Phenotypic Selection in Halenia elliptica D. Don (Gentianaceae), an Alpine Biennial with Mixed Mating System
Abstract
1. Introduction
2. Results
2.1. Flower Traits, Pollinator Observation and Seed Size
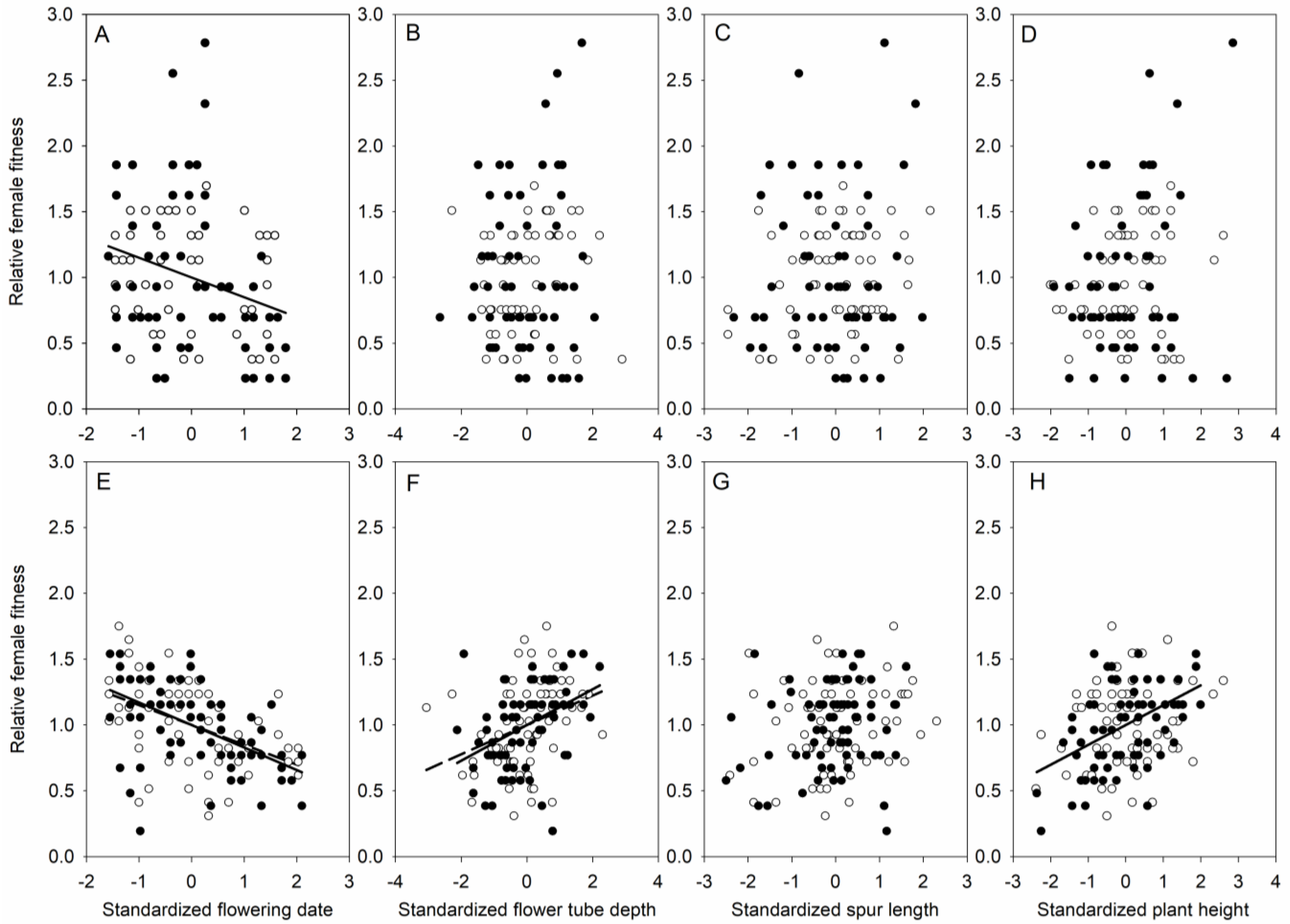
2.2. Phenotypic Selection on Morphological Traits
3. Discussion
3.1. Variation of Morphological Traits
3.2. Phenotypic Selection on Morphological Traits
4. Materials and Methods
4.1. Species and Populations
4.2. Flower Traits, Pollinator Observation and Seed Size
4.3. Phenotypic Selection of Morphological Traits
4.4. Statistical Analysis
5. Conclusions
Supplementary Materials
Author Contributions
Funding
Data Availability Statement
Conflicts of Interest
References
- Ollerton, J.; Winfree, R.; Tarrant, S. How many flowering plants are pollinated by animals? Oikos 2011, 120, 321–326. [Google Scholar] [CrossRef]
- Larson, B.M.H.; Barrett, S.C.H. A comparative analysis of pollen limitation in flowering plants. Biol. J. Linn. Soc. 2000, 69, 503–520. [Google Scholar] [CrossRef]
- Ashman, T.L.; Knight, T.M.; Steets, J.A.; Amarasekare, P.; Burd, M.; Campbell, D.R.; Dudash, M.R.; Johnston, M.O.; Mazer, S.J.; Mitchell, R.J.; et al. Pollen limitation of plant reproduction: Ecological and evolutionary causes and consequences. Ecology 2004, 85, 2408–2421. [Google Scholar] [CrossRef]
- Knight, T.M.; Steets, J.A.; Vamosi, J.C.; Mazer, S.J.; Burd, M.; Campbell, D.R.; Dudash, M.R.; Johnston, M.O.; Mitchell, R.J.; Ashman, T.L. Pollen limitation of plant reproduction: Pattern and process. Annu. Rev. Ecol. Evol. Syst. 2005, 36, 467–497. [Google Scholar] [CrossRef]
- Biesmeijer, J.C.; Roberts, S.P.M.; Reemer, M.; Ohlemüller, R.; Edwards, M.; Peeters, T.; Schaffers, A.P.; Potts, S.G.; Kleukers, R.; Thomas, C.D.; et al. Parallel declines in pollinators and insect-pollinated plants in Britain and The Netherlands. Science 2006, 313, 351–354. [Google Scholar] [CrossRef] [PubMed]
- Fishman, L.; Willis, J.H. Pollen limitation and natural selection on floral characters in the yellow monkeyflower, Mimulus guttatus. New Phytol. 2008, 177, 802–810. [Google Scholar] [CrossRef]
- Cameron, S.A.; Lozier, J.D.; Strange, J.P.; Koch, J.B.; Cordes, N.; Solter, L.F.; Griswold, T.L. Patterns of widespread decline in North American bumble bees. Proc. Natl. Acad. Sci. USA 2011, 108, 662–667. [Google Scholar] [CrossRef]
- Burkle, L.A.; Marlin, J.C.; Knight, T.M. Plant-pollinator interactions over 120 years: Loss of species, co-occurrence, and function. Science 2013, 339, 1611–1615. [Google Scholar] [CrossRef]
- Thomann, M.; Imbert, E.; Devaux, C.; Cheptou, P.O. Flowering plants under global pollinator decline. Trends Plant Sci. 2013, 18, 353–359. [Google Scholar] [CrossRef]
