Identification of microRNAs That Provide a Low Light Stress Tolerance-Mediated Signaling Pathway during Vegetative Growth in Rice
Abstract
1. Introduction
2. Results
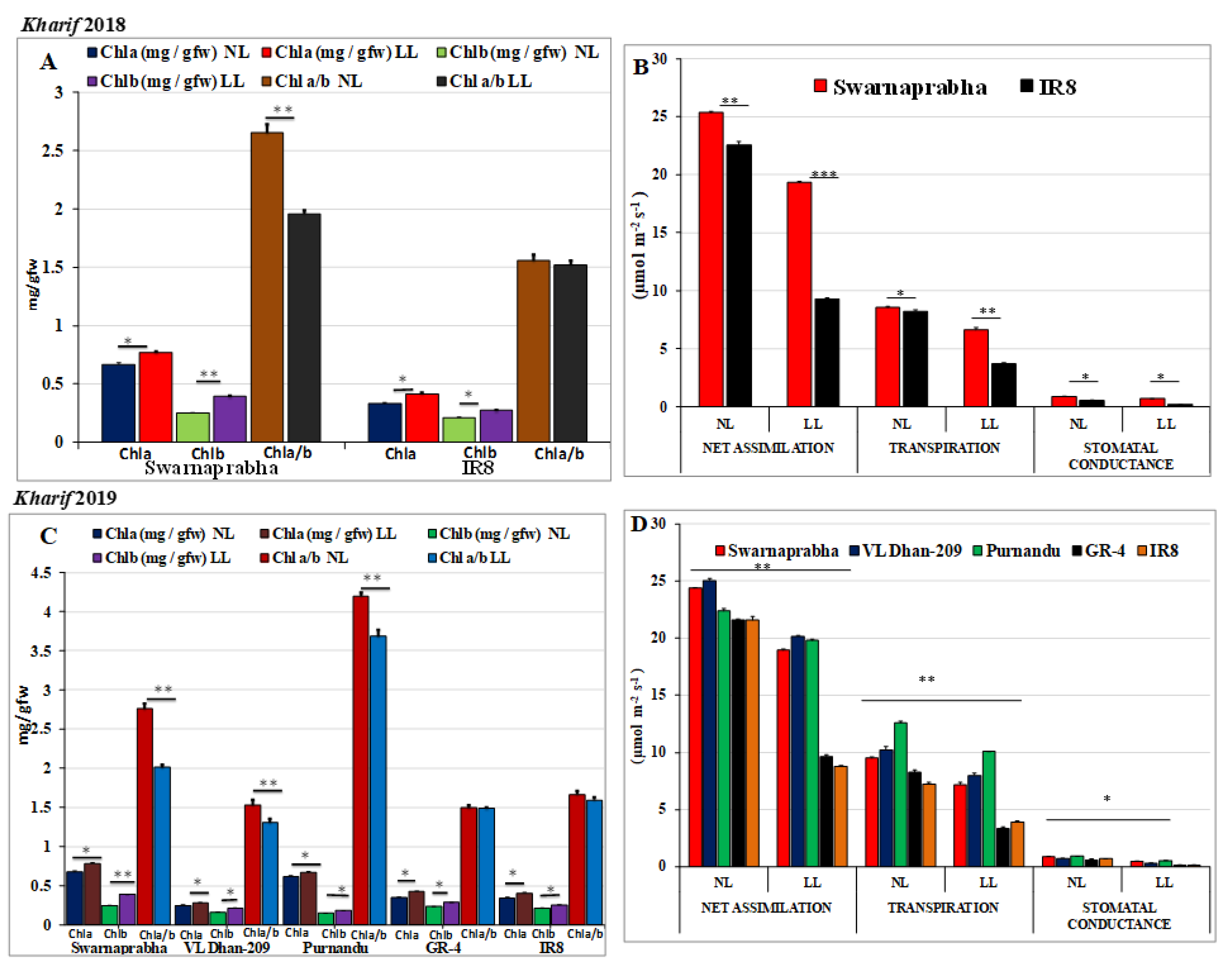
2.1. Physiological Parameters of Tolerant and Sensitive Rice Genotypes
2.2. Small RNA Sequencing of Low-Light-Tolerant and -Sensitive Rice Genotypes
2.3. Identification of miRNAs
2.4. Analysis of Differentially Expressed miRNAs
2.5. Expression Validation of Differentially Expressed miRNA NGS Data in Tolerant and Sensitive Rice Genotypes through qRT-PCR
2.6. Expression Analysis of miRNAs’ Target Genes through qRT-PCR
3. Discussion
4. Conclusions
5. Experimental Procedures
5.1. Plant Material and Low Light Treatments
5.2. Photosynthetic Active Radiation (PAR) Measurement
5.3. Calculation of Chlorophyll Content and Photosynthetic Parameters
5.4. Total RNA Isolation, Library Preparation, and Small RNA Sequencing
5.5. miRNA Sequence Analysis
5.6. Identification of Differentially Expressed miRNAs
5.7. Expression Validation of Identified miRNAs
5.8. Quantitative Real-Time PCR for Differentially Expressed miRNAs
5.9. Target Prediction of Differentially Expressed miRNAs and Their Expression Validation through Quantitative PCR
Supplementary Materials
Author Contributions
Funding
Data Availability Statement
Acknowledgments
Conflicts of Interest
References
- Chory, J. Light modulation of vegetative development. Plant Cell 1997, 9, 1225–1234. [Google Scholar] [CrossRef][Green Version]
- Nishiyama, Y.; Murata, N. Revised scheme for the mechanism of photoinhibition and its application to enhance the abiotic stress tolerance of the photosynthetic machinery. Appl. Microbiol. Biotechnol. 2014, 98, 8777–8796. [Google Scholar] [CrossRef] [PubMed]
- Kirchhoff, H. Structural changes of the thylakoid membrane network induced by high light stress in plant chloroplasts. Philos. Trans. R. Soc. B 2014, 369, 20130225. [Google Scholar] [CrossRef] [PubMed]
- Ouzounis, T.; Rosenqvist, E.; Ottosen, C.O. Spectral effects of artificial light on plant physiology and secondary metabolism: A review. Hort. Sci. 2015, 50, 1128–1135. [Google Scholar] [CrossRef]
- Devlin, P.F.; Christie, J.M.; Terry, M.J. Many hands make light work. J. Exp. Bot. 2007, 58, 3071–3077. [Google Scholar] [CrossRef]
- Folta, K.M.; Carvalho, S.D. Photoreceptors and control of horticultural plant traits. Hort. Sci. 2015, 50, 1274–1280. [Google Scholar] [CrossRef]
- Paradiso, R.; Proietti, S. Light-Quality manipulation to control plant growth and photomorphogenesis in greenhouse horticulture: The state of the art and the opportunities of modern LED Systems. J. Plant Growth Regul. 2021, 41, 742–780. [Google Scholar] [CrossRef]
- Wu, Y.; Gong, W.; Wang, Y.; Yong, T.; Yang, F.; Liu, W.; Wu, X.; Du, J.; Shu, K.; Liu, J.; et al. Leaf area and photosynthesis of newly emerged trifoliolate leaves are regulated by mature leaves in soybean. J. Plant Res. 2018, 131, 671–680. [Google Scholar] [CrossRef]
- Yang, F.; Feng, L.; Li, Q.; Wu, X.; Fan, Y.; Raza, M.; Cheng, Y.; Chen, J.; Wang, X.; Yong, T.; et al. Effect of interactions between light intensity and red-to- far-red ratio on the photosynthesis of soybean leaves under shade condition. Environ. Exp. Bot. 2018, 150, 79–87. [Google Scholar] [CrossRef]
