The Intragenesis and Synthetic Biology Approach towards Accelerating Genetic Gains on Strawberry: Development of New Tools to Improve Fruit Quality and Resistance to Pathogens
Abstract
1. Introduction
2. Results and Discussion
2.1. Creation of the Ti-Plasmid Constructs Carrying the Strawberry Intragenic dsRNA Silencing Cassette
2.1.1. Identification and Selection of the Strawberry Candidate Defense-Related Target Genes FaWRKY1 and FaNPR3.1 and Design of the Intragenic dsRNAi-Inducing Unit
2.1.2. ‘‘Off-Target Effect” of the dsRNA Inducing Units
2.1.3. Selection and Isolation of FvAAT2 and FvDOF2 Strawberry Promoter and Terminator Sequences
2.1.4. Assembling the Intragenic dsRNA Silencing Cassettes
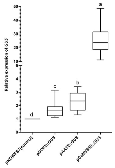
2.2. Strawberry Promoter Analysis by Agrobacterium Mediated Transient Transformation
3. Materials and Methods
3.1. Origin of DNA Sequence Fragments for the Intragenic dsRNAi Silencing Strategy
3.2. siRNA Predictions and “Off-Target” Effect
3.3. Plasmid Constructs
3.4. Promoter Probe Analysis and Strawberry Fruit Transient Experiments
3.5. Histochemical Assay of GUS Activity
3.6. qRT-PCR Gene Expression Analyses and Statistical Analyses
4. Conclusions and Future Perspective
Supplementary Materials
Author Contributions
Funding
Institutional Review Board Statement
Informed Consent Statement
Data Availability Statement
Acknowledgments
Conflicts of Interest
References
- Hilmarsson, H.S.; Hytönen, T.; Isobe, S.; Göransson, M.; Toivainen, T.; Hallsson, J.H. Population genetic analysis of a global collection of Fragaria vesca using microsatellite markers. PLoS ONE 2017, 12, e0183384. [Google Scholar] [CrossRef] [PubMed]
- Mezzetti, B.; Giampieri, F.; Zhang, Y.T.; Zhong, C.F. Status of strawberry breeding programs and cultivation systems in Europe and the rest of the world. J. Berry Res. 2018, 8, 205–221. [Google Scholar] [CrossRef]
- Giampieri, F.; Tulipani, S.; Alvarez-Suarez, J.M.; Quiles, J.L.; Mezzetti, B.; Battino, M. The strawberry: Composition, nutritional quality, and impact on human health. Nutrition 2012, 28, 9–19. [Google Scholar] [CrossRef]
- Chen, T.; Shi, N.; Afzali, A. Chemopreventive effects of strawberry and black raspberry on colorectal cancer in inflammatory bowel disease. Nutrients 2019, 11, 1261. [Google Scholar] [CrossRef] [PubMed]
- Battino, M.; Beekwilder, J.; Denoyes-Rothan, B.; Laimer, M.; McDougall, G.J.; Mezzetti, B. Bioactive compounds in berries relevant to human health. Nutr. Rev. 2009, 67 (Suppl. S1), S145–S150. [Google Scholar] [CrossRef]
- Mazzoni, L.; Perez-Lopez, P.; Giampieri, F.; Alvarez-Suarez, J.M.; Gasparrini, M.; Forbes-Hernandez, T.Y.; Quiles, J.L.; Mezzetti, B.; Battino, M. The genetic aspects of berries: From field to health. J. Sci. Food Agric. 2016, 96, 365–371. [Google Scholar] [CrossRef]
- Petrasch, S.; Mesquida-Pesci, S.D.; Pincot, D.D.A.; Feldmann, M.J.; López, C.M.; Famula, R.; Hardigan, M.A.; Cole, G.S.; Knapp, S.J.; Blanco-Ulate, B. Genomic prediction of strawberry resistance to postharvest fruit decay caused by the fungal pathogen Botrytis cinerea. G3 Genes Genomes Genet. 2021, jkab378. [Google Scholar] [CrossRef] [PubMed]
- Nagpala, E.G.; Guidarelli, M.; Gasperotti, M.; Masuero, D.; Bertolini, P.; Vrhovsek, U.; Baraldi, E. Polyphenols Variation in Fruits of the Susceptible Strawberry Cultivar Alba during Ripening and upon Fungal Pathogen Interaction and Possible Involvement in Unripe Fruit Tolerance. J. Agric. Food Chem. 2016, 64, 1869–1878. [Google Scholar] [CrossRef] [PubMed]
- Amil-Ruiz, F.; Blanco-Portales, R.; Muñoz-Blanco, J.; Caballero, J.L. The Strawberry Plant Defense Mechanism: A Molecular Review. Plant Cell Physiol. 2011, 52, 1873–1903. [Google Scholar] [CrossRef]
- Paniagua, C.; Ric-Varas, P.; García-Gago, J.A.; López-Casado, G.; Blanco-Portales, R.; Muñoz-Blanco, J.; Schückel, J.; Knox, J.P.; Matas, A.J.; Quesada, M.A.; et al. Elucidating the role of polygalacturonase genes in strawberry fruit softening. J. Exp. Bot. 2020, 71, 7103–7117. [Google Scholar] [CrossRef]
- Garrido, C.; Carbú, M.; Fernández-Acero, F.; Gonzalez Rodriguez, V.E.; Cantoral, J. New insight in the study of strawberry fungal pathogens. G3 Genes Genomes Genet. 2011, 5, 24–39. [Google Scholar]
- Maas, J.L.; Society, A.P. Compendium of Strawberry Diseases; Compendium of Plant Disease Series; APS Press: St. Paul, MN, USA, 1998; ISBN 9780890541944. [Google Scholar]
- FAO. The Future of Food and Agriculture: Trends and Challenges. 2017. Available online: http://www.fao.org/3/a-i6583e.pdf (accessed on 8 January 2018).
