Enantiomer-Selective Characterization of the Adsorption, Dissipation, and Phytotoxicity of the Plant Monoterpene Pulegone in Soils
Abstract
:1. Introduction
2. Results and Discussion
2.1. Adsorption of Pulegone on the Soils and Model Soil Constituents
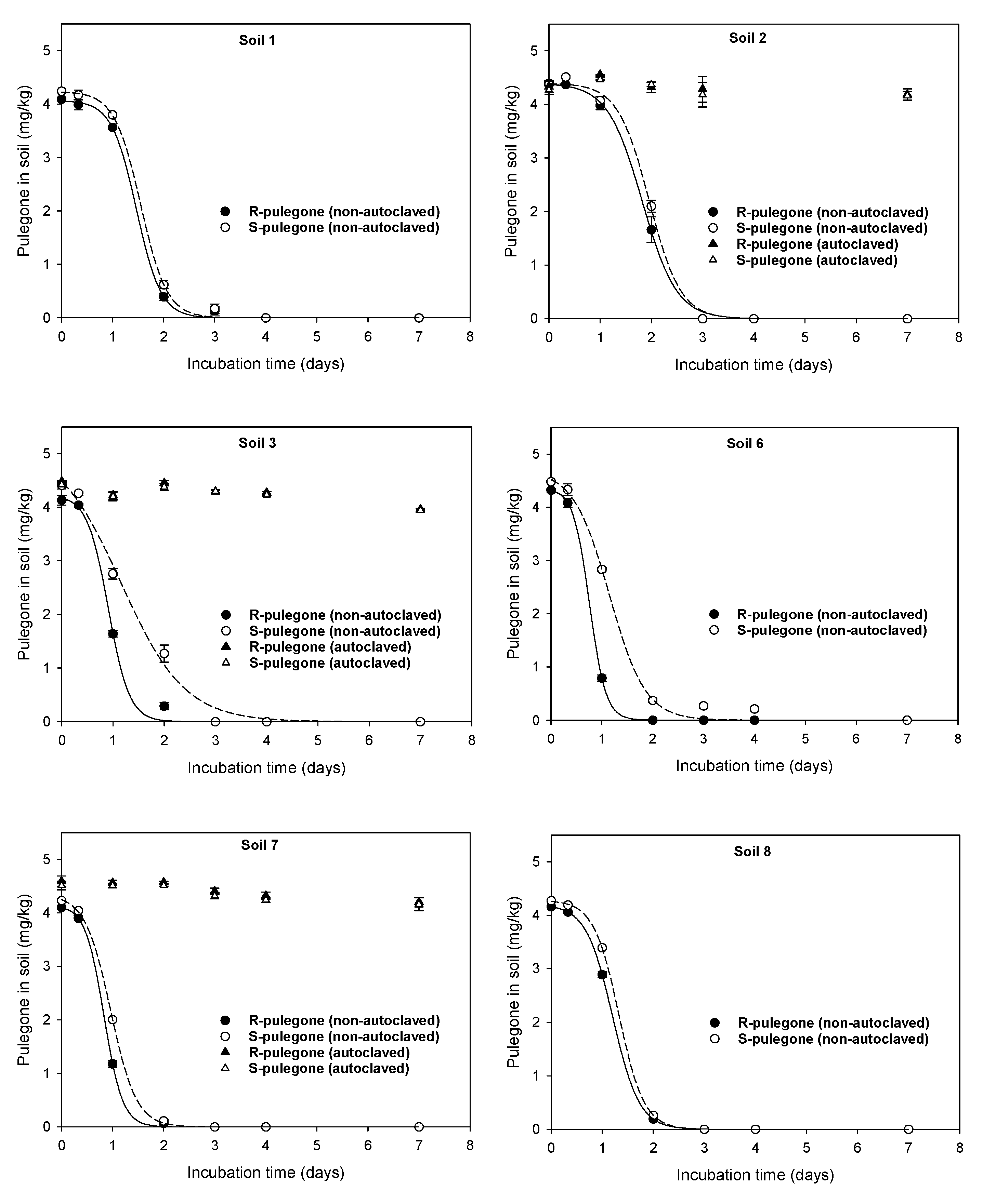
2.2. Soil Dissipation
2.3. Petri Dish Phytotoxicity Tests
2.4. Soil Bioassay: Effect of Oleate-Modified Hydrotalcite as a Soil Improver
3. Materials and Methods
3.1. Pulegone, Soils, Model Soil Constituents, and Adsorbent Material
3.2. Adsorption-Desorption Experiments
3.3. Soil Dissipation Experiments
3.4. Bioassays
3.5. Analysis of Pulegone
3.6. Data Treatment
4. Conclusions
Supplementary Materials
Author Contributions
Funding
Institutional Review Board Statement
Informed Consent Statement
Data Availability Statement
Acknowledgments
Conflicts of Interest
References
- Scavo, A.; Abbate, C.; Mauromicale, G. Plant allelochemicals: Agronomic, nutritional and ecological relevance in the soil system. Plant Soil 2019, 442, 23–48. [Google Scholar] [CrossRef]
- Inderjit; Weiner, J. Plant allelochemical interference or soil chemical ecology? Perspect. Plant Ecol. Evol. Syst. 2001, 4, 3–12. [Google Scholar] [CrossRef] [Green Version]
- Scavo, A.; Mauromicale, G. Crop allelopathy for sustainable weed management in agroecosystems: Knowing the present with a view to the future. Agronomy 2021, 11, 2104. [Google Scholar] [CrossRef]
- Karamanoli, K.; Ainalidou, A.; Bouzoukla, F.; Vokou, D. Decomposition profiles of leaf essential oils in the soil environment. Ind. Crops Prod. 2018, 124, 397–401. [Google Scholar] [CrossRef]
- Kobayashi, K. Factors affecting phytotoxic activity of allelochemicals in soil. Weed Biol. Manag. 2004, 4, 1–7. [Google Scholar] [CrossRef]
- Gámiz, B.; Hermosín, M.C.; Celis, R. Appraising factors governing sorption and dissipation of the monoterpene carvone in agricultural soils. Geoderma 2018, 321, 61–68. [Google Scholar] [CrossRef] [Green Version]
- Reigosa, M.J.; Sánchez-Moreiras, A.; González, L. Ecophysiological approach in allelopathy. Crit. Rev. Plant Sci. 1999, 18, 577–608. [Google Scholar] [CrossRef]
- Tharayil, N.; Bhowmik, P.C.; Xing, B. Preferential sorption of phenolic phytotoxins to soil: Implications for altering the availability of allelochemicals. J. Agric. Food Chem. 2006, 54, 3033–3040. [Google Scholar] [CrossRef]
- Galán-Pérez, J.A.; Gámiz, B.; Celis, R. Determining the effect of soil properties on the stability of scopoletin and its toxicity to target plants. Biol. Fertil. Soils 2021, 57, 643–655. [Google Scholar] [CrossRef]
