Elemental Analysis and In Vitro Evaluation of Antibacterial and Antifungal Activities of Usnea barbata (L.) Weber ex F.H. Wigg from Călimani Mountains, Romania
Abstract
1. Introduction
2. Results
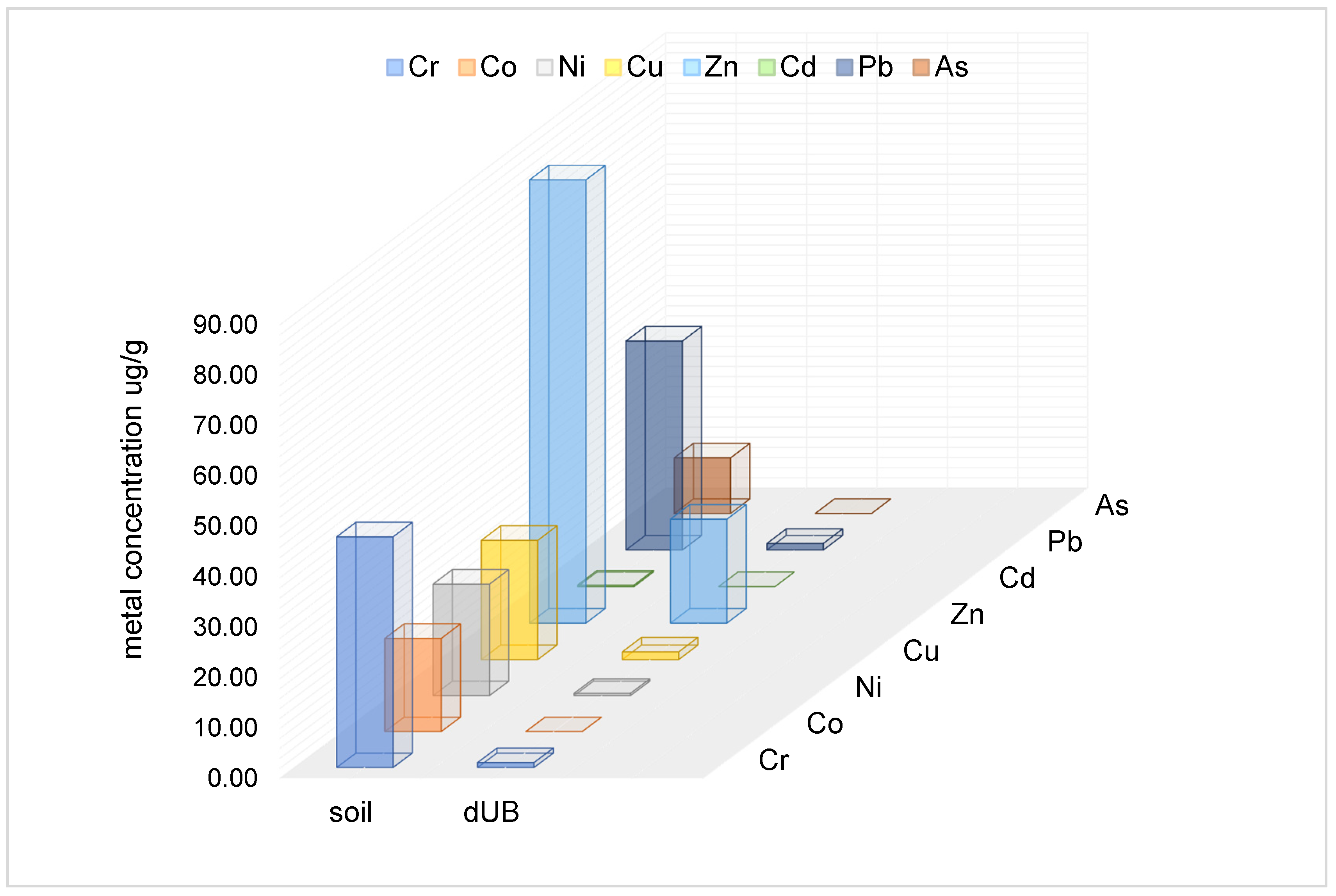
2.1. Elemental Analysis
2.2. Characterization of Usnea barbata (L.) Weber ex F.H. Wigg Dry Extracts
2.3. Antibacterial Activity
2.4. Antifungal Activity
3. Discussion
4. Materials and Methods
4.1. Lichen Samples
4.2. Elemental Analysis
4.2.1. Equipment
4.2.2. Dried Lichen Mineralization
4.2.3. Standard Solutions
4.2.4. Working Conditions
4.2.5. Specificity
4.2.6. Spike Solutions
4.2.7. Spiked Solutions
4.2.8. Calibration Curves
4.2.9. Detection Limits and Quantification Limits
4.2.10. Data Analysis, Software
4.3. U. barbata Dry Extracts—Preparation
4.4. Determination of the Usnic Acid Content
4.5. Determination of the Total Polyphenol Content
4.6. Determination of the Tannin Content
4.7. Antimicrobial Activity
4.7.1. Microorganisms and Media
4.7.2. Inoculum Preparation
4.7.3. Disc Diffusion Method
4.7.4. Reading Plates
4.7.5. Interpretation of DDM Results
4.7.6. Data Analysis, Software
5. Conclusions
Supplementary Materials
Author Contributions
Funding
Institutional Review Board Statement
Informed Consent Statement
Data Availability Statement
Acknowledgments
Conflicts of Interest
References
- Veeresham, C. Natural products derived from plants as a source of drugs. J. Adv. Pharm. Technol. Res. 2012, 3, 200–201. [Google Scholar] [CrossRef]
- Nunes, V.; Mendez-Sanchez, N. Impact of Herbal and Dietary Supplements Causing Drug-Induced Liver Injury in Latin America. Clin. Liver Dis. 2020, 16, 83–86. [Google Scholar] [CrossRef] [PubMed]
- Gilbert, B.; Ferreira, J.L.P.; Beatriz, M.; Carvalho, E.S.; Cascon, V.; Rocha, L.M. The official use of medicinal plants in public health. Cienc. Cult. 1997, 49, 339–344. [Google Scholar]
- Bačkor, M.; Fahselt, D. Lichen photobionts and metal toxicity. Symbiosis 2008, 46, 1–10. [Google Scholar]
- Ranković, B. Lichen Secondary Metabolites: Bioactive Properties and Pharmaceutical Potential; Springer: Cham, Switzerland, 2015; pp. 1–29. [Google Scholar]
- White, P.A.S.; Oliveira, R.C.M.; Oliveira, A.P.; Serafini, M.R.; Araújo, A.A.S.; Gelain, D.P.; Moreira, J.C.F.; Almeida, J.R.G.S.; Quintans, J.S.S.; Quintans-Junior, L.J.; et al. Antioxidant activity and mechanisms of action of natural compounds isolated from lichens: A systematic review. Molecules 2014, 19, 14496–14527. [Google Scholar] [CrossRef] [PubMed]
- Calcott, M.J.; Ackerley, D.F.; Knight, A.; Keyzers, R.A.; Owen, J.G. Secondary metabolism in the lichen symbiosis. Chem. Soc. Rev. 2018, 47, 1730–1760. [Google Scholar] [CrossRef]
- Bačkor, M.; Loppi, S. Interactions of lichens with heavy metals. Biol. Plant. 2009, 53, 214–222. [Google Scholar] [CrossRef]
- Conti, M.E.; Tudino, M.B. Lichens as Biomonitors of Heavy-Metal Pollution. Compr. Anal. Chem. 2016, 73, 118–149. [Google Scholar]
- Smykla, J.; Szarek-Gwiazda, E.; Krzewicka, B. Trace elements in the lichens Usnea aurantiacoatra and Usnea antarctica from the vicinity of Uruguay’s Artigas research station on King George Island, Maritime Antarctic. Pol. Bot. Stud. 2005, 19, 49–57. [Google Scholar]
- Caridi, F.; D’Agostino, M.; Messina, M.; Marcianò, G.; Grioli, L.; Belvedere, A.; Marguccio, S.; Belmusto, G. Lichens as environmental risk detectors. Eur. Phys. J. Plus 2017, 132, 189. [Google Scholar] [CrossRef]
- Ramzaev, V.; Barkovsky, A.; Gromov, A.; Ivanov, S.; Kaduka, M. Epiphytic fruticose lichens as biomonitors for retrospective evaluation of the 134Cs/137Cs ratio in Fukushima fallout. J. Environ. Radioact. 2014, 138, 177–185. [Google Scholar] [CrossRef]