- Burdon, J.J.; Zhan, J. Climate change and disease in plant communities. PLoS Biol. 2020, 18, e3000949. [Google Scholar] [CrossRef]
- Hahn, M. The rising threat of fungicide resistance in plant pathogenic fungi: Botrytis as a case study. J. Chem. Biol. 2014, 7, 133–141. [Google Scholar] [CrossRef]
- Fernandes, V.C.; Domingues, V.F.; Mateus, N.; Delerue-Matos, C. Organochlorine Pesticide Residues in Strawberries from Integrated Pest Management and Organic Farming. J. Agric. Food Chem. 2011, 59, 7582–7591. [Google Scholar] [CrossRef]
- Lamichhane, J.R.; Dachbrodt-Saaydeh, S.; Kudsk, P.; Messéan, A. Toward a Reduced Reliance on Conventional Pesticides in European Agriculture. Plant Dis. 2015, 100, 10–24. [Google Scholar] [CrossRef]
- Pétriacq, P.; López, A.; Luna, E. Fruit Decay to Diseases: Can Induced Resistance and Priming Help? Plants 2018, 7, 77. [Google Scholar] [CrossRef] [PubMed]
- Troncoso-Rojas, R.; Tiznado-Hernández, M.E.; González-Leόn, A. Recent Advances in Alternative Postharvest Technologies to Control Fungal Diseases in Fruits & Vegetables; Transworld Research Network: Trivandrum, Kerala, India, 2007; ISBN 8178952440. [Google Scholar]
- Sarkar, S.; Dias, J.; Gil, B.; Keeley, J.; Möhring, N.; Jansen, K. The use of pesticides in developing countries and their impact on health and the right to food. Available online: https://op.europa.eu/en/publication-detail/-/publication/652ce244-6b53-11eb-aeb5-01aa75ed71a1/language-en (accessed on 14 December 2021).
- Zorrilla-Fontanesi, Y.; Cabeza, A.; Domínguez, P.; Medina, J.J.; Valpuesta, V.; Denoyes-Rothan, B.; Sánchez-Sevilla, J.F.; Amaya, I. Quantitative trait loci and underlying candidate genes controlling agronomical and fruit quality traits in octoploid strawberry (Fragaria × ananassa). Theor. Appl. Genet. 2011, 123, 755–778. [Google Scholar] [CrossRef] [PubMed]
- Shulaev, V.; Sargent, D.J.; Crowhurst, R.N.; Mockler, T.C.; Folkerts, O.; Delcher, A.L.; Jaiswal, P.; Mockaitis, K.; Liston, A.; Mane, S.P.; et al. The genome of woodland strawberry (Fragaria vesca). Nat. Genet. 2011, 43, 109–116. [Google Scholar] [CrossRef]
- Tennessen, J.A.; Govindarajulu, R.; Ashman, T.L.; Liston, A. Evolutionary origins and dynamics of octoploid strawberry subgenomes revealed by dense targeted capture linkage maps. Genome Biol. Evol. 2014, 6, 3295–3313. [Google Scholar] [CrossRef]
- Darwish, O.; Shahan, R.; Liu, Z.; Slovin, J.P.; Alkharouf, N.W. Re-annotation of the woodland strawberry (Fragaria vesca) genome. BMC Genom. 2015, 16, 29. [Google Scholar] [CrossRef]
- Li, Y.; Wei, W.; Feng, J.; Luo, H.; Pi, M.; Liu, Z.; Kang, C. Genome re-annotation of the wild strawberry Fragaria vesca using extensive Illumina-and SMRT-based RNA-seq datasets. DNA Res. 2018, 25, 61–70. [Google Scholar] [CrossRef] [PubMed]
- Edger, P.P.; VanBuren, R.; Colle, M.; Poorten, T.J.; Wai, C.M.; Niederhuth, C.E.; Alger, E.I.; Ou, S.; Acharya, C.B.; Wang, J.; et al. Single-molecule sequencing and optical mapping yields an improved genome of woodland strawberry (Fragaria vesca) with chromosome-scale contiguity. Gigascience 2018, 7, gix124. [Google Scholar] [CrossRef]
- Li, Y.; Pi, M.; Gao, Q.; Liu, Z.; Kang, C. Updated annotation of the wild strawberry Fragaria vesca V4 genome. Hortic. Res. 2019, 6, 61. [Google Scholar] [CrossRef] [PubMed]
- Edger, P.P.; Poorten, T.J.; VanBuren, R.; Hardigan, M.A.; Colle, M.; McKain, M.R.; Smith, R.D.; Teresi, S.J.; Nelson, A.D.L.; Wai, C.M.; et al. Origin and evolution of the octoploid strawberry genome. Nat. Genet. 2019, 51, 541–547. [Google Scholar] [CrossRef]
- Whitaker, V.M. Applications of molecular markers in strawberry. J. Berry Res. 2011, 1, 115–127. [Google Scholar] [CrossRef]
- Limera, C.; Sabbadini, S.; Sweet, J.B.; Mezzetti, B. New biotechnological tools for the genetic improvement of major woody fruit species. Front. Plant Sci. 2017, 8, 1418. [Google Scholar] [CrossRef] [PubMed]
