Zero Discharge of Nutrient Solution to the Environment in a Soilless Greenhouse Cucumber Production System
Abstract
:1. Introduction
2. Results
2.1. Changes in Environmental Parameters outside and inside the Greenhouse
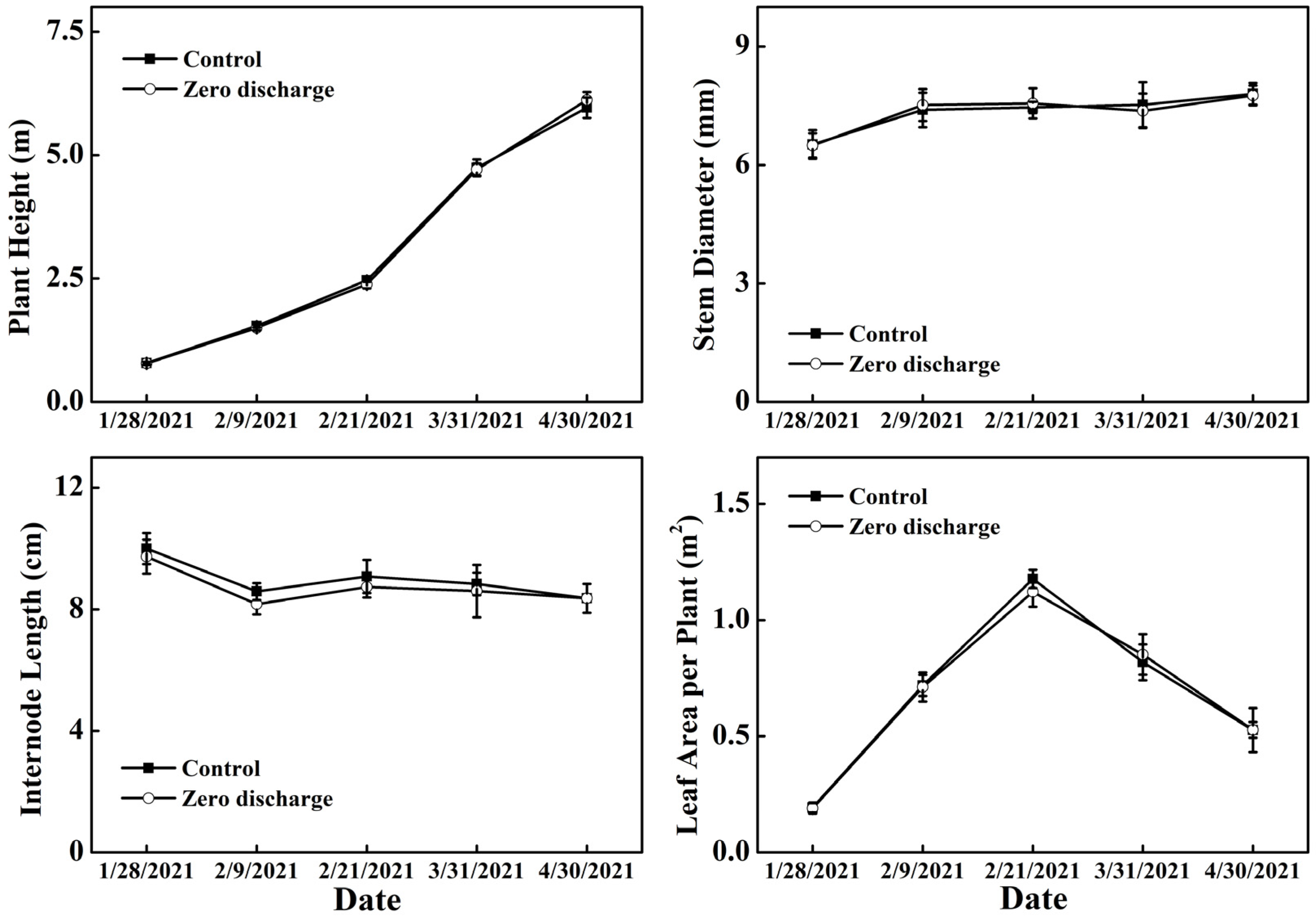
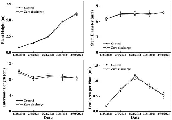
2.2. Changes in Plant Height, Stem Diameter, Internode Length, and Leaf Area per Plant
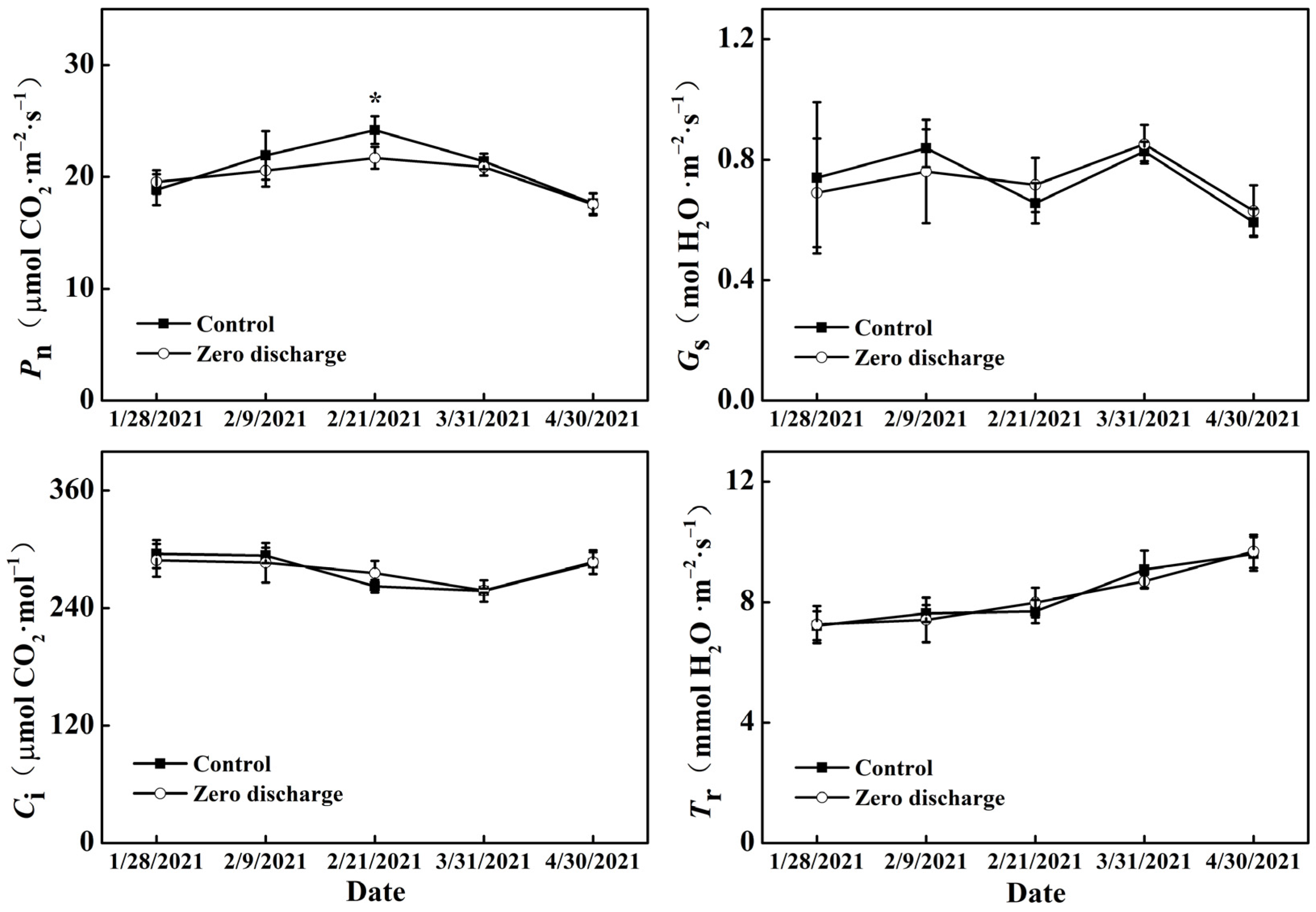
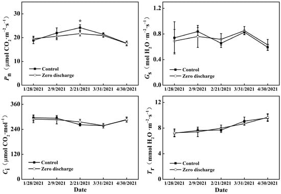
2.3. Changes in Leaf Gas Exchange Parameters, and Relative Chlorophyll Content
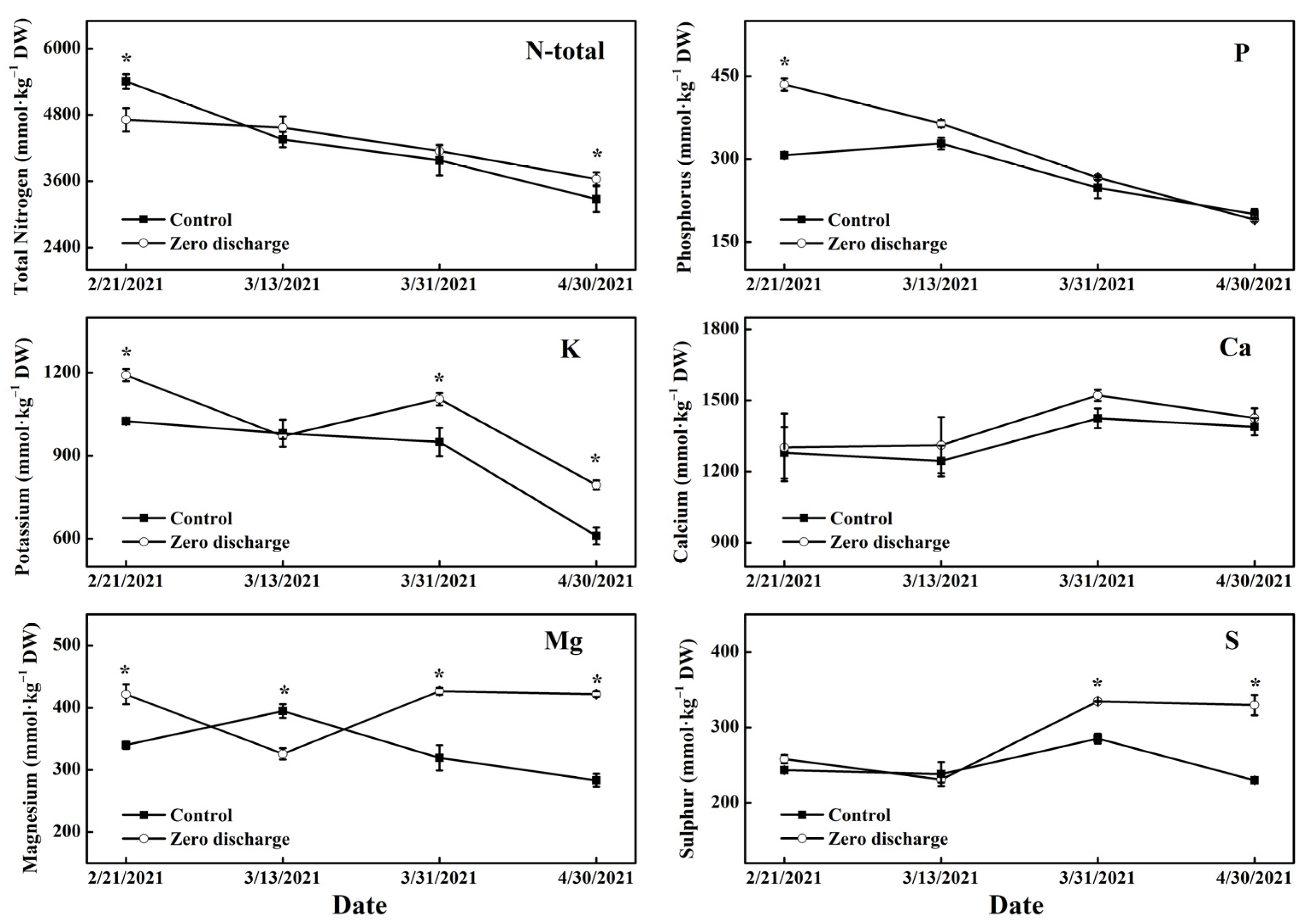
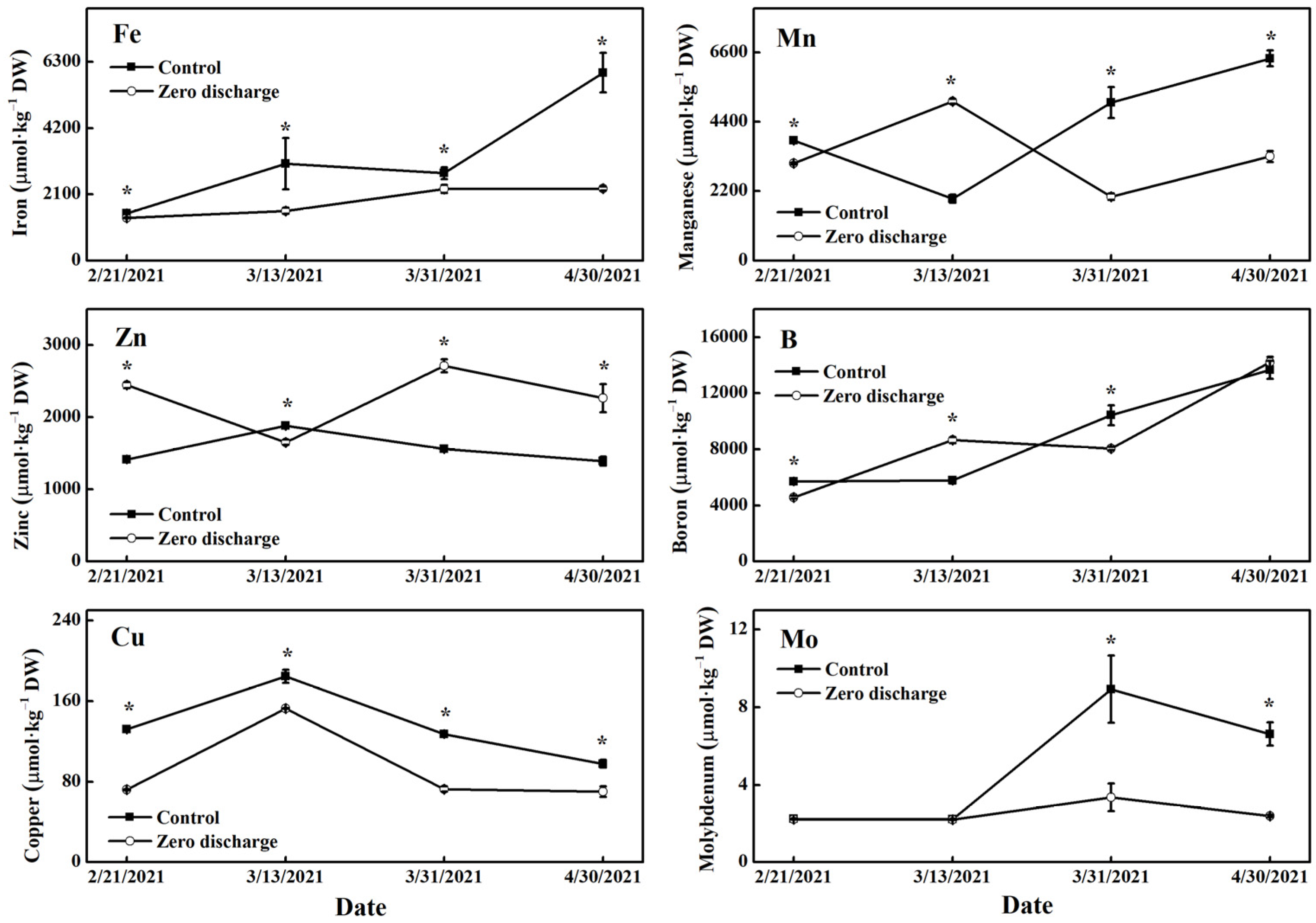
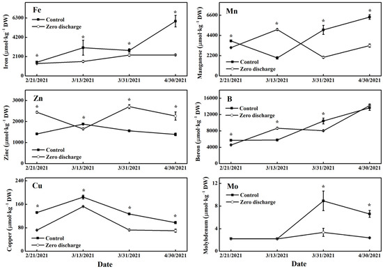
2.4. Changes in Leaf Mineral Elements
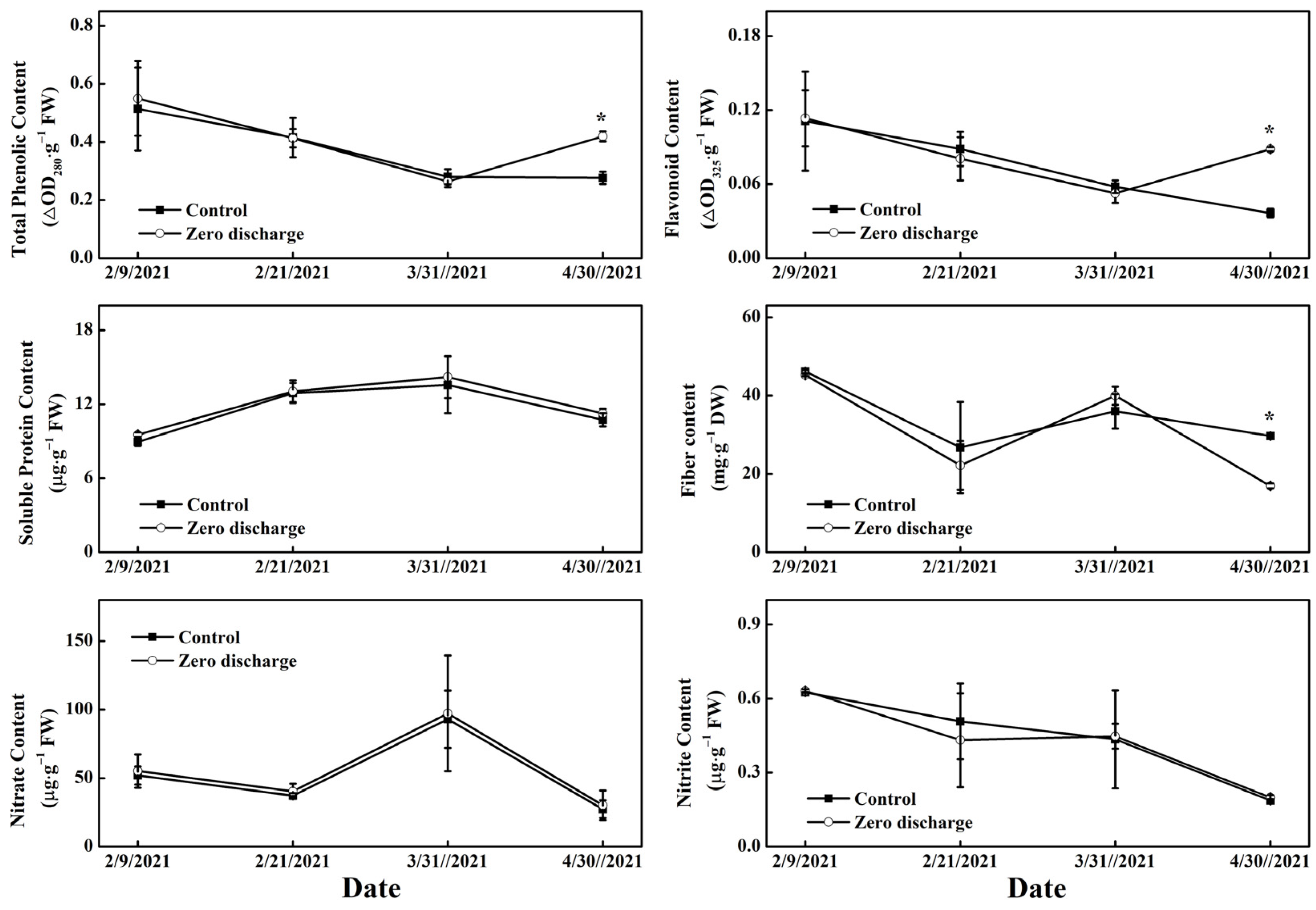
2.5. Changes in Cucumber Fruit Quality and Yield
3. Discussion
4. Materials and Methods
4.1. Measurements of Cucumber Yield, Plant Height, Stem Diameter, Internode Length, and Leaf Aera
4.2. Measurements of Outside Air Temperature, Radiation, and Greenhouse Air Temperature
4.3. Measurements of Leaf Gas Exchange Parameters
4.4. Measurements of Leaf Relative Chlorophyll Content
4.5. Measurements of Soluble Protein, Fibre, Total Phenolic, Flavonoids, Nitrate and Nitrite Content
4.6. Measurements of Leaf Mineral Element Contents
4.7. Statistical Analysis
5. Conclusions
Author Contributions
Funding
Institutional Review Board Statement
Informed Consent Statement
Data Availability Statement
Conflicts of Interest
References
