Tentative Identification of Phytochemicals from Smilax glabra and Smilax corbularia Extracts by LC-QTOF/MS and Their Bioactive Potential
Abstract
:1. Introduction
2. Results and Discussion
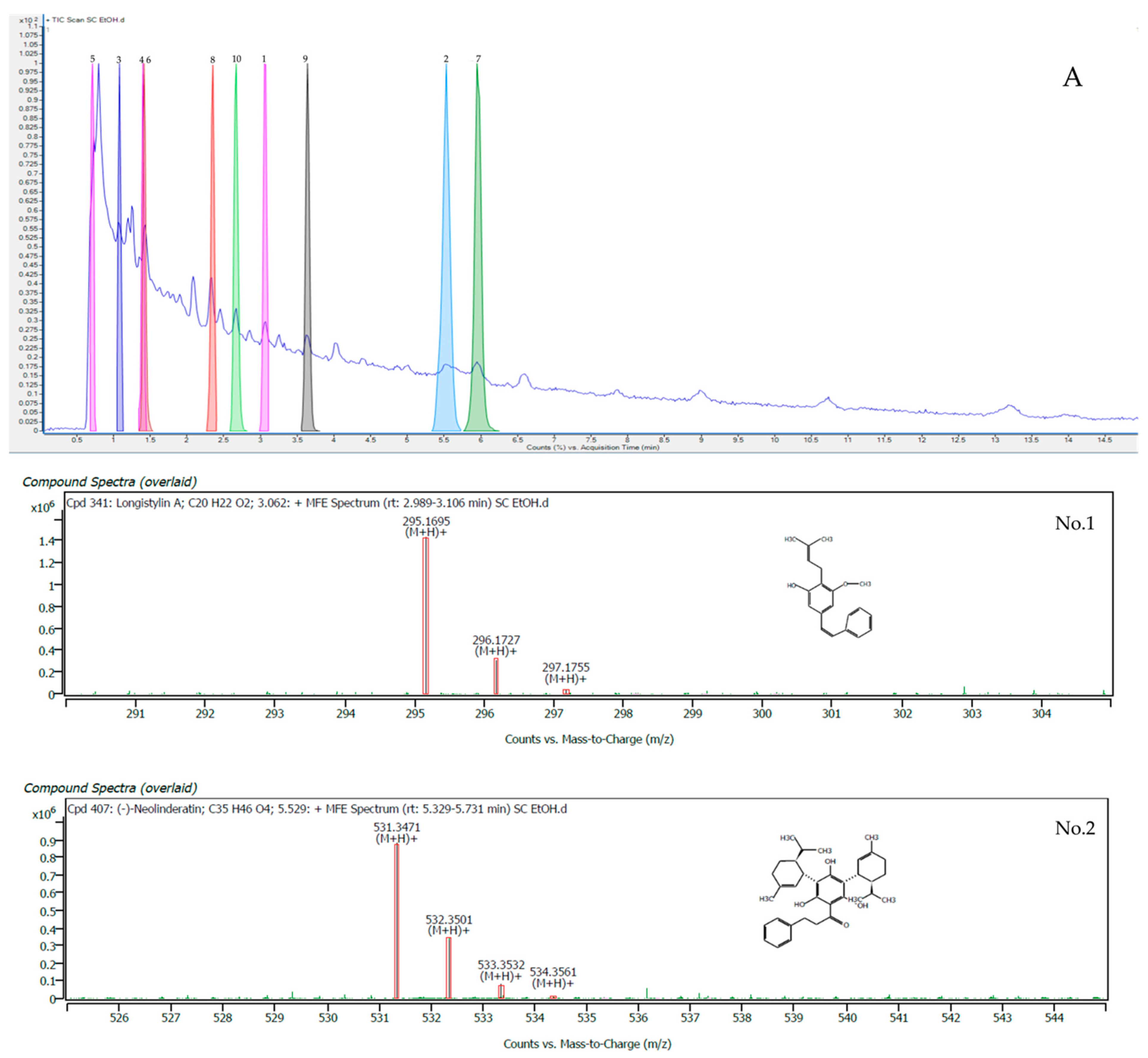
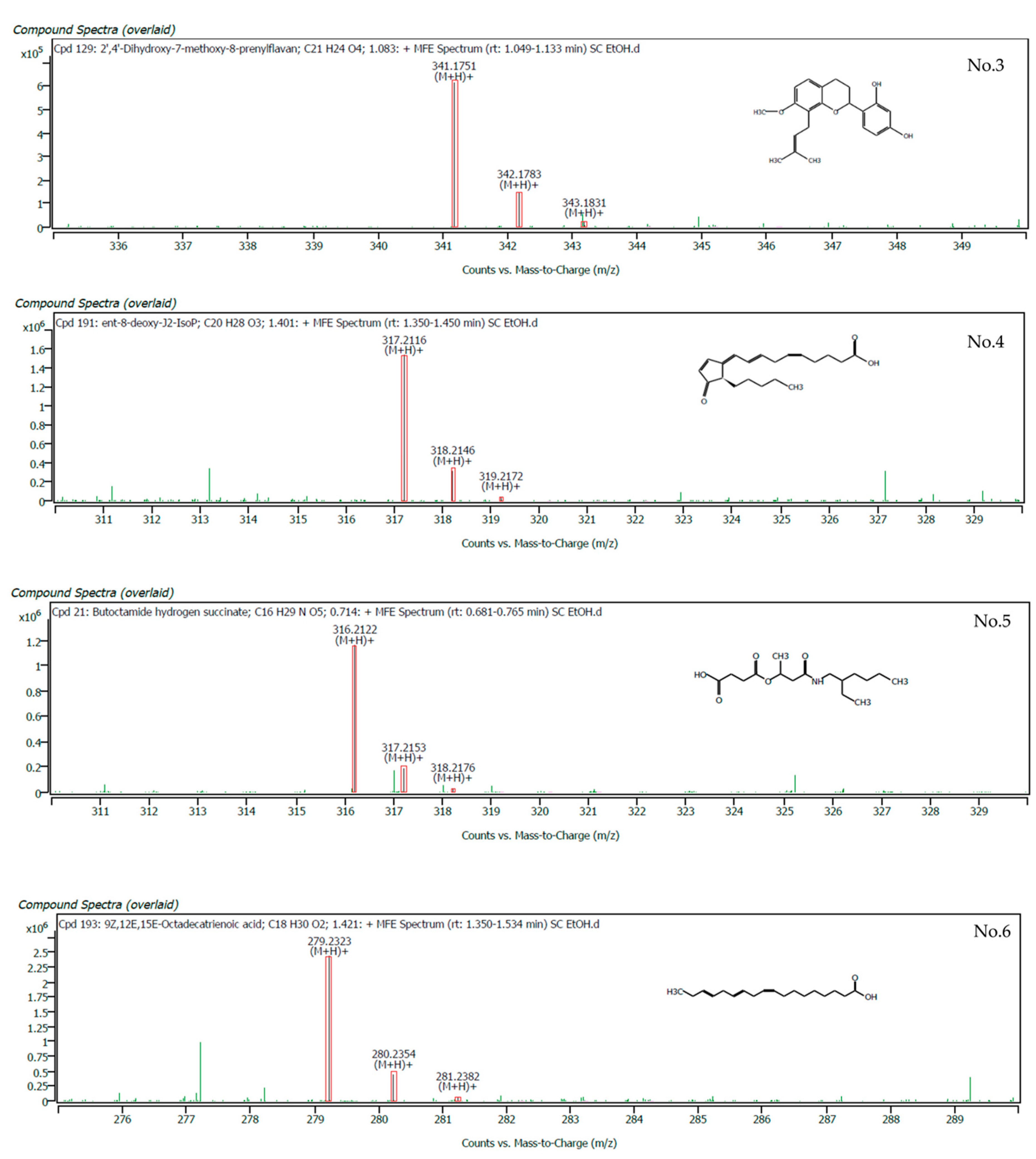
2.1. Characterization by LC-QTOF-MS
2.2. Antioxidant Activity
2.3. Total Phenolic Compound and Total Flavonoid Contents
2.4. Anti-Inflammatory Efficacy
2.5. Minimum Inhibitory Concentration and Minimum Bactericidal Concentration
3. Materials and Methods
3.1. Plant Collection
3.2. Extraction of Plant Samples
3.3. Characterization of Extract by LC-QTOF-MS
3.4. DPPH Radical Scavenging Activity
3.5. ABTS Radical Scavenging Activity
3.6. Ferric Ion Reducing Antioxidant Power Assay
3.7. Total Phenolic Compound Content
3.8. Total Flavonoid Content
3.9. Anti-Inflammatory Activity
3.10. Antibacterial Activity
4. Conclusions
Author Contributions
Funding
Data Availability Statement
Acknowledgments
Conflicts of Interest
References
- Kerimi, A.; Williamson, G. Dierential impact of flavonoids on redox modulation, bioener-getics, and cell signaling in normal and tumor cells: A comprehensive review. Antioxid. Redox Signal. 2018, 29, 1633–1659. [Google Scholar] [CrossRef] [PubMed]
- Rozenberg, K.; Wollman, A.; Ben-Shachar, M.; Argaev-Frenkel, L.; Rosenzweig, T. Anti-inflammatory effects of Sarcopoterium spinosum extract. J. Ethnopharmacol. 2019, 249, 112391. [Google Scholar] [CrossRef] [PubMed]
- Zhao, X.; Chen, R.; Shi, Y.; Zhang, X.; Tian, C.; Xia, D. Antioxidant and Anti-Inflammatory Activities of Six Flavonoids from Smilax glabra Roxb. Molecules 2020, 25, 5295. [Google Scholar] [CrossRef] [PubMed]
- Shah, W.; Jadhav, R.N.; Pimpliskar, M.; Vaidya, V. Study of Bactericidal Potency of Smilax glabra Rhizome. Int. J. Pharmacogn. Phytochem. Res. 2015, 7, 117–118. [Google Scholar]
- Zhang, Q.F.; Guo, Y.X.; Shangguan, X.; Zheng, G.; Wang, W.J. Antioxidant and anti-proliferative activity of Rhizoma Smilacis Chinae extracts and main constituents. Food Chem. 2012, 133, 140–145. [Google Scholar] [CrossRef]