- Rommens, C.M.; Haring, M.A.; Swords, K.; Davies, H.V.; Belknap, W.R. The intragenic approach as a new extension to traditional plant breeding. Trends Plant Sci. 2007, 12, 397–403. [Google Scholar] [CrossRef]
- Palomo-Ríos, E.; Quesada, M.A.; Matas, A.J.; Pliego-Alfaro, F.; Mercado, J.A. The History and Current Status of Genetic Transformation in Berry Crops; Springer: Cham, Switzerland, 2018; pp. 139–160. [Google Scholar]
- Qin, Y.; Teixeira da Silva, J.A.; Zhang, L.; Zhang, S. Transgenic strawberry: State of the art for improved traits. Biotechnol. Adv. 2008, 26, 219–232. [Google Scholar] [CrossRef] [PubMed]
- Asao, H.; Nishizawa, Y.; Arai, S.; Sato, T.; Hirai, M.; Yoshida, K.; Shinmyo, A.; Hibi, T. Enhanced Resistance against a Fungal Pathogen Sphaerotheca humuli in Transgenic Strawberry Expressing a Rice Chitinase Gene. Plant Biotechnol. 1997, 14, 145–149. [Google Scholar] [CrossRef]
- Asao, H.; Arai, S.; Nishizawa, Y. Environmental risk evaluation of transgenic strawberry expressing a rice chitinase gene. J. Biosci. Bioeng. 2003, 95, 206. [Google Scholar] [CrossRef]
- Chalavi, V.; Tabaeizadeh, Z.; Thibodeau, P. Enhanced Resistance to Verticillium dahliae in Transgenic Strawberry Plants Expressing a Lycopersicon chilense Chitinase Gene. J. Am. Soc. Hortic. Sci. jashs 2003, 128, 747–753. [Google Scholar] [CrossRef]
- Vellicce, G.R.; Ricci, J.C.D.; Hernández, L.; Castagnaro, A.P. Enhanced resistance to Botrytis cinerea mediated by the transgenic expression of the chitinase gene ch5B in strawberry. Transgenic Res. 2006, 15, 57–68. [Google Scholar] [CrossRef]
- Schestibratov, K.A.; Dolgov, S.V. Transgenic strawberry plants expressing a thaumatin II gene demonstrate enhanced resistance to Botrytis cinerea. Sci. Hortic. 2005, 106, 177–189. [Google Scholar] [CrossRef]
- Mercado, J.A.; Barceló, M.; Pliego, C.; Rey, M.; Caballero, J.L.; Muñoz-Blanco, J.; Ruano-Rosa, D.; López-Herrera, C.; de los Santos, B.; Romero-Muñoz, F.; et al. Expression of the β-1,3-glucanase gene bgn13.1 from Trichoderma harzianum in strawberry increases tolerance to crown rot diseases but interferes with plant growth. Transgenic Res. 2015, 24, 979–989. [Google Scholar] [CrossRef] [PubMed]
- Landi, L.; Capocasa, F.; Costantini, E.; Mezzetti, B. ROLC strawberry plant adaptability, productivity, and tolerance to soil-borne disease and mycorrhizal interactions. Transgenic Res. 2009, 18, 933–942. [Google Scholar] [CrossRef] [PubMed]
- Conner, A.J.; Jacobs, J.M. Genetic engineering of crops as potential source of genetic hazard in the human diet. Mutat. Res. 1999, 443, 223–234. [Google Scholar] [CrossRef]
- Datta, A. Genetic engineering for improving quality and productivity of crops. Agric. Food Secur. 2013, 2, 15. [Google Scholar] [CrossRef]
- Qaim, M.; Kouser, S. Genetically Modified Crops and Food Security. PLoS ONE 2013, 8, e64879. [Google Scholar] [CrossRef]
- Parisi, C.; Tillie, P.; Rodríguez-Cerezo, E. The global pipeline of GM crops out to 2020. Nat. Biotechnol. 2016, 34, 31–36. [Google Scholar] [CrossRef]
- ISAAA. Brief 55: Global Status of Commercialized Biotech/GM Crops: 2019; Publications ISAAA; Cornell University: Ithaca, NY, USA, 2021. [Google Scholar]
- Schouten, H.J.; Krens, F.A.; Jacobsen, E. Cisgenic plants are similar to traditionally bred plants: International regulations for genetically modified organisms should be altered to exempt cisgenesis. EMBO Rep. 2006, 7, 750–753. [Google Scholar] [CrossRef]
- Sticklen, M. Transgenic, Cisgenic, Intragenic and Subgenic Crops. Adv. Crop Sci. Technol. 2015, 3, e123. [Google Scholar] [CrossRef]
- Thapa, B.; Joshi, T.; Jangid, K.; Basnet, P. Cisgenesis: Genetic engineering introduced spark to traditional breeding methods. Res. Environ. Life Sci. 2015, 8, 757–760. [Google Scholar]