- Ollerton, J.; Erenler, H.; Edwards, M.; Crockett, R. Extinctions of aculeate pollinators in Britain and the role of large-scale agricultural changes. Science 2014, 346, 1360–1362. [Google Scholar] [CrossRef]
- Duan, Y.W.; Ren, H.; Li, T.; Wang, L.L.; Zhang, Z.Q.; Tu, Y.L.; Yang, Y.P. A century of pollination success revealed by herbarium specimens of seed pods. New Phytol. 2019, 224, 1512–1517. [Google Scholar] [CrossRef] [PubMed]
- Thomson, J.D. Progressive deterioration of pollination service detected in a 17-year study vanishes in a 26-year study. New Phytol. 2019, 224, 1151–1159. [Google Scholar] [CrossRef] [PubMed]
- Lau, J.A.; Galloway, L.F. Effects of low-efficiency pollinators on plant fitness and floral trait evolution in Campanula americana (Campanulaceae). Oecologia 2004, 141, 577–583. [Google Scholar] [CrossRef]
- Sletvold, N.; Ågren, J. Pollinator-mediated selection on floral display and spur length in the orchid Gymnadenia conopsea. Int. J. Plant Sci. 2010, 171, 999–1009. [Google Scholar] [CrossRef]
- Sletvold, N.; Grindeland, J.M.; Ågren, J. Pollinator-mediated selection on floral display, spur length and flowering phenology in the deceptive orchid Dactylorhiza lapponica. New Phytol. 2010, 188, 385–392. [Google Scholar] [CrossRef] [PubMed]
- Chapurlat, E.; Ågren, J.; Sletvold, N. Spatial variation in pollinator-mediated selection on phenology, floral display and spur length in the orchid Gymnadenia conopsea. New Phytol. 2015, 208, 1264–1275. [Google Scholar] [CrossRef]
- Chen, L.L.; Zhang, B.; Li, Q.J. Pollinator-mediated selection on flowering phenology and floral display in a distylous herb Primula alpicola. Sci. Rep. 2017, 7, 8. [Google Scholar] [CrossRef]
- Zhang, G.P.; Meng, L.H.; Wu, Z.K.; Zhang, Z.Q.; Yin, L.J.; Yang, Y.P.; Duan, Y.W. Natural selection on floral traits of Caltha scaposa (Ranunculaceae), an alpine perennial with generalized pollination system from Northwest Yunnan. Plant Divers. 2017, 39, 202–207. [Google Scholar] [CrossRef]
- Parachnowitsch, A.L.; Kessler, A. Pollinators exert natural selection on flower size and floral display in Penstemon digitalis. New Phytol. 2010, 188, 393–402. [Google Scholar] [CrossRef]
- Bartkowska, M.P.; Johnston, M.O. Pollinators cause stronger selection than herbivores on floral traits in Lobelia cardinalis (Lobeliaceae). New Phytol. 2012, 193, 1039–1048. [Google Scholar] [CrossRef]
- Anton, K.A.; Ward, J.R.; Cruzan, M.B. Pollinator-mediated selection on floral morphology: Evidence for transgressive evolution in a derived hybrid lineage. J. Evol. Biol. 2013, 26, 660–673. [Google Scholar] [CrossRef] [PubMed]
- Lavi, R.; Sapir, Y. Are pollinators the agents of selection for the extreme large size and dark color in Oncocyclus irises? New Phytol. 2015, 205, 369–377. [Google Scholar] [CrossRef] [PubMed]
