactive Marker Gallic Acid and Quercetin in Abutilon Indicum by HPTLC. Asian Pac. J. Trop. Dis. 2012, 2, S76–S83. [Google Scholar] [CrossRef]
- Tripathi, P.; Chauhan, N.S.; Patel, J.R. Anti-Inflammatory Activity of Abutilon Indicum Extract. Nat. Prod. Res. 2012, 26, 1659–1661. [Google Scholar] [CrossRef] [PubMed]
- Abdul, M.; Sarker, A.A.; Saiful, I.; Muniruddin, A. Cytotoxic and Antimicrobial Activity of the Crude Extract of Abutilon Indicum. Differences 2010, 2, 2–5. [Google Scholar]
- Bondre, A.V.; Akare, S.C.; Mourya, P.; Wanjari, A.D.; Tarte, P.S.; Paunikar, G.V. In Vitro Cytotoxic Activity of Leaves of Abutilon Indicum Linn. Against Ehrlich Ascites Carcinoma and Dalton’s Ascitic Lymphoma Cell Line. Res. J. Pharmacog. Phytochem. 2009, 1, 72–74. [Google Scholar]
- Seetharam, Y.N.; Chalageri, G. Bheemachar Hypoglycemic Activity of Abutilon Indicum Leaf Extracts in Rats. Fitoterapia 2002, 73, 156–159. [Google Scholar] [CrossRef]
- Chandrashekhar, V.M.; Nagappa, A.N.; Channesh, T.S.; Habbu, P.V.; Rao, K.P. Anti-Diarrhoeal Activity of Abutilon Indicum Linn Leaf Extracts. J. Nat. Remedies 2004, 4, 12–16. [Google Scholar]
- Kaladhar, D.S.V.G.K.; Saranya, K.S.; Vadlapudi, V.; Yarla, N.S. Evaluation of Anti-Inflammatory and Anti-Proliferative Activity of Abutilon Indicum l. Plant Ethanolic Leaf Extract on Lung Cancer Cell Line A549 for System Network Studies. J. Cancer Sci. Ther. 2014, 6, 195–201. [Google Scholar] [CrossRef]
- Sharma, S.K.; Sharma, S.M.; Vipin, S.; Sharmistha, M. Evaluation of Analgesic and Anti-Inflammatory Activity of Abutilon Indicum. Int. J. Drug Dev. Res. 2013, 5, 402–407. [Google Scholar]
- Bhajipale, N.S. Evaluation Of Anti-Arthritic Activity Of Methanolic Extract Of Abutilon Indicum. Int. J. Ayurvedic Herb. Med. 2012, 3, 598–603. [Google Scholar]
- Paranjhape, A.N.; Mehta, A.A. A Study on Clinical Efficacy of Abutilon Indicum in Treatment of Bronchial Asthma. Orient. Pharm. Exp. Med. 2006, 6, 330–335. [Google Scholar] [CrossRef][Green Version]
- Dashputre, N.; Naikwade, N.S. Immunomodulatory Activity of Abutilon Indicum Linn on Albino Mice. Ijpsr. Info. 2010, 1, 178–184. [Google Scholar]
- Alsayari, A.; Bin Muhsinah, A.; Almaghaslah, D.; Annadurai, S.; Wahab, S. Pharmacological Efficacy of Ginseng against Respiratory Tract Infections. Molecules 2021, 26, 4095. [Google Scholar] [CrossRef]
- Emon, N.U.; Rudra, S.; Alam, S.; Al Haidar, I.K.; Paul, S.; Richi, F.T.; Shahriar, S.; Sayeed, M.A.; Tumpa, N.I.; Ganguly, A. Chemical, Biological and Protein-Receptor Binding Profiling of Bauhinia Scandens L. Stems Provide New Insights into the Management of Pain, Inflammation, Pyrexia and Thrombosis. Biomed. Pharmacother. 2021, 143, 112185. [Google Scholar] [CrossRef] [PubMed]
- Alsayari, A.; Wahab, S. Genus Ziziphus for the Treatment of Chronic Inflammatory Diseases. Saudi. J. Biol. Sci. 2021, 28, 6897–6914. [Google Scholar] [CrossRef] [PubMed]