- Richardson, D.H. Metal uptake in lichens. Symbiosis 1995, 18, 119–127. [Google Scholar]
- Paukov, A.; Teptina, A.; Morozova, M.; Kruglova, E.; Favero-Longo, S.E.; Bishop, C.; Rajakaruna, N. The effects of edaphic and climatic factors on secondary lichen chemistry: A case study using saxicolous lichens. Diversity 2019, 11, 94. [Google Scholar] [CrossRef]
- Sueoka, Y.; Sakakibara, M.; Sano, S.; Yamamoto, Y. A new method of environmental assessment and monitoring of Cu, Zn, As, and Pb pollution in surface soil using terricolous fruticose lichens. Environments 2016, 3, 35. [Google Scholar] [CrossRef]
- Cobbett, C.; Goldsbrough, P. Phytochelatins and metallothioneins: Roles in heavy metal detoxification and homeostasis. Annu. Rev. Plant Biol. 2002, 53, 159–182. [Google Scholar] [CrossRef]
- Pawlik-Skowrońska, B.; Purvis, O.W.; Pirszel, J.; Skowroński, T. Cellular mechanisms of Cu-tolerance in the epilithic lichen Lecanora polytropa growing at a copper mine. Lichenologist 2006, 38, 267–275. [Google Scholar] [CrossRef]
- Purvis, O.W. Adaptation and interaction of saxicolous crustose lichens with metals. Bot. Stud. 2014, 55, 23. [Google Scholar] [CrossRef]
- Pawlik-Skowrońska, B.; Bačkor, M. Zn/Pb-tolerant lichens with higher content of secondary metabolites produce less phytochelatins than specimens living in unpolluted habitats. Environ. Exp. Bot. 2011, 72, 64–70. [Google Scholar]
- Paoli, L.; Grassi, A.; Vannini, A.; Maslaňáková, I.; Bil’ová, I.; Bačkor, M.; Corsini, A.; Loppi, S. Epiphytic lichens as indicators of environmental quality around a municipal solid waste landfill (C Italy). Waste Manag. 2015, 42, 67–73. [Google Scholar] [CrossRef]
- Nikalje, G.C.; Suprasanna, P. Coping with metal toxicity—Cues from halophytes. Front. Plant Sci. 2018, 9, 777. [Google Scholar] [CrossRef]
- Kováčik, J.; Dresler, S.; Peterková, V.; Babula, P. Metal-induced oxidative stress in terrestrial macrolichens. Chemosphere 2018, 203, 402–409. [Google Scholar] [CrossRef]
- Mitrović, T.; Stamenković, S.; Cvetković, V.; Tošić, S.; Stanković, M.; Radojević, I.; Stefanović, O.; Čomić, L.; Dačić, D.; Ćurčić, M.; et al. Antioxidant, antimicrobial and antiproliferative activities of five lichen species. Int. J. Mol. Sci. 2011, 12, 5428–5448. [Google Scholar] [CrossRef]
- Elix, J.A.; Stocker-Wörgötter, E. Biochemistry and secondary metabolites. In Lichen Biology, 3rd ed.; Nash, T.H., Ed.; Cambridge University Press: Cambridge, UK, 2008; pp. 104–133. [Google Scholar]
- Jacopin, E.; Lehtinen, S.; Débarre, F.; Blanquart, F. Factors favouring the evolution of multidrug resistance in bacteria. J. R. Soc. Interface 2020, 17, 20200105. [Google Scholar] [CrossRef]
- Anand, U.; Nandy, S.; Mundhra, A.; Das, N.; Pandey, D.K.; Dey, A. A review on antimicrobial botanicals, phytochemicals and natural resistance modifying agents from Apocynaceae family: Possible therapeutic approaches against multidrug resistance in pathogenic microorganisms. Drug Resist. Updat. 2020, 51, 100695. [Google Scholar] [CrossRef]
- Blanco, P.; Hernando-Amado, S.; Reales-Calderon, J.A.; Corona, F.; Lira, F.; Alcalde-Rico, M.; Bernardini, A.; Sanchez, M.B.; Martinez, J.L. Bacterial multidrug efflux pumps: Much more than antibiotic resistance determinants. Microorganisms 2016, 4, 14. [Google Scholar] [CrossRef] [PubMed]
- Alves-Barroco, C.; Rivas-García, L.; Fernandes, A.R.; Baptista, P.V. Tackling Multidrug Resistance in Streptococci—From Novel Biotherapeutic Strategies to Nanomedicines. Front. Microbiol. 2020, 11, 579916. [Google Scholar] [CrossRef]