- Sletvold, N.; Moritz, K.K.; Ågren, J. Additive effects of pollinators and herbivores result in both conflicting and reinforcing selection on floral traits. Ecology 2015, 96, 214–221. [Google Scholar] [CrossRef] [PubMed]
- Bode, R.F.; Tong, R. Pollinators exert positive selection on flower size on urban, but not on rural Scotch broom (Cytisus scoparius L. Link). J. Plant Ecol. 2018, 11, 493–501. [Google Scholar] [CrossRef]
- Irwin, R.E.; Warren, P.S.; Adler, L.S. Phenotypic selection on floral traits in an urban landscape. Proc. R. Soc. B-Biol. Sci. 2018, 285, 1884. [Google Scholar] [CrossRef]
- de Jager, M.L.; Peakall, R. Experimental examination of pollinator-mediated selection in a sexually deceptive orchid. Ann. Bot. 2019, 123, 347–354. [Google Scholar] [CrossRef]
- Sletvold, N. The context dependence of pollinator-mediated selection in natural populations. Int. J. Plant Sci. 2019, 180, 934–943. [Google Scholar] [CrossRef]
- García, M.; Benítez-Vieyra, S.; Sérsic, A.N.; Pauw, A.; Cocucci, A.A.; Traveset, A.; Sazatornil, F.; Paiaro, V. Is variation in flower shape and length among native and non-native populations of Nicotiana glauca a product of pollinator-mediated selection? Evol. Ecol. 2020, 34, 893–913. [Google Scholar] [CrossRef]
- Ågren, J.; Hellström, F.; Toräng, P.; Ehrlén, J. Mutualists and antagonists drive among-population variation in selection and evolution of floral display in a perennial herb. Proc. Natl. Acad. Sci. USA 2013, 110, 18202–18207. [Google Scholar] [CrossRef]
- Sletvold, N.; Ågren, J. There is more to pollinator-mediated selection than pollen limitation. Evolution 2014, 68, 1907–1918. [Google Scholar] [CrossRef]
- Zhang, Z.Q.; Li, Q.J. Autonomous selfing provides reproductive assurance in an alpine ginger Roscoea schneideriana (Zingiberaceae). Ann. Bot. 2008, 102, 531–538. [Google Scholar] [CrossRef] [PubMed]
- Toräng, P.; Vikström, L.; Wunder, J.; Wötzel, S.; Coupland, G.; Ågren, J. Evolution of the selfing syndrome: Anther orientation and herkogamy together determine reproductive assurance in a self-compatible plant. Evolution 2017, 71, 2206–2218. [Google Scholar] [CrossRef] [PubMed]
- Teixido, A.L.; Aizen, M.A. Reproductive assurance weakens pollinator-mediated selection on flower size in an annual mixed-mating species. Ann. Bot. 2019, 123, 1067–1077. [Google Scholar] [CrossRef] [PubMed]
- Kalisz, S.; Vogler, D.W. Benefits of autonomous selfing under unpredictable pollinator environments. Ecology 2003, 84, 2928–2942. [Google Scholar] [CrossRef]
- Duan, Y.W.; Dafni, A.; Hou, Q.Z.; He, Y.P.; Liu, J.Q. Delayed selfing in an alpine biennial Gentianopsis paludosa (Gentianaceae) in the Qinghai-Tibetan Plateau. J. Integr. Plant Biol. 2010, 52, 593–599. [Google Scholar] [CrossRef]
- Zhang, C.; Zhou, G.Y.; Yang, Y.P.; Duan, Y.W. Better than nothing: Evolution of autonomous selfing under strong inbreeding depression in an alpine annual from the Qinghai-Tibet Plateau. J. Syst. Evol. 2014, 52, 363–367. [Google Scholar] [CrossRef]
