Deverra triradiata Hochst. ex Boiss. from the Northern Region of Saudi Arabia: Essential Oil Profiling, Plant Extracts and Biological Activities
Abstract
:1. Introduction
2. Material and Methods
2.1. Plant Material
2.2. Isolation of Essential Oil and Crude Collection
2.3. Chemicals
2.4. Gas Chromatography
2.5. GC-MS Analyses
2.6. Identification of Components
2.7. Antioxidant Activities
2.7.1. DPPH Radical Scavenging Assays
2.7.2. ABTS Radical Cation Decolorization Assay
2.8. Minimal Inhibitory Concentration (MIC) and Minimal Fungicidal (MFC) Concentration
2.9. D. triradiata and Phytotoxic Potential of the Plant Extracts
2.10. Statistical Analysis
3. Results and Discussion
3.1. EOs Profiling
3.2. Antioxidant Activities as Assessed by EOs’ ABTS System and Plant Extracts’ DPPH System
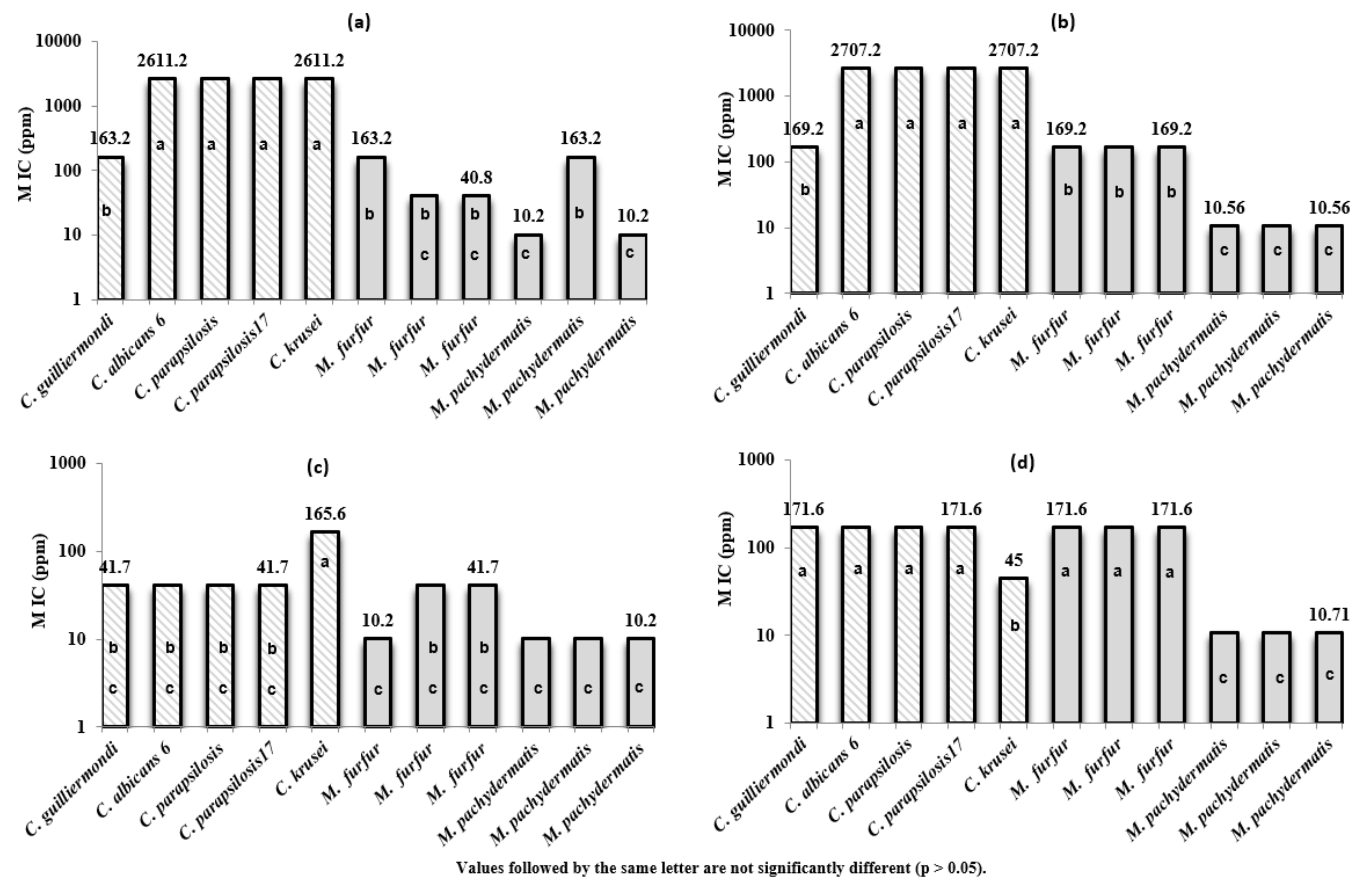
3.3. D. triradiata’s EOs Activities against Selected Strains from Malassezia spp. and Candida ssp
3.4. Allelopathic Activity of D. triradiata Plant Extracts
4. Conclusions
Supplementary Materials
Author Contributions
Funding
Institutional Review Board Statement
Informed Consent Statement
Data Availability Statement
Acknowledgments
Conflicts of Interest
References
- Ngahang, K.; Ranjbarian, F.; Cianfaglione, K.; Sut, S.; Dall’Acqua, S.; Bruno, M.; Heshmati, F.; Afshar, R.; Iannarelli, R.; Benelli, G.; et al. Identification of highly effective antitrypanosomal compounds in essential oils from the Apiaceae family. Ecotoxicol. Environ. Saf. 2018, 156, 154–165. [Google Scholar] [CrossRef] [PubMed]
- Christensen, L.P. Bioactivity of polyacetylenes in food plants. In Bioactive Foods in Promoting Health; Academic Press: Cambridge, MA, USA, 2010; pp. 285–306. [Google Scholar]
