Production of Bio-Oils and Biochars from Olive Stones: Application of Biochars to the Esterification of Oleic Acid
Abstract
:1. Introduction
- Valorise olive stones through pyrolysis;
- Assess the most suitable pyrolysis conditions for the production of biochar and bio-oil;
- Characterize the biochars and bio-oils obtained;
- Establish the most suitable conditions for obtaining levoglucosenone and catechol in bio-oils;
- Apply the biochar obtained under the most suitable pyrolysis conditions as a biocatalyst for the esterification reaction of free fatty acids with methanol to obtain biodiesel.
2. Results
2.1. Characterisation of the Raw Material
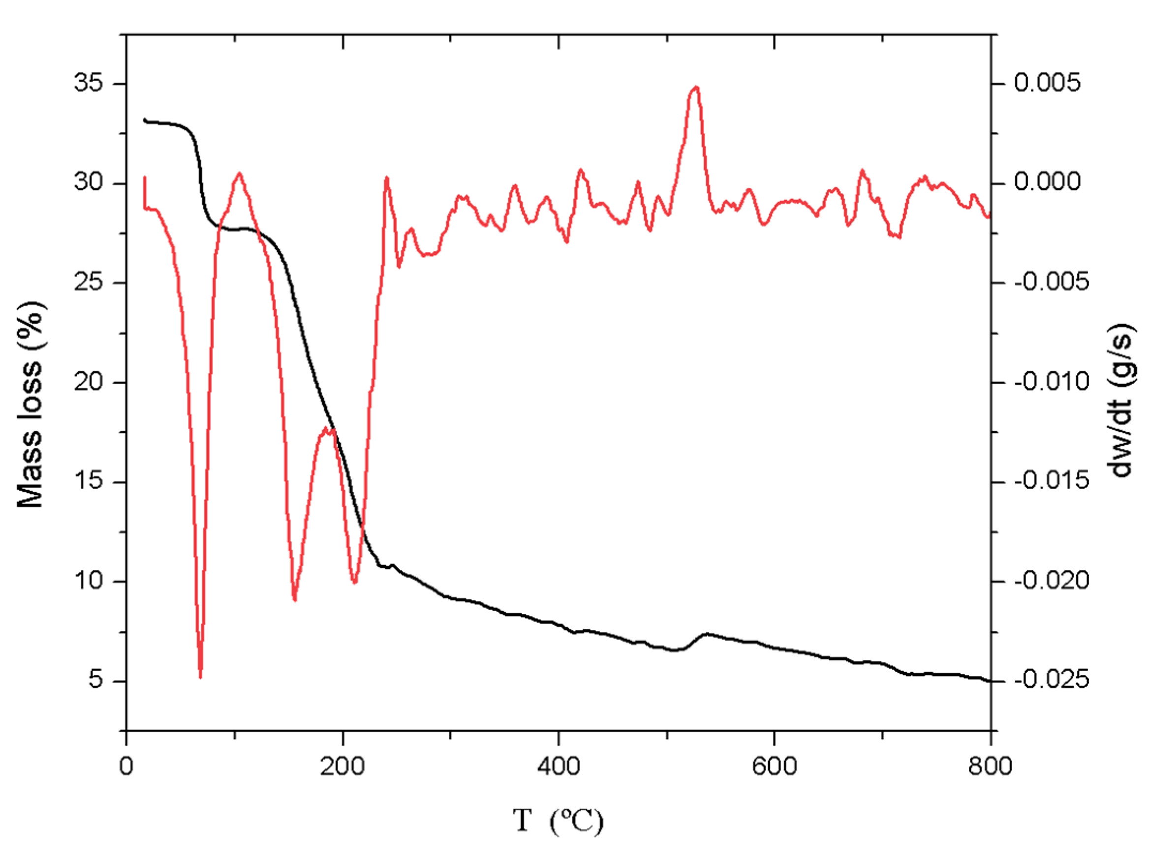
2.1.1. Thermogravimetric Analysis (TGA)
2.1.2. FTIR Analysis
2.2. Pyrolysis Yields
2.3. Bio-Oil Characterisation
2.4. Biochar Characterisation
2.4.1. Temperature Influence
2.4.2. Influence of the Heating Ramp
2.4.3. Argon Flow Influence
2.4.4. Specific Surface of Biochars
2.5. Application of Biochars as Biocatalyst for the Esterification Reaction
3. Materials and Methods
3.1. Raw Materials
3.1.1. Pre-treatment of Olive Stones
3.2. Pyrolysis
3.3. Bio-Oil Characterisation
3.4. Biochar Characterisation
3.4.1. Thermogravimetric Analysis
3.4.2. Fourier-Transform Infrared Spectroscopy (FTIR)
3.4.3. BET Specific Surface
3.5. Esterification Reaction
3.5.1. Acid Index
3.5.2. Gas Chromatography-Mass Spectroscopy
4. Conclusions
Author Contributions
Funding
Data Availability Statement
Conflicts of Interest
References
- García Martín, J.F.; Cuevas, M.; Feng, C.H.; Álvarez Mateos, P.; Torres García, M.; Sánchez, S. Energetic valorisation of olive biomass: Olive-tree pruning, olive stones and pomaces. Processes 2020, 8, 511. [Google Scholar] [CrossRef]
- Donner, M.; Radić, I. Innovative circular business models in the olive oil sector for sustainable mediterranean agrifood systems. Sustainability 2021, 13, 2588. [Google Scholar] [CrossRef]