- Ling, T.C.; Wang, L.L.; Zhang, Z.Q.; Dafni, A.; Duan, Y.W.; Yang, Y.P. High autonomous selfing capacity and low flower visitation rates in a subalpine population of Prunella vulgaris (Lamiaceae). Plant Ecol. Evol. 2017, 150, 59–66. [Google Scholar] [CrossRef][Green Version]
- Barrett, S.C.H. The evolution of plant sexual diversity. Nat. Rev. Genet. 2002, 3, 274–284. [Google Scholar] [CrossRef]
- Fisher, R.A. Average excess and average effect of a gene substitution. Ann. Eugen. 1941, 11, 53–63. [Google Scholar] [CrossRef]
- Takebayashi, N.; Morrell, P.L. Is self-fertilization an evolutionary dead end? Revisiting an old hypothesis with genetic theories and a macroevolutionary approach. Am. J. Bot. 2001, 88, 1143–1150. [Google Scholar] [CrossRef]
- Lande, R.; Schemske, D.W. The evolution of self-fertilization and inbreeding depression in plants. Ⅰ. Genetic models. Evolution 1985, 39, 24–40. [Google Scholar] [PubMed]
- Igic, B.; Busch, J.W. Is self-fertilization an evolutionary dead end? New Phytol. 2013, 198, 386–397. [Google Scholar] [CrossRef] [PubMed]
- Fenster, C.B.; Ritland, K. Evidence for natural selection on mating system in Mimulus (Scrophulariaceae). Int. J. Plant Sci. 1994, 155, 588–596. [Google Scholar] [CrossRef]
- Sicard, A.; Lenhard, M. The selfing syndrome: A model for studying the genetic and evolutionary basis of morphological adaptation in plants. Ann. Bot. 2011, 107, 1433–1443. [Google Scholar] [CrossRef] [PubMed]
- Runquist, R.D.B.; Geber, M.A.; Pickett-Leonard, M.; Moeller, D.A. Mating system evolution under strong pollen limitation: Evidence of disruptive selection through male and female fitness in Clarkia xantiana. Am. Nat. 2017, 189, 549–563. [Google Scholar] [CrossRef] [PubMed]
- Jiménez-Lobato, V.; Escudero, M.; Díaz Lifante, Z.; Andrés-Camacho, C.; De Castro, A.; Mansion, G.; Zeltner, L.; Arroyo, J. Evolution of reproductive traits and selfing syndrome in the sub-endemic Mediterranean genus Centaurium Hill (Gentianaceae). Bot. J. Linn. Soc. 2019, 191, 216–235. [Google Scholar] [CrossRef]
- Goodwillie, C.; Sargent, R.D.; Eckert, C.G.; Elle, E.; Geber, M.A.; Johnston, M.O.; Kalisz, S.; Moeller, D.A.; Ree, R.H.; Vallejo-Marin, M.; et al. Correlated evolution of mating system and floral display traits in flowering plants and its implications for the distribution of mating system variation. New Phytol. 2010, 185, 311–321. [Google Scholar] [CrossRef]
- Knight, T.M.; Steets, J.A.; Ashman, T.L. A quantitative synthesis of pollen supplementation experiments highlights the contribution of resource reallocation to estimates of pollen limitation. Am. J. Bot. 2006, 93, 271–277. [Google Scholar] [CrossRef]