- Calvino, A.; Federico, E.T.; Downie, S.R. The role of the Southern Hemisphere in the evolutionary history of Apiaceae, a mostly north temperate plant family. J. Biogeogr. 2016, 43, 398–409. [Google Scholar] [CrossRef]
- Zhou, J.; Gong, X.; Downie, S.R.; Peng, H. Towards a more robust molecular phylogeny of Chinese Apiaceae subfamily Apioideae: Additional evidence from nrDNA ITS and cpDNA intron (rpl16 and rps16) sequences. Mol. Phylogenet. Evol. 2009, 53, 56–68. [Google Scholar] [CrossRef]
- Sayed-Ahmad, B.; Thierry, T.; Saad, Z.; Hijazi, A.; Merah, O. The Apiaceae: Ethnomedicinal family as source for industrial uses. Ind. Crops Prod. 2017, 109, 661–671. [Google Scholar] [CrossRef] [Green Version]
- Smart, N.; Fang, Z.Y.; Marwick, T.H. A practical guide to exercise training for heart failure patients. J. Card. Fail. 2003, 9, 49–58. [Google Scholar] [CrossRef]
- Pimenov, M.G.; Lenov, M.V. The Asian Umbelliferae Biodiversity Database (ASIUM) with Particular Reference to South-West Asian Taxa. Turk. J. Bot. 2004, 28, 139–145. [Google Scholar]
- Collenette, I.S. Wildflowers of Saudi Arabia; National Commission for Wildlife Conservation: Riyadh, Saudi Arabia, 1999; p. 799. [Google Scholar]
- Aati, H.; El-Gamal, A.; Shaheen, H. Traditional use of ethnomedicinal native plants in the Kingdom of Saudi Arabia. J. Ethnobiol. Ethnomed. 2019, 15, 2. [Google Scholar] [CrossRef] [PubMed]
- Guetat, A.; Boulila, A.; Boussaid, M. Phytochemical profile and biological activities of Deverra tortuosa (Desf.) DC.: A desert aromatic shrub widespread in Northern Region of Saudi Arabia. Nat. Prod. Res. 2018, 16, 2708–2713. [Google Scholar] [CrossRef]
- Deverra triradiate . Available online: https://powo.science.kew.org/taxon/urn:lsid:ipni.org:names:841277-1 (accessed on 25 May 2022).