- Sánchez, F.; San Miguel, G. Improved fuel properties of whole table olive stones via pyrolytic processing. Biomass Bioenergy 2016, 92, 1–11. [Google Scholar] [CrossRef]
- Rodríguez, G.; Lama, A.; Rodríguez, R.; Jiménez, A.; Guillén, R.; Fernández-Bolaños, J. Olive stone an attractive source of bioactive and valuable compounds. Bioresour. Technol. 2008, 99, 5261–5269. [Google Scholar] [CrossRef]
- Martín Lara, M.A.; Hernáinz, F.; Calero, M.; Blázquez, G.; Tenorio, G. Surface chemistry evaluation of some solid wastes from olive-oil industry used for lead removal from aqueous solutions. Biochem. Eng. J. 2009, 44, 151–159. [Google Scholar] [CrossRef]
- Fernández Bolaños, J.; Felizón, B.; Heredia, A.; Rodríguez, R.; Guillén, R.; Jiménez, A. Steam-explosion of olive stones: Hemicellulose solubilization and enhancement of enzymatic hydrolysis of cellulose. Bioresour. Technol. 2001, 79, 53–61. [Google Scholar] [CrossRef]
- Cuevas, M.; García-Martín, J.F.; Bravo, V.; Sánchez, S. Ethanol production from olive stones through liquid hot water pre-treatment, enzymatic hydrolysis and fermentation. Influence of enzyme loading, and pre-treatment temperature and time. Fermentation 2021, 7, 25. [Google Scholar] [CrossRef]
- Merino, M.R.; Guijarro Rodríguez, J.; Fernández Martínez, F.; Santa Cruz Astorqui, J. Viability of using olive stones as lightweight aggregate in construction mortars. Rev. Constr. 2017, 16, 431–438. [Google Scholar] [CrossRef] [Green Version]
- Harina de Semilla de Aceituna Premio a la Innovación en Sial Paris-Elayo. Available online: https://www.elayo.es/harina-de-semilla-de-aceituna-premio-a-la-innovacion-en-sial/ (accessed on 27 October 2021).
- AIMPLAS and OLIPE Use Olive Stones to Develop a New Sustainable Plastic Material for Oil Product Packaging | Plateforme des Acteurs Européens de L’économie Circulaire. Available online: https://circulareconomy.europa.eu/platform/fr/good-practices/aimplas-and-olipe-use-olive-stones-develop-new-sustainable-plastic-material-oil-product-packaging (accessed on 27 October 2021).