- Barrett, G.E.; Alexander, P.D.; Robinson, J.S.; Bragg, N.C. Achieving environmentally sustainable growing media for soilless plant cultivation systems—A review. Sci. Hortic. 2016, 212, 220–234. [Google Scholar] [CrossRef]
- Rouphael, Y.; Franken, P.; Schneider, C.; Schwarz, D.; Giovannetti, M.; Agnolucci, M.; De Pascale, S.; Bonini, P.; Colla, G. Arbuscular mycorrhizal fungi act as biostimulants in horticultural crops. Sci. Hortic. 2015, 196, 91–108. [Google Scholar] [CrossRef]
- De Pascale, S.; Incrocci, L.; Massa, D.; Rouphael, Y.; Pardossi, A. Advances in irrigation management in greenhouse cultivation. In Achieving Sustainable Greenhouse Cultivation; Burleigh Dodds Science Publishing: London, UK, 2019. [Google Scholar] [CrossRef]
- Ding, X.; Jiang, Y.; Hui, D.; He, L.; Huang, D.; Yu, J.; Zhou, Q. Model simulation of cucumber yield and microclimate analysis in a semi-closed greenhouse in China. HortScience 2019, 54, 547–554. [Google Scholar] [CrossRef]
- Van Os, E.A. Comparison of Some Chemical and Non-Chemical Treatments to Disinfect a Recirculating Nutrient Solution. In Proceedings of the International Symposium on Soilless Culture and Hydroponics, Lima, Peru, 1 October 2013; Rodriguez-Delfin, A., Martinez, P., Eds.; ISHS: Leuven, Belgium, 2009; Volume 843, pp. 229–234. [Google Scholar] [CrossRef]
- Ehret, D.; Alsanius, B.; Wohanka, W.; Menzies, J.; Utkhede, R. Disinfestation of recirculating nutrient solutions in greenhouse horticulture. Agronomie 2001, 21, 323–339. [Google Scholar] [CrossRef]