- Chrtek, J.; Osbornova, J.; Sourkova, M. Notes on the genus Deverra (Umbelliferae). Poznamky k rodu Deverra (Umbelliferae). Preslia 1984, 56, 97–105. [Google Scholar]
- Boulos, L. Flora of Egypt; AL-Hadara Publishing: Cairo, Egypt, 2000; Volume 2. [Google Scholar]
- Halim, A.F.; Lahloub, M.F.; Saad, H.E.A.; Ahmed, A.F. Coumarins of roots of Pituranthos triradiatus growing in Egypt. Mansoura J. Pharm. Sci. 1991, 7, 402–413. [Google Scholar]
- Guetat, A. The Genus Deverra DC. (Syn. Pituranthos Viv.): A natural valuable source of bioactive phytochemicals: A review of traditional uses, phytochemistry and pharmacological properties. J. Ethnopharmacol. 2002, 284, 114447. [Google Scholar] [CrossRef] [PubMed]
- Bhatt, A.; Bhat, N.R.; Gallacher, D. Intra-plant Inflorescence and Seed Heterogeneity of Deverra triradiata (Apiaceae). Natl. Acad. Sci. Lett. 2020, 43, 463–465. [Google Scholar] [CrossRef]
- Ashkenazy, D.; Friedman, J.; Kashman, Y. The furocoumarin composition of Pituranthos triradiatus. Planta Med. 1983, 47, 218–220. [Google Scholar] [CrossRef] [PubMed]
- Ashkenazy, D.; Friedman, J.; Kashman, Y.; Egyed, M.N.; Shlosberg, A. Photosensitization in ducklings induced by Pituranthus triradiatus. Vet. Hum. Toxicol. 1984, 26, 118–120. [Google Scholar]
- Ashkenazy, D.; Kashman, Y.; Nyska, A.; Friedman, J. Furocoumarins in shoots of Pituranthos triradiatus (Umbelliferae) as protectants against grazing by hyrax (Procaviidea: Procavia capensis syriaca). J. Chem. Ecol. 1985, 11, 231–239. [Google Scholar] [CrossRef] [PubMed]
- Ashkenazy, D.; Eshel, A.; Kashman, Y.; Friedman, J. Morphological and chemical variations in natural populations of Pituranthos triradiatus in the Negev desert. Biochem. Syst. Ecol. 1987, 15, 453–458. [Google Scholar] [CrossRef]
- Liang, Y.; Xie, L.; Liu, K.; Cao, Y.; Dai, X.; Wang, X.; Lu, J.; Yhang, X.; Li, X. Bergapten: A review of its pharmacology, pharmacokinetics, and toxicity. Phytother. Res. 2021, 35, 6131–6147. [Google Scholar] [CrossRef]
- Spengler, G.; Gajdács, M.; Donadu, M.G.; Usai, M.; Marchetti, M.; Ferrari, M.; Mazzarello, V.; Zanetti, S.; Nagy, F.; Kovács, R. Evaluation of the antimicrobial and antivirulent potential of essential oils isolated from Juniperus oxycedrus L. ssp. macrocarpa aerial parts. Microorganisms 2022, 10, 758. [Google Scholar] [CrossRef] [PubMed]
- Vandeputte, P.; Ferrari, S.; Coste, A.T. Antifungal resistance and new strategies to control fungal infections. Int. J. Microbiol. 2012, 2012, 713687. [Google Scholar] [CrossRef]
- Adams, R.P. Identification of Essential Oil Components by Gas Chromatography/Mass Spectrometry; Allured Publishing Co.: Carol Stream, IL, USA, 2007. [Google Scholar]