- Won Seo, M.; Hon Lee, S.; Nam, H.; Lee, D.; Tokmurzin, D.; Wang, S.; Park, Y.-K. Recent advances of thermochemical conversieon processes for biorefinery. Bioresour. Technol. 2022, 343, 126109. [Google Scholar] [CrossRef]
- Collard, F.X.; Blin, J. A review on pyrolysis of biomass constituents: Mechanisms and composition of the products obtained from the conversion of cellulose, hemicelluloses and lignin. Renew. Sustain. Energy Rev. 2014, 38, 594–608. [Google Scholar] [CrossRef]
- Bhattacharjee, N.; Baran Biswas, A. Pyrolysis of orange bagasse: Comparative study and parametric influence on the product yield and their characterization. J. Environ. Chem. Eng. 2019, 7, 102903. [Google Scholar] [CrossRef]
- Guo, J.; Zheng, L.; Li, Z.; Zhou, X.; Cheng, S.; Zhang, L.; Zhang, Q. Effects of various pyrolysis conditions and feedstock compositions on the physicochemical characteristics of cow manure-derived biochar. J. Clean. Prod. 2021, 311, 127458. [Google Scholar] [CrossRef]
- Basu, P. Pyrolysis and Torrefaction, 1st ed.; Elsevier: Amsterdam, The Netherlands, 2010; ISBN 9780123749888. [Google Scholar]
- Sánchez Borrego, F.J.; Álvarez Mateos, P.; García Martín, J.F. Biodiesel and other value-added products from bio-oil obtained from agrifood waste. Processes 2021, 9, 797. [Google Scholar] [CrossRef]
- Bradley, D.; Hektor, B.; Wild, M.; Deutmeyer, M.; Schowenberg, P.P.; Hess, J.R.; Shankar Tumuluru, J.; Bradburn, K. Low cost, log distance biomass supply chains. In Task 40: Sustainable International Bioenergy Trade; Goh, C.S., Junginger, M., Eds.; IEA Bioenergy: Paris, France, 2013; pp. 1–65. [Google Scholar]
- Álvarez-Mateos, P.; García-Martín, J.F.; Guerrero-Vacas, F.J.; Naranjo-Calderón, C.; Barrios, C.C.; Pérez Camino, M.C.; Barrios, C.C. Valorization of a high-acidity residual oil generated in the waste cooking oils recycling industries. Grasas Y Aceites 2019, 40, e335. [Google Scholar] [CrossRef] [Green Version]
- Roy, M.; Mohanty, K. Valorization of de-oiled microalgal biomass as a carbon-based heterogeneous catalyst for a sustainable biodiesel production. Bioresour. Technol. 2021, 337, 125424. [Google Scholar] [CrossRef]
- Sun, Y.; Gao, B.; Yao, Y.; Fang, J.; Zhang, M.; Zhou, Y.; Chen, H.; Yang, L. Effects of feedstock type, production method, and pyrolysis temperature on biochar and hydrochar properties. Chem. Eng. J. 2014, 240, 574–578. [Google Scholar] [CrossRef]
- Islam, M.K.; Rehman, S.; Guan, J.; Lau, C.Y.; Tse, H.Y.; Yeung, C.S.; Leu, S.Y. Biphasic pretreatment for energy and carbon efficient conversion of lignocellulose into bioenergy and reactive lignin. Appl. Energy 2021, 303, 117653. [Google Scholar] [CrossRef]
- Laurenza, A.G.; Losito, O.; Casiello, M.; Fusco, C.; Nacci, A.; Pantone, V.; D’Accolti, L. Valorization of cigarette butts for synthesis of levulinic acid as top value-added chemicals. Sci. Rep. 2021, 11, 15775. [Google Scholar] [CrossRef]
- Hasanin, M.S.; Kassem, N.; Hassan, M.L. Preparation and characterization of microcrystalline cellulose from olive stones. Biomass Convers. Biorefinery 2021. [Google Scholar] [CrossRef]