- Nasir, N.S.M.; Chan, Y.Y.; Harun, A.; Husin, A.; Kamaruzzaman, N.F.; Wada, Y.; Abdul-Rahman, Z. Linezolid-Resistant Enterococcus casseliflavus and Enterococcus gallinarum isolated from poultry farms in Kelantan, Malaysia. Malays. J. Microbiol. 2021, 17, 361–368. [Google Scholar]
- Verma, R.; Baroco, A.L. Enterococcus casseliflavus septicaemia associated with hepatobiliary infection in a 75-year-old man. BMJ Case Rep. 2017, 2017, 219636. [Google Scholar]
- Behera, I.C.; Swain, S.K.; Sahu, M.C. Colonization and antibiotic resistance dynamics of patients at intensive care unit: Our experience. Asian J. Pharm. Clin. Res. 2017, 10, 417–421. [Google Scholar]
- Yang, Y.; Li, X.; Zhang, Y.; Liu, J.; Hu, X.; Nie, T.; Yang, X.; Wang, X.; Li, C.; You, X. Characterization of a hypervirulent multidrug-resistant ST23 Klebsiella pneumoniae carrying a blaCTX-M-24 IncFII plasmid and a pK2044-like plasmid. J. Glob. Antimicrob. Resist. 2020, 22, 674–679. [Google Scholar] [CrossRef]
- Binder, U.; Arastehfar, A.; Schnegg, L.; Hörtnagl, C.; Hilmioğlu-Polat, S.; Perlin, D.S.; Lass-Flörl, C. Efficacy of lamb against emerging azole-and multidrug-resistant Candida parapsilosis isolates in the Galleria mellonella model. J. Fungi 2020, 6, 377. [Google Scholar] [CrossRef]
- Dandapat, M.; Paul, S. Secondary metabolites from lichen Usnea longissima and its pharmacological relevance. Pharmacogn. Res. 2019, 11, 103–109. [Google Scholar]
- Behera, B.C.; Verma, N.; Sonone, A.; Makhija, U. Antioxidant and antibacterial properties of some cultured lichens. Bioresour. Technol. 2008, 99, 7424. [Google Scholar] [CrossRef]
- Idamokoro, E.M.; Masika, P.J.; Muchenje, V.; Falta, D.; Green, E. In-vitro antibacterial sensitivity of Usnea barbata lichen extracted with methanol and ethyl-acetate against selected Staphylococcus species from milk of cows with mastitis. Arch. Anim. Breed. 2014, 57, 1–9. [Google Scholar] [CrossRef]
- Popovici, V.; Bucur, L.; Popescu, A.; Caraiane, A.; Badea, V. Determination of the content in usnic acid and polyphenols from the extracts of Usnea barbata L. and the evaluation of their antioxidant activity. Farmacia 2018, 66, 337–341. [Google Scholar]
- Prateeksha; Paliya, B.S.; Bajpai, R.; Jadaun, V.; Kumar, J.; Kumar, S.; Upreti, D.K.; Singh, B.N.R.; Nayaka, S.; Joshi, Y.; et al. The genus Usnea: A potent phytomedicine with multifarious ethnobotany, phytochemistry and pharmacology. RSC Adv. 2016, 6, 21672–21696. [Google Scholar] [CrossRef]
- Basiouni, S.; Fayed, M.A.A.; Tarabees, R.; El-Sayed, M.; Elkhatam, A.; Töllner, K.R.; Hessel, M.; Geisberger, T.; Huber, C.; Eisenreich, W.; et al. Characterization of sunflower oil extracts from the lichen Usnea barbata. Metabolites 2020, 10, 353. [Google Scholar] [CrossRef]
- Salgado, F.; Albornoz, L.; Cortéz, C.; Stashenko, E.; Urrea-Vallejo, K.; Nagles, E.; Galicia-Virviescas, C.; Cornejo, A.; Ardiles, A.; Simirgiotis, M.; et al. Secondary Metabolite Profiling of Species of the Genus Usnea by UHPLC-ESI-OT-MS-MS. Molecules 2018, 23, 54. [Google Scholar] [CrossRef] [PubMed]
- Popovici, V.; Bucur, L.; Vochita, G.; Gherghel, D.; Mihai, C.T.; Rambu, D.; Calcan, S.I.; Costache, T.; Cucolea, I.E.; Matei, E.; et al. In vitro anticancer activity and oxidative stress biomarkers status determined by usnea barbata (L.) f.h. wigg. dry extracts. Antioxidants 2021, 10, 1141. [Google Scholar] [CrossRef] [PubMed]
- Bubach, D.F.; Catán, S.P.; Messuti, M.I.; Arribére, M.A.; Guevara, S.R. Bioaccumulation of trace elements in lichens exposed to geothermal and volcanic activity from copahue-caviahue volcanic complex, patagonia, Argentina. Ann. Environ. Sci. Toxicol. 2020, 4, 5–15. [Google Scholar]