- Kuspradini, H.; Mitsunaga, T.; Ohashi, H. Antimicrobial activity against Streptococcus sobrinus and glucosyltransferase inhibitory activity of taxifolin and some flavanonol rhamnosides from kempas (Koompassia malaccensis) extracts. J. Wood Sci. 2009, 55, 308–313. [Google Scholar] [CrossRef]
- Chen, L.; Yin, Y.; Yi, H.W.; Xu, Q.; Chen, T. Simultaneous quantification of five majorbioactive flavonoids in Rhizoma Smilacis Glabrae by high-performance liquid chromatography. J. Pharmaceut. Biomed. 2007, 43, 1715–1720. [Google Scholar] [CrossRef]
- Huang, H.Q.; Cheng, Z.H.; Shi, H.M.; Xin, W.B.; Wang, T.T.Y.; Yu, L.L. Isolation and characterization of two flavonoids, engeletin and astilbin, fromthe leaves of Engelhardia roxburghiana and their potential anti-inflammatory properties. J. Agric. Food Chem. 2011, 59, 4562–4569. [Google Scholar] [CrossRef]
- Vasconcelos, P.C.D.P.; Seito, L.N.; Di Stasi, L.C.; Akiko Hiruma-Lima, C.; Pellizzon, C.H. Pellizzon Epicatechin used in the treatment of intestinal inflammatory disease: An analysis by experimental models. Evid. -Based Complement. Altern. Med. 2012, 2012, 508902. [Google Scholar] [CrossRef]
- Wu, J.; Li, B.; Xiao, W.; Hu, J.; Xie, J.; Yuan, J.; Wang, L. Longistylin A, a natural stilbene isolated from the leaves of Cajanus cajan, exhibits significant anti-MRSA activity. Int. J. Antimicrob. Agents 2020, 55, 105821. [Google Scholar] [CrossRef]
- Xu, S.; Shang, M.Y.; Liu, G.X.; Xu, F.; Wang, X.; Shou, C.C.; Cai, S.Q. Chemical Constituents from the Rhizomes of Smilax glabra and Their Antimicrobial Activity. Molecules 2013, 18, 5265–5287. [Google Scholar] [CrossRef] [PubMed]
- Okoth, D.A.; Hug, J.J.; Garcia, R.; Müller, R. Three New Stigmatellin Derivatives Reveal Biosynthetic Insights of its Side Chain Decoration. Molecules 2022, 27, 4656. [Google Scholar] [CrossRef] [PubMed]