- Xiao, Z.; Le, C.; Xu, Z.; Gu, Z.; Lv, J.; Shamsi, I.H. Vertical leaching of allelochemicals affecting their bioactivity and the microbial community of soil. J. Agric. Food Chem. 2017, 65, 7847–7853. [Google Scholar] [CrossRef]
- Bertin, C.; Harmon, R.; Akaogi, M.; Weidenhamer, J.D.; Weston, L.A. Assessment of the phytotoxic potential of m-tyrosine in laboratory soil bioassays. J. Chem. Ecol. 2009, 35, 1288–1294. [Google Scholar] [CrossRef] [PubMed]
- Travaini, M.L.; Sosa, G.M.; Ceccarelli, E.A.; Walter, H.; Cantrell, C.L.; Carrillo, N.J.; Dayan, F.E.; Meepagala, K.M.; Duke, S.O. Khellin and visnagin, furanochromones from Ammi visnaga (L.) Lam., as potential bioherbicides. J. Agric. Food Chem. 2016, 64, 9475–9487. [Google Scholar] [CrossRef] [PubMed] [Green Version]
- Soltys, D.; Krasuska, U.; Bogatek, R.; Gniazdowska, A. Allelochemicals as Bioherbicides-Present and Perspectives. In Herbicides-Current Research and Case Studies in Use; Price, A.J., Kelton, J.A., Eds.; Intech: London, UK, 2013; pp. 517–542. [Google Scholar]
- Macías, F.A.; Mejías, F.J.R.; Molinillo, J.M.G. Recent advances in allelopathy for weed control: From knowledge to applications. Pest Manag. Sci. 2019, 75, 2413–2436. [Google Scholar] [CrossRef] [PubMed]
- Bravetti, M.M.d.M.; Carpinella, M.C.; Palacios, S.M. Phytotoxicity of Cortaderia Speciosa extract, active principles, degradation in soil and effectiveness in field tests. Chemoecology 2020, 30, 15–24. [Google Scholar] [CrossRef]
- Jabran, K.; Mahajan, G.; Sardana, V.; Chauhan, B.S. Allelopathy for weed control in agricultural systems. Crop Prot. 2015, 72, 57–65. [Google Scholar] [CrossRef]
- Trezzi, M.M.; Vidal, R.A.; Balbinot Junior, A.A.; von Hertwig Bittencourt, H.; Filho, A.P.d.S.S. Allelopathy: Driving mechanisms governing its activity in agriculture. J. Plant Interact. 2016, 11, 53–60. [Google Scholar] [CrossRef]
- Zhou, B.; Kong, C.H.; Wang, P.; Li, Y.H. Chemical constituents of the essential oils of wild oat and crabgrass and their effects on the growth and allelochemical production of wheat. Weed Biol. Manag. 2013, 13, 62–69. [Google Scholar] [CrossRef]
- Chalkos, D.; Karamanoli, K.; Vokou, D. Monoterpene enrichments have positive impacts on soil bacterial communities and the potential of application in bioremediation. Plants 2021, 10, 2536. [Google Scholar] [CrossRef]
- Zhou, S.; Zokir, T.; Mei, Y.; Lei, L.; Shi, K.; Zou, T.; Zhang, C.; Shao, H. Allelopathic effect of Serphidium kaschgaricum (Krasch.) Poljak. volatiles on selected species. Plants 2021, 10, 495. [Google Scholar] [CrossRef]
- Abrahim, D.; Braguini, W.L.; Kelmer-Bracht, A.M.; Ishii-Iwamoto, E.L. Effects of four monoterpenes on germination, primary root growth, and mitochondrial respiration of maize. J. Chem. Ecol. 2000, 26, 611–624. [Google Scholar] [CrossRef]