- Cazacu, B.C.; Buzgar, N.; Iancu, O.G. Geochemical and spatial distribution of heavy metals in forest soils adjacent to the Tinovul Mare Poiana Stampei peat bog. Rev. Chim. 2018, 69, 434–438. [Google Scholar] [CrossRef]
- Cansaran, D.; Kahya, D.; Yurdakulol, E.; Atakol, O. Identification and quantitation of usnic acid from the lichen Usnea species of anatolia and antimicrobial activity. Z. Naturforsch. C J. Biosci. 2006, 61, 773–776. [Google Scholar] [CrossRef] [PubMed]
- Joshi, D.R.; Adhikari, N. An Overview on Common Organic Solvents and Their Toxicity. J. Pharm. Res. Int. 2019, 28, 1–18. [Google Scholar] [CrossRef]
- Popovici, V.; Bucur, L.; Popescu, A.; Schröder, V.; Costache, T.; Rambu, D.; Cucolea, I.E.; Gîrd, C.E.; Caraiane, A.; Gherghel, D.; et al. Antioxidant and cytotoxic activities of Usnea barbata (L.) F.H. Wigg. dry extracts in different solvents. Plants 2021, 10, 909. [Google Scholar] [CrossRef] [PubMed]
- Conti, M.E.; Finoia, M.G.; Bocca, B.; Mele, G.; Alimonti, A.; Pino, A. Atmospheric background trace elements deposition in Tierra del Fuego region (Patagonia, Argentina), using transplanted Usnea barbata lichens. Environ. Monit. Assess. 2012, 184, 527–538. [Google Scholar] [CrossRef]
- Conti, M.E.; Plà, R.; Simone, C.; Jasan, R.; Finoia, M.G. Implementing the monitoring breakdown structure: Native lichens as biomonitors of element deposition in the southern Patagonian forest connected with the Puyehue volcano event in 2011—a 6-year survey (2006–2012). Environ. Sci. Pollut. Res. 2020, 27, 38819–38834. [Google Scholar] [CrossRef] [PubMed]
- Pino, A.; Alimonti, A.; Conti, M.E.; Bocca, B. Iridium, platinum and rhodium baseline concentration in lichens from Tierra del Fuego (South Patagonia, Argentina). J. Environ. Monit. 2010, 12, 1857–1863. [Google Scholar] [CrossRef]
- Zambrano, A.; Nash, T.H. Lichen responses to short-term transplantation in Desierto de los Leones, Mexico City. Environ. Pollut. 2000, 107, 407–412. [Google Scholar] [CrossRef]
- Białońska, D.; Dayan, F.E. Chemistry of the lichen Hypogymnia physodes transplanted to an industrial region. J. Chem. Ecol. 2005, 31, 2975–2991. [Google Scholar] [CrossRef]
- Bergamaschi, L.; Rizzio, E.; Giaveri, G.; Loppi, S.; Gallorini, M. Comparison between the accumulation capacity of four lichen species transplanted to a urban site. Environ. Pollut. 2007, 148, 468–476. [Google Scholar] [CrossRef]
- Meli, M.A.; Desideri, D.; Cantaluppi, C.; Ceccotto, F.; Feduzi, L.; Roselli, C. Elemental and radiological characterization of commercial Cetraria islandica (L.) Acharius pharmaceutical and food supplementation products. Sci. Total Environ. 2018, 613–614, 1566–1572. [Google Scholar] [CrossRef]
- Zhao, Y.; Wang, M.; Xu, B. A comprehensive review on secondary metabolites and health-promoting effects of edible lichen. J. Funct. Foods 2021, 80, 104283. [Google Scholar] [CrossRef]
- Marinescu, E.; Elisei, A.M.; Aprotosoaie, A.C.; Cioancă, O.; Trifan, A.; Miron, A.; Robu, S.; Ifrim, C.; Hăncianu, M. Assessment of heavy metals content in some medicinal plants and spices commonly used in Romania. Farmacia 2020, 68, 1099–1105. [Google Scholar] [CrossRef]
- Luo, L.; Wang, B.; Jiang, J.; Fitzgerald, M.; Huang, Q.; Yu, Z.; Li, H.; Zhang, J.; Wei, J.; Yang, C.; et al. Heavy Metal Contaminations in Herbal Medicines: Determination, Comprehensive Risk Assessments, and Solutions. Front. Pharmacol. 2021, 11, 595335. [Google Scholar] [CrossRef]
- Osmani, M.; Bani, A.; Hoxha, B. Heavy Metals and Ni Phytoextractionin in the Metallurgical Area Soils in Elbasan. Albanian J. Agric. Sci. 2015, 14, 414–419. [Google Scholar]