- Lichtenthaler, H.K.; Buschmann, C.; Döll, M.; Fietz, H.-J.; Bach, T.; Kozel, U.; Meier, D.; Rahmsdorf, U. Photosynthetic activity, chloroplast ultrastructure, and leaf characteristics of high-light and low-light plants and of sun and shade leaves. Photosynth. Res. 1981, 2, 115–141. [Google Scholar] [CrossRef]
- Tian, L.; Ohsugi, R.; Yamagishi, T.; Sasaki, H. Effects of Weak Light on Starch Accumulation and Starch Synthesis Enzyme Activities in Rice at the Grain Filling Stage. Rice Sci. 2006, 13, 51–58. [Google Scholar]
- Bernier, G.; Havelange, A.; Houssa, C.; Petitjean, A.; Lejeune, P. Physiological signals that induce flowering. Plant Cell 1993, 5, 1147–1155. [Google Scholar] [CrossRef] [PubMed]
- Cober, E.R.; Voldeng, H.D. Low R:FR light quality delays flowering of soybean lines. Crop Sci. 2001, 41, 1823–1826. [Google Scholar] [CrossRef]
- Panigrahy, M.; Ranga, A.; Das, J.; Panigrahi, K.C.S. Shade tolerance in Swarnaprabha rice is associated with higher rate of panicle emergence and positively regulated by genes of ethylene and cytokinin pathway. Sci. Rep. 2019, 9, 6817. [Google Scholar] [CrossRef] [PubMed]
- Wu, Y.; Gong, W.; Yang, W. Shade Inhibits Leaf Size by Controlling Cell Proliferation and Enlargement in Soybean. Sci. Rep. 2017, 7, 9259. [Google Scholar] [CrossRef]
- Feng, L.; Raza, M.A.; Li, Z.; Chen, Y.; Khalid, M.H.B.; Du, J.; Liu, W.; Wu, X.; Song, C.; Yu, L.; et al. The Influence of Light Intensity and Leaf Movement on Photosynthesis Characteristics and Carbon Balance of Soybean. Front. Plant Sci. 2019, 9, 1952. [Google Scholar] [CrossRef]
- Hangarter, R.P. Gravity, light and plant form. Plant Cell Environ. 1997, 20, 796–800. [Google Scholar] [CrossRef]
- Maliakal, S.K.; Mcdonnell, K.; Dudley, S.A.; Schmitt, J. Effects of red to far-red ratio and plant density on biomass allocation and gas exchange in impatiens capensis. Int. J. Plant Sci. 1999, 160, 723–733. [Google Scholar] [CrossRef]
- Smith, H. Phytochromes and light signal perception by plants–an emerging synthesis. Nature 2000, 407, 585–591. [Google Scholar] [CrossRef]
- Smalle, J.; Haegman, M.; Kurepa, J.; Van Montagu, M.; Straeten, D.V. Ethylene can stimulate Arabidopsis hypocotyl elongation in the light. Proc. Natl Acad. Sci. USA 1997, 94, 2756–2761. [Google Scholar] [CrossRef]
- Vandenbussche, F.; Vriezen, W.H.; Smalle, J.; Laarhoven, L.J.; Harren, F.; Van Der Straeten, D. Ethylene and auxin control the Arabidopsis response to decreased light intensity. Plant Physiol. 2003, 133, 517–527. [Google Scholar] [CrossRef] [PubMed]
- Millenaar, F.F.; van Zanten, M.; Cox, M.C.; Pierik, R.; Voesenek, L.A.C.J.; Peeters, A.J.M. Differential petiole growth in Arabidopsis thaliana: Photocontrol and hormonal regulation. New Phytol. 2009, 184, 141–152. [Google Scholar] [CrossRef] [PubMed]
- Mullen, J.L.; Weinig, C.; Hangarter, R.P. Shade avoidance and the regulation of leaf inclination in Arabidopsis. Plant Cell Environ. 2006, 29, 1099–1106. [Google Scholar] [CrossRef] [PubMed]
- Van Zanten, M.; Pons, T.L.; Janssen, J.M.; Voesenek, L.C.J.; Peeters, A.J.M. on the relevance and control of leaf angle. Crit. Rev. Plant Sci. 2010, 29, 300–316. [Google Scholar] [CrossRef]