- Yalçin, I.; Şener, E. QSARs of Some Novel Antibacterial Benzimidazoles, Benzoxazoles, and Oxazolopyridines against an Enteric Gram-Negative Rod; K. pneumoniae. Int. J. Pharm. 1993, 98, 1–8. [Google Scholar] [CrossRef]
- Dorman HJ, D.; Peltoketo, A.; Hiltunen, R.; Tikkanen, M.J. Characterization of the antioxidant properties of de-odourised aqueous extracts from selected Lamiaceae herbs. Food Chem. 2003, 83, 255–262. [Google Scholar] [CrossRef]
- Trinh TT, V.; Vu, V.C.; Pham, T.H.; Pham, V.C.; Nguyen, Q.V. Antioxidant activity of extracts and astilbin from the root of Smilax glabra of Vietnam. Malays. J. Chem. 2015, 17, 12–19. [Google Scholar]
- Lu, C.L.; Zhu, W.; Wang, M.; Xu, X.J.; Lu, C.J. Antioxidant and anti-inflammatory activities of phenolic-enriched extracts of Smilax glabra. Evid. -Based Complement. Altern. Med. 2014, 2014, 910438. [Google Scholar] [CrossRef]
- Xia, D.; Yu, X.; Liao, S.; Shao, Q.; Mou, H.; Ma, W. Protective effect of Smilax glabra extract against lead-induced oxidative stress in rats. J. Ethnopharmacol. 2010, 130, 414–420. [Google Scholar] [CrossRef]
- Shah, W.; Jadhav, R.N.; Pimpliskar, M.; Vaidya, V. Evaluation of acute toxicity effect of Smilax glabra extract on white albino rats. J. Adv. Sci. Res. 2015, 6, 45–47. [Google Scholar]
- Gao, Y.; Su, Y.; Qu, L.; Xu, S.; Meng, L.; Cai, S.; Shou, C. Mitochondrial apoptosis contributes to the anti-cancer effect of Smilax glabra Roxb. Toxicol. Lett. 2011, 207, 112–120. [Google Scholar] [CrossRef]
- Shirwaikar, A.; Devi, S.; Siju, E.N. Anti-Inflammatory activity of Thespesiapopulnea fruits by Membrane Stabilization. Int. J. PharmTech Res. 2011, 3, 2060–2063. [Google Scholar]
- Sharma, S.; Kota, K.; Ragavendhra, P. HRBC Membrane Stabilization as a study tool to explore the Anti-Inflammatory activity of Alliumcepa Linn.–Relevance for 3R. J. Adv. Med. Dent. Sci. Res. 2018, 6, 30–34. [Google Scholar]