- Alberto, A.V.P.; da Silva Ferreira, N.C.; Soares, R.F.; Alves, L.A. Molecular Modeling Applied to the Discovery of New Lead Compounds for P2 Receptors Based on Natural Sources. Front. Pharmacol. 2020, 11, 1221. [Google Scholar] [CrossRef] [PubMed]
- Alshehri, S.A.; Wahab, S.; Abullais, S.S.; Das, G.; Hani, U.; Ahmad, W.; Amir, M.; Ahmad, A.; Kandasamy, G.; Vasudevan, R. Pharmacological Efficacy of Tamarix Aphylla: A Comprehensive Review. Plants 2022, 11, 118. [Google Scholar] [CrossRef]
- Hussain, M.S.; Azam, F.; Ahamed, K.F.H.N.; Ravichandiran, V.; Alkskas, I. Anti-Endotoxin Effects of Terpenoids Fraction from Hygrophila Auriculata in Lipopolysaccharide-Induced Septic Shock in Rats. Pharm. Biol. 2016, 54, 628–636. [Google Scholar] [CrossRef]
- Iqbal, S.S.; Mujahid, M.; Kashif, S.M.; Khalid, M.; Badruddeen; Arif, M.; Bagga, P.; Akhtar, J.; Rahman, M.A. Protection of Hepatotoxicity Using Spondias Pinnata by Prevention of Ethanol-Induced Oxidative Stress, DNA-Damage and Altered Biochemical Markers in Wistar Rats. Integr. Med. Res. 2016, 5, 267–275. [Google Scholar] [CrossRef]
- Sachan, N.; Arif, M.; Zaman, K.; Kumar, Y. Anti-Inflammatory, Analgesic and Antioxidant Potential of the Stem Bark of Spondias Mangifera Willd. Arch. Biol. Sci. 2011, 63, 413–419. [Google Scholar] [CrossRef]
- Delporte, C.; Backhouse, N.; Erazo, S.; Negrete, R.; Vidal, P.; Silva, X.; López-Pérez, J.L.; Feliciano, A.S.; Muñoz, O. Analgesic-Antiinflammatory Properties of Proustia Pyrifolia. J. Ethnopharmacol. 2005, 99, 119–124. [Google Scholar] [CrossRef]
- Azam, F.; Taban, I.M.; Eid, E.E.M.; Iqbal, M.; Alam, O.; Khan, S.; Mahmood, D.; Anwar, M.J.; Khalilullah, H.; Khan, M.U. An In-Silico Analysis of Ivermectin Interaction with Potential SARS-CoV-2 Targets and Host Nuclear Importin α. J. Biomol. Struct. Dyn. 2022, 40, 2851–2864. [Google Scholar] [CrossRef]
- Khalid, M.; Alqarni, M.H.; Alsayari, A.; Foudah, A.I.; Aljarba, T.M.; Mukim, M.; Alamri, M.A.; Abullais, S.S.; Wahab, S. Anti-Diabetic Activity of Bioactive Compound Extracted from Spondias Mangifera Fruit: In-Vitro and Molecular Docking Approaches. Plants 2022, 11, 562. [Google Scholar] [CrossRef] [PubMed]
- Ahmed, M.; Azam, F.; Rghigh, A.; Gbaj, A.; Zetrini, A. Structure-Based Design, Synthesis, Molecular Docking, and Biological Activities of 2-(3-Benzoylphenyl) Propanoic Acid Derivatives as Dual Mechanism Drugs. J. Pharm. Bioallied Sci. 2012, 4, 43. [Google Scholar] [CrossRef] [PubMed]
- Azam, F.; Taban, I.; Rfieda, A.R.; Sizochenko, N.; Suliman Abodabos, H.; Taban, I.M.; Rfieda, A.R.; Mahmood, D.; Anwar, J.; Khan, S.; et al. Rutin as Promising Drug for the Treatment of Parkinson’s Disease: An Assessment of MAO-B Inhibitory Potential by Docking, Molecular Dynamics and DFT Studies. Taylor Fr. 2019, 45, 1563–1571. [Google Scholar] [CrossRef]