- Stitt, M.; Zeeman, S.C. Starch turnover: Pathways, regulation and role in growth. Curr. Opin. Plant Biol. 2012, 15, 282–292. [Google Scholar] [CrossRef]
- Fernandez, O.; Ishihara, H.; George, G.M.; Mengin, V.; Flis, A.; Sumner, D.; Arrivault, S.; Feil, R.; Lunn, J.E.; Zeeman, S.C.; et al. Leaf starch turnover occurs in long days and in falling light at the end of the day. Plant Physiol. 2017, 2017, 00601. [Google Scholar] [CrossRef]
- Fondy, B.R.; Geiger, D.R.; Servaites, J.C. Photosynthesis, carbohydrate metabolism, and export in Beta vulgaris L. and Phaseolus vulgaris L. during square and sinusoidal light regimes. Plant Physiol. 1989, 89, 396–402. [Google Scholar] [CrossRef]
- Servaites, J.C.; Geiger, D.R.; Tucci, M.A.; Fondy, B.R. Leaf carbon metabolism and metabolite levels during a period of sinusoidal light. Plant Physiol. 1989, 89, 403–408. [Google Scholar] [CrossRef]
- Narasingarao, C.; Murty, K.S. Swarnaprabha, a physiologically efficient variety (Kerala). Int. Rice Res. Newsl. Philipp. 1987, 12, 7–8. [Google Scholar]
- Ganguly, S.; Saha, S.; Vangaru, S.; Purkayastha, S.; Das, D.; Saha, A.K.; Roy, A.; Das, S.; Bhattacharyya, P.K.; Mukherjee, S.; et al. Identification and analysis of low light tolerant rice genotypes in field condition and their SSP-based diversity in various abiotic stress tolerant line. J. Genet. 2020, 99, 24–33. [Google Scholar] [CrossRef]
- Singh, S. Effect of low-light stress at various growth phases on yield and yield components of two rice cultivars. Int. Rice Res. Notes 2005, 30, 36–37. [Google Scholar]
- Adhya, T.K.; Singh, O.N.; Ghosh, A. Rice in Eastern India: Causes for low productivity and available options. J. Rice Res. 2008, 2, 1–5. [Google Scholar]
- Liu, Q.; Wu, X.; Chen, B.; Ma, J.; Gao, J. Effect of low light on agronomic and physiological characteristics of rice including grain yield and quality. Rice Sci. 2014, 21, 243–251. [Google Scholar] [CrossRef]
- Bartel, D.P. MicroRNAs: Target Recognition and Regulatory Functions. Cell 2009, 136, 215–233. [Google Scholar] [CrossRef] [PubMed]
- Axtell, M.J.; Bartel, D.P. Antiquity of microRNAs and their targets in land plants. Plant Cell 2005, 17, 1658–1673. [Google Scholar] [CrossRef]
- Achard, P.; Herr, A.; Baulcombe, D.C.; Harberd, N.P. Modulation of floral development by a gibberellin-regulated microRNA. Development 2004, 131, 3357–3365. [Google Scholar] [CrossRef] [PubMed]
- Lauter, N.; Kampani, A.; Carlson, S.; Goebel, M.; Moose, S.P. microRNA172 down-regulates glossy15 to promote vegetative phase change in maize. Proc. Natl Acad. Sci. USA 2005, 102, 9412–9417. [Google Scholar] [CrossRef] [PubMed]
- Guo, H.S.; Xie, Q.; Fei, J.F.; Chua, N.H. MicroRNA directs mRNA cleavage of the transcription factor NAC1 to downregulate auxin signals for Arabidopsis lateral root development. Plant Cell 2005, 17, 1376–1386. [Google Scholar] [CrossRef]
- Kim, J.; Jung, J.H.; Reyes, J.L.; Kim, Y.; Kim, S.; Chung, K.; Kim, J.A.; Lee, M.; Lee, Y.; Kim, V.N. microRNA-directed cleavage of ATHB15 mRNA regulates vascular development in Arabidopsis inflorescence stems. Plant J. 2005, 42, 84–94. [Google Scholar] [CrossRef]
- Jeong, D.H.; Green, P.J. The role of rice microRNAs in abiotic stress responses. J. Plant Biol. 2013, 56, 187–197. [Google Scholar] [CrossRef]