- Mazer, S.J.; Dudley, L.S.; Delesalle, V.A.; Paz, H.; Galusky, P. Stability of pollen-ovule ratios in pollinator-dependent versus autogamous Clarkia sister taxa: Testing evolutionary predictions. New Phytol. 2009, 183, 630–648. [Google Scholar] [CrossRef]
- Plitmann, U.; Levin, D.A. Breeding systems in the Polemoniaceae. Plant Syst. Evol. 1990, 170, 205–214. [Google Scholar] [CrossRef]
- Cruden, R.W. Pollen-ovule ratio: A conservative indicator of breeding system in flowering plants. Evolution 1977, 31, 32–46. [Google Scholar] [CrossRef] [PubMed]
- Hodges, S.A.; Arnold, M.L. Spurring plant diversification: Are floral nectar spurs a key innovation? Proc. R. Soc. Lond. Ser. B Biol. Sci. 1995, 262, 343–348. [Google Scholar]
- Ho, T.N.; Prigle, J.S. Gentianaceae. In Flora of China; Wu, Z.Y., Raven, P.H., Hong, D.Y., Eds.; Science Press & Missouri Botanical Garden: Beijing, China; Saint Louis, MO, USA, 1995; pp. 1–139. [Google Scholar]
- Whittall, J.B.; Hodges, S.A. Pollinator shifts drive increasingly long nectar spurs in columbine flowers. Nature 2007, 447, 706–709. [Google Scholar] [CrossRef] [PubMed]
- Kalisz, S.; Randle, A.; Chaiffetz, D.; Faigeles, M.; Butera, A.; Beight, C. Dichogamy correlates with outcrossing rate and defines the selfing syndrome in the mixed-mating genus Collinsia. Ann. Bot. 2012, 109, 571–582. [Google Scholar] [CrossRef] [PubMed]
- Tedder, A.; Carleial, S.; Gołębiewska, M.; Kappel, C.; Shimizu, K.K.; Stift, M. Evolution of the Selfing Syndrome in Arabis alpina (Brassicaceae). PLoS ONE 2015, 10, e0126618. [Google Scholar] [CrossRef]
- Rifkin, J.L.; Liao, I.T.; Castillo, A.S.; Rausher, M.D. Multiple aspects of the selfing syndrome of the morning glory Ipomoea lacunosa evolved in response to selection: A Qst-Fst comparison. Ecol. Evol. 2019, 9, 7712–7725. [Google Scholar] [CrossRef]
- Wang, X.J.; Barrett, S.C.H.; Zhong, L.; Wu, Z.K.; Li, D.Z.; Wang, H.; Zhou, W. The genomic selfing syndrome accompanies the evolutionary breakdown of heterostyly. Mol. Biol. Evol. 2020, 38, 168–180. [Google Scholar] [CrossRef]
- Hodges, S.A. Floral nectar spurs and diversification. Int. J. Plant Sci. 1997, 158, S81–S88. [Google Scholar] [CrossRef]
- Yang, M.L.; Wang, L.L.; Zhang, G.P.; Meng, L.H.; Yang, Y.P.; Duan, Y.W. Equipped for migrations across high latitude regions? Reduced spur length and outcrossing rate in a biennial Halenia elliptica (Gentianaceae) with mixed mating system along a latitude gradient. Front. Genet. 2018, 9, 223. [Google Scholar] [CrossRef]
- Baker, H.G. Self compatibility and establishment after long distance dispersal. Evolution 1955, 9, 347–349. [Google Scholar]
- Wang, L.L.; Zhao, M.F.; Wang, Y.; Duan, Y.W.; Yang, Y.P. A preliminary study on geographical variations in floral traits of Halenia elliptica (Gentianaceae) based on herbaria. Plant Divers. Resour. 2011, 33, 503–508. [Google Scholar]