- Brand, W.; Culivier, M.E.; Berset, C. Use of a free radical method to evaluate antioxidant activity. Lebensm. Wiss. Technol. 1995, 28, 25–30. [Google Scholar] [CrossRef]
- Dorman, H.J.D.; Hiltunen, R. Fe(III) reductive and free radical-scavenging properties of summer savory (Satureja hortensis L.) extract and subfractions. Food Chem. 2004, 88, 193–199. [Google Scholar] [CrossRef]
- Re, R.; Pellegrini, N.; Proteggente, A.; Pannala, A.; Yang, M.; Rice-Evans, C. Antioxidant activity applying an improved ABTS radical cation decolorization assay. Free Radic. Biol. Med. 1999, 26, 1231–1237. [Google Scholar] [CrossRef]
- El Hadj Ali, I.B.; Chaouachi, M.; Bahri, R.; Chaieb, I.; Boussaïd, M.; Harzallah-Skhiri, F. Chemical composition and antioxidant, antibacterial, allelopathic and insecticidal activities of essential oil of Thymus algeriensis Boiss. et Reut. Ind. Crops Prod. 2015, 77, 631–639. [Google Scholar] [CrossRef]
- Ekundayo, O.; Laakso, I.; Adegbola, R.M.; Oguntimein, B.; Sofowora, A.; Hiltunen, R. Essential Oil Constituents of Ashanti Pepper (Piper guineense) Fruits (Berries). J. Agric. Food Chem. 1988, 36, 880–882. [Google Scholar] [CrossRef]
- Wang, Y.K.; Yang, X.N.; Zhu, X.; Xiao, X.R.; Yang, X.W.; Qin, H.B.; Gonzales, F.J.; Li, F. Role of metabolic activation in elemicin-induced cellular toxicity. J. Agric. Food Chem. 2019, 67, 8243–8252. [Google Scholar] [CrossRef]
- Abdelwahed, A.; Hayder, N.; Kilani, S.; Mahmoud, A.; Chibani, J.; Hammami, L.; Chekir-Ghedira, L.; Ghedira, K. Chemical composition and antimicrobial activity of essential oils from Tunisian Pituranthos tortuosus (Coss.) Maire. Flavour Fragr. J. 2006, 21, 129–133. [Google Scholar] [CrossRef]
- Krifa, M.; El Mekdad, H.; Bentouati, N.; Pizzi, A.; Ghedira, K.; Hammami, M.; El Meshri, S.E.; Ghedira, C. Immunomodulatory and anticancer effects of Pituranthos tortuosus essential oil. Tumor Biol. 2015, 36, 5165–5170. [Google Scholar] [CrossRef]
- Almadiy, A.A.; Nenaah, G.E.; Albogami, B.Z. Bioactivity of Deverra tortuosa essential oil, its nanoemulsion, and phenylpropanoids against the cowpea weevil, a stored grain pest with eco-toxicological evaluations. Environ. Sci. Pollut. Res. 2022, 1–16. [Google Scholar] [CrossRef]
- Azzazi, M.F.A.; Afifi, M.; Tammam, O.; Sheikh Alsouk, A.M. Chemical Composition and Antifungal Activity of the Essential Oil from Deverra tortuosa against Phytopathogenic Fungi. Swift J. Agric. Res. 2015, 1, 28–32. [Google Scholar]