- Panigrahy, M.; Rao, D.N.; Sarla, N. Molecular mechanisms in response to phosphate starvation in rice. Biotechnol. Adv. 2009, 27, 389–397. [Google Scholar] [CrossRef] [PubMed]
- Lv, D.-K.; Bai, X.; Li, Y.; Ding, X.-D.; Ge, Y.; Cai, H.; Ji, W.; Wu, N.; Zhu, Y.-M. Profiling of cold-stress-responsive miRNAs in rice by microarrays. Gene 2010, 459, 39–47. [Google Scholar] [CrossRef] [PubMed]
- Kantar, M.; Lucas, S.J.; Budak, H. miRNA expression patterns of Triticum dicoccoides in response to shock drought stress. Planta 2011, 233, 471–484. [Google Scholar] [CrossRef]
- Kuo, H.-F.; Chiou, T.-J. The Role of MicroRNAs in Phosphorus Deficiency Signaling. Plant Physiol. 2011, 156, 1016–1024. [Google Scholar] [CrossRef] [PubMed]
- Mittal, D.; Sharma, N.L.; Sharma, V.D.; Sopory, S.K.; Sananmishra, N. Role of microRNAs in rice plant under salt stress. Ann. Appl. Biol. 2016, 168, 2–18. [Google Scholar] [CrossRef]
- Zeng, X.; Xu, Y.; Jiang, J.; Zhang, F.; Ma, L.; Wu, D.; Wang, Y.; Sun, W. Identification of cold stress responsive microRNAs in two winter turnip rape (Brassica rapa L.) by high throughput sequencing. BMC Plant Biol. 2018, 18, 52. [Google Scholar] [CrossRef]
- Zhang, F.; Yang, J.; Zhang, N.; Wu, J.; Si, H. Roles of microRNAs in abiotic stress response and characteristics regulation of plant. Front. Plant Sci. 2022, 13, 919243. [Google Scholar] [CrossRef]
- Wang, C.; Ye, J.; Tang, W.; Liu, Z.; Zhu, C.; Wang, M.; Wan, J. Loop nucleotide polymorphism in a putative miRNA precursor associated with seed length in rice (Oryza sativa L.). Int. J. Biol. Sci. 2013, 9, 578. [Google Scholar] [CrossRef]
- Fan, Y.; Yang, J.; Mathioni, S.M.; Yu, J.; Shen, J.; Yang, X.; Wang, L.; Zhang, Q.; Cai, Z.; Xu, C.; et al. PMS1T, producing phased small-interfering RNAs, regulates photoperiod-sensitive male sterility in rice. Proc. Natl Acad. Sci. USA 2016, 113, 15144–15149. [Google Scholar] [CrossRef]
- Sun, W.; Xu, X.H.; Wu, X.; Wang, Y.; Lu, X.; Sun, H.; Xie, X. Genomewide identification of microRNAs and their targets in wild type and phyB mutant provides a key link between microRNAs and the phyB-mediated light signaling pathway in rice. Front. Plant Sci. 2015, 6, 372. [Google Scholar] [CrossRef]
- Axtell, M.J.; Bowman, J.L. Evolution of plant microRNAs and their targets. Trends Plant Sci. 2008, 13, 343–349. [Google Scholar] [CrossRef] [PubMed]
- Xie, K.; Wu, C.; Xiong, L. Genomic organization, differential expression, and interaction of squamosa promoter-binding-like transcription factors and microRNA156 in rice. Plant Physiol. 2006, 142, 280–293. [Google Scholar] [CrossRef] [PubMed]
- Wang, L.; Wang, X. DEGseq: Identify Differentially Expressed Genes from RNA-Seq Data, R Package Version 1.24.0; MOE Key Laboratory of Bioinformatics and Bioinformatics Division, TNLIST/Department of Automation; Tsinghua University: Beijing, China, 2016. [Google Scholar]
- Casal, J.J. Shade avoidance. Arab. Book 2012, 10, e0157. [Google Scholar] [CrossRef] [PubMed]
- Xie, Y.; Liu, Y.; Wang, H.; Ma, X.; Wang, B.; Wu, G.; Wang, H. Phytochrome-interacting factors directly suppress MIR156 expression to enhance shade-avoidance syndrome in Arabidopsis. Nat. Commun. 2017, 8, 348. [Google Scholar] [CrossRef]