- Rommens, C.M. Intragenic Crop Improvement: Combining the Benefits of Traditional Breeding and Genetic Engineering. J. Agric. Food Chem. 2007, 55, 4281–4288. [Google Scholar] [CrossRef] [PubMed]
- EFSA; Paraskevopoulos, K.; Federici, S. Overview of EFSA and European national authorities’ scientific opinions on the risk assessment of plants developed through New Genomic Techniques. EFSA J. 2021, 19, e06314. [Google Scholar] [CrossRef]
- EFSA Panel on Genetically Modified Organisms (GMO). Scientific opinion addressing the safety assessment of plants developed through cisgenesis and intragenesis. EFSA J. 2012, 10, 2561. [Google Scholar] [CrossRef]
- Lusser, M.; Davies, H.V. Comparative regulatory approaches for groups of new plant breeding techniques. N. Biotechnol. 2013, 30, 437–446. [Google Scholar] [CrossRef] [PubMed]
- Lombardo, L.; Zelasco, S. Biotech Approaches to Overcome the Limitations of Using Transgenic Plants in Organic Farming. Sustainability 2016, 8, 497. [Google Scholar] [CrossRef]
- Lassoued, R.; Hesseln, H.; Smyth, S.; Phillips, P. Top plant breeding techniques for improving food security: An expert Delphi survey of the opportunities and challenges. Int. J. Agric. Resour. Gov. Ecol. 2018, 14, 321. [Google Scholar] [CrossRef]
- Capriotti, L.; Baraldi, E.; Mezzetti, B.; Limera, C.; Sabbadini, S. Biotechnological Approaches: Gene Overexpression, Gene Silencing, and Genome Editing to Control Fungal and Oomycete Diseases in Grapevine. Int. J. Mol. Sci. 2020, 21, 5701. [Google Scholar] [CrossRef]
- Gaskell, G.; Allansdottir, A.; Allum, N.; Castro, P.; Esmer, Y.; Fischler, C.; Jackson, J.; Kronberger, N.; Hampel, J.; Mejlgaard, N.; et al. The 2010 Eurobarometer on the life sciences. Nat. Biotechnol. 2011, 29, 113–114. [Google Scholar] [CrossRef]
- Krens, F.A.; Schaart, J.G.; van der Burgh, A.M.; Tinnenbroek-Capel, I.E.M.; Groenwold, R.; Kodde, L.P.; Broggini, G.A.L.; Gessler, C.; Schouten, H.J. Cisgenic apple trees; development, characterization, and performance. Front. Plant Sci. 2015, 6, 286. [Google Scholar] [CrossRef]
- Lusk, J.L.; Sullivan, P. Consumer acceptance of genetically modified foods. Food Technol. 2002, 56, 32–37. [Google Scholar]
- Rommens, C.M. All-native DNA transformation: A new approach to plant genetic engineering. Trends Plant Sci. 2004, 9, 457–464. [Google Scholar] [CrossRef] [PubMed]
- Joshi, S.G.; Schaart, J.G.; Groenwold, R.; Jacobsen, E.; Schouten, H.J.; Krens, F.A. Functional analysis and expression profiling of HcrVf1 and HcrVf2 for development of scab resistant cisgenic and intragenic apples. Plant Mol. Biol. 2011, 75, 579–591. [Google Scholar] [CrossRef] [PubMed]
- Schaart, J.G. Towards Consumer-Friendly Cisgenic Strawberries Which Are Less Susceptible to Botrytis Cinérea; Wageningen University: Wageningen, The Netherlands, 2004. [Google Scholar]
- Schaart, J.G.; Kjellsen, T.D.; Mehli, L.; Heggem, R.; Iversen, T.H.; Schouten, H.J.; Krens, F.A. Towards the Production of Genetically Modified Strawberries which are Acceptable to Consumers. Genes Genomes Genom. 2011, 5, 102–107. [Google Scholar]
- Holme, I.B.; Dionisio, G.; Brinch-Pedersen, H.; Wendt, T.; Madsen, C.K.; Vincze, E.; Holm, P.B. Cisgenic barley with improved phytase activity. Plant Biotechnol. J. 2012, 10, 237–247. [Google Scholar] [CrossRef]
- de Vetten, N.; Wolters, A.-M.; Raemakers, K.; van der Meer, I.; ter Stege, R.; Heeres, E.; Heeres, P.; Visser, R. A transformation method for obtaining marker-free plants of a cross-pollinating and vegetatively propagated crop. Nat. Biotechnol. 2003, 21, 439–442. [Google Scholar] [CrossRef]
- Holme, I.B.; Wendt, T.; Holm, P.B. Intragenesis and cisgenesis as alternatives to transgenic crop development. Plant Biotechnol. J. 2013, 11, 395–407. [Google Scholar] [CrossRef]
- Haverkort, A.J.; Struik, P.C.; Visser, R.G.F.; Jacobsen, E. Applied Biotechnology to Combat Late Blight in Potato Caused by Phytophthora Infestans. Potato Res. 2009, 52, 249–264. [Google Scholar] [CrossRef]