- Shirkhanloo, H.; Mirzahosseini, S.A.H.; Shirkhanloo, N.; Ali Moussavi-Najarkola, S.; Farahani, H. The evaluation and determination of heavy metals pollution in edible vegetables, water and soil in the south of Tehran province by GIS. Arch. Environ. Prot. 2015, 41, 64–74. [Google Scholar] [CrossRef]
- Simkova, K.; Polesny, Z. Ethnobotanical review of wild edible plants used in the Czech Republic. J. Appl. Bot. Food Qual. 2015, 88, 49–67. [Google Scholar]
- Dobrescu, D.; Tanasescu, M.; Mezdrea, A.; Ivan, C.; Ordosch, E.; Neagoe, F.; Rizeanu, A.; Trifu, L.; Enescu, V. Contributions to the complex study of some lichens-Usnea genus. Pharmacological studies on Usnea barbata and Usnea hirta species. Rom. J. Physiol. 1993, 30, 101–107. [Google Scholar]
- Li, S.M.; Fang, Y.; Ning, H.M.; Wu, Y.X. Heavy metals in Chinese therapeutic foods and herbs. J. Chem. Soc. Pak. 2012, 34, 1091–1095. [Google Scholar]
- Bud’ová, J.; Bačkor, M.; Bačkorová, M.; Židzik, J. Usnic acid and copper toxicity in aposymbiotically grown lichen photobiont Trebouxia erici. Symbiosis 2006, 42, 169. [Google Scholar]
- Bačkorová, M.; Jendželovský, R.; Kello, M.; Bačkor, M.; Mikeš, J.; Fedoročko, P. Lichen secondary metabolites are responsible for induction of apoptosis in HT-29 and A2780 human cancer cell lines. Toxicol. Vitr. 2012, 26, 462–468. [Google Scholar] [CrossRef] [PubMed]
- Antonenko, Y.N.; Khailova, L.S.; Rokitskaya, T.I.; Nosikova, E.S.; Nazarov, P.A.; Luzina, O.A.; Salakhutdinov, N.F.; Kotova, E.A. Mechanism of action of an old antibiotic revisited: Role of calcium ions in protonophoric activity of usnic acid. Biochim. Biophys. Acta-Bioenerg. 2019, 1860, 310–316. [Google Scholar] [CrossRef]
- Chelombitko, M.A.; Firsov, A.M.; Kotova, E.A.; Rokitskaya, T.I.; Khailova, L.S.; Popova, L.B.; Chernyak, B.V.; Antonenko, Y.N. Usnic acid as calcium ionophore and mast cells stimulator. Biochim. Biophys. Acta-Biomembr. 2020, 1862, 183303. [Google Scholar] [CrossRef] [PubMed]
- Bouarab-Chibane, L.; Forquet, V.; Lantéri, P.; Clément, Y.; Léonard-Akkari, L.; Oulahal, N.; Degraeve, P.; Bordes, C. Antibacterial properties of polyphenols: Characterization and QSAR (Quantitative structure-activity relationship) models. Front. Microbiol. 2019, 10, 829. [Google Scholar] [CrossRef]
- Bansal, S.; Choudhary, S.; Sharma, M.; Kumar, S.S.; Lohan, S.; Bhardwaj, V.; Syan, N.; Jyoti, S. Tea: A native source of antimicrobial agents. Food Res. Int. 2013, 53, 568–584. [Google Scholar] [CrossRef]
- Navarro-Martínez, M.D.; García-Cánovas, F.; Rodríguez-López, J.N. Tea polyphenol epigallocatechin-3-gallate inhibits ergosterol synthesis by disturbing folic acid metabolism in Candida albicans. J. Antimicrob. Chemother. 2006, 57, 1083–1092. [Google Scholar] [CrossRef]
- Sieniawska, E. Activities of tannins-From in Vitro studies to clinical trials. Nat. Prod. Commun. 2015, 10, 1877–1884. [Google Scholar] [CrossRef] [PubMed]
- Scalbert, A. Antimicrobial properties of tannins. Phytochemistry 1991, 30, 3875–3883. [Google Scholar] [CrossRef]
- Farha, A.K.; Yang, Q.Q.; Kim, G.; Li, H.B.; Zhu, F.; Liu, H.Y.; Gan, R.Y.; Corke, H. Tannins as an alternative to antibiotics. Food Biosci. 2020, 38, 100751. [Google Scholar] [CrossRef]
- Jin, J.Q.; Rao, Y.; Bian, X.L.; Zeng, A.G.; Yang, G. De Solubility of (+)-usnic acid in water, ethanol, acetone, ethyl acetate and n-hexane. J. Solut. Chem. 2013, 42, 1018–1027. [Google Scholar] [CrossRef]
- Jin, S.E.; Jin, H.E. Antimicrobial activity of zinc oxide nano/microparticles and their combinations against pathogenic microorganisms for biomedical applications: From physicochemical characteristics to pharmacological aspects. Nanomaterials 2021, 11, 263. [Google Scholar] [CrossRef] [PubMed]