- Chung, P.J.; Park, B.S.; Wang, H.; Liu, J.; Jang, I.C.; Chua, N.H. Light-Inducible MiR163 Targets PXMT1 Transcripts to Promote Seed Germination and Primary Root Elongation in Arabidopsis. Plant Physiol. 2016, 170, 1772–1782. [Google Scholar] [CrossRef] [PubMed]
- Zhao, H.; Chen, D.; Peng, Z.; Wang, L.; Gao, Z. Identification and characterization of microRNAs in the leaf of Ma Bamboo (Dendrocalamus latiflorus) by deep sequencing. PLoS ONE 2013, 8, e78755. [Google Scholar] [CrossRef]
- Panigrahy, M.; Panigrahi, K.C.S.; Poli, Y.; Ranga, A.; Majeed, N. Integrated Expression Analysis of Small RNA, Degradome and Microarray Reveals Complex Regulatory Action of miRNA during Prolonged Shade in Swarnaprabha Rice. Biology 2022, 11, 798. [Google Scholar] [CrossRef]
- Nayak, S.K.; Murty, K.S. Effect of varying light intensities on yield and growth parameters in rice. Indian J. Plant Physiol. 1980, 23, 309–316. [Google Scholar]
- Rao, C.H.N.; Murty, K.S. Swarnaprabha, a low light tolerant high yielding variety. Int. Rice Res. Notes 1987, 12, 7. [Google Scholar]
- Singh, V.P.; Dey, S.K.; Murty, K.S. Effect of low light stress on growth and yield of rice. Indian J. Plant Physiol. 1988, 31, 84–91. [Google Scholar]
- Voleti, S.R.; Singh, V.P. Influence of low light irradiance on grain filling in rice (Oryza saliva L.) cultivars. J Agron. Crop Sci. 1996, 176, 1–4. [Google Scholar] [CrossRef]
- Sekhar, S.; Panda, D.; Kumar, J.; Mohanty, N.; Biswal, M.; Baig, M.J.; Kumar, A.; Umakanta, N.; Samantaray, S.; Pradhan, S.K.; et al. Comparative transcriptome profiling of low light tolerant and sensitive rice varieties induced by low light stress at active tillering stage. Sci. Rep. 2019, 9, 5753. [Google Scholar] [CrossRef] [PubMed]
- Kumar, A.; Panda, D.; Biswal, M.; Dey, P.; Behera, L.; Baig, M.J.; Nayak, L.; Ngangkham, U.; Sharma, S. Low light stress influences resistant starch content and glycemic index of rice (O. sativa L). Starch-Stärke 2019, 71, 1800216. [Google Scholar] [CrossRef]
- Kumar, A.; Panda, D.; Mohanty, S.; Biswal, M.; Dey, P.; Dash, M.; Sah, R.P.; Kumar, S.; Baig, M.J.; Behera, L. Role of sedoheptulose-1, 7 bisphosphatase in low light tolerance of rice (Oryza sativa L.). Physiol. Mol. Biol. Plants 2020, 26, 2465–2485. [Google Scholar] [CrossRef]
- Hao, D.C.; Yang, L.; Xiao, P.G.; Liu, M. Identification of Taxus microRNAs and their targets with high-throughput sequencing and degradome analysis. Physiol. Plant. 2012, 146, 388–403. [Google Scholar] [CrossRef]
- Yang, J.; Liu, X.; Xu, B.; Zhao, N.; Yang, X.; Zhang, M. Identificationof miRNAs and their targets using high-throughput sequencing and degradome analysis in cytoplasmic male-sterile and its maintainer fertile lines of Brassica juncea. BMC Genom. 2013, 14, 9. [Google Scholar] [CrossRef]
- Karlova, R.; vanHaarst, J.C.; Maliepaard, C.; vandeGeest, H.; Bovy, A.G.; Lammers, M.; Angenent, G.C.; de Maagd, R.A. Identification of microRNA targets in tomato fruit development using high-throughput sequencing and degradome analysis. J. Exp. Bot. 2013, 64, 1863–1878. [Google Scholar] [CrossRef]