- Ahn, T.I.; Yang, J.-S.; Park, S.H.; Im, Y.-H.; Lee, J.Y. Nutrient recirculating soilless culture system as a predictable and stable way of microbial risk management. J. Clean. Prod. 2021, 298, 126747. [Google Scholar] [CrossRef]
- Nederhoff, E. Hydrogen peroxide unsuitable for root disease control in hydroponic vegetables. Commer. Grow. 2000, 55, 46–50. [Google Scholar]
- Laplante, M.; Brisson, D.; Boivin, C.; Doiron, D.; Gaudreau, L.; Dorais, M.; Lacroix, M.; Martinez, C.; Tweddell, R.; Gosselin, A. Evaluation of the performance of an ozonization system for the disinfection of the nutrient solution of a greenhouse tomato crop. In Proceedings of the International Conference on sustainable Greenhouse Systems; VanStraten, G., Bot, G., VanMeurs, W., Marcelis, L., Eds.; ISHS: Leuven, Belgium, 2005; Volumes 1–2, pp. 389–394. [Google Scholar] [CrossRef]
- Bandte, M.; Hans Rodriguez, M.; Schuch, I.; Schmidt, U.; Buettner, C. Plant viruses in irrigation water: Reduced dispersal of viruses using sensor-based disinfection. Irrig. Sci. 2016, 34, 221–229. [Google Scholar] [CrossRef]
- Raviv, M.; Lieth, J.H.; Bar-Tal, A. Soilless Culture: Theory and Practice; Elsevier: Amsterdam, The Netherlands, 2019; pp. 1–714. [Google Scholar]
- Os, E.; Beerling, E.; Blok, C.; Janse, J.; Kaarsemaker, R. Zero discharge of nutrients and pesticides to the environment in hydroponic production. Acta Hortic. 2019, 1, 443–450. [Google Scholar] [CrossRef]