- Zubair, M.; Rizwan, K.; Rashid, U.; Saeed, R.; Saeed, A.A.; Rasool, N.; Riaz, M. GC/MS profiling, in vitro antioxidant, antimicrobial and haemolytic activities of Smilax macrophylla leaves. Arab. J. Chem. 2017, 10, S1460–S1468. [Google Scholar] [CrossRef]
- Xu, M.; Xue, H.; Li, X.; Zhao, Y.; Lin, L.; Yang, L.; Zheng, G. Chemical composition, antibacterial properties, and mechanism of Smilax china L. polyphenols. Appl. Microbiol. Biotechnol. 2019, 103, 9013–9022. [Google Scholar] [CrossRef] [PubMed]
- Arjin, C.; Hongsibsong, S.; Pringproa, K.; Seel-audom, M.; Ruksiriwanich, W.; Sutan, K.; Sommano, S.R.; Sringarm, K. Effect of Ethanolic Caesalpinia sappan Fraction on In Vitro Antiviral Activity against Porcine Reproductive and Respiratory Syndrome Virus. Vet. Sci. 2021, 8, 106. [Google Scholar] [CrossRef]
- Kek, S.P.; Chin, N.L.; Yusof, Y.A.; Tan, S.W.; Chua, L.S. Classification of entomological origin of honey based on its physicochemical and antioxidant properties. Int. J. Food Prop. 2017, 20, S2723–S2738. [Google Scholar] [CrossRef]
- Arnao, M.B.; Cano, A.; Acosta, M. The hydrophilic and lipophilic contribution to total antioxidant activity. Food Chem. 2001, 73, 239–244. [Google Scholar] [CrossRef]
- Dewanto, V.; Wu, X.; Adom, K.K.; Liu, R.H. Thermal processing enhances the nutritional value of tomatoes by increasing total antioxidant activity. J. Agric. Food Chem. 2002, 50, 3010–3014. [Google Scholar] [CrossRef]
- Miliauskas, G.; Venskutonis, P.R.; Van Beek, T.A. Screening of radical scavenging activity of some medicinal and aromatic plant extracts. Food Chem. 2004, 85, 231–237. [Google Scholar] [CrossRef]
- Seema, C.C.; Sharan, S.V.; Srinivasa, R.B.; Meena, V. In vitro anti inflammatory activity of methanolic extract of centella asiatica by HRBC membrane stabilization. Rasayan J. Chem. 2011, 4, 457–460. [Google Scholar]
- Parvekar, P.; Palaskar, J.; Metgud, S.; Maria, R.; Dutta, S. The minimum inhibitory concentration (MIC) and minimum bactericidal concentration (MBC) of silver nanoparticles against Staphylococcus aureus. Biomater. Investig. Dent. 2022, 7, 105–109. [Google Scholar] [CrossRef]