- Lu, C.; Jeong, D.H.; Kulkarni, K.; Pillay, M.; Nobuta, K.; German, R.; Thatcher, S.R.; Maher, C.; Zhang, L.; Ware, D.; et al. Genome-wide analysis for discovery of rice microRNAs reveals natural antisense microRNAs (nat-miRNAs). Proc. Natl Acad. Sci. USA 2008, 105, 4951–4956. [Google Scholar] [CrossRef]
- Nagasaki, H.; Itoh, J.; Hayashi, K.; Hibara, K.; Satoh-Nagasawa, N.; Nosaka, M.; Mukouhata, M.; Ashikari, M.; Kitano, H.; Matsuoka, M.; et al. The small interfering RNA production pathway is required for shoot meristem initiation in rice. Proc. Natl Acad. Sci. USA 2007, 104, 14867–14871. [Google Scholar] [CrossRef]
- Juarez, M.; Kui, J.; Thomas, J.; Heller, B.A.; Timmermans, M.C.P. microRNA-mediated repression of rolled leaf1 specifies maize leaf polarity. Nature 2004, 428, 84–88. [Google Scholar] [CrossRef]
- Chen, Q.; Xie, Q.; Gao, J.; Wang, W.; Sun, B.; Liu, B.; Zhu, H.; Peng, H.; Zhao, H.; Liu, C.; et al. Characterization of Rolled and Erect Leaf 1 in regulating leave morphology in rice. J. Exp. Bot. 2015, 66, 6047–6058. [Google Scholar] [CrossRef] [PubMed]
- Millar, A.J.; Kay, S.A. Integration of circadian and phototransduction pathways in the network controlling CAB gene transcription in Arabidopsis. Proc. Natl Acad. Sci. USA 1996, 93, 15491–15496. [Google Scholar] [CrossRef] [PubMed]
- Liu, R.; Xu, Y.H.; Jiang, S.C.; Lu, K.; Lu, Y.; Feng, X.; Wu, Z.; Liang, S.; Yu, Y.; Wang, X.; et al. Light-harvesting chlorophyll a/b-binding proteins, positively involved in abscisic acid signalling, require a transcription repressor, WRKY40, to balance their function. J. Exp. Bot. 2013, 64, 5443–5456. [Google Scholar] [CrossRef]
- Anderson, J.M.; Chow, W.S.; Goodchild, D.J. Thylakoid membrane organization in sun shade acclimation. Aust. J. Plant Physiol. 1988, 15, 11–26. [Google Scholar]
- Anderson, J.M.; Chow, W.S.; Park, Y.I. The grand design of photosynthesis: Acclimation of the photosynthetic apparatus to environmental cues. Photosynth. Res. 1995, 46, 129–139. [Google Scholar] [CrossRef] [PubMed]
- Swiezewska, E. Ubiquinone and plastoquinone metabolism in plants. Methods Enzymol. 2004, 378, 124–131. [Google Scholar] [PubMed]
- Yoo, S.C.; Cho, S.H.; Sugimoto, H.; Li, J.; Kusumi, K.; Koh, H.; Iba, K.; Paek, N. Rice Virescent3 and Stripe1 Encoding the Large and Small Subunits of Ribonucleotide Reductase Are Required for Chloroplast Biogenesis during Early Leaf Development. Plant Physiol. 2009, 150, 388–401. [Google Scholar] [CrossRef] [PubMed]
- Qin, R.; Zeng, D.; Liang, R.; Yang, C.; Akhter, D.; Alamin; Jin, X.; Shi, C. Rice gene SDL/RNRS1, encoding the small subunit of ribonucleotide reductase, is required for chlorophyll synthesis and plant growth development. Gene 2017, 627, 351–362. [Google Scholar] [CrossRef]
- Chaban, C.; Waller, F.; Furuya, M.; Nick, P. Auxin Responsiveness of a Novel Cytochrome P450 in Rice Coleoptiles. Plant Physiol. 2003, 133, 2000–2009. [Google Scholar] [CrossRef]
- Dutta, S.S.; Tyagi, W.; Pale, G.; Pohlong, J.; Aochen, C.; Pandey, A.; Pattanayak, A.; Rai, M. Marker–Trait Association for Low-Light Intensity Tolerance in Rice Genotypes from Eastern India. Mol. Genet. Genom. 2018, 293, 1493–1506. [Google Scholar] [CrossRef]