- Lloyd, D.G.; Webb, C.J. Secondary sex characters in plants. Bot. Rev. 1977, 43, 177–216. [Google Scholar] [CrossRef]
- West, S.A. Sex Allocation; Princeton University Press: Princeton, NJ, USA, 2009; pp. 1–150. [Google Scholar]
- Smith, C.C.; Fretwell, S.D. The optimal balance between size and number of offspring. Am. Nat. 1974, 108, 499–506. [Google Scholar] [CrossRef]
- Sallabanks, R. Fruit fate, frugivory, and fruit characteristics: A study of the hawthorn, Crataegus monogyna (Rosaceae). Oecologia 1992, 91, 296–304. [Google Scholar] [CrossRef] [PubMed]
- Meng, L.H.; Wang, Y.; Luo, J.; Yang, Y.P.; Duan, Y.W. The trade-off and altitudinal variations in seed weight-number in Sinopodophyllum hexandrum (Royle) Ying (Berberidaceae) populations from the Hengduan Mountains. Pol. J. Ecol. 2014, 62, 413–419. [Google Scholar]
- Maloof, J.E.; Inouye, D.W. Are nectar robbers cheaters or mutualists? Ecology 2011, 81, 2651–2661. [Google Scholar] [CrossRef]
- Zhang, C.; Irwin, R.E.; Wang, Y.; He, Y.P.; Yang, Y.P.; Duan, Y.W. Selective seed abortion induced by nectar robbing in the selfing plant Comastoma pulmonarium. New Phytol. 2011, 192, 249–255. [Google Scholar] [CrossRef]
- Sapir, Y.; Armbruster, W.S. Pollinator-mediated selection and floral evolution: From pollination ecology to macroevolution. New Phytol. 2011, 188, 303–306. [Google Scholar] [CrossRef]
- Austen, E.J.; Rowe, L.; Stinchcombe, J.R.; Forrest, J.R.K. Explaining the apparent paradox of persistent selection for early flowering. New Phytol. 2017, 215, 929–934. [Google Scholar] [CrossRef]
- Ison, J.L.; Wagenius, S.; Reitz, D.; Ashley, M.V. Mating between Echinacea angustifolia (Asteraceae) individuals increases with their flowering synchrony and spatial proximity. Am. J. Bot. 2014, 101, 180–189. [Google Scholar] [CrossRef]
- Molau, U. Relationships between flowering phenology and life history strategies in tundra plants. Arct. Alp. Res. 1993, 25, 391–402. [Google Scholar] [CrossRef]
- Nilsson, L.A. The evolution of flowers with deep corolla tubes. Nature 1988, 334, 147–149. [Google Scholar] [CrossRef]
- Von Hagen, K.B.; Kadereit, J.W. The diversification of Halenia (Gentianaceae): Ecological opportunity versus key innovation. Evolution 2003, 57, 2507–2518. [Google Scholar] [CrossRef] [PubMed]
- Fenster, C.B.; Armbruster, W.S.; Wilson, P.; Dudash, M.R.; Thomson, J.D. Pollination syndromes and floral specialization. Annu. Rev. Ecol. Evol. Syst. 2004, 35, 375–403. [Google Scholar] [CrossRef]
- Semchenko, M.; Lepik, M.; Götzenberger, L.; Zobel, K. Positive effect of shade on plant growth: Amelioration of stress or active regulation of growth rate? J. Ecol. 2012, 100, 459–466. [Google Scholar] [CrossRef]