- Demirci, B.; Tabanca, N.; Husnur Can Baser, K. Enantiomeric distribution of some monoterpenes in the essential oils of some salvia species. Flavour Fragr. J. 2002, 17, 54–58. [Google Scholar] [CrossRef]
- Vaughn, S.F.; Spencer, G.F. Volatile monoterpenes as potential parent structures for new herbicides. Weed Sci. 1993, 41, 114–119. [Google Scholar] [CrossRef] [Green Version]
- Vokou, D.; Douvli, P.; Blionis, G.J.; Halley, J.M. Effects of monoterpenoids, acting alone or in pairs, on seed germination and subsequent seedling growth. J. Chem. Ecol. 2003, 29, 2281–2301. [Google Scholar] [CrossRef] [PubMed]
- Puig, C.G.; Gonçalves, R.F.; Valentão, P.; Andrade, P.B.; Reigosa, M.J.; Pedrol, N. The consistency between phytotoxic effects and the dynamics of allelochemicals release from Eucalyptus globulus leaves used as bioherbicide green manure. J. Chem. Ecol. 2018, 44, 658–670. [Google Scholar] [CrossRef] [PubMed]
- Chaimovitsh, D.; Shachter, A.; Abu-Abied, M.; Rubin, B.; Sadot, E.; Dudai, N. Herbicidal activity of monoterpenes is associated with disruption of microtubule functionality and membrane integrity. Weed Sci. 2017, 65, 19–30. [Google Scholar] [CrossRef] [Green Version]
- Weidenhamer, J.D.; Macias, F.A.; Fischer, N.H.; Williamson, G.B. Just how insoluble are monoterpenes? J. Chem. Ecol. 1993, 19, 1799–1807. [Google Scholar] [CrossRef]
- Santana, O.; Andrés, M.F.; Sanz, J.; Errahmani, N.; Abdeslam, L.; González-Coloma, A. Valorization of essential oils from Moroccan aromatic plants. Nat. Prod. Commun. 2014, 9, 1109–1114. [Google Scholar] [CrossRef] [Green Version]
- Dancewicz, K.; Gabrys, B.; Dams, I.; Wawrzeńczyk, C. Enantiospecific effect of pulegone and pulegone-derived lactones on Myzus persicae (Sulz.) settling and feeding. J. Chem. Ecol. 2008, 34, 530–538. [Google Scholar] [CrossRef]
- Caputo, L.; Cornara, L.; Raimondo, F.M.; De Feo, V.; Vanin, S.; Denaro, M.; Trombetta, D.; Smeriglio, A. Mentha pulegium l.: A plant underestimated for its toxicity to be recovered from the perspective of the circular economy. Molecules 2021, 26, 2154. [Google Scholar] [CrossRef]
- Domingues, P.M.; Santos, L. Essential oil of pennyroyal (Mentha pulegium): Composition and applications as alternatives to pesticides—new tendencies. Ind. Crops Prod. 2019, 139, 111534. [Google Scholar] [CrossRef]
- Božović, M.; Ragno, R.; Tzakou, O. Calamintha nepeta (L.) savi and its main essential oil constituent pulegone: Biological activities and chemistry. Molecules 2017, 22, 290. [Google Scholar] [CrossRef] [PubMed]