- Yang, H.; Yan, R.; Chen, H.; Lee, D.H.; Zheng, C. Characteristics of hemicellulose, cellulose and lignin pyrolysis. Fuel 2007, 86, 1781–1788. [Google Scholar] [CrossRef]
- Alshuiael, S.M.; Al-Ghouti, M.A. Multivariate analysis for FTIR in understanding treatment of used cooking oil using activated carbon prepared from olive stone. PLoS ONE 2020, 15, e0232997. [Google Scholar] [CrossRef]
- Bartocci, P.; D’Amico, M.; Moriconi, N.; Bidini, G.; Fantozzi, F. Pyrolysis of olive stone for energy purposes. Energy Procedia 2015, 82, 374–380. [Google Scholar] [CrossRef] [Green Version]
- Salimi, M.; Salehi, Z.; Heidari, H.; Vahabzadeh, F. Production of activated biochar from Luffa cylindrica and its application for adsorption of 4-nitrophenol. J. Environ. Chem. Eng. 2021, 9, 105403. [Google Scholar] [CrossRef]
- Zhao, L.; Zheng, W.; Mašek, O.; Chen, X.; Gu, B.; Sharma, B.K.; Cao, X. Roles of phosphoric acid in biochar formation: Synchronously improving carbon retention and sorption capacity. J. Environ. Qual. 2017, 46, 393–401. [Google Scholar] [CrossRef] [PubMed]
- Cao, F.; Schwartz, T.J.; McClelland, D.J.; Krishna, S.H.; Dumesic, J.A.; Huber, G.W. Dehydration of cellulose to levoglucosenone using polar aprotic solvents. Energy Environ. Sci. 2015, 8, 1808–1815. [Google Scholar] [CrossRef] [Green Version]
- Kudo, S.; Goto, N.; Sperry, J.; Norinaga, K.; Hayashi, J.I. Production of levoglucosenone and dihydrolevoglucosenone by catalytic reforming of volatiles from cellulose pyrolysis using supported ionic liquid phase. ACS Sustain. Chem. Eng. 2017, 5, 1132–1140. [Google Scholar] [CrossRef]
- Comba, M.B.; Tsai, Y.; Sarotti, A.M.; Mangione, M.I.; Suárez, A.G.; Spanevello, R.A. Levoglucosenone and its new applications: Valorization of cellulose residues. Eur. J. Org. Chem. 2018, 5, 590–604. [Google Scholar] [CrossRef]
- Wu, L.; Wan, W.; Shang, Z.; Gao, X.; Kobayashi, N.; Luo, G.; Li, Z. Surface modification of phosphoric acid activated carbon by using non-thermal plasma for enhancement of Cu(II) adsorption from aqueous solutions. Sep. Purif. Technol. 2018, 197, 156–169. [Google Scholar] [CrossRef]
- Ben-Youssef, C.; Chávez-Yam, A.; Zepeda, A.; Rivera, J.M.; Rincón, S. Simultaneous esterification/transesterification of waste cooking oil and Jatropha curcas oil with MOF-5 as a heterogeneous acid catalyst. Int. J. Environ. Sci. Technol. 2021, 18, 3313–3326. [Google Scholar] [CrossRef]
- García Martín, J.F.; Carrión Ruiz, J.; Torres García, M.; Feng, C.H.; Álvarez Mateos, P. Esterification of free fatty acids with glycerol within the biodiesel production framework. Processes 2019, 7, 832. [Google Scholar] [CrossRef] [Green Version]






| Pyrolysis | Raw Material | SAT (min) | T (°C) | Hramp (°C∙min−1) | Ar Flow (mL∙min−1) | YBiochar (wt.%) | Ysyngas (wt.%) | YBio-oil (wt.%) |
|---|---|---|---|---|---|---|---|---|
| 1 | OS + H2SO4 | 4 | 600 | 10 | 150 | 44.6 | 38.2 | 17.1 |
| 2 | OS + H2SO4 | 4 | 500 | 10 | 150 | 51.2 | 35.2 | 13.5 |
| 3 | OS + H2SO4 | 4 | 400 | 10 | 150 | 57.8 | 35.6 | 6.7 |
| 4 | OS + H2SO4 | 4 | 400 | 5 | 150 | 59.6 | 33.4 | 7.0 |