- Znati, M.; Ben Jannet, H.; Cazaux, S.; Bouajila, J. Chemical Composition, Biological and Cytotoxic Activities of Plant Extracts and Compounds Isolated from Ferula lutea. Molecules 2014, 19, 2733–2747. [Google Scholar] [CrossRef] [PubMed] [Green Version]
- Ebrahimzadeh, M.A.; Nabavi, S.M.; Nabavi, S.F.; Dehpour, A.A. Antioxidant activity of hydroalcholic extract of Ferula gummosa Boiss roots. Eur. Rev. Med. Pharmacol. Sci. 2011, 15, 658–664. [Google Scholar]
- Raharjo, S.J.; Mahdi, C.; Nurdiana, N.; Kikuchi, T.; Fatchiyah, F. In vitro and in silico: Selectivities of Seychellene compound as candidate cyclooxygenase isoenzyme inhibitor on pre-osteoblast cells. Curr. Enzym. Inhib. 2017, 13, 2–10. [Google Scholar] [CrossRef]
- Siva Sai, C.; Mathur, N. Inhibitory Potential of Essential Oils on Malassezia strains by Various Plants. Biol. Life Sci. Forum 2020, 4, 46. [Google Scholar]
- Potente, G.; Bonvicini, F.; Gentilomi, G.A.; Antognoni, F. Anti-Candida activity of essential oils from Lamiaceae plants from the Mediterranean area and the Middle East. Antibiotics 2020, 9, 395. [Google Scholar] [CrossRef] [PubMed]
- Dias de Castro, R.; Pereira Andrade de Souza, T.M.; Dornelas Bezerra, L.M.; Ferreira, G.L.S.; Melo de Brito Costa, E.M.; Cavalcanti, A.L. Antifungal activity and mode of action of thymol and its synergism with nystatin against Candida species involved with infections in the oral cavity: An in vitro study. BMC Complement. Altern. Med. 2015, 15, 417–422. [Google Scholar] [CrossRef] [Green Version]
- Siddiqui, Z.N.; Farooq, F.; Musthafa, T.M.; Ahmad, A.; Khan, A.U. Synthesis, characterization and antimicrobial evaluation of novel halopyrazole derivatives. J. Saudi Chem. Soc. 2013, 17, 237–243. [Google Scholar] [CrossRef] [Green Version]
- Martins, M.R.; Tinoco, M.T.; Almeida, A.S.; Cruz Morais, J. Chemical composition, antioxidant and antimicrobial properties of three essential oils from Portuguese Flora. J. Pharmac. 2012, 3, 39–44. [Google Scholar]
- Martins, N.; Ferreira, I.C.F.R.; Henriques, M.; Silva, S. In vitro anti-Candida activity of Glycyrrhiza glabra L. Ind. Crops Prod. 2016, 83, 81–85. [Google Scholar] [CrossRef] [Green Version]
- Dongmo, S.C.M.; Njateng, G.S.S.; Tane, P.; Kuiate, J.R. Chemical composition and antimicrobial activity of essential oils from Aframomum citratum, Aframomum daniellii, Piper capense and Monodora myristica. J. Med. Plants Res. 2019, 13, 173–187. [Google Scholar]
- Chung, I.M.; Kim, K.H.; Ahn, J.K.; Chun, S.C.; Kim, C.S.; Kim, J.T.; Kim, S.H. Screening of allelochemicals on barnyardgrass (Echinochloa crus-galli) and identification of potentially allelopathic compounds from rice (Oryza sativa) variety hull extracts. Crop Prot. 2002, 21, 913–920. [Google Scholar] [CrossRef]