- Wang, L.L.; Meng, L.H.; Luo, J. Florivory modulates the seed number-seed weight relationship in Halenia elliptica (Gentianaceae). Sci. World J. 2015, 2015, 610735. [Google Scholar] [CrossRef]
- Wu, J.F.; Jia, D.R.; Liu, R.J.; Zhou, Z.L.; Wang, L.L.; Chen, M.Y.; Meng, L.H.; Duan, Y.W. Multiple lines of evidence supports the two varieties of Halenia elliptica (Gentianaceae) as two species. Plant Divers. 2021. [Google Scholar] [CrossRef]
- Zhao, Z.G.; Meng, J.L.; Fan, B.L.; Du, G.Z. Reproductive patterns within racemes in protandrous Aconitum gymnandrum (Ranunculaceae): Potential mechanism and among-family variation. Plant Syst. Evol. 2008, 273, 247–256. [Google Scholar] [CrossRef]
- Zhao, D.Q.; Hao, Z.K.; Tao, J. Effects of shade on plant growth and flower quality in the herbaceous peony (Paeonia lactiflora Pall.). Plant Physiol. Biochem. 2012, 61, 187–196. [Google Scholar] [CrossRef]
- Zhang, C.; Hu, L.J.; Wang, Y.; Duan, Y.W.; Yang, Y.P. Effects of the position on floral traits and reproductive success of Comastoma pulmonarium (Gentianaceae). Plant Divers. 2011, 33, 495–502. [Google Scholar]
- Lande, R.; Arnold, S.J. The measurement of selection on correlated characters. Evolution 1983, 37, 1210–1226. [Google Scholar] [CrossRef] [PubMed]
- Sánchez-Lafuente, A.M.; Parra, R. Implications of a long-term, pollinator-mediated selection on floral traits in a generalist herb. Ann. Bot. 2009, 104, 689–701. [Google Scholar] [CrossRef] [PubMed]
- Panique, H.; Caruso, C.M. Simulated pollinator declines intensify selection on floral traits that facilitate selfing and outcrossing in Impatiens capensis. Am. J. Bot. 2019, 107, 148–154. [Google Scholar] [CrossRef] [PubMed]
- Aspi, J.; Jakalaniemi, A.; Tuomi, J.; Siikamaki, P. Multilevel phenotypic selection on morphological characters in a metapopulation of Silene tatarica. Evolution 2003, 57, 509–517. [Google Scholar] [CrossRef]



| Source | Flowering Date (Day of Year) | Flower Tube Depth (cm) | Spur Length (cm) | Plant Height (cm) | Seed Production | ||||||||||
|---|---|---|---|---|---|---|---|---|---|---|---|---|---|---|---|
| Wald χ2 | d.f. | Sig. | Wald χ2 | d.f. | Sig. | Wald χ2 | d.f. | Sig. | Wald χ2 | d.f. | Sig. | Wald χ2 | d.f. | Sig. | |
| Treatment | 0.35 | 1 | 0.56 | 11.26 | 1 | <0.01 | 35.58 | 1 | <0.01 | 0.96 | 1 | 0.33 | 0.19 | 1 | 0.66 | 
| Population | 6500.42 | 1 | <0.01 | 2.73 | 1 | 0.10 | 65.15 | 1 | <0.01 | 24.37 | 1 | <0.01 | 219.72 | 1 | <0.01 | 
| Treat. × Pop. | 0.07 | 1 | 0.79 | 0.02 | 1 | 0.88 | 5.25 | 1 | 0.02 | 8.36 | 1 | <0.01 | 5.59 | 1 | 0.02 | 
| Flowering Date (Day of Year) | Flower Tube Depth (cm) | Spur Length (cm) | Plant Height (cm) | |
|---|---|---|---|---|
| Flowering date (Day of Year) | − | −0.19 * | 0.03 | 0.36 ** | 
| Flower tube depth (cm) | −0.24 ** | − | 0.23 * | <0.01 | 
| Spur length (cm) | −0.01 | 0.07 | − | 0.11 | 
| Plant height (cm) | 0.09 | 0.06 | 0.02 | − | 
