Growth and Development Responses of the Rhizome-Root System in Pleioblastus pygmaeus to Light Intensity
Abstract
:1. Introduction
2. Results
2.1. Light Intensity Variation
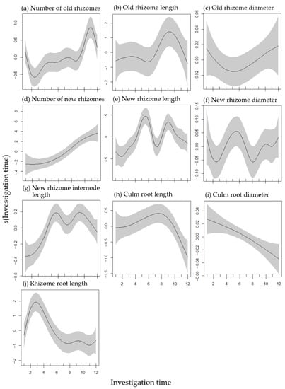
2.2. Rhizome and Root Growth Variation during Growing Period
2.3. Effects of Light Intensity on Rhizome-Root System Growth
2.4. A/U Ratio-Light Intensity and Investigation Time Analysis
3. Discussion
3.1. Growth Characteristics of Rhizome-Root System
3.2. Effects of Light Intensity on Rhizome-Root System Growth
4. Materials and Methods
4.1. Plant Materials, Soil, and Container
4.2. Experimental Design and Light Intensity Recording
4.3. Growth Measurement
4.4. Statistical Analysis
5. Conclusions
Supplementary Materials
Author Contributions
Funding
Data Availability Statement
Acknowledgments
Conflicts of Interest
References
- FAO. Global Forest Resources Assessment 2010. Food and Agriculture Organization of the United Nations, Rome, 340p. Available online: http://www.fao.org/forestry/fra/fra2010/en/ (accessed on 20 September 2020).
- Liese, W.; Köhl, M. Bamboo: The Plant and Its Uses; Springer: Berlin/Heidelberg, Germany, 2015; pp. 44–48. [Google Scholar]
- Li, P.; Zhou, G.; Du, H.; Lu, D.; Mo, L.; Xu, X.; Shi, Y.; Zhou, Y. Current and potential carbon stocks in Moso bamboo forests in China. J. Environ. Manag. 2015, 156, 89–96. [Google Scholar] [CrossRef] [PubMed]
- Kunstler, G.; Coomes, D.A.; Canham, C.D. Size-dependence of growth and mortality influence the shade tolerance of trees in a lowland temperate rain forest. J. Ecol. 2009, 97, 685–695. [Google Scholar] [CrossRef]
- Sterck, F.J.; Duursma, R.A.; Pearcy, R.W.; Valladares, F.; Cieslak, M.; Weemstra, M. Plasticity influencing the light compensation point offsets the specialization for light niches across shrub species in a tropical forest understorey. J. Ecol. 2013, 101, 971–980. [Google Scholar] [CrossRef]
- Lee, H.J.; Park, Y.J.; Ha, J.H.; Baldwin, I.T.; Park, C.M. Multiple routes of light signaling during root photomorphogenesis. Trends Plant Sci. 2017, 22, 803–812. [Google Scholar] [CrossRef]
- Schumann, T.; Paul, S.; Melzer, M.; Dörmann, P.; Jahns, P. Plant growth under natural light conditions provides highly flexible short-term acclimation properties toward high light stress. Front. Plant Sci. 2017, 8, 681. [Google Scholar] [CrossRef]
- Baligar, V.C.; Elson, M.K.; He, Z.; Li, Y.; Paiva, A.D.Q.; Almeida, A.A.F.; Ahnert, D. Light intensity effects on the growth, physiological and nutritional parameters of tropical perennial legume cover crops. Agronomy 2020, 10, 1515. [Google Scholar] [CrossRef]
- Raffo, A.; Mozzanini, E.; Nicoli, S.F.; Lupotto, E.; Cervelli, C. Effect of light intensity and water availability on plant growth, essential oil production and composition in Rosmarinus officinalis L. Eur. Food Res. Technol. 2020, 246, 167–177. [Google Scholar] [CrossRef]
- Dufour, L.; Guérin, V. Low light intensity promotes growth, photosynthesis and yield of Anthurium andreanum Lind. in tropical conditions. Adv. Hort. Sci. 2003, 17, 9–14. [Google Scholar]
- Johkan, M.; Shoji, K.; Goto, F.; Hahida, S.; Yoshihara, T. Effect of green light wavelength and intensity on photomorphogenesis and photosynthesis in Lactuca sativa. Environ. Exp. Bot. 2012, 75, 128–133. [Google Scholar] [CrossRef]