- Nakashima, K.; Tran, L.S.; Van Nguyen, D.; Fujita, M.; Maruyama, K.; Todaka, D.; Ito, Y.; Hayashi, N.; Shinozaki, K.; Yamaguchi-Shinozaki, K. Functional analysis of a NAC-type transcription factor OsNAC6 involved in abiotic and biotic stress-responsive gene expression in rice. Plant J. 2007, 51, 617–630. [Google Scholar] [CrossRef] [PubMed]
- Hu, H.; You, J.; Fang, Y.; Zhu, X.; Qi, Z.; Xiong, L. Characterization of transcription factor gene SNAC2 conferring cold and salt tolerance in rice. Plant Mol. Biol. 2008, 67, 169–181. [Google Scholar] [CrossRef]
- Lee, D.K.; Chung, P.J.; Jeong, J.S.; Jang, G.; Bang, S.W.; Jung, H.; Kim, Y.S.; Ha, S.H.; Choi, Y.D.; Kim, J.K. The rice OsNAC6 transcription factor orchestrates multiple molecular mechanisms involving root structural adaptions and nicotianamine biosynthesis for drought tolerance. Plant Biotechnol. J. 2017, 15, 754–764. [Google Scholar] [CrossRef]
- Carrillo, N.; Ceccarelli, E.A. Open questions in ferredoxin-NADP+ reductase catalytic mechanism. Eur. J. Biochem. 2003, 270, 1900–1915. [Google Scholar] [CrossRef] [PubMed]
- Lin, C.; Yang, H.; Guo, H.; Mockler, T.; Chen, J. Cashmore AR. Enhancement of blue-light sensitivity of Arabidopsis seedlings by a blue light receptor cryptochrome 2. Proc. Natl Acad. Sci. USA 1998, 95, 2686–2690. [Google Scholar] [CrossRef] [PubMed]
- Mu, H.; Jiang, D.; Wollenweber, B.; Dai, T.; Jing, Q.; Cao, W. Long-term low radiation decreases leaf photosynthesis, photochemical efficiency and grain yield in winter wheat. J. Agron. Crop Sci. 2010, 196, 38–47. [Google Scholar] [CrossRef]
- Robinson, M.D.; Oshlack, A. A scaling normalization method for differential expression analysis of RNA-seq data. Genome Biol. 2010, 11, R25. [Google Scholar] [CrossRef]
- Anders, S.; Pyl, P.T.; Huber, W. HTSeq-A Python framework to work with high-throughput sequencing data. Bioinformatics 2015, 31, 166–169. [Google Scholar] [CrossRef]
- Wang, J.W. The multifaceted roles of miR156-targeted SPL transcription factors in plant developmental transitions. In Plant Transcription Factors: Evolutionary, Structural and Functional Aspects; Gonzalez, D.H., Ed.; Academic Press: Amsterdam, The Netherlands, 2016; pp. 281–293. [Google Scholar]
- Pfaffl, M.W. A new mathematical model for relative quantification in real-time RT-PCR. Nucleic Acids Res. 2001, 29, 2002–2007. [Google Scholar] [CrossRef]
- Dai, X.; Zhao, P.X. psRNATarget: A plant small RNA target analysis server. Nucleic Acids Res. 2011, 39, W155–W159. [Google Scholar] [CrossRef]









| Sample Name | Raw Reads | Raw Bases (GB) | Clean Reads | Error Rate (%) | Q20% | Q30% | GC Content % |
|---|---|---|---|---|---|---|---|
| SC | 41,388,259 | 2.069 | 10,431,749 | 0.01 | 98.56 | 97.42 | 53.14 |
| ST1 | 48,021,253 | 2.401 | 9,245,077 | 0.01 | 98.37 | 97.08 | 52.83 |
| ST3 | 42,368,691 | 2.118 | 9,723,848 | 0.01 | 98.51 | 97.38 | 53.29 |
| ST5 | 43,507,150 | 2.175 | 7,849,060 | 0.01 | 98.52 | 97.38 | 53.70 |
| IC | 47,126,461 | 2.356 | 11,174,458 | 0.01 | 98.49 | 97.30 | 53.18 |
| IT1 | 50,061,687 | 2.503 | 10,417,005 | 0.01 | 98.58 | 97.49 | 53.05 |
| IT3 | 33,181,938 | 1.659 | 8,644,198 | 0.01 | 97.61 | 94.78 | 52.39 |
| IT5 | 34,541,807 | 1.727 | 4,929,964 | 0.01 | 97.40 | 94.12 | 52.87 |
| Total | 340,197,246 | 17.008 | 72,415,359 | - | - | - | - |
| Average | 42,524,655.8 | 2.13 | 9,051,919.88 | 0.01 | 98.255 | 96.62 | 53.18 |