- Abdulmanea, K.; Elena, A.; Prokudina, P.L.; Vanícková, L.; Koblovská, R.; Zelený, V.; Lapcík, O. Immunochemical and HPLC identification of isoflavonoids in the Apiaceae family. Biochem. Syst. Ecol. 2012, 45, 237–243. [Google Scholar] [CrossRef]
- Reigosa, M.J.; Sánchez-Moreiras, A.; Gonzáles, L. Ecophysiological approach in allelopathy. CRC Crit. Rev. Plant Sci. 1999, 18, 577–608. [Google Scholar] [CrossRef]
- Gatti, A.B.; Gui Ferreira, A.; Arduin, M.; Gualtieri de Andrade Perez, S.C. Allelopathic effects of aqueous extracts of Artistolochia esperanzae O. Kuntze on development of Sesamum indicum L. seedlings. Acta Bot. Bras. 2010, 24, 454–461. [Google Scholar] [CrossRef]
- Fayed, E.M.; Abd-EIGawad, A.M.; Elshamy, A.I.; El-Halawany, E.S.F.; EI-Amier, Y.A. Essential oil of Deverra tortuosa aerial parts: Detailed chemical profile, allelopathic, antimicrobial, and antioxidant activities. Chem. Biodivers. 2021, 18, e2000914. [Google Scholar] [CrossRef] [PubMed]




| Species | Collection Code | Origins |
|---|---|---|
| Candida krusei | ATCC 6258 | American Type Culture Collection |
| Candida parapsilosis | ATCC 22019 | American Type Culture Collection |
| Candida parapsilosis | ATCC 22020 | American Type Culture Collection |
| Candida albicans6 | CD1378 | Cloaca of laying hens |
| Candida Guilliermondi | CD1379 | Cloaca of laying hens |
| Malassezia pachydermatis | CD90 | Dogs with otitis |
| Malassezia pachydermatis | CD 112 | Dogs with dermatitis |
| Malassezia pachydermatis | CD 113 | Dogs with dermatitis |
| Malassezia furfur | CBS1978 | CBS-KNAW Collections |
| Malassezia furfur | CD1029 | Human skin |
| Malassezia furfur | CD1006 | Human blood |
| Compounds | RI | Roots | Seeds | Stems | Flowers | |
|---|---|---|---|---|---|---|
| 1 | Myristicin | 1517 | ND | 2.03 | 3.14 | ND |
| 2 | Seychellene | 1458 | ND | ND | 1.01 | ND |
| 3 | Dillapiol | 1633 | ND | 82.61 | 82.33 | ND |
| 4 | N-[3-(5-methyl-1,3-benzoxazol-2-yl)phenyl]formamide | 1672 | 22.13 | 11.11 | 13.52 | ND |
| 5 | Elemicin | 1558 | ND | 3.12 | ND | 100 |
| 6 | (E)-α-elemene | 1469 | 0.84 | ND | ND | ND |
| 7 | Apiol | 1682 | 72.16 | ND | ND | ND |
| 8 | 7,8,9,10-tetrahydro-anthra[1,2-b]furanne | - | 4.68 | |||
| 9 | Germacrene B | 1562 | 1.13 | |||
| Total | 99.81% | 100% | 100% | 100% |
| (A) ABTS IC50 (µg/mL) | |||
|---|---|---|---|
| 3A. | Samples | Concentration (µg/mL) | |
| EOs | Flowers | 5.42 a (±1.13) | |
| Stems | 0.706 b (±0.14) | ||
| Roots | 0.282 c (±0.01) | ||
| Ascorbic acid | 0.413 b,c (±0.018) | ||
| (B) DPPH IC50 (µg/µL) | |||
| Plant extracts | Samples | Concentration (µg/mL) | |