- Vialet-Chabrand, S.; Matthews, J.S.A.; Simkin, A.J.; Raines, C.A.; Lawson, T. Importance of fluctuations in light on plant photosynthetic acclimation. Plant Physiol. 2017, 173, 2163–2179. [Google Scholar] [CrossRef]
- Greer, D.H.; Weedon, M.M. Interactions between light and growing season temperatures on, growth and development and gas exchange of Semillon (Vitis vinifera L.) vines grown in an irrigated vineyard. Plant Physiol. Bioch. 2012, 54, 59–69. [Google Scholar] [CrossRef] [PubMed]
- Cheng, L.; Tang, X.; Vance, C.P.; White, P.J.; Zhang, F.; Shen, J. Interactions between light intensity and phosphorus nutrition affect the phosphate-mining capacity of white lupin (Lupinus albus L.). J. Exp. Bot. 2014, 65, 2995–3003. [Google Scholar] [CrossRef] [PubMed]
- Gottschalk, K.W. Effects of shading on growth and development of northern red oak, black oak, black cherry, and red maple seedlings. I. height, diameter, and root/shoot ratio. In Fifth Central Hardwood Forest Conference; Dawson, J.O., Majerus, K.A., Eds.; Society of American Foresters: Washington, DC, USA, 1985; pp. 189–195. [Google Scholar]
- Falster, D.S.; Westoby, M. Plant height and evolutionary games. Trends Ecol. Evol. 2003, 18, 337–343. [Google Scholar] [CrossRef]
- Hou, J.; Li, W.; Zheng, Q.; Wang, W.; Xiao, B.; Xing, D. Effects of low light intensity on growth and accumulation of secondary metabolites in roots of Glycyrrhiza uralensis Fisch. Biochem. Syst. Ecol. 2010, 38, 160–168. [Google Scholar] [CrossRef]
- Weraduwage, S.M.; Chen, J.; Anozie, F.C.; Morales, A.; Weise, S.E.; Sharkey, T.D. The relationship between leaf area growth and biomass accumulation in Arabidopsis thaliana. Front. Plant Sci. 2015, 6, 167. [Google Scholar] [CrossRef]
- Miotto, Y.E.; da Costa, C.T.; Offringa, R.; Kleine-Vehn, J.; dos Santos Maraschin, F. Effects of light intensity on root development in a D-root growth system. Front. Plant Sci. 2021, 12, 778382. [Google Scholar] [CrossRef]
- Dyachok, J.; Zhu, L.; Liao, F.; He, J.; Huq, E.; Blancaflor, E.B. SCAR mediates light-induced root elongation in Arabidopsis through photoreceptors and proteasomes. Plant Cell 2011, 23, 3610–3626. [Google Scholar] [CrossRef]
- Suzuki, A.; Suriyagoda, L.; Shigeyama, T.; Tominaga, A.; Sasaki, M.; Hiratsuka, Y.; Yoshinaga, A.; Arima, S.; Agarie, S.; Sakai, T.; et al. Lotus japonicus nodulation is photomorphogenetically controlled by sensing the red/far red (R/FR) ratio through jasmonic acid (JA) signaling. Proc. Natl. Acad. Sci. USA 2011, 108, 16837–16842. [Google Scholar] [CrossRef]
- Huang, W.; Olson, E.; Wang, S.; Shi, P. The growth and mortality of Pleioblastus pygmaeus under different light availability. Glob. Ecol. Conserv. 2020, 24, e01262. [Google Scholar] [CrossRef]
- Rivieres, A.; Rivieres, C. Les bambous. Bull. Soc. Natl. Acclim. 1897, 5, 221–253. [Google Scholar]
- Jiang, Z. Bamboo and Rattan in the World; China Forestry Publishing House: Beijing, China, 2007. [Google Scholar]
- Embaye, K.; Weih, M.; Ledin, S.; Christersson, L. Biomass and nutrient distribution in a highland bamboo forest in southwest Ethiopia: Implications for management. Forest Ecol. Manag. 2005, 204, 159–169. [Google Scholar] [CrossRef]