- Vincent, M.; Hartemann, P.; Engels-Deutsch, M. Antimicrobial applications of copper. Int. J. Hyg. Environ. Health 2016, 219, 585–591. [Google Scholar] [CrossRef]
- Moshafi, M.H.; Ranjbar, M.; Ilbeigi, G. Biotemplate of albumen for synthesized iron oxide quantum dots nanoparticles (QDNPs) and investigation of antibacterial effect against pathogenic microbial strains. Int. J. Nanomed. 2019, 14, 3273–3282. [Google Scholar] [CrossRef]
- Shrestha, G.; Raphael, J.; Leavitt, S.D.; St Clair, L.L. In vitro evaluation of the antibacterial activity of extracts from 34 species of North American lichens In vitro evaluation of the antibacterial activity of extracts from 34 species of North American lichens. Pharm. Biol. 2014, 52, 1262–1266. [Google Scholar] [CrossRef] [PubMed]
- Jha, B.N.; Shrestha, M.; Pandey, D.P.; Bhattarai, T.; Bhattarai, H.D.; Paudel, B. Investigation of antioxidant, antimicrobial and toxicity activities of lichens from high altitude regions of Nepal. BMC Complement. Altern. Med. 2017, 17, 282. [Google Scholar] [CrossRef] [PubMed]
- Kumar, S.N.; Mohandas, C. An Antifungal Mechanism of Protolichesterinic Acid from the Lichen Usnea albopunctata Lies in the Accumulation of Intracellular ROS and Mitochondria-Mediated Cell Death Due to Apoptosis in Candida tropicalis. Front. Pharmacol. 2017, 8, 301. [Google Scholar] [CrossRef]
- Ranković, B.; Mišić, M.; Sukdolak, S. Antimicrobial activity of extracts of the lichens Cladonia furcata, Parmelia caperata, Parmelia pertusa, Hypogymnia physodes and Umbilicaria polyphylla. Biologia 2009, 64, 53–58. [Google Scholar] [CrossRef]
- Sinha, S.N.; Biswas, M. Evaluation of antibacterial activity of some lichen from Ravangla, Sikkim, India. Int. J. Pharma Bio Sci. 2011, 2, 23–28. [Google Scholar]
- Ranković, B.; Mišić, M.; Sukdolak, S.; Milosavljević, D. Antimicrobial activity of the lichens Aspicilia cinerea, Collema cristatum, Ochrolechia androgyna, Physcia aipolia and Physcia caesia. Ital. J. Food Sci. 2007, 19, 461–469. [Google Scholar]
- Hanuš, L.O.; Temina, M.; Dembitsky, V.M. Antibacterial and antifungal activities of some phenolic metabolites isolated from the lichenized ascomycete Ramalina lacera. Nat. Prod. Commun. 2007, 16, 677–688. [Google Scholar] [CrossRef]
- Ranković, B.; Kosanić, M.; Sukdolak, S. Antimicrobial activity of some lichens and their components. Recent Adv. Clin. Med. 2010, 279–286. [Google Scholar]
- Rafika, B.; Monia, A.A. Antibacterial Activity of the Chloroform, Acetone, Methanol and queous Extracts of Algerian Lichens. Jordan J. Pharm. Sci. 2018, 11, 55–67. [Google Scholar]
- Prabhu, S.S.; Sudha, S.S. Evaluation of the antibacterial properties of some Lichen species against human pathogens. Int. J. Adv. Res. Biol. Sci. 2015, 2, 177–181. [Google Scholar]
- Randlane, T.; Tõrra, T.; Saag, A.; Saag, L. Key to European Usnea species. Bibl. Lichenol. 2009, 100, 419–462. [Google Scholar]
- European Pharmacopoeia (Ph. Eur.) 10th Edition | EDQM—European Directorate for the Quality of Medicines. Available online: https://www.edqm.eu/en/european-pharmacopoeia-ph-eur-10th-edition (accessed on 17 November 2021).
- Wilschefski, S.C.; Baxter, M.R. Inductively Coupled Plasma Mass Spectrometry: Introduction to Analytical Aspects. Clin. Biochem. Rev. 2019, 40, 115–133. [Google Scholar] [CrossRef] [PubMed]
- United States Environmental Protection Agency. Hazardous Waste Support Section SOP NO. HW-2b Revision 15 ICP-MS Data Validation; United States Environmental Protection Agency (USEPA): Washington, DC, USA, 2012; pp. 1–43.