- Siano, F.; Catalfamo, M.; Cautela, D.; Servillo, L.; Castaldo, D. Analysis of pulegone and its enanthiomeric distribution in mint-flavoured food products. Food Addit. Contam. 2005, 22, 197–203. [Google Scholar] [CrossRef] [PubMed]
- Engel, W. In vivo studies on the metabolism of the monoterpene pulegone in humans using the metabolism of ingestion-correlated amounts (MICA) approach: Explanation for the toxicity differences between (S)-(-)- and (R)-(+)-Pulegone. J. Agric. Food Chem. 2003, 51, 6589–6597. [Google Scholar] [CrossRef] [PubMed]
- Ouédraogo, I.W.K.; De Winter, J.; Gerbaux, P.; Bonzi-Coulibaly, Y.L. Volatility profiles of monoterpenes loaded onto cellulosic-based materials. Ind. Crops Prod. 2013, 51, 100–106. [Google Scholar] [CrossRef]
- Celis, R.; Gámiz, B.; Adelino, M.A.; Hermosín, M.C.; Cornejo, J. Environmental behavior of the enantiomers of the chiral fungicide metalaxyl in Mediterranean agricultural soils. Sci. Total Environ. 2013, 444, 288–297. [Google Scholar] [CrossRef] [Green Version]
- Pauzat, F.; Marloie, G.; Markovits, A.; Ellinger, Y. Global versus local adsorption selectivity. Int. J. Astrobiol. 2015, 14, 563–570. [Google Scholar] [CrossRef]
- Sukul, P.; Lamshöft, M.; Zühlke, S.; Spiteller, M. Evaluation of sorption-desorption processes for metalaxyl in natural and artificial soils. J. Environ. Sci. Health Part B 2013, 48, 431–441. [Google Scholar] [CrossRef]
- Qin, F.; Gao, Y.X.; Guo, B.Y.; Xu, P.; Li, J.Z.; Wang, H.L. Environmental behavior of benalaxyl and furalaxyl enantiomers in agricultural soils. J. Environ. Sci. Health Part B Pestic. Food Contam. Agric. Wastes 2014, 49, 738–746. [Google Scholar] [CrossRef]
- Gámiz, B.; López-Cabeza, R.; Facenda, G.; Velarde, P.; Hermosín, M.C.; Cox, L.; Celis, R. Effect of synthetic clay and biochar addition on dissipation and enantioselectivity of tebuconazole and metalaxyl in an agricultural soil: Laboratory and field experiments. Agric. Ecosyst. Environ. 2016, 230, 32–41. [Google Scholar] [CrossRef] [Green Version]
- Gámiz, B.; Facenda, G.; Celis, R. Evidence for the effect of sorption enantioselectivity on the availability of chiral pesticide enantiomers in soil. Environ. Pollut. 2016, 213, 966–973. [Google Scholar] [CrossRef] [Green Version]
- Huang, J.; Liang, C.; Zhang, X. Effects of nano-SiO2 on the adsorption of chiral metalaxyl to agricultural soils. Environ. Pollut. 2017, 225, 201–210. [Google Scholar] [CrossRef] [PubMed]
- Gámiz, B.; López-Cabeza, R.; Cox, L.; Celis, R. Environmental Fate of Chiral Pesticides in Soils. In Pesticides in Soils. The Handbook of Environmental Chemistry; Rodriguez-Cruz, M.S., Sánchez-Martín, M.J., Eds.; Springer: Cham, Switzerland, 2022; pp. 107–135. [Google Scholar]