- Arenas, M.; Vavrina, C.S.; Cornell, J.A.; Hanlon, E.A.; Hochmuth, G.J. Coir as an alternative to peat in media for tomato transplant production. Hortscience 2002, 37, 309–312. [Google Scholar] [CrossRef]
- Ding, X.; Yu, L.; Jiang, Y.; Yang, S.; He, L.; Zhou, Q.; Yu, J.; Huang, D. Changes in Leaf Length, Width, Area, and Photosynthesis of Fruit Cucumber in a Greenhouse Production System. HortScience 2020, 55, 995–999. [Google Scholar] [CrossRef]
- Timm, S.; Florian, A.; Arrivault, S.; Stitt, M.; Fernie, A.R.; Bauwe, H. Glycine decarboxylase controls photosynthesis and plant growth. Febs Lett. 2012, 586, 3692–3697. [Google Scholar] [CrossRef]
- Zong, X.; Zhang, J.; Zhu, J.; Zhang, L.; Jiang, L.; Yin, Y.; Guo, H. Effects of polystyrene microplastic on uptake and toxicity of copper and cadmium in hydroponic wheat seedlings (Triticum aestivum L.). Ecotoxicol. Environ. Saf. 2021, 217, 112217. [Google Scholar] [CrossRef]
- Gruda, N.; Bisbis, M.; Tanny, J. Influence of climate change on protected cultivation: Impacts and sustainable adaptation strategies—A review. J. Clean. Prod. 2019, 225, 481–495. [Google Scholar] [CrossRef]
- Tsukagoshi, S.; Shinohara, Y. Nutrition and Nutrient Uptake in Soilless Culture Systems. In Plant Factory: An Indoor Vertical Farming System for Efficient Quality Food Production; Kozai, T., Niu, G., Takagaki, M., Eds.; Academic Press: Cambridge, MA, USA, 2016; pp. 165–172. ISBN 978-0-12-801848-4. [Google Scholar] [CrossRef]