| No. | Compound | Formula | RT | Matching Score (%) | m/z | Mass | Mass Diff (db/ppm) |
|---|---|---|---|---|---|---|---|
| 1 | Longistylin A | C20 H22 O2 | 3.062 | 99.66 | 295.1695 | 294.16219 | 0.7 |
| 2 | (–)–Neolinderatin | C35 H46 O4 | 5.529 | 99.29 | 531.3471 | 530.33971 | 0.18 |
| 3 | 2′,4′-Dihydroxy-7-methoxy-8-prenylflavan | C21 H24 O4 | 1.083 | 99.03 | 341.17507 | 340.16781 | 1.04 |
| 4 | ent-8-deoxy-J2-IsoP | C20 H28 O3 | 1.401 | 98.69 | 317.21156 | 316.2042 | 1.13 |
| 5 | Butoctamide hydrogen succinate | C16 H29 N O5 | 0.714 | 98.59 | 316.21217 | 315.20487 | 0.94 |
| 6 | 9Z,12E,15E-Octadecatrienoic acid | C18 H30 O2 | 1.421 | 98.24 | 279.23231 | 278.22498 | 1.42 |
| 7 | Neolinderatone | C35 H44 O4 | 5.961 | 97.94 | 529.33167 | 528.32435 | 0.73 |
| 8 | Geissospermine | C40 H48 N4 O3 | 2.35 | 97.87 | 655.36233 | 632.37316 | 0.83 |
| 9 | (3aS)-1-Methyl-3a-(3-methylbut-2-en-1-yl)-1,2,3,3a,8,8ahexahydropyrrolo [2,3-b] indole | C16 H22 N2 | 3.641 | 97.74 | 243.18592 | 242.17866 | 1.51 |
| 10 | Stigmatellin Y | C29 H40 O6 | 2.667 | 96.96 | 485.29033 | 484.28292 | 0.89 |
| No. | Compound | Structure | RT | Matching Score (%) | m/z | Mass | Mass Diff (db/ppm) |
|---|---|---|---|---|---|---|---|
| 1 | CAY10435 | C18 H26 N2 O2 | 1.941 | 99.87 | 303.20681 | 302.19951 | 0.26 |
| 2 | Methyl cis–p–coumarate 3–(3,7–dimethyl–2,6–octadienyl) | C20 H26 O3 | 1.732 | 99.61 | 315.19574 | 314.18845 | 0.82 |
| 3 | Heminordihydroguaiaretic acid | C19 H24 O4 | 0.928 | 99.21 | 317.17504 | 316.16776 | 0.97 |
| 4 | 4,4′–Dihydroxy–5,5′–diisopropyl–2,2′–dimethyl–3,6–biphenyldione | C20 H24 O4 | 1.253 | 98.73 | 329.17517 | 328.16786 | 1.22 |
| 5 | 8,11,14–Eicosatriynoic acid | C20 H28 O2 | 1.448 | 97.91 | 301.21666 | 300.20935 | 1.38 |
| 6 | 7–[(6–Hydroxy–3,7–dimethyl–2,7–octadienyl) oxy]–2H–1–benzopyran–2–one | C19 H22 O4 | 1.173 | 97.85 | 315.15953 | 314.1522 | 1.26 |