| 5 | OS + H2SO4 | 4 | 400 | 20 | 150 | 60.2 | 31.6 | 8.2 |
| 6 | OS + H2SO4 | 8 | 400 | 10 | 150 | 60.0 | 33.0 | 7.0 |
| 7 | OS + H2SO4 | 8 | 400 | 20 | 300 | 57.2 | 41.2 | 1.6 |
| 8 | OS + H2SO4 | 8 | 400 | 20 | 50 | 57.8 | 37.3 | 4.9 |
| 9 | OS + H2SO4 | 8 | 600 | 10 | 150 | 50.0 | 47.4 | 2.6 |
| 10 | OS | - | 600 | 10 | 150 | 27.2 | 52.6 | 20.3 |
| 11 | OS | - | 500 | 10 | 150 | 27.7 | 48.8 | 23.5 |
| 12 | OS | - | 400 | 10 | 150 | 31.2 | 45.5 | 23.4 |
| 13 | OS | - | 400 | 20 | 150 | 29.3 | 40.5 | 30.2 |
| 14 | OS | - | 400 | 20 | 50 | 29.7 | 29.5 | 40.8 |
| 15 | OS | - | 400 | 5 | 150 | 31.7 | 36.2 | 32.2 |
| 16 | OS | - | 400 | 5 | 50 | 33.5 | 30.3 | 36.2 |
| 17 | OS | - | 400 | 5 | 300 | 30.3 | 44.3 | 25.3 |
| Bio-Oils Samples | ||
|---|---|---|
| Pyrolysis 3 | Pyrolysis 12 | |
| Compound | Area (%) | |
| Toluene | 1.18 | - |
| Furfural | 5.30 | 3.80 |
| 4-Hydroxy-4-methylpentan-2-one | 2.53 | - |
| 2-Furanmethanol | - | 3.49 |
| Ethylbenzene | 3.03 | 2.34 |
| o-Xylene | 6.26 | 3.40 |
| p-Xylene | 2.74 | 1.51 |
| Cyclopenta-1,2-dione | 1.15 | 2.42 |
| 5-Methyl-2-furancarboxaldehyde | 2.15 | 1.61 |
| Phenol | 3.60 | - |
| N-Butyl-tert-butylamine | - | 2.59 |
| 3-Methylcyclopentan-1,2-dione | - | 2.60 |
| 2-Methylphenol | 1.55 | 1.20 |
| 3-Methylphenol | 3.53 | - |
| 2-Methoxyphenol | 5.28 | 7.87 |
| Levoglucosenone | 9.57 | - |
| Catechol | 6.17 | 3.33 |
| Creosol | 6.94 | 7.32 |
| 1,4:3,6-Dianhydro-α-D-glucopyranose | 3.51 | - |
| 3-Methylbenzene-1,2-diol | 1.71 | 1.27 |
| 3-Methoxybenzene-1,2-diol | 2.35 | 3.28 |
| 4-Ethyl-2-methoxyphenol | 2.14 | 5.02 |
| 4-Methylbenzene-1,2-diol | 1.59 | 1.55 |
| 2-Methoxy-4-vinylphenol | 5.38 | 14.30 |
| Eugenol | - | 2.00 |
| Vanillin | 3.65 | 1.50 |
| 3,5-Dimethoxy-4-hydroxytoluene | 6.07 | 5.70 |
| Trans-isoeugenol | - | 5.75 |
| 1,6-Anhydro-β-D-glucopyranose | 2.88 | 1.51 |
| 5-Tert-butylpyrogallol | 1.73 | - |
| 1-(4-Hydroxy-3-methoxyphenyl)-propan-2-one | 1.52 | 2.02 |
| 4-Ethanoyl-2,6-dimethoxy-phenol | - | 3.56 |
| Butyrovanilone | 3.15 | - |
| 4-Hydroxy-3,5-dimethoxy-benzaldehyde | 1.73 | - |
| (E)-2,6-Dimetoxi-4-(prop-1-en-1-il)-fenol | - | 4.56 |
| Coniferyl aldehyde | - | 2.15 |
| Syringylacetone | - | 2.37 |
| Butylsyringone | 1.64 | - |
| Raw Material | T (°C) | Hramp (°C∙min−1) | Ar Flow Rate (mL∙min−1) | SBET (m2∙g−1) |
|---|---|---|---|---|
| OS + H2SO4 | 600 | 10 | 150 | 418.60 |
| OS + H2SO4 | 500 | 10 | 150 | 263.38 |
| OS + H2SO4 | 400 | 10 | 150 | 5.80 |
| OS + H2SO4 | 400 | 5 | 150 | 13.75 |
| OS + H2SO4 | 400 | 20 | 150 | 21.50 |
| OS + H2SO4 | 400 | 10 | 150 | 42.09 |
| OS + H2SO4 | 400 | 20 | 300 | 106.11 |
| OS + H2SO4 | 400 | 20 | 50 | 52.95 |
| OS + H2SO4 | 600 | 10 | 150 | 367.93 |
| OS | 600 | 10 | 150 | 242.70 |
| OS | 500 | 10 | 150 | 230.40 |
| OS | 400 | 10 | 150 | 4.55 |
| OS | 400 | 20 | 150 | 8.18 |
| OS | 400 | 20 | 50 | 3.94 |
| OS | 400 | 5 | 150 | 8.90 |
| OS | 400 | 5 | 50 | 6.57 |
| OS | 400 | 5 | 300 | 12.37 |
| Biochar | Impregnation | Acid Index | Esterification Yield | OP (%) | AP (%) |
|---|---|---|---|---|---|
| 1 | No | 172.2 | 5.5 | - | - |