- Gessler, C.; Vanblaere, T.; Parravicini, G.; Broggini, G.A.L. Cisgenic “Gala” Containing the Scab Resistance Gene from Malus floribunda 821 and the Fire Blight Resistance Genes from M. “Evereste”. Acta Hortic. 2014, 1048, 43–49. [Google Scholar] [CrossRef]
- Jo, K.-R.; Kim, C.-J.; Kim, S.-J.; Kim, T.-Y.; Bergervoet, M.; Jongsma, M.A.; Visser, R.G.F.; Jacobsen, E.; Vossen, J.H. Development of late blight resistant potatoes by cisgene stacking. BMC Biotechnol. 2014, 14, 50. [Google Scholar] [CrossRef]
- Vanblaere, T.; Flachowsky, H.; Gessler, C.; Broggini, G.A.L. Molecular characterization of cisgenic lines of apple ‘Gala’ carrying the Rvi6 scab resistance gene. Plant Biotechnol. J. 2014, 12, 2–9. [Google Scholar] [CrossRef]
- Rommens, C.M.; Humara, J.M.; Ye, J.; Yan, H.; Richael, C.; Zhang, L.; Perry, R.; Swords, K. Crop Improvement through Modification of the Plant’s Own Genome. Plant Physiol. 2004, 135, 421–431. [Google Scholar] [CrossRef]
- Kost, T.D.; Gessler, C.; Jänsch, M.; Flachowsky, H.; Patocchi, A.; Broggini, G.A.L. Development of the First Cisgenic Apple with Increased Resistance to Fire Blight. PLoS ONE 2015, 10, e0143980. [Google Scholar] [CrossRef]
- Würdig, J.; Flachowsky, H.; Saß, A.; Peil, A.; Hanke, M.-V. Improving resistance of different apple cultivars using the Rvi6 scab resistance gene in a cisgenic approach based on the Flp/FRT recombinase system. Mol. Breed. 2015, 35, 95. [Google Scholar] [CrossRef]
- Rommens, C.M.; Ye, J.; Richael, C.; Swords, K. Improving Potato Storage and Processing Characteristics through All-Native DNA Transformation. J. Agric. Food Chem. 2006, 54, 9882–9887. [Google Scholar] [CrossRef]
- Rommens, C.M.; Yan, H.; Swords, K.; Richael, C.; Ye, J. Low-acrylamide French fries and potato chips. Plant Biotechnol. J. 2008, 6, 843–853. [Google Scholar] [CrossRef] [PubMed]
- Bajaj, S.; Puthigae, S.; Templeton, K.; Bryant, C.; Gill, G.; Lomba, P.; Zhang, H.; Altpeter, F.; Hanley, Z. Towards engineering drought tolerance in perennial ryegrass using its own genome. Presented at the 6th Canadian Plant Genomics Workshop, Toronto, ON, USA, 23–26 June 2008; p. 62. [Google Scholar]
- Gadaleta, A.; Giancaspro, A.; Blechl, A.E.; Blanco, A. A transgenic durum wheat line that is free of marker genes and expresses 1Dy10. J. Cereal Sci. 2008, 48, 439–445. [Google Scholar] [CrossRef]
- Weeks, J.T.; Ye, J.; Rommens, C.M. Development of an in planta method for transformation of alfalfa (Medicago sativa). Transgenic Res. 2008, 17, 587–597. [Google Scholar] [CrossRef] [PubMed]
- Han, K.M.; Dharmawardhana, P.; Arias, R.S.; Ma, C.; Busov, V.; Strauss, S.H. Gibberellin-associated cisgenes modify growth, stature and wood properties in Populus. Plant Biotechnol. J. 2011, 9, 162–178. [Google Scholar] [CrossRef] [PubMed]
- Dhekney, S.A.; Li, Z.T.; Gray, D.J. Grapevines engineered to express cisgenic Vitis vinifera thaumatin-like protein exhibit fungal disease resistance. In Vitro Cell. Dev. Biol.-Plant 2011, 47, 458–466. [Google Scholar] [CrossRef]
- Vaughan, S.P.; James, D.J.; Lindsey, K.; Massiah, A.J. Characterization of FaRB7, a near root-specific gene from strawberry (Fragaria × ananassa Duch.) and promoter activity analysis in homologous and heterologous hosts. J. Exp. Bot. 2006, 57, 3901–3910. [Google Scholar] [CrossRef] [PubMed]
- Spolaore, S.; Trainotti, L.; Pavanello, A.; Casadoro, G. Isolation and promoter analysis of two genes encoding different endo-beta-1,4-glucanases in the non-climacteric strawberry. J. Exp. Bot. 2003, 54 381, 271–277. [Google Scholar] [CrossRef][Green Version]
- Agius, F.; Amaya, I.; Botella, M.A.; Valpuesta, V. Functional analysis of homologous and heterologous promoters in strawberry fruits using transient expression. J. Exp. Bot. 2005, 56, 37–46. [Google Scholar] [CrossRef]