| Traits | Low Selfing Rate Population | High Selfing Rate Population | ||||||
|---|---|---|---|---|---|---|---|---|
| Control | Netting | Control | Netting | |||||
| B | Sig. | B | Sig. | B | Sig. | B | Sig. | |
| Flowering date (Day of Year) | −0.15 ± 0.08 | 0.05 | −0.06 ± 0.05 | 0.22 | −0.17 ± 0.03 | <0.01 | −0.15 ± 0.04 | <0.01 | 
| Flower tube depth (cm) | 0.04 ± 0.08 | 0.63 | 0.07 ± 0.05 | 0.19 | 0.14 ± 0.03 | <0.01 | 0.11 ± 0.04 | <0.01 | 
| Spur length (cm) | 0.01 ± 0.08 | 0.96 | 0.08 ± 0.05 | 0.09 | 0.07 ± 0.04 | 0.06 | 0.06 ± 0.04 | 0.12 | 
| Plant height (cm) | 0.13 ± 0.08 | 0.09 | 0.08 ± 0.05 | 0.13 | 0.15 ± 0.034 | <0.01 | 0.06 ± 0.04 | 0.15 | 
| Traits | Low Selfing Rate Population | High Selfing Rate Population | ||||||
|---|---|---|---|---|---|---|---|---|
| Control | Netting | Control | Netting | |||||
| B | Sig. | B | Sig. | B | Sig. | B | Sig. | |
| Flowering date (Day of Year) | −0.24 ± 0.08 | <0.01 | −0.09 ± 0.05 | 0.10 | −0.16 ± 0.03 | <0.01 | −0.15 ± 0.04 | <0.01 | 
| Flower tube depth (cm) | −0.04 ± 0.11 | 0.75 | 0.01 ± 0.06 | 0.87 | 0.05 ± 0.03 | 0.10 | 0.05 ± 0.04 | 0.26 | 
| Spur length (cm) | 0.03 ± 0.11 | 0.78 | 0.08 ± 0.05 | 0.15 | 0.04 ± 0.03 | 0.18 | 0.04 ± 0.04 | 0.40 | 
| Plant height (cm) | 0.21 ± 0.08 | 0.01 | 0.12 ± 0.05 | 0.03 | 0.15 ± 0.03 | <0.01 | 0.08 ± 0.03 | 0.03 | 
| Publisher’s Note: MDPI stays neutral with regard to jurisdictional claims in published maps and institutional affiliations. | 
© 2022 by the authors. Licensee MDPI, Basel, Switzerland. This article is an open access article distributed under the terms and conditions of the Creative Commons Attribution (CC BY) license (https://creativecommons.org/licenses/by/4.0/).
Share and Cite
Huang, X.; Chen, M.; Wang, L.; Yang, M.; Yang, N.; Li, Z.; Duan, Y. Phenotypic Selection in Halenia elliptica D. Don (Gentianaceae), an Alpine Biennial with Mixed Mating System. Plants 2022, 11, 1488. https://doi.org/10.3390/plants11111488
Huang X, Chen M, Wang L, Yang M, Yang N, Li Z, Duan Y. Phenotypic Selection in Halenia elliptica D. Don (Gentianaceae), an Alpine Biennial with Mixed Mating System. Plants. 2022; 11(11):1488. https://doi.org/10.3390/plants11111488
Chicago/Turabian StyleHuang, Xiaojuan, Minyu Chen, Linlin Wang, Mingliu Yang, Nacai Yang, Zhonghu Li, and Yuanwen Duan. 2022. "Phenotypic Selection in Halenia elliptica D. Don (Gentianaceae), an Alpine Biennial with Mixed Mating System" Plants 11, no. 11: 1488. https://doi.org/10.3390/plants11111488
APA StyleHuang, X., Chen, M., Wang, L., Yang, M., Yang, N., Li, Z., & Duan, Y. (2022). Phenotypic Selection in Halenia elliptica D. Don (Gentianaceae), an Alpine Biennial with Mixed Mating System. Plants, 11(11), 1488. https://doi.org/10.3390/plants11111488
 
         
                                                

 
       