- Song, X.; Peng, C.; Zhou, G.; Gu, H.; Li, Q.; Zhang, C. Dynamic allocation and transfer of non-structural carbohydrates, a possible mechanism for the explosive growth of Moso bamboo (Phyllostachys heterocycla). SCI REP-UK 2016, 6, 25908. [Google Scholar] [CrossRef] [PubMed] [Green Version]
- Li, R.; Werger, M.; During, H.; Zhong, Z. Carbon and nutrient dynamics in relation to growth rhythm in the giant bamboo Phyllostachys pubescens. Plant Soil 1998, 201, 113–123. [Google Scholar] [CrossRef]
- Li, R.; Werger, M.J.A.; de Kroon, H.; During, H.J.; Zhong, Z.C. Interactions between shoot age structure, nutrient availability and physiological integration in the giant bamboo Phyllostachys pubescens. Plant Boil. 2000, 2, 437–446. [Google Scholar] [CrossRef]
- Zhou, G.; Jiang, P.; Xu, Q. Carbon Fixing and Transition in the Ecosystem of Bamboo Stands, 2nd ed.; Science Press: Beijing, China, 2010. [Google Scholar]
- Mohamed, J.; Hamid, H.A.; Nuruddin, A.A.; Majid, N.M.N.A. Chemical attributes of Gigantochloa scortechinii bamboo rhizome in relation with hydraulic conductance. BioResources 2019, 14, 8155–8173. [Google Scholar]
- Zhao, X.; Zhao, P.; Zhang, Z.; Zhu, L.; Niu, J.; Ni, G.; Hu, Y.; Ouyang, L. Sap flow-based transpiration in Phyllostachys pubescens: Applicability of the TDP methodology, age effect and rhizome role. Trees-Struct. Funct. 2017, 31, 765–779. [Google Scholar]
- Zhou, B.; Fu, M.; Xie, J.; Yang, X.; Li, Z. Ecological functions of bamboo forest: Research and application. J. For. Res. 2005, 16, 143–147. [Google Scholar]
- Lin, D.; Liu, W.; Lin, S. Estimating the effect of shear strength increment due to root on the stability of Makino bamboo forest slopeland. J. GeoEng. 2011, 6, 73–88. [Google Scholar]
- Li, C.; Cai, Y.; Xiao, L.; Gao, X.; Shi, Y.; Zhou, Y.; Du, H.; Zhou, G. Rhizome extension characteristics, structure and carbon storage relationships with culms in a 10-year moso bamboo reforestation period. Forest Ecol. Manag. 2021, 498, 119556. [Google Scholar] [CrossRef]
- Green, D.S.; Kruger, E.L. Light-mediated constraints on leaf function correlate with leaf structure among deciduous and evergreen tree species. Tree Physiol. 2001, 21, 1341–1346. [Google Scholar] [CrossRef]
- Li, Y.; Zhang, Y.; Zhang, X.; Korpelainen, H.; Berninger, F. Effects of elevated CO2 and temperature on photosynthesis and leaf traits of an understory dwarf bamboo in subalpine forest zone, China. Physiol. Plantarum 2013, 148, 261–272. [Google Scholar] [CrossRef] [PubMed]
- Huang, W.; Ratkowsky, D.A.; Hui, C.; Wang, P.; Su, J.; Shi, P. Leaf fresh weight versus dry weight: Which is better for describing the scaling relationship between leaf biomass and leaf area for broad-leaved plants? Forests 2019, 10, 256. [Google Scholar] [CrossRef]
- Wang, S.; Chen, T.; Liu, E.; Liu, C. Accessing the nursing behaviour of moso bamboo (Phyllostachys edilus) on carbohydrates dynamics and photosystems. SCI REP-UK 2020, 10, 1015. [Google Scholar] [CrossRef]
- Chen, C.; Dong, W.; Zheng, J. Growth and rhythm of rhizome system for natural forest of Phyllostachys pubescens clonal population in Haiziping. For. Sci. Technol. Dev. 2012, 26, 26–29. (In Chinese) [Google Scholar]
- Chen, H.; Hong, W.; Lan, B.; Zheng, Y.; He, D. Study on biomass and productivity of Phyllostachys heterocycala cv. pubescens forest in the north of Fujian. Sci. Silvae Sin. 1998, 34, 60–64. (In Chinese) [Google Scholar]