- Noor, R.S.; Wang, Z.; Umair, M.; Yaseen, M.; Ameen, M.; Rehman, S.-U.; Khan, M.U.; Imran, M.; Ahmed, W.; Sun, Y. Interactive Effects of Grafting Techniques and Scion-Rootstocks Combinations on Vegetative Growth, Yield and Quality of Cucumber (Cucumis sativus L.). Agronomy 2019, 9, 288. [Google Scholar] [CrossRef]
- Ali, A.B.; Elshaikh, N.A.; Hussien, G.; Abdallah, F.E.; Hassan, S. Biochar addition for enhanced cucumber fruit quality under deficit irrigation. Biosci. J. 2020, 36, 1930–1937. [Google Scholar] [CrossRef]
- Masaki, H. Role of antioxidants in the skin: Anti-aging effects. J. Dermatol. Sci. 2010, 58, 85–90. [Google Scholar] [CrossRef]
- Fiedor, J.; Burda, K. Potential role of carotenoids as antioxidants in human health and disease. Nutrients 2014, 6, 466–488. [Google Scholar] [CrossRef] [Green Version]
- Ding, X.; Jiang, Y.; Zhao, H.; Guo, D.; He, L.; Liu, F.; Zhou, Q.; Nandwani, D.; Hui, D.; Yu, J. Electrical conductivity of nutrient solution influenced photosynthesis, quality, and antioxidant enzyme activity of pakchoi (Brassica campestris L. ssp Chinensis) in a hydroponic system. PLoS ONE 2018, 13, e0202090. [Google Scholar] [CrossRef]
- Reda, M.; Golicka, A.; Kabala, K.; Janicka, M. Involvement of NR and PM-NR in NO biosynthesis in cucumber plants subjected to salt stress. Plant Sci. 2018, 267, 55–64. [Google Scholar] [CrossRef]
- Gou, T.; Yang, L.; Hu, W.; Chen, X.; Zhu, Y.; Guo, J.; Gong, H. Silicon improves the growth of cucumber under excess nitrate stress by enhancing nitrogen assimilation and chlorophyll synthesis. Plant Physiol. Biochem. 2020, 152, 53–61. [Google Scholar] [CrossRef]