| 2 | No | 180.7 | 0.3 | - | - |
| 4 | Yes | 13.1 | 92.8 | 63.9 | 32.1 |
| 5 | Yes | 16.1 | 91.2 | 64.1 | 22.8 |
| 6 | No | 183.7 | 0.0 | - | - |
| 6 | Yes | 26.7 | 85.3 | 52.1 | 26.9 |
| 7 | Yes | 17.4 | 90.4 | 60.8 | 36.8 |
| 8 | Yes | 12.9 | 92.9 | 58.5 | 26.5 |
| 9 | Yes | 8.8 | 95.2 | 61.0 | 28.5 |
| 10 | Yes | 9.8 | 94.6 | 62.8 | 23.7 |
| 11 | Yes | 7.1 | 96.1 | 55.3 | 25.3 |
| 12 | Yes | 7.0 | 96.2 | 63.7 | 26.6 |
| 13 | Yes | 10.3 | 94.3 | 57.7 | 23.0 |
| 15 | Yes | 8.7 | 95.2 | 49.2 | 28.9 |
| 16 | Yes | 8.4 | 95.4 | 67.3 | 24.8 |
| 17 | Yes | 7.8 | 95.7 | 59.9 | 25.7 |
| Area (%) | Compound |
|---|---|
| 5.65 | Dodecanoic acid methyl ester |
| 2.78 | Methyl myristoleate |
| 9.49 | Palmitic acid methyl ester |
| 12.79 | Palmitoleic acid methyl ester |
| 5.83 | Cis-10-heptadecenoic acid methyl ester |
| 48.78 | Oleic acid methyl ester |
| 13.50 | Linoleic acid methyl ester |
| 1.18 | 11-Eicosenoic acid methyl ester |
| Pyrolysis | Raw Material | T (°C) | Hramp (°C∙min−1) | Ar Flow (mL∙min−1) |
|---|---|---|---|---|
| 1 | OS + H2SO4 | 600 | 10 | 150 |
| 2 | OS + H2SO4 | 500 | 10 | 150 |
| 3 | OS + H2SO4 | 400 | 10 | 150 |
| 4 | OS + H2SO4 | 400 | 5 | 150 |
| 5 | OS + H2SO4 | 400 | 20 | 150 |
| 6 | OS + H2SO4 | 400 | 10 | 150 |
| 7 | OS + H2SO4 | 400 | 20 | 300 |
| 8 | OS + H2SO4 | 400 | 20 | 50 |
| 9 | OS + H2SO4 | 600 | 10 | 150 |
| 10 | OS | 600 | 10 | 150 |
| 11 | OS | 500 | 10 | 150 |
| 12 | OS | 400 | 10 | 150 |
| 13 | OS | 400 | 20 | 150 |
| 14 | OS | 400 | 20 | 50 |
| 15 | OS | 400 | 5 | 150 |
| 16 | OS | 400 | 5 | 50 |
| 17 | OS | 400 | 5 | 300 |
Publisher’s Note: MDPI stays neutral with regard to jurisdictional claims in published maps and institutional affiliations. |
© 2021 by the authors. Licensee MDPI, Basel, Switzerland. This article is an open access article distributed under the terms and conditions of the Creative Commons Attribution (CC BY) license (https://creativecommons.org/licenses/by/4.0/).
Share and Cite
Sánchez-Borrego, F.J.; Barea de Hoyos-Limón, T.J.; García-Martín, J.F.; Álvarez-Mateos, P. Production of Bio-Oils and Biochars from Olive Stones: Application of Biochars to the Esterification of Oleic Acid. Plants 2022, 11, 70. https://doi.org/10.3390/plants11010070
Sánchez-Borrego FJ, Barea de Hoyos-Limón TJ, García-Martín JF, Álvarez-Mateos P. Production of Bio-Oils and Biochars from Olive Stones: Application of Biochars to the Esterification of Oleic Acid. Plants. 2022; 11(1):70. https://doi.org/10.3390/plants11010070
Chicago/Turabian StyleSánchez-Borrego, Francisco José, Tomás Juan Barea de Hoyos-Limón, Juan Francisco García-Martín, and Paloma Álvarez-Mateos. 2022. "Production of Bio-Oils and Biochars from Olive Stones: Application of Biochars to the Esterification of Oleic Acid" Plants 11, no. 1: 70. https://doi.org/10.3390/plants11010070
APA StyleSánchez-Borrego, F. J., Barea de Hoyos-Limón, T. J., García-Martín, J. F., & Álvarez-Mateos, P. (2022). Production of Bio-Oils and Biochars from Olive Stones: Application of Biochars to the Esterification of Oleic Acid. Plants, 11(1), 70. https://doi.org/10.3390/plants11010070