- Hong, C.; Fang, J.; Jin, A.; Cai, J.; Guo, H.; Ren, J.; Shao, Q.; Zheng, B. Comparative growth, biomass production and fuel properties among different perennial plants, bamboo and Miscanthus. Bot. Rev. 2011, 77, 197–207. [Google Scholar] [CrossRef]
- Liu, C.; Wang, Y.; Pan, K.; Zhu, T.; Li, W.; Zhang, L. Carbon and nitrogen metabolism in leaves and roots of dwarf bamboo (Fargesia denudata Yi) subjected to drought for two consecutive years during sprouting period. J. Plant Growth Regul. 2014, 33, 243–255. [Google Scholar] [CrossRef]
- Umemura, M.; Takenaka, C. Biological cycle of silicon in moso bamboo (Phyllostachys pubescens) forests in central Japan. Ecol. Res. 2014, 29, 501–510. [Google Scholar] [CrossRef] [Green Version]
- Correll, M.J.; Kiss, J.Z. The roles of phytochromes in elongation and gravitropism of roots. Plant Cell Physiol. 2005, 46, 317–323. [Google Scholar] [CrossRef]
- Chen, X.; Yao, Q.; Gao, X.; Jiang, C.; Harberd, N.P.; Fu, X. Shoot-to-root mobile transcription factor HY5 coordinates plant carbon and nitrogen. Curr. Biol. 2016, 26, 640–646. [Google Scholar] [CrossRef]
- Silva-Navas, J.; Moreno-Risueno, M.A.; Manzano, C.; Téllez-Robledo, B.; Navarro-Neila, S.; Carrasco, V.; Pollmann, S.; Gallego, F.J.; del Pozo, J.C. Flavonols mediate root phototropism and growth through regulation of proliferation-to-differentiation transition. Plant Cell 2016, 28, 1372–1387. [Google Scholar] [CrossRef] [PubMed]
- Mielke, M.S.; Schaffer, B. Photosynthetic and growth responses of Eugenia uniflora L. seedlings to soil flooding and light intensity. Environ. Exp. Bot. 2010, 68, 113–121. [Google Scholar] [CrossRef]
- Fu, Y.; Li, H.; Yu, J.; Liu, H.; Cao, Z.; Manukovsky, N.S.; Liu, H. Interaction effects of light intensity and nitrogen concentration on growth, photosynthetic characteristics and quality of lettuce (Lactuca sativa L. Var. youmaicai). Sci. Hortic. 2017, 214, 51–57. [Google Scholar] [CrossRef]
- Zheng, J.; Ji, F.; He, D.; Niu, G. Effect of light intensity on rooting and growth of hydroponic strawberry runner plants in a LED plant factory. Agronomy 2019, 9, 875. [Google Scholar] [CrossRef]
- Sassi, M.; Lu, Y.; Zhang, Y.; Wang, J.; Dhonukshe, P.; Blilou, I.; Dai, M.; Li, J.; Gong, X.; Jaillais, Y.; et al. COP1 mediates the coordination of root and shoot growth by light through modulation of PIN1- and PIN2-dependent auxin transport in Arabidopsis. Development 2012, 139, 3402–3412. [Google Scholar] [CrossRef]
- Yang, Y.; Liu, H. Coordinated shoot and root responses to light signaling in Arabidopsis. Plant Commun. 2020, 1, 100026. [Google Scholar] [CrossRef]
- Yang, S.; Sun, M.; Zhang, Y.; Cochard, H.; Cao, K. Strong leaf morphological, anatomical, and physiological responses of a subtropical woody bamboo (Sinarundinaria nitida) to contrasting light environments. Plant Ecol. 2014, 215, 97–109. [Google Scholar] [CrossRef]
- Brodribb, T.J.; Field, T.S.; Jordan, G.J. Leaf maximum photosynthetic rate and venation are links by hydraulics. Plant Physiol. 2007, 144, 1890–1898. [Google Scholar] [CrossRef] [Green Version]