| Arial parts | Petroleum ether extract | 4.52 a (±0.95) | |
| Ethyl acetate extract | 2.47 c (±0.2) | ||
| Methanol extract | 2.73 b,c (±0.32) | ||
| Roots | Petroleum ether extract | 3.70 a,b (±0.26) | |
| Ethyl acetate extract | 3.18 b,c (±0.73) | ||
| Methanol extract | 4.36 a (±0.1) | ||
| Ascorbic acid | 5.41 a (±0.58) | ||
| Roots | Seeds | Stems | Flower | Itraconazole | ||||||
|---|---|---|---|---|---|---|---|---|---|---|
| Fungal Strains | MIC | MFC | MIC | MFC | MIC | MFC | MIC | MFC | MIC | MFC |
| C. guilliermondi (ACTT 6258) | 13.6 mg/mL (12 µL/mL) | 13.6 mg/mL (12 µL/mL) | 14.1 mg/mL (12 µL/mL) | 28.2 mg/mL (24 µL/mL) | 6.95 mg/mL (6 µL/mL) | 6.95 mg/mL (6 µL/mL) | 7.15 mg/mL (6 µL/mL) | 14.3 mg/mL (12 µL/mL) | 32 | 64 |
| C. albicans 6 (ACTT 22019) | 54.4 mg/mL (48 µL/mL) | >54.4 mg/mL (48 µL/mL) | 56.4 mg/mL (48 µL/mL) | 56.4 mg/mL (48 µL/mL) | 6.95 mg/mL (6 µL/mL) | 13.8 mg/mL (12 µL/mL) | 14.3 mg/mL (12 µL/mL) | 14.3 mg/mL (12 µL/mL) | > 64 | > 64 |
| C. parapsilosis (ACTT 22020) | 54.4 mg/mL (48 µL/mL) | > 54.4 mg/mL (48 µL/mL) | 56.4 mg/mL (48µL/mL) | 56.4 mg/mL (48 µL/mL) | 6.95 mg/mL (6 µL/mL) | 13.8 mg/mL (12 µL/mL) | 14.3 mg/mL (12 µL/mL) | 14.3 mg/mL (12 µL/mL) | 0.32 | 0.64 |
| C. parapsilosis17 (CD 1378) | 54.4 mg/mL (48 µL/mL) | > 54.4 mg/mL (48 µL/mL) | 56.4 mg/mL (48 µL/mL) | 56.4 mg/mL (48 µL/mL) | 6.95 mg/mL (6 µL/mL) | 13.8 mg/mL (12 µL/mL) | 14.3 mg/mL (12 µL/mL) | 14.3 mg/mL (12 µL/mL) | 0.32 | 0.64 |
| C. krusei (CD 1379) | 54.4 mg/mL (48 µL/mL) | > 54.4 mg/mL (48 µL/mL) | 56.4 mg/mL (48 µL/mL) | 56.4 mg/mL (48 µL/mL) | 13.8 mg/mL (12 µL/mL) | 13.8 mg/mL (12 µL/mL) | 7.15 mg/mL (6 µL/mL) | 7.15 mg/mL (6 µL/mL) | 0.64 | > 0.64 |
| Candida ssp. | 46.24 mg/mL (± 17.20) | > 46.24 mg/mL (17.20 ±) | 47.94 mg/mL (±17.84) | 48.76 mg/mL (± 11.54) | 8.32 mg/mL (± 2.89) | 12.43 mg/mL (± 2.89) | 11.44 mg/mL (± 3.69) | 12.87 mg/mL (± 3.01) | > 19.54 (± 26.78) | > 25.98 (± 32.72) |
| M. furfur (CD 90) | 13.6 mg/mL (12 µL/mL) | 27.2 mg/mL (24 µL/mL) | 14.10 mg/mL (12 µL/mL) | 14.10 mg/mL (12 µL/mL) | 3.4 mg/mL (3 µL/mL) | 6.95 mg/mL (6 µL/mL) | 7.15 mg/mL (6 µL/mL) | 14.3 mg/mL (12 µL/mL) | 0.32 | 0.32 |
| M. furfur (CD 112) | 6.8 mg/mL (6 µL/mL) | 13.6 mg/mL (12 µL) | 14.10 mg/mL (12 µL/mL) | 14.10 mg/mL (12 µL/mL) | 6.95 mg/mL (6 µL/mL) | 13.8 mg/mL (12 µL/mL) | 7.15 mg/mL (6 µL/mL) | 14.3 mg/mL (12 µL/mL) | 0.32 | 0.32 |
| M. furfur(CD 113) | 6.8 mg/mL (6 µL/mL) | 13.6 mg/mL (12 µL/mL) | 14.10 mg/mL (12 µL) | 14.10 mg/mL (12 µL/mL) | 6.95 mg/mL (6 µL/mL) | 13.8 mg/mL (12 µL/mL) | 7.15 mg/mL (6 µL/mL) | 14.3 mg/mL (12 µL/mL) | 0.32 | 0.32 |