- Wirsching, J.; Pagel, H.; Ditterich, F.; Uksa, M.; Werneburg, M.; Zwiener, C.; Berner, D.; Kandeler, E.; Poll, C. Biodegradation of pesticides at the limit: Kinetics and microbial substrate use at low concentrations. Front. Microbiol. 2020, 11, 2107. [Google Scholar] [CrossRef] [PubMed]
- Van Roon, A.; Parsons, J.R.; te Kloeze, A.M.; Govers, H.A.J. Fate and transport of monoterpenes through soils. Part I. Prediction of temperature dependent soil fate model input-parameters. Chemosphere 2005, 61, 599–609. [Google Scholar] [CrossRef] [PubMed]
- Van Roon, A.; Parsons, J.R.; Krap, L.; Govers, H.A.J. Fate and transport of monoterpenes through soils. Part II: Calculation of the effect of soil temperature, water saturation and organic carbon content. Chemosphere 2005, 61, 129–138. [Google Scholar] [CrossRef] [PubMed]
- Wiedman, S.J.; Appleby, A.P. Plant growth stimulation by sublethal concentrations of herbicides. Weed Res. 1972, 12, 65–74. [Google Scholar] [CrossRef]
- Duke, S.O.; Cedergreen, N.; Velini, E.D.; Belz, R.G. Hormesis: Is it an important factor in herbicide use and allelopathy? Outlooks Pest Manag. 2006, 17, 29–33. [Google Scholar]
- Cornejo, J.; Celis, R.; Pavlovic, I.; Ulibarri, M.A. Interactions of pesticides with clays and layered double hydroxides: A review. Clay Miner. 2008, 43, 155–175. [Google Scholar] [CrossRef]
- Real, M.; Gámiz, B.; López-Cabeza, R.; Celis, R. Sorption, persistence, and leaching of the allelochemical umbelliferone in soils treated with nanoengineered sorbents. Sci. Rep. 2019, 9, 9764. [Google Scholar] [CrossRef]
- Gámiz, B.; Facenda, G.; Celis, R. Nanoengineered sorbents to increase the persistence of the allelochemical carvone in the rhizosphere. J. Agric. Food Chem. 2019, 67, 589–596. [Google Scholar] [CrossRef] [Green Version]
- Štejfa, V.; Fulem, M.; Růžička, K. Thermodynamic study of selected monoterpenes IV. J. Chem. Thermodyn. 2020, 144, 106013. [Google Scholar] [CrossRef]
- Gee, G.; Bauder, J. Particle-Size Analysis. In Methods of Soil Analysis, Part 1; Klute, A., Ed.; ASA and SSSA: Madison, WI, USA, 1986; Volume 9, pp. 383–411. ISBN 9780891188117. [Google Scholar]
- Nelson, R. Carbonate and Gypsum. In Methods of Soil Analysis, Part 2; Page, A.L., Miller, R.H., Keeney, D.R., Eds.; ASA and SSSA: Madison, WI, USA, 1982; pp. 181–197. [Google Scholar]
- Nelson, D.; Sommers, L. Total Carbon, Organic Carbon and Organic Matter. In Methods of Soil Analysis, Part 2; Page, A.L., Miller, R.H., Keeney, D.R., Eds.; ASA and SSSA: Madison, WI, USA, 1982; pp. 539–758. [Google Scholar]
- Clay Minerals Society, (CMS, 2022). Source Clay Physical/Chemical Data. Available online: https://www.clays.org/sourceclays_data.html (accessed on 1 April 2022).