- Rosin, F.; Aharoni, A.; Salentijn, E.; Schaart, J.; Boone, M.; Hannapel, D. Expression patterns of a putative homolog of AGAMOUS, STAG1, from strawberry. Plant Sci. 2003, 165, 959–968. [Google Scholar] [CrossRef]
- Carvalho, R.F.; Folta, K.M. Assessment of promoters and a selectable marker for development of strawberry intragenic vectors. Plant Cell Tissue Organ Cult. 2017, 128, 259–271. [Google Scholar] [CrossRef]
- Li, J.; Zhao, H.; Zheng, L.; An, W. Advances in Synthetic Biology and Biosafety Governance. Front. Bioeng. Biotechnol. 2021, 9, 598087. [Google Scholar] [CrossRef]
- Gibson, D.G.; Glass, J.I.; Lartigue, C.; Noskov, V.N.; Chuang, R.-Y.; Algire, M.A.; Benders, G.A.; Montague, M.G.; Ma, L.; Moodie, M.M.; et al. Creation of a Bacterial Cell Controlled by a Chemically Synthesized Genome. Science 2010, 329, 52–56. [Google Scholar] [CrossRef]
- Hutchison, C.A., 3rd; Chuang, R.-Y.; Noskov, V.N.; Assad-Garcia, N.; Deerinck, T.J.; Ellisman, M.H.; Gill, J.; Kannan, K.; Karas, B.J.; Ma, L.; et al. Design and synthesis of a minimal bacterial genome. Science 2016, 351, aad6253. [Google Scholar] [CrossRef]
- Richardson, S.M.; Mitchell, L.A.; Stracquadanio, G.; Yang, K.; Dymond, J.S.; DiCarlo, J.E.; Lee, D.; Huang, C.L.V.; Chandrasegaran, S.; Cai, Y.; et al. Design of a synthetic yeast genome. Science 2017, 355, 1040–1044. [Google Scholar] [CrossRef]
- Fesenko, E.; Edwards, R. Plant synthetic biology: A new platform for industrial biotechnology. J. Exp. Bot. 2014, 65, 1927–1937. [Google Scholar] [CrossRef] [PubMed]
- Liu, W.; Stewart, C.N.J. Plant synthetic biology. Trends Plant Sci. 2015, 20, 309–317. [Google Scholar] [CrossRef] [PubMed]
- Ali, S.; Kim, W.-C. A Fruitful Decade Using Synthetic Promoters in the Improvement of Transgenic Plants. Front. Plant Sci. 2019, 10, 1433. [Google Scholar] [CrossRef]
- Hughes, R.A.; Ellington, A.D. Synthetic DNA Synthesis and Assembly: Putting the Synthetic in Synthetic Biology. Cold Spring Harb. Perspect. Biol. 2017, 9, a023812. [Google Scholar] [CrossRef]
- Kosuri, S.; Church, G.M. Large-scale de novo DNA synthesis: Technologies and applications. Nat. Methods 2014, 11, 499–507. [Google Scholar] [CrossRef]
- Kortstee, A.J.; Khan, S.A.; Helderman, C.; Trindade, L.M.; Wu, Y.; Visser, R.G.F.; Brendolise, C.; Allan, A.; Schouten, H.J.; Jacobsen, E. Anthocyanin production as a potential visual selection marker during plant transformation. Transgenic Res. 2011, 20, 1253–1264. [Google Scholar] [CrossRef]
- Encinas-Villarejo, S.; Maldonado, A.M.; Amil-Ruiz, F.; de los Santos, B.; Romero, F.; Pliego-Alfaro, F.; Muñoz-Blanco, J.; Caballero, J.L. Evidence for a positive regulatory role of strawberry (Fragaria × ananassa) Fa WRKY1 and Arabidopsis At WRKY75 proteins in resistance. J. Exp. Bot. 2009, 60, 3043–3065. [Google Scholar] [CrossRef]
- Amil-Ruiz, F.; Garrido-Gala, J.; Gadea, J.; Blanco-Portales, R.; Muñoz-Mérida, A.; Trelles, O.; de los Santos, B.; Arroyo, F.T.; Aguado-Puig, A.; Romero, F.; et al. Partial Activation of SA- and JA-Defensive Pathways in Strawberry upon Colletotrichum acutatum Interaction. Front. Plant Sci. 2016, 7, 1036. [Google Scholar] [CrossRef]
- Rushton, P.J.; Somssich, I.E.; Ringler, P.; Shen, Q.J. WRKY transcription factors. Trends Plant Sci. 2010, 15, 247–258. [Google Scholar] [CrossRef]
- Alves, M.; Dadalto, S.; Gonçalves, A.; de Souza, G.; Barros, V.; Fietto, L. Transcription Factor Functional Protein-Protein Interactions in Plant Defense Responses. Proteomes 2014, 2, 85–106. [Google Scholar] [CrossRef]
- Tsuda, K.; Somssich, I.E. Transcriptional networks in plant immunity. New Phytol. 2015, 206, 932–947. [Google Scholar] [CrossRef] [PubMed]
- Chen, X.; Liu, J.; Lin, G.; Wang, A.; Wang, Z.; Lu, G. Overexpression of AtWRKY28 and AtWRKY75 in Arabidopsis enhances resistance to oxalic acid and Sclerotinia sclerotiorum. Plant Cell Rep. 2013, 32, 1589–1599. [Google Scholar] [CrossRef] [PubMed]