| M. pachydermatis (CBS 1978) | 3.4 mg/mL (3 µL/mL) | 3.4 mg/mL (3 µL/mL) | 3.52 mg/mL (3 µL/mL) | 3.52 mg/mL (3 µL/mL) | 3.4 mg/mL (3 µL/mL) | 3.4 mg/mL (3 µL/mL) | 3.57 mg/mL (3 µL) | 3.57 mg/mL (3 µL/mL) | 0.32 | 0.32 |
| M. pachydermatis (CD 1029) | 13.6 mg/mL (12 µL/mL) | 27.2 mg/mL (24 µL/mL) | 3.52 mg/mL (3 µL/mL) | 7.05 mg/mL (6 µL/mL) | 3.4 mg/mL (3 µL/mL) | 3.4 mg/mL (3 µL/mL) | 3.57 mg/mL (3 µL/mL) | 3.57 mg/mL (3 µL/mL) | 0.32 | 0.32 |
| M. pachydermatis (CD 1006) | 3.4 mg/mL (3 µL/mL) | 3.4 mg/mL (3 µL/mL) | 3.52 mg/mL (3 µL/mL) | 7.05 mg/mL (6 µL/mL) | 3.4 mg/mL (3 µL/mL) | 6.95 mg/mL (6 µL/mL) | 3.57 mg/mL (3 µL/mL) | 3.57 mg/mL (3 µL/mL) | 0.32 | 0.32 |
| Malassezia ssp. | 7.93 mg/mL (±4.43) | 14.73 mg/mL (±10.18) | 8.81 mg/mL (±5.53) | 9.99 mg/mL (±4.47) | 4.58 mg/mL (±1.75) | 8.05 mg/mL (±4.51) | 5.36 mg/mL (±1.87) | 8.94 mg/mL (±5.6) | 0.32 (±0.00) | 0.32 (±0.00) |
Publisher’s Note: MDPI stays neutral with regard to jurisdictional claims in published maps and institutional affiliations. |
© 2022 by the authors. Licensee MDPI, Basel, Switzerland. This article is an open access article distributed under the terms and conditions of the Creative Commons Attribution (CC BY) license (https://creativecommons.org/licenses/by/4.0/).
Share and Cite
Guetat, A.; Abdelwahab, A.T.; Yahia, Y.; Rhimi, W.; Alzahrani, A.K.; Boulila, A.; Cafarchia, C.; Boussaid, M. Deverra triradiata Hochst. ex Boiss. from the Northern Region of Saudi Arabia: Essential Oil Profiling, Plant Extracts and Biological Activities. Plants 2022, 11, 1543. https://doi.org/10.3390/plants11121543
Guetat A, Abdelwahab AT, Yahia Y, Rhimi W, Alzahrani AK, Boulila A, Cafarchia C, Boussaid M. Deverra triradiata Hochst. ex Boiss. from the Northern Region of Saudi Arabia: Essential Oil Profiling, Plant Extracts and Biological Activities. Plants. 2022; 11(12):1543. https://doi.org/10.3390/plants11121543
Chicago/Turabian StyleGuetat, Arbi, Abdelrahman T. Abdelwahab, Yassine Yahia, Wafa Rhimi, A. Khuzaim Alzahrani, Abdennacer Boulila, Claudia Cafarchia, and Mohamed Boussaid. 2022. "Deverra triradiata Hochst. ex Boiss. from the Northern Region of Saudi Arabia: Essential Oil Profiling, Plant Extracts and Biological Activities" Plants 11, no. 12: 1543. https://doi.org/10.3390/plants11121543
APA StyleGuetat, A., Abdelwahab, A. T., Yahia, Y., Rhimi, W., Alzahrani, A. K., Boulila, A., Cafarchia, C., & Boussaid, M. (2022). Deverra triradiata Hochst. ex Boiss. from the Northern Region of Saudi Arabia: Essential Oil Profiling, Plant Extracts and Biological Activities. Plants, 11(12), 1543. https://doi.org/10.3390/plants11121543