- Kassim, A.; Omuse, G.; Premji, Z.; Revath, G. Comparison of Clinical Laboratory Standards Institute and European Committee on Antimicrobial Susceptibility Testing guidelines for the interpretation of antibiotic susceptibility at a University teaching hospital in Nairobi, Kenya: A cross-sectional study. Ann. Clin. Microbiol. Antimicrob. 2012, 15, 21. [Google Scholar] [CrossRef] [PubMed]
- Hudzicki, J. Kirby-Bauer Disk Diffusion Susceptibility Test Protocol; American Society for Microbiology: Washington, DC, USA, 2009; pp. 1–23. [Google Scholar]
- El-Mashad, N.; Foad, M.F.; Saudy, N.; Salem, D.A. Susceptibility tests of oropharyngeal Candida albicans from Egyptian patients to fluconazole determined by three methods. Braz. J. Microbiol. 2012, 43, 266–273. [Google Scholar] [CrossRef] [PubMed]

| Element | Content (µg/g) | LOQ (µg/g) |
|---|---|---|
| Ag | ND | 0.100 |
| Al | 87.879 ± 1.152 | 1.000 |
| As | ND | 0.100 |
| Ba | 3.782 ± 0.052 | 0.100 |
| Ca | 979.766 ± 12.285 | 5.000 |
| Cd | ND | 0.100 |
| Co | ND | 0.100 |
| Cr | 1.002 ± 0.008 | 0.100 |
| Cu | 1.523 ± 0.013 | 0.100 |
| Fe | 52.561 ± 2.582 | 5.000 |
| Li | ND | 0.100 |
| Mg | 172.721 ± 0.647 | 5.000 |
| Mn | 101.425 ± 1.423 | 5.000 |
| Ni | 0.449 ± 0.011 | 0.100 |
| Pb | 1.296 ± 0.007 | 0.100 |
| Tl | ND | 0.100 |
| V | 0.241 ± 0.004 | 0.100 |
| Zn | 20.536 ± 0.125 | 5.000 |
| Hg | 0.671 ± 0.020 | 0.100 |
| Mo | ND | 0.100 |
| Pd | ND | 0.100 |
| Pt | ND | 0.100 |
| Sb | ND | 0.100 |
| UBDE | Solvent | Temperature of Extraction (°C) | Yield % | UAC (mg/g UBDE) | TPC (mgPyE/g UBDE) | TC (mg PyE/g UBDE) |
|---|---|---|---|---|---|---|
| UBEA | Ethyl acetate | 75–80 | 6.27 | 376.73 | 42.40 | 24.4 |
| UBA | Acetone | 55–60 | 6.36 | 282.78 | 101.09 | 3.85 |
| UBE | Ethanol | 75–80 | 12.52 | 127.21 | 67.30 | 14.70 |
| UBM | Methanol | 65 | 11.29 | 137.60 | 70.70 | 9.99 |
| UBW | Water | 95–100 | 1.98 | 0.00 | 45.80 | 1.31 |
| Sample | UA | UBEA | UBA | UBE | UBM | UBW | LEV | TET | ||
|---|---|---|---|---|---|---|---|---|---|---|
| Diffusible amount (µg) | 1290 Spot area of growing inhibition (mm) | 1720 | 1620 | 1610 | 1610 | 1600 | 5 | 30 | ||
| Bacteria | IZs (mm) | |||||||||
| Staphylococcus aureus | 16.00 ± 0.82 | 14.33 ± 0.94 | 12.66 ± 1.24 | 11.66 ± 0.94 | 13.00 ± 0.82 | 0 | 28.33 ± 2.49 | 25.66 ± 2.49 | ||
| a *, k * | a *, f, m * | a *, f, n * | a *, f, o * | a *, f, r * | S | R | S | R | ||
| ≥19 | ≤15 | ≥19 | ≤14 | |||||||
| I = 18–16 | I = 18–15 | |||||||||
| Enterococcus casseliflavus | 19.67 ± 1.70 | 20.33 ± 1.89 | 20.00 ± 2.94 | 20.00 ± 3.26 | 22.00 ± 0.82 | 0 | 25.00 ± 0.82 | 26.00 ± 1.63 | ||
| b, k * | b, g, m * | b, g, n * | b, g, o * | b, g, r * | S | R | S | R | ||
| ≥17 | ≤13 | ≥19 | ≤14 | |||||||
| I = 16–14 | I = 18–15 | |||||||||
| Streptococcus pyogenes | 12.00 ± 0.82 | 12.67 ± 1.25 | 10.00 ± 0.82 | 12.00 ± 1.63 | 20.00 ± 1.63 | 0 | 21.00 ± 1.63 | 27.00 ± 1.63 | ||
| c *, k * | c *, h *, m * | c *, h *, n * | c *, h *, o * | c *, h *, r * | S | R | S | R | ||
| ≥17 | ≤13 | ≥23 | ≤18 | |||||||
| I = 16–14 | I = 22–19 | |||||||||
| Streptococcus pneumoniae | 17.00 ± 1.63 | 17.00 ± 0.82 | 18.00 ± 0.82 | 18.00 ± 1.63 | 13.33 ± 0.94 | 0 | 22.00 ± 1.63 | 30,67 ± 2.05 | ||
| d *, k * | d *, i *, m * | d *, i *, n * | d *, i *, o * | d *, i *, r * | S | R | S | R | ||
| ≥17 | ≤13 | ≥24 | ≤20 | |||||||
| I = 16–14 | I = 23–21 | |||||||||
| Escherichia coli | 7.00 ± 0.82 | 0 | 0 | 0 | 0 | 0 | 31.00 ± 1.63 | 21.00 ± 0.82 | ||
| k * | m * | n * | o * | r * | S | R | S | R | ||
| ≥17 | ≤13 | ≥15 | ≤11 | |||||||
| I = 16–14 | I = 14–12 | |||||||||
| Klebsiella pneumoniae | 0 | 0 | 0 | 0 | 0 | 0 | 27.00 ± 1.63 | 20.00 ± 1.63 | ||
| k * | m * | n * | o * | r * | ||||||
| S | R | S | R | |||||||
| ≥17 | ≤13 | ≥15 | ≤11 | |||||||
| I = 16–14 | I = 14–12 | |||||||||
| Pseudomonas aeruginosa | 16.00 ± 0.82 | 17.33 ± 2.05 | 17.00 ± 0.82 | 20.00 ± 1.63 | 19.67 ± 1.25 | 0 | 21.00 ± 0.82 | 24.00 ± 1.63 | ||
| e *, k * | e *, j, m * | e *, j, n * | e *, j, o * | e *, j, r * | S | R | S | R | ||