- Khalid, M.; Alqarni, M.H.; Wahab, S.; Annadurai, S.; Alamri, M.A.; Foudah, A.I.; Aljarba, T.M.; Akhtar, J.; Badruddeen; Ahmad, S. Ameliorative Sexual Behavior and Phosphodiesterase-5 Inhibitory Effects of Spondias Mangifera Fruit Extract in Rodents: In Silico, In Vitro, and In Vivo Study. J. Clin. Med. 2022, 11, 3732. [Google Scholar] [CrossRef] [PubMed]
- Azam, F.; Mohamed, N.; Alhussen, F. Molecular Interaction Studies of Green Tea Catechins as Multitarget Drug Candidates for the Treatment of Parkinsons Disease: Computational and Structural Insights. Netw. Comput. Neural Syst. 2015, 26, 97–115. [Google Scholar] [CrossRef]
- Azam, F.; Vijaya Vara Prasad, M.; Thangavel, N.; Kumar Shrivastava, A.; Mohan, G. Structure-Based Design, Synthesis and Molecular Modeling Studies of Thiazolyl Urea Derivatives as Novel Anti-Parkinsonian Agents. Med. Chem. 2012, 8, 1057–1068. [Google Scholar] [CrossRef]
- Tiwari, P.; Kumar, B.; Mandeep, K.; Kaur, G.; Kaur, H. Phytochemical Screening and Extraction: A Review. Int. Pharm. Sci. 2011, 1, 98–106. [Google Scholar]
- Vallabh, D.; Jadhav, V.; Kadam, V.J. In-Vitro Anti-Arthritic Activity of Abutilon Indicum (Linn.) Sweet. J. Pharm. Res. 2009, 2, 644–645. [Google Scholar]
- Truter, I. Clinical Review: Hyper-and Hypothyroidism: Evidence-Based Pharmacy Practice. SA Pharm. J. 2011, 78, 10–14. [Google Scholar]
- He, M.M.; Smith, A.S.; Oslob, J.D.; Flanagan, W.M.; Braisted, A.C.; Whitty, A.; Cancilla, M.T.; Wang, J.; Lugovskoy, A.A.; Yoburn, J.C.; et al. Medicine: Small-Molecule Inhibition of TNF-α. Science 2005, 310, 1022–1025. [Google Scholar] [CrossRef]
- Mukherjee, P.K.; Saha, K.; Das, J.; Pal, M.; Saha, B.P. Studies on the Anti-Inflammatory Activity of Rhizomes of Nelumbo Nucifera. Planta Med. 1997, 63, 367–369. [Google Scholar] [CrossRef] [PubMed]















| Compound | AB 01 | AB 02 | AB 03 | AB 04 | AB 05 |
|---|---|---|---|---|---|
| Mol. Wt. | 356.591 | 468.497 | 496.551 | 580.712 | 792.781 |
| Rot bond | 18 | 18 | 20 | 26 | 30 |
| H-bond donor | 1 | 7 | 7 | 7 | 13 |
| H-bond acceptor | 3.7 | 19 | 19 | 19 | 36 |
| Dipole | 1.712 | 4.111 | 1.514 | 3.253 | 3.36 |
| QPlogPo/w | 5.922 | −2.055 | −1.487 | 0.334 | −6.255 |
| QPlogHERG | −5.85 | −4.589 | −4.972 | −5.887 | −4.01 |
| QPPCaco (nm/s) | 1193.933 | 25.694 | 26.629 | 25.667 | 5.006 |
| QPlogBB | −1.723 | −3.359 | −3.617 | −4.479 | −4.523 |
| QPPMDCK (nm/s) | 599.178 | 9.453 | 9.825 | 9.442 | 1.272 |
| QPlogKp | −1.599 | −5.655 | −5.697 | −4.852 | −7.971 |
| Percent Human Oral Absorption | 100 | 15.69 | 19.382 | 17.071 | 0 |
| Rule of Five | 1 | 2 | 2 | 3 | 3 |
| Compound | Initial Potential Energy (kcal/mol) | Potential Energy (kcal/mol) | Van der Waals Energy (kcal/mol) | Electrostatic Energy (kcal/mol) |
|---|---|---|---|---|
| Molecule 1 | −10.1874 | −22.8631 | −9.73178 | −19.5173 |
| Molecule 2 | 67.315 | 6.36013 | −11.7357 | −37.0988 |
| Molecule 3 | 67.3404 | 5.36027 | −13.6227 | −36.3396 |
| Molecule 4 | 68.7227 | 4.01368 | −16.9201 | −35.0438 |
| Molecule 5 | 169.388 | 55.9117 | −20.5852 | −57.9615 |