- Li, C.; He, X.; Luo, X.; Xu, L.; Liu, L.; Min, L.; Jin, L.; Zhu, L.; Zhang, X. Cotton WRKY1 Mediates the Plant Defense-to-Development Transition during Infection of Cotton by Verticillium dahliae by Activating JASMONATE ZIM-DOMAIN1 Expression. Plant Physiol. 2014, 166, 2179–2194. [Google Scholar] [CrossRef]
- Marchive, C.; Léon, C.; Kappel, C.; Coutos-Thévenot, P.; Corio-Costet, M.-F.; Delrot, S.; Lauvergeat, V. Over-Expression of VvWRKY1 in Grapevines Induces Expression of Jasmonic Acid Pathway-Related Genes and Confers Higher Tolerance to the Downy Mildew. PLoS ONE 2013, 8, e54185. [Google Scholar] [CrossRef]
- Higuera, J.J.; Garrido-Gala, J.; Lekhbou, A.; Arjona-Girona, I.; Amil-Ruiz, F.; Mercado, J.A.; Pliego-Alfaro, F.; Muñoz-Blanco, J.; López-Herrera, C.J.; Caballero, J.L. The Strawberry FaWRKY1 Transcription Factor Negatively Regulates Resistance to Colletotrichum acutatum in Fruit Upon Infection. Front. Plant Sci. 2019, 10, 480. [Google Scholar] [CrossRef]
- Helliwell, C.; Waterhouse, P. Constructs and methods for high-throughput gene silencing in plants. Methods 2003, 30, 289–295. [Google Scholar] [CrossRef]
- Xu, P.; Zhang, Y.; Kang, L.; Roossinck, M.J.; Mysore, K.S. Computational Estimation and Experimental Verification of Off-Target Silencing during Posttranscriptional Gene Silencing in Plants. Plant Physiol. 2006, 142, 429–440. [Google Scholar] [CrossRef]
- Smith, N.A.; Singh, S.P.; Wang, M.-B.; Stoutjesdijk, P.A.; Green, A.G.; Waterhouse, P.M. Total silencing by intron-spliced hairpin RNAs. Nature 2000, 407, 319–320. [Google Scholar] [CrossRef]
- Wesley, S.V.; Helliwell, C.A.; Smith, N.A.; Wang, M.; Rouse, D.T.; Liu, Q.; Gooding, P.S.; Singh, S.P.; Abbott, D.; Stoutjesdijk, P.A.; et al. Construct design for efficient, effective and high-throughput gene silencing in plants. Plant J. 2001, 27, 581–590. [Google Scholar] [CrossRef]
- Jadhav, P.; Chandrakant, E.; Sahebrao, W. RNAi Induced Gene Silencing Journey from Simple dsRNA to High-Throughput Intron Hairpin RNA Construct in Crop Improvement. In Genetic Transformation in Crops; IntechOpen Limited: London, UK, 2020. [Google Scholar] [CrossRef]
- Glazebrook, J. Contrasting mechanisms of defense against biotrophic and necrotrophic pathogens. Annu. Rev. Phytopathol. 2005, 43, 205–227. [Google Scholar] [CrossRef]
- Fu, Z.Q.; Dong, X. Systemic Acquired Resistance: Turning Local Infection into Global Defense. Annu. Rev. Plant Biol. 2013, 64, 839–863. [Google Scholar] [CrossRef]
- Zhang, Y.; Li, X. Salicylic acid: Biosynthesis, perception, and contributions to plant immunity. Curr. Opin. Plant Biol. 2019, 50, 29–36. [Google Scholar] [CrossRef]
- Ding, Y.; Sun, T.; Ao, K.; Peng, Y.; Zhang, Y.; Li, X.; Zhang, Y. Opposite Roles of Salicylic Acid Receptors NPR1 and NPR3/NPR4 in Transcriptional Regulation of Plant Immunity. Cell 2018, 173, 1454–1467.e15. [Google Scholar] [CrossRef]
- Shu, L.-J.; Liao, J.-Y.; Lin, N.-C.; Chung, C.-L. Identification of a strawberry NPR-like gene involved in negative regulation of the salicylic acid-mediated defense pathway. PLoS ONE 2018, 13, e0205790. [Google Scholar] [CrossRef]
- Higuera-Sobrino, J.-J.; Amil-Ruiz, F.; Garrido-Gala, J.; Lekhbou, A.; Moyano, E.; Arjona-Girona, I.; Arjona-López, J.-M.; Mercado, J.-A.; Pliego-Alfaro, F.; Muñoz-Blanco, J.; et al. El silenciamiento del gen Fanpr3.1 de fresa (Fragaria × ananassa) genera resistencia a la infección por Colletotrichum acutatum y sugiere una función en defensa semejante a la de lo genes Atnpr3/Atnpr4 en Arabidopsis. In Proceedings of the XXXIX Congreso de la Sociedad Española de Bioquímica y Biología Molecular (XXXIX Congreso SEBBM), Salamanca, Spain, 1 September 2016; Sociedad Española de Bioquímica y Biología Molecular (SEBBM), Ed.; Rubes Editorial, S.L. SEBBM: Salamanca, Spain, 2016; p. 74. Available online: https://studylib.es/doc/5567030/libro-de-resumenes---congreso-sebbm-salamanca-2016:Salamanca (accessed on 14 December 2021).