- Cho, Y.Y.; Oh, S.; Oh, M.M.; Son, J.E. Estimation of individual leaf area, fresh weight, and dry weight of hydroponically grown cucumbers (Cucumis sativus L.) using leaf length, width, and SPAD value. Sci. Hortic. 2007, 111, 330–334. [Google Scholar] [CrossRef]
- Ding, X.; Jiang, Y.; Wang, H.; Jin, H.; Zhang, H.; Chen, C.; Yu, J. Effects of cytokinin on photosynthetic gas exchange, chlorophyll fluorescence parameters, antioxidative system and carbohydrate accumulation in cucumber (Cucumis sativus L.) under low light. Acta Physiol. Plant. 2013, 35, 1427–1438. [Google Scholar] [CrossRef]
- Bradford, M.M. A rapid and sensitive method for the quantitation of microgram quantities of protein utilizing the principle of protein-dye binding. Anal. Biochem. 1976, 72, 248–254. [Google Scholar] [CrossRef]
- Śmiechowska, M.; Dmowski, P. Crude fibre as a parameter in the quality evaluation of tea. Food Chem. 2006, 94, 366–368. [Google Scholar] [CrossRef]
- Dewanto, V.; Wu, X.Z.; Adom, K.K.; Liu, R.H. Thermal processing enhances the nutritional value of tomatoes by increasing total antioxidant activity. J. Agric. Food Chem. 2002, 50, 3010–3014. [Google Scholar] [CrossRef]
- Cataldo, D.A.; Maroon, M.; Schrader, L.E.; Youngs, V.L. Rapid colorimetric determination of nitrate in plant tissue by nitration of salicylic acid. Commun. Soil Sci. Plant Anal. 1975, 6, 71–80. [Google Scholar] [CrossRef]