| Compound | TNF_alpha Interacting Residues | Binding Energy (kcal/mol) |
|---|---|---|
| Molecule 1 | Pi-Sigma: TYR59. Alkyl: LEU57. Pi-Alkyl: TYR59, TYR119, TYR151. | −4.0 |
| Molecule 2 | Conventional Hydrogen Bond: HIS15, TYR59, TYR151. Carbon Hydrogen Bond: HIS15. P-i-Donor Hydrogen Bond: HIS15. Pi-Sigma: TYR119. Pi-Alkyl: TYR119. | −5.3 |
| Molecule 3 | Conventional Hydrogen Bond: HIS15, TYR59, TYR151. Pi-Donor Hydrogen Bond: HIS15. Alkyl: LEU57. | −5.1 |
| Molecule 4 | Conventional Hydrogen Bond: TYR119, GLY121, SER95. Pi-Sigma: TYR119. Pi-Alkyl: TYR59, TYR119, TYR151. | −4.7 |
| Molecule 5 | Conventional Hydrogen Bond: HIS15, TYR59, GLN149, TYR151. Carbon Hydrogen Bond: HIS15. Pi-Alkyl: TYR119, TYR151. | −5.9 |
| 307 | Pi-Donor: TYR151. Pi-Pi Stacked: TYR59. Pi-Pi T-Shaped: TYR119, TYR151. Alkyl: LEU57, ILE155. Pi-Alkyl: TYR59. | −6.4 |
Publisher’s Note: MDPI stays neutral with regard to jurisdictional claims in published maps and institutional affiliations. |
© 2022 by the authors. Licensee MDPI, Basel, Switzerland. This article is an open access article distributed under the terms and conditions of the Creative Commons Attribution (CC BY) license (https://creativecommons.org/licenses/by/4.0/).
Share and Cite
Wahab, S.; Alsayari, A.; Muhsinah, A.B.; Almaghaslah, D.; Haque, A.; Khalid, M.; Alnasser, S.M.; Azam, F.; Hussain, M.S. The Structural, Biological, and In-Silico Profiling of Novel Capryloyl Tetra-Glucoside and Aliphatic Ester Constituents from the Abutilon indicum Offers New Perspectives on the Treatment of Pain and Inflammation. Plants 2022, 11, 2583. https://doi.org/10.3390/plants11192583
Wahab S, Alsayari A, Muhsinah AB, Almaghaslah D, Haque A, Khalid M, Alnasser SM, Azam F, Hussain MS. The Structural, Biological, and In-Silico Profiling of Novel Capryloyl Tetra-Glucoside and Aliphatic Ester Constituents from the Abutilon indicum Offers New Perspectives on the Treatment of Pain and Inflammation. Plants. 2022; 11(19):2583. https://doi.org/10.3390/plants11192583
Chicago/Turabian StyleWahab, Shadma, Abdulrhman Alsayari, Abdullatif Bin Muhsinah, Dalia Almaghaslah, Anzarul Haque, Mohammad Khalid, Sulaiman Mohammed Alnasser, Faizul Azam, and Md. Sarfaraj Hussain. 2022. "The Structural, Biological, and In-Silico Profiling of Novel Capryloyl Tetra-Glucoside and Aliphatic Ester Constituents from the Abutilon indicum Offers New Perspectives on the Treatment of Pain and Inflammation" Plants 11, no. 19: 2583. https://doi.org/10.3390/plants11192583
APA StyleWahab, S., Alsayari, A., Muhsinah, A. B., Almaghaslah, D., Haque, A., Khalid, M., Alnasser, S. M., Azam, F., & Hussain, M. S. (2022). The Structural, Biological, and In-Silico Profiling of Novel Capryloyl Tetra-Glucoside and Aliphatic Ester Constituents from the Abutilon indicum Offers New Perspectives on the Treatment of Pain and Inflammation. Plants, 11(19), 2583. https://doi.org/10.3390/plants11192583