- Cruz-Guzmán, M.; Celis, R.; Hermosín, M.C.; Leone, P.; Nègre, M.; Cornejo, J. Sorption-desorption of lead (II) and mercury (II) by model associations of soil colloids. Soil Sci. Soc. Am. J. 2003, 67, 1378–1387. [Google Scholar] [CrossRef] [Green Version]
- Harner, T.; Wiberg, K.; Norstrom, R. Enantiomer fractions are preferred to enantiomer ratios for describing chiral signatures in environmental analysis. Environ. Sci. Technol. 2000, 34, 218–220. [Google Scholar] [CrossRef]
- Han, X.; Scott, A.C.; Fedorak, P.M.; Bataineh, M.; Martin, J.W. Influence of molecular structure on the biodegradability of naphthenic acids. Environ. Sci. Technol. 2008, 42, 1290–1295. [Google Scholar] [CrossRef] [PubMed]
- Seefeldt, S.S.; Jensen, J.E.; Fuerst, E.P. Log-logistic analysis of herbicide dose-response relationship. Weed Technol. 1995, 9, 218–227. [Google Scholar] [CrossRef]
- McCall, P.; Laskowski, D.; Swann, R.; Dishburger, H. Test Protocols for Environmental Fate & Movement of Toxicants. In Proceedings of the Symposium, Association of Official Analytical Chemists, 94th Annual Meeting, Washington, DC, USA, 21–22 October 1980. [Google Scholar]






| Soil | Sand (%) | Silt (%) | Clay (%) | CaCO3 (%) | Organic C (%) | pH | Kd (L/kg) | Koc 1 (L/kg) | EF 2 | Des 3 (%) |
|---|---|---|---|---|---|---|---|---|---|---|
| 1 | 83 | 6 | 11 | 6.4 | 0.35 | 8.5 | 0.31 ± 0.11 | 89 | 0.498 | 108 ± 25 |
| 2 | 74 | 4 | 22 | 0.6 | 0.17 | 8.0 | 0.32 ± 0.02 | 94 | 0.497 | 90 ± 6 |
| 3 | 66 | 23 | 11 | 0.7 | 0.99 | 5.2 | 1.02 ± 0.01 | 103 | 0.503 | 96 ± 7 |
| 4 | 63 | 19 | 18 | 17.9 | 1.18 | 8.4 | 0.63 ± 0.07 | 53 | 0.497 | 102 ± 5 |
| 5 | 57 | 24 | 19 | 3.6 | 0.85 | 8.3 | 0.73 ± 0.03 | 86 | 0.499 | 89 ± 7 |
| 6 | 55 | 36 | 9 | n.d. 4 | 0.71 | 6.3 | 0.52 ± 0.02 | 73 | 0.501 | 106 ± 7 |
| 7 | 25 | 45 | 31 | 22.6 | 0.53 | 8.6 | 0.78 ± 0.03 | 147 | 0.498 | 90 ± 3 |
| 8 | 9 | 26 | 65 | 17.2 | 1.12 | 8.4 | 1.31 ± 0.03 | 117 | 0.498 | 67 ± 2 |
| IC50 Germination (mg/L) | IC50 Root Length (mg/L) | IC50 Shoot Biomass (mg/L) | ||||
|---|---|---|---|---|---|---|
| R-Pulegone | S-Pulegone | R-Pulegone | S-Pulegone | R-Pulegone | S-Pulegone | |
| Lactuca sativa | 60 ± 5 | 19 ± 1 | 37 ± 2 | 14 ± 1 | 25 ± 2 | 11 ± 1 |
| Hordeum vulgare | 55 ± 21 | 44 ± 9 | 56 ± 27 | 29 ± 7 | 35 ± 9 | 29 ± 6 |
| Eruca sativa | 312 ± 16 | 320 ± 21 | - | - | 257 ± 22 | 256 ± 17 |
Publisher’s Note: MDPI stays neutral with regard to jurisdictional claims in published maps and institutional affiliations. |
© 2022 by the authors. Licensee MDPI, Basel, Switzerland. This article is an open access article distributed under the terms and conditions of the Creative Commons Attribution (CC BY) license (https://creativecommons.org/licenses/by/4.0/).
Share and Cite
Galán-Pérez, J.A.; Gámiz, B.; Pavlovic, I.; Celis, R. Enantiomer-Selective Characterization of the Adsorption, Dissipation, and Phytotoxicity of the Plant Monoterpene Pulegone in Soils. Plants 2022, 11, 1296. https://doi.org/10.3390/plants11101296
Galán-Pérez JA, Gámiz B, Pavlovic I, Celis R. Enantiomer-Selective Characterization of the Adsorption, Dissipation, and Phytotoxicity of the Plant Monoterpene Pulegone in Soils. Plants. 2022; 11(10):1296. https://doi.org/10.3390/plants11101296
Chicago/Turabian StyleGalán-Pérez, Jose Antonio, Beatriz Gámiz, Ivana Pavlovic, and Rafael Celis. 2022. "Enantiomer-Selective Characterization of the Adsorption, Dissipation, and Phytotoxicity of the Plant Monoterpene Pulegone in Soils" Plants 11, no. 10: 1296. https://doi.org/10.3390/plants11101296
APA StyleGalán-Pérez, J. A., Gámiz, B., Pavlovic, I., & Celis, R. (2022). Enantiomer-Selective Characterization of the Adsorption, Dissipation, and Phytotoxicity of the Plant Monoterpene Pulegone in Soils. Plants, 11(10), 1296. https://doi.org/10.3390/plants11101296