- Kaur, R.; Gupta, A.K.; Taggar, G.K. Nitrate reductase and nitrite as additional components of defense system in pigeonpea (Cajanus cajan L.) against Helicoverpa armigera herbivory. Pestic. Biochem. Physiol. 2014, 115, 39–47. [Google Scholar] [CrossRef]
- Song, J.; Huang, H.; Hao, Y.; Song, S.; Zhang, Y.; Su, W.; Liu, H. Nutritional quality, mineral and antioxidant content in lettuce affected by interaction of light intensity and nutrient solution concentration. Sci. Rep. 2020, 10, 2796. [Google Scholar] [CrossRef] [Green Version]










| Treatments | Leaf Mineral Elements | ||||||
|---|---|---|---|---|---|---|---|
| Macro minerals (mmol·kg−1 DW) | N | P | K | Ca | Mg | S | |
| Control | 4255.5 ± 64.5 a | 271.1 ± 7.8 b | 891.9 ± 22.3 b | 1334.7 ± 38.9 a | 334.4 ± 7.9 b | 249.3 ± 2.6 b | |
| Zero discharge | 4268.7 ± 88.3 a | 314.1 ± 2.8 a | 1015.6 ± 4.6 a | 1390.5 ± 60.9 a | 399.0 ± 7.7 a | 288.4 ± 1.3 a | |
| Trace elements (µmol·kg−1 DW) | Fe | Mn | Zn | B | Cu | Mo | |
| Control | 3321.2 ± 277.0 a | 4294.4 ± 188.7 a | 1561.8 ± 23.9 b | 8896.3 ± 331.2 a | 135.4 ± 2.8 a | 5.0 ± 0.4 a | |
| Zero discharge | 1868.8 ± 31.6 b | 3363.8 ± 44.5 b | 2268.8 ± 52.2 a | 8878.8 ± 16.1 a | 92.1 ± 2.2 b | 2.5 ± 0.2 b | |
| A | kg/1000L | A | g/1000 L | B | kg/1000 L |
|---|---|---|---|---|---|
| Ca(NO3)2·4H2O | 175 | MnSO4·H2O | 180 | KNO3 | 50 |
| EDTA-Fe (13%Fe) | 1.5 | ZnSO4·7H2O | 125 | KH2PO4 | 25 |
| Na2B4O7·10H2O | 280 | K2SO4 | 10 | ||
| CuSO4·5H2O | 25 | MgSO4·7H2O | 60 | ||
| Na2MoO4·2H2O | 15 |