| Comparisons between Samples | No of Upregulated miRNAs | No of Downregulated miRNAs | No of Differentially Expressed miRNA |
|---|---|---|---|
| IT1 vs. IC | 53 | 35 | 88 |
| IT3 vs. IC | 62 | 39 | 101 |
| IT5 vs. IC | 53 | 32 | 85 |
| ST1 vs. SC | 33 | 34 | 67 |
| ST3 vs. SC | 28 | 37 | 65 |
| ST5 vs. SC | 26 | 57 | 83 |
| SC vs. IC | 48 | 33 | 81 |
| ST1 vs. IT1 | 44 | 50 | 94 |
| ST3 vs. IT3 | 33 | 52 | 85 |
| ST5 vs. IT5 | 30 | 70 | 100 |
| Sl. No. | miRNA ID | Mature miRNA Sequences | Type of miRNA | Type of Inhibition | Target |
|---|---|---|---|---|---|
| 1 | osa-miR166c-3p | UCGGACCAGGCUUCAUUCCCC | Known | Cleavage | Rolled leaf1 |
| 2 | osa-miR2102-3p | CGGGGCCGGUUCCGGUGUAGG | Known | Translation | Chlorophyll a-b-binding protein |
| 3 | osa-miR530-3p | AGGUGCAGAGGCAGAUGCAAC | Known | Translation | Ubiquinone biosynthesis protein COQ4/ oxidoreductase |
| 4 | osa-novmiR1 | AGCUCGUCGGGCUUGCUGCGG | Novel in rice | Cleavage | Ribonucleoside-diphosphate reductase |
| 5 | osa-novmiR2 | AAGUCCUCGUGUUGCAUCCCU | Novel in rice | Cleavage | cytochrome P450 87A3 |
| 6 | osa-novmiR3 | UGCCGGUCAUAUGUAUCGAA | Novel in rice | Translation | Granule-bound starch synthase 1b |
| 7 | osa-novmiR4 | ACCGCUUCAUGAACUUUCAGG | Novel in rice | Cleavage | NAC domain-containing protein |
| 8 | osa-novmiR5 | CAAAUCCUGUCAUCCCUACC | Novel in rice | Cleavage | FAD-dependent oxidoreductase and Cryptochrome 2 apoprotein |
Publisher’s Note: MDPI stays neutral with regard to jurisdictional claims in published maps and institutional affiliations. |
© 2022 by the authors. Licensee MDPI, Basel, Switzerland. This article is an open access article distributed under the terms and conditions of the Creative Commons Attribution (CC BY) license (https://creativecommons.org/licenses/by/4.0/).
Share and Cite
Sekhar, S.; Das, S.; Panda, D.; Mohanty, S.; Mishra, B.; Kumar, A.; Navadagi, D.B.; Sah, R.P.; Pradhan, S.K.; Samantaray, S.; et al. Identification of microRNAs That Provide a Low Light Stress Tolerance-Mediated Signaling Pathway during Vegetative Growth in Rice. Plants 2022, 11, 2558. https://doi.org/10.3390/plants11192558
Sekhar S, Das S, Panda D, Mohanty S, Mishra B, Kumar A, Navadagi DB, Sah RP, Pradhan SK, Samantaray S, et al. Identification of microRNAs That Provide a Low Light Stress Tolerance-Mediated Signaling Pathway during Vegetative Growth in Rice. Plants. 2022; 11(19):2558. https://doi.org/10.3390/plants11192558
Chicago/Turabian StyleSekhar, Sudhanshu, Swagatika Das, Darshan Panda, Soumya Mohanty, Baneeta Mishra, Awadhesh Kumar, Devanna Basavantraya Navadagi, Rameswar Prasad Sah, Sharat Kumar Pradhan, Sanghamitra Samantaray, and et al. 2022. "Identification of microRNAs That Provide a Low Light Stress Tolerance-Mediated Signaling Pathway during Vegetative Growth in Rice" Plants 11, no. 19: 2558. https://doi.org/10.3390/plants11192558
APA StyleSekhar, S., Das, S., Panda, D., Mohanty, S., Mishra, B., Kumar, A., Navadagi, D. B., Sah, R. P., Pradhan, S. K., Samantaray, S., Baig, M. J., Behera, L., & Mohapatra, T. (2022). Identification of microRNAs That Provide a Low Light Stress Tolerance-Mediated Signaling Pathway during Vegetative Growth in Rice. Plants, 11(19), 2558. https://doi.org/10.3390/plants11192558