| 7 | (3aS)–1–Methyl–3a–(3–methylbut–2–en–1–yl)–1,2,3,3a,8,8a–hexahydropyrrolo [2,3–b] indole | C16 H22 N2 | 3.612 | 97.6 | 243.18597 | 242.1787 | 1.68 |
| 8 | Stigmatellin Y | C29 H40 O6 | 2.647 | 97.23 | 485.29014 | 484.2827 | 0.58 |
| 9 | Butoctamide hydrogen succinate | C16 H29 N O5 | 0.71 | 96.29 | 316.21251 | 315.20519 | 1.95 |
| No. | Compound | Structure | RT | Mass | Mass Diff (db/ppm) |
|---|---|---|---|---|---|
| 1 | (–)–Epicatechin | C15H14O6 | 0.694 | 290.0766 | −8.46 |
| 2 | Tran–stilbene | C14H12 | 6.045 | 180.0939 | −0.21 |
| 3 | Cis–stilbene oxide | C14H12O | 1.731 | 196.0888 | −0.46 |
| 4 | Cinchonain Ib | C24H20O9 | 1.313 | 452.1125 | 3.89 |
| 5 | Neoastilbene | C21H22O11 | 0.711 | 450.1153 | −2.00 |
| Sample | Method | ||||
|---|---|---|---|---|---|
| DPPH-Scavenging Activity | ABTS Radical Scavenging Activity | Ferric Ion Reducing Antioxidant Power | |||
| %Inhibition | IC50 | %Inhibition | IC50 | mg AAE/100 g Sample | |
| Smilax corbularia | 72.24 ± 0.64 | 583.06 | 39.87 ± 2.37 | 1662.37 | 208.33 ± 50.80 |
| Smilax glabra | 71.94 ± 1.46 | 167.96 | 59.84 ± 4.80 | 2540.34 | 730.69 ± 33.62 |
| p value * | 0.005 | 0.003 | >0.001 | ||
| Sample | Method | p Value | |||
|---|---|---|---|---|---|
| Ethanol Extract | Methanol Extract | Water Extract | |||
| Total phenolic compound (mg GAE/g) | Smilax corbularia | 0.006 ± 0.000 | 0.007 ± 0.002 | 0.002 ± 0.001 | 0.002 |
| Smilax glabra * | 0.017 ± 0.001 | 0.015 ± 0.001 | 0.016 ± 0.001 | 0.068 | |
| Total flavonoid content (mg QE/g) | Smilax corbularia | 0.012 ± 0.001 | 0.008 ± 0.000 | ND | <0.001 |
| Smilax glabra | 0.043 ± 0.002 | 0.033 ± 0.002 | 0.006 ± 0.003 | <0.001 | |
| Sample | Concentration (µg/mL) | |||||
|---|---|---|---|---|---|---|
| 1000 | 500 | 100 | ||||
| % Protection | % Hemolysis | % Protection | % Hemolysis | % Protection | % Hemolysis | |
| Smilax corbularia | 96.29 | 3.71 | 95.68 | 4.32 | 96.64 | 3.36 |
| Smilax glabra | 96.90 | 3.10 | 96.20 | 3.80 | 97.26 | 2.74 |
