Preventive Effect of Anemarrhenae rhizome and Phellodendri cortex on Danazol-Induced in Precocious Puberty in Female Rats and Network Pharmacological Analysis of Active Compounds
Abstract
:1. Introduction
2. Results
2.1. Cytotoxicity Test of APE on GT1-7 Cells
2.2. Effect of APE on Vaginal Opening
2.3. Body Weight, Body Length, and ALP Level
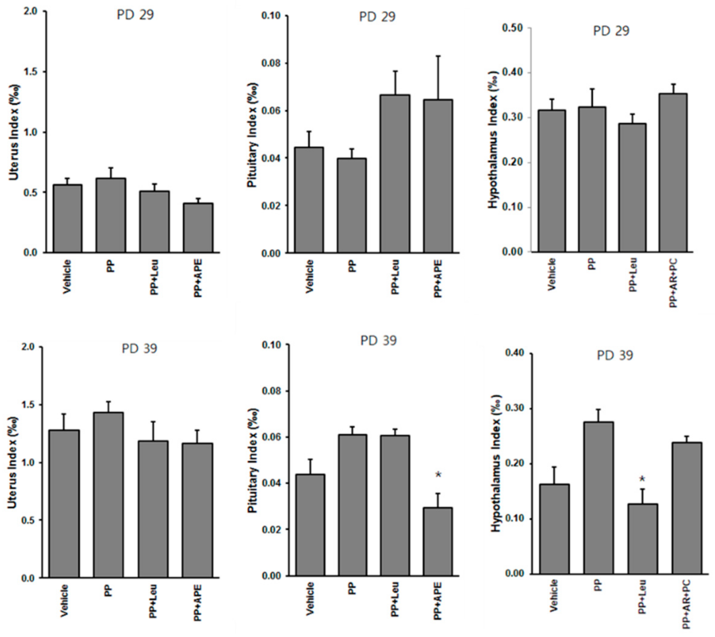
2.4. Organ Index of Uterus, Pituitary, and Hypothalamus
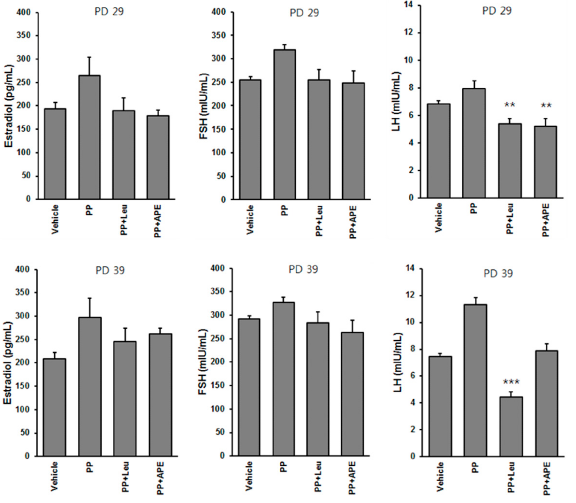