- Sack, L.; Scoffoni, C. Leaf venation: Structure, function, development, evolution, ecology and applications in the past, present, and future. New Phytol. 2013, 198, 983–1000. [Google Scholar] [CrossRef]
- Wood, S.N. Generalized Additive Models: An Introduction with R, 2nd ed.; Chapman and Hall/CRC: New York, NY, USA, 2017. [Google Scholar]





| Parameters | Independent Variable | Degrees of Freedom | F Value | Pr (>ǀtǀ) | R2adj |
|---|---|---|---|---|---|
| Number of old rhizomes | S (light intensity) | 1.000 | 13.45 | <0.001 *** | 0.134 |
| S (invesitigation time) | 7.504 | 5.85 | <0.001 *** | ||
| Old rhizome length | S (light intensity) | 1.000 | 8.36 | <0.05 * | 0.038 |
| S (invesitigation time) | 4.233 | 1.68 | 0.134 | ||
| Old rhizome diameter | S (light intensity) | 1.000 | 0.75 | 0.388 | 0.004 |
| S (invesitigation time) | 2.140 | 1.28 | 0.394 | ||
| Number of new rhizomes | S (light intensity) | 1.928 | 74.57 | <0.001 *** | 0.418 |
| S (invesitigation time) | 2.712 | 12.08 | <0.001 *** | ||
| New rhizome length | S (light intensity) | 3.043 | 23.11 | <0.001 *** | 0.345 |
| S (invesitigation time) | 8.107 | 5.70 | <0.001 *** | ||
| New rhizome diameter | S (light intensity) | 1.329 | 7.74 | <0.05 * | 0.071 |
| S (invesitigation time) | 6.171 | 1.38 | 0.230 | ||
| New rhizome internode length | S (light intensity) | 1.825 | 23.90 | <0.001 *** | 0.292 |
| S (invesitigation time) | 6.302 | 6.79 | <0.001 *** | ||
| Culm root length | S (light intensity) | 1.000 | 0.25 | 0.617 | 0.034 |
| S (invesitigation time) | 3.068 | 4.34 | <0.05 * | ||
| Culm root diameter | S (light intensity) | 1.000 | 5.00 | <0.05 * | 0.029 |
| S (invesitigation time) | 1.331 | 5.12 | <0.01 ** | ||
| Rhizome root length | S (light intensity) | 1.913 | 24.91 | <0.001 *** | 0.203 |
| S (invesitigation time) | 5.761 | 7.17 | <0.001 *** | ||
| Ratio of aboveground dry weight to underground dry weight (A/U ratio) | S (light intensity) | 1.965 | 14.15 | <0.001 *** | 0.118 |
| S (invesitigation time) | 5.072 | 3.85 | <0.001 *** |
Publisher’s Note: MDPI stays neutral with regard to jurisdictional claims in published maps and institutional affiliations. |
© 2022 by the authors. Licensee MDPI, Basel, Switzerland. This article is an open access article distributed under the terms and conditions of the Creative Commons Attribution (CC BY) license (https://creativecommons.org/licenses/by/4.0/).
Share and Cite
Huang, W.; Ding, Y.; Wang, S.; Song, C.; Wang, F. Growth and Development Responses of the Rhizome-Root System in Pleioblastus pygmaeus to Light Intensity. Plants 2022, 11, 2204. https://doi.org/10.3390/plants11172204
Huang W, Ding Y, Wang S, Song C, Wang F. Growth and Development Responses of the Rhizome-Root System in Pleioblastus pygmaeus to Light Intensity. Plants. 2022; 11(17):2204. https://doi.org/10.3390/plants11172204
Chicago/Turabian StyleHuang, Weiwei, Yongyan Ding, Shucong Wang, Chao Song, and Fusheng Wang. 2022. "Growth and Development Responses of the Rhizome-Root System in Pleioblastus pygmaeus to Light Intensity" Plants 11, no. 17: 2204. https://doi.org/10.3390/plants11172204
APA StyleHuang, W., Ding, Y., Wang, S., Song, C., & Wang, F. (2022). Growth and Development Responses of the Rhizome-Root System in Pleioblastus pygmaeus to Light Intensity. Plants, 11(17), 2204. https://doi.org/10.3390/plants11172204