| ≥17 | ≤13 | ≥19 | ≤14 | |||||||
| I = 16–14 | I = 18–15 | |||||||||
| Sample | UA | UBEA | UBA | UBE | UBM | UBW | FLUCZ | VORI | ||
|---|---|---|---|---|---|---|---|---|---|---|
| Diffusible amount (µg) | 1290 | 1720 | 1620 | 1610 | 1610 | 1600 | 25 | 1 | ||
| Fungi | IZs (mm) | |||||||||
| Candida albicans | 10.00 ± 0.82 | 0 | 13.00 ± 1.63 | 15.33 ± 1.24 | 16.33 ± 2.05 | 0 | 32.33 ± 1.70 | 34.33 ± 1.25 | ||
| a *, e * | a *, c *, f * | a *, c *, g * | a *, c *, h * | a *, c *, i * | S | R | S | R | ||
| ≥19 | ≤14 | ≥17 | ≤13 | |||||||
| I = 18–15 | I = 16–14 | |||||||||
| Candida parapsilosis | 20.00 ± 1.63 | 7.00 ± 0.82 | 0 | 0 | 0 | 0 | 25.67 ± 2.49 | 30.67 ± 3.30 | ||
| b *, e * | b *, d *, f * | b *, d *, g * | b *, d *, h * | b *, d *, i * | S | R | S | R | ||
| ≥19 | ≤14 | ≥17 | ≤13 | |||||||
| I = 18–15 | I = 16–14 | |||||||||
| Bacteria | UAC | TPC | TC |
|---|---|---|---|
| Staphylococcus aureus | y = 0.0314x + 4.53 | - | - |
| R2 = 0.6187 | - | - | |
| Streptococcus pneumoniae | y = 0.039x + 6.0622 | - | - |
| R2 = 0.5571 | - | - | |
| Candida albicans | - | y = 0.2601x − 8.0934 | - |
| - | R2 = 0.5523 | - | |
| Candida parapsilosis | y = 0.0156x − 1.4826 | - | y = 0.2796x − 1.6342 |
| R2 = 0.5342 | - | R2 = 0.6766 |
| Step | Temperature (°C) | Power of Microwave Digestion System (W) | Time (min) | Fan Level |
|---|---|---|---|---|
| Power ramp | - | 1450 | 15 | 1 |
| Power hold | 180 | 1450 | 45 | 1 |
| Cooling | 70 | 0 | - | 3 |
| Element | E1 (µg/L) | E2 (µg/L) | E3 (µg/L) | E4 (µg/L) | E5 (µg/L) |
|---|---|---|---|---|---|
| As, Pb, Cd, Hg | 1 | 5 | 10 | 15 | 25 |
| Ca, Fe, Mg, Mn, Zn | 50 | 100 | 200 | 300 | 500 |
| Al | 10 | 50 | 100 | 150 | 200 |
| Ag, Ba, Co, Cr, Cu, Li, Ni, Tl, V, Mo, Pd, P, Sb | 1 | 5 | 10 | 50 | 100 |
| Element (Spike) | Spike Solution | Spiked Solution Theoretical Concentration (µg/L) | |
|---|---|---|---|
| Concentration (mg/L) | Volume (mL) | ||
| As, Pb, Cd, Hg | 1 | 0.025 | 1 |
| Ca, Fe, Mg, Mn, Zn | 10 | 0.125 | 50 |
| Al | 10 | 0.025 | 10 |
| Ag, Ba, Co, Cr, Cu, Li, Ni, Tl, V, Mo, Pd, Pt, Sb | 1 | 0.025 | 1 |
Publisher’s Note: MDPI stays neutral with regard to jurisdictional claims in published maps and institutional affiliations. |
© 2021 by the authors. Licensee MDPI, Basel, Switzerland. This article is an open access article distributed under the terms and conditions of the Creative Commons Attribution (CC BY) license (https://creativecommons.org/licenses/by/4.0/).
Share and Cite
Popovici, V.; Bucur, L.; Calcan, S.I.; Cucolea, E.I.; Costache, T.; Rambu, D.; Schröder, V.; Gîrd, C.E.; Gherghel, D.; Vochita, G.; et al. Elemental Analysis and In Vitro Evaluation of Antibacterial and Antifungal Activities of Usnea barbata (L.) Weber ex F.H. Wigg from Călimani Mountains, Romania. Plants 2022, 11, 32. https://doi.org/10.3390/plants11010032
Popovici V, Bucur L, Calcan SI, Cucolea EI, Costache T, Rambu D, Schröder V, Gîrd CE, Gherghel D, Vochita G, et al. Elemental Analysis and In Vitro Evaluation of Antibacterial and Antifungal Activities of Usnea barbata (L.) Weber ex F.H. Wigg from Călimani Mountains, Romania. Plants. 2022; 11(1):32. https://doi.org/10.3390/plants11010032
Chicago/Turabian StylePopovici, Violeta, Laura Bucur, Suzana Ioana Calcan, Elena Iulia Cucolea, Teodor Costache, Dan Rambu, Verginica Schröder, Cerasela Elena Gîrd, Daniela Gherghel, Gabriela Vochita, and et al. 2022. "Elemental Analysis and In Vitro Evaluation of Antibacterial and Antifungal Activities of Usnea barbata (L.) Weber ex F.H. Wigg from Călimani Mountains, Romania" Plants 11, no. 1: 32. https://doi.org/10.3390/plants11010032
APA StylePopovici, V., Bucur, L., Calcan, S. I., Cucolea, E. I., Costache, T., Rambu, D., Schröder, V., Gîrd, C. E., Gherghel, D., Vochita, G., Caraiane, A., & Badea, V. (2022). Elemental Analysis and In Vitro Evaluation of Antibacterial and Antifungal Activities of Usnea barbata (L.) Weber ex F.H. Wigg from Călimani Mountains, Romania. Plants, 11(1), 32. https://doi.org/10.3390/plants11010032