- Cumplido-Laso, G.; Medina-Puche, L.; Moyano, E.; Hoffmann, T.; Sinz, Q.; Ring, L.; Studart-Wittkowski, C.; Caballero, J.L.; Schwab, W.; Muñoz-Blanco, J.; et al. The fruit ripening-related gene FaAAT2 encodes an acyl transferase involved in strawberry aroma biogenesis. J. Exp. Bot. 2012, 63, 4275–4290. [Google Scholar] [CrossRef]
- Molina-Hidalgo, F.J.; Medina-Puche, L.; Cañete-Gómez, C.; Franco-Zorrilla, J.M.; López-Vidriero, I.; Solano, R.; Caballero, J.L.; Rodríguez-Franco, A.; Blanco-Portales, R.; Muñoz-Blanco, J.; et al. The fruit-specific transcription factor FaDOF2 regulates the production of eugenol in ripe fruit receptacles. J. Exp. Bot. 2017, 68, 4529–4543. [Google Scholar] [CrossRef]
- Liu, T.; Li, M.; Liu, Z.; Ai, X.; Li, Y. Reannotation of the cultivated strawberry genome and establishment of a strawberry genome database. Hortic. Res. 2021, 8, 41. [Google Scholar] [CrossRef]
- Labadie, M.; Vallin, G.; Petit, A.; Ring, L.; Hoffmann, T.; Gaston, A.; Potier, A.; Munoz-Blanco, J.; Caballero, J.L.; Schwab, W.; et al. The genetic architecture of fruit colour in strawberry (Fragaria × ananassa) uncovers the predominant contribution of the F. vesca subgenome to anthocyanins and reveals underlying genetic variations. bioRxiv 2020. [Google Scholar] [CrossRef]
- LI, Y.; LIU, T.; LUO, H.; LIU, S. The transcriptional landscape of cultivated strawberry (Fragaria × ananassa) and its diploid ancestor (Fragaria vesca) during fruit development. J. Integr. Agric. 2021, 20, 1540–1553. [Google Scholar] [CrossRef]
- Han, Y.; Dang, R.; Li, J.; Jinzhu, J.; Zhang, N.; Jia, M.; Wei, L.; Li, Z.; Li, B.; Jia, W. FaSnRK2.6, an ortholog of Open Stomata 1, is a Negative Regulator of Strawberry Fruit Development and Ripening. Plant Physiol. 2015, 167. [Google Scholar] [CrossRef]
- Bernardes, W.S.; Menossi, M. Plant 3′ Regulatory Regions From mRNA-Encoding Genes and Their Uses to Modulate Expression. Front. Plant Sci. 2020, 11, 1252. [Google Scholar] [CrossRef]
- Schaart, J.G.; Tinnenbroek-Capel, I.E.M.; Krens, F.A. Isolation and characterization of strong gene regulatory sequences from apple, Malus × domestica. Tree Genet. Genomes 2011, 7, 135–142. [Google Scholar] [CrossRef]
- Lescot, M.; Déhais, P.; Thijs, G.; Marchal, K.; Moreau, Y.; Van de Peer, Y.; Rouzé, P.; Rombauts, S. PlantCARE, a database of plant cis-acting regulatory elements and a portal to tools for in silico analysis of promoter sequences. Nucleic Acids Res. 2002, 30, 325–327. [Google Scholar] [CrossRef]
- Shahmuradov, I.; Umarov, R.; Solovyev, V. TSSPlant: A new tool for prediction of plant Pol II promoters. Nucleic Acids Res. 2017, 45, e65. [Google Scholar] [CrossRef]
- Salamov, A.A.; Solovyev, V.V. Recognition of 3-processing sites of human mRNA precursors. CABIOS 1997, 13, 23–28. [Google Scholar] [CrossRef]
- Schaart, J.G.; Krens, F.A.; Wolters, A.M.A.; Visser, R.G.F. Plant Transformation Technologies; John Wiley & Sons: Hoboken, NJ, USA, 2010. [Google Scholar]
- Karimi, M.; Inzé, D.; Depicker, A. GATEWAYTM vectors for Agrobacterium-mediated plant transformation. Trends Plant Sci. 2002, 7, 193–195. [Google Scholar] [CrossRef]
- Lazo, G.R.; Stein, P.A.; Ludwig, R.A. A DNA transformation-competent Arabidopsis genomic library in Agrobacterium. Bio/Technology 1991, 9, 963–967. [Google Scholar] [CrossRef]





Publisher’s Note: MDPI stays neutral with regard to jurisdictional claims in published maps and institutional affiliations. |
© 2021 by the authors. Licensee MDPI, Basel, Switzerland. This article is an open access article distributed under the terms and conditions of the Creative Commons Attribution (CC BY) license (https://creativecommons.org/licenses/by/4.0/).
Share and Cite
Súnico, V.; Higuera, J.J.; Molina-Hidalgo, F.J.; Blanco-Portales, R.; Moyano, E.; Rodríguez-Franco, A.; Muñoz-Blanco, J.; Caballero, J.L. The Intragenesis and Synthetic Biology Approach towards Accelerating Genetic Gains on Strawberry: Development of New Tools to Improve Fruit Quality and Resistance to Pathogens. Plants 2022, 11, 57. https://doi.org/10.3390/plants11010057
Súnico V, Higuera JJ, Molina-Hidalgo FJ, Blanco-Portales R, Moyano E, Rodríguez-Franco A, Muñoz-Blanco J, Caballero JL. The Intragenesis and Synthetic Biology Approach towards Accelerating Genetic Gains on Strawberry: Development of New Tools to Improve Fruit Quality and Resistance to Pathogens. Plants. 2022; 11(1):57. https://doi.org/10.3390/plants11010057
Chicago/Turabian StyleSúnico, Victoria, José Javier Higuera, Francisco J. Molina-Hidalgo, Rosario Blanco-Portales, Enriqueta Moyano, Antonio Rodríguez-Franco, Juan Muñoz-Blanco, and José L. Caballero. 2022. "The Intragenesis and Synthetic Biology Approach towards Accelerating Genetic Gains on Strawberry: Development of New Tools to Improve Fruit Quality and Resistance to Pathogens" Plants 11, no. 1: 57. https://doi.org/10.3390/plants11010057
APA StyleSúnico, V., Higuera, J. J., Molina-Hidalgo, F. J., Blanco-Portales, R., Moyano, E., Rodríguez-Franco, A., Muñoz-Blanco, J., & Caballero, J. L. (2022). The Intragenesis and Synthetic Biology Approach towards Accelerating Genetic Gains on Strawberry: Development of New Tools to Improve Fruit Quality and Resistance to Pathogens. Plants, 11(1), 57. https://doi.org/10.3390/plants11010057