| Sample | Bacteria | MIC and MBC (mg/mL) | |||||
|---|---|---|---|---|---|---|---|
| Ethanol Extract (EE) | Methanol Extract (ME) | Water Extract (WE) | |||||
| MIC | MBC | MIC | MBC | MIC | MBC | ||
| Smilax corbularia | M1 | 250 | 500 | 250 | 500 | - | - |
| M2 | 31.25 | 125 | 125 | 62.5 | - | - | |
| Smilax glabra | M1 | 125 | 500 | 125 | 500 | - | - |
| M2 | 62.5 | 500 | 62.5 | 500 | - | - | |
Publisher’s Note: MDPI stays neutral with regard to jurisdictional claims in published maps and institutional affiliations. |
© 2022 by the authors. Licensee MDPI, Basel, Switzerland. This article is an open access article distributed under the terms and conditions of the Creative Commons Attribution (CC BY) license (https://creativecommons.org/licenses/by/4.0/).
Share and Cite
Jeeno, P.; Tongban, S.; Yana, P.; Wongta, A.; Sutan, K.; Yadoung, S.; Hongsibsong, S. Tentative Identification of Phytochemicals from Smilax glabra and Smilax corbularia Extracts by LC-QTOF/MS and Their Bioactive Potential. Plants 2022, 11, 2089. https://doi.org/10.3390/plants11162089
Jeeno P, Tongban S, Yana P, Wongta A, Sutan K, Yadoung S, Hongsibsong S. Tentative Identification of Phytochemicals from Smilax glabra and Smilax corbularia Extracts by LC-QTOF/MS and Their Bioactive Potential. Plants. 2022; 11(16):2089. https://doi.org/10.3390/plants11162089
Chicago/Turabian StyleJeeno, Peerapong, Sukit Tongban, Pichamon Yana, Anurak Wongta, Kunrunya Sutan, Sumed Yadoung, and Surat Hongsibsong. 2022. "Tentative Identification of Phytochemicals from Smilax glabra and Smilax corbularia Extracts by LC-QTOF/MS and Their Bioactive Potential" Plants 11, no. 16: 2089. https://doi.org/10.3390/plants11162089
APA StyleJeeno, P., Tongban, S., Yana, P., Wongta, A., Sutan, K., Yadoung, S., & Hongsibsong, S. (2022). Tentative Identification of Phytochemicals from Smilax glabra and Smilax corbularia Extracts by LC-QTOF/MS and Their Bioactive Potential. Plants, 11(16), 2089. https://doi.org/10.3390/plants11162089