Publisher’s Note: MDPI stays neutral with regard to jurisdictional claims in published maps and institutional affiliations. |
© 2022 by the authors. Licensee MDPI, Basel, Switzerland. This article is an open access article distributed under the terms and conditions of the Creative Commons Attribution (CC BY) license (https://creativecommons.org/licenses/by/4.0/).
Share and Cite
Ding, X.; He, L.; Li, R.; Qian, T.; Zhang, H.; Jin, H.; Cui, J.; Wang, H.; Zhou, Q.; Zou, J.; et al. Zero Discharge of Nutrient Solution to the Environment in a Soilless Greenhouse Cucumber Production System. Plants 2022, 11, 2252. https://doi.org/10.3390/plants11172252
Ding X, He L, Li R, Qian T, Zhang H, Jin H, Cui J, Wang H, Zhou Q, Zou J, et al. Zero Discharge of Nutrient Solution to the Environment in a Soilless Greenhouse Cucumber Production System. Plants. 2022; 11(17):2252. https://doi.org/10.3390/plants11172252
Chicago/Turabian StyleDing, Xiaotao, Lizhong He, Rongguang Li, Tingting Qian, Hongmei Zhang, Haijun Jin, Jiawei Cui, Hong Wang, Qiang Zhou, Jun Zou, and et al. 2022. "Zero Discharge of Nutrient Solution to the Environment in a Soilless Greenhouse Cucumber Production System" Plants 11, no. 17: 2252. https://doi.org/10.3390/plants11172252
APA StyleDing, X., He, L., Li, R., Qian, T., Zhang, H., Jin, H., Cui, J., Wang, H., Zhou, Q., Zou, J., Hui, D., Jiang, Y., He, K., & Yu, J. (2022). Zero Discharge of Nutrient Solution to the Environment in a Soilless Greenhouse Cucumber Production System. Plants, 11(17), 2252. https://doi.org/10.3390/plants11172252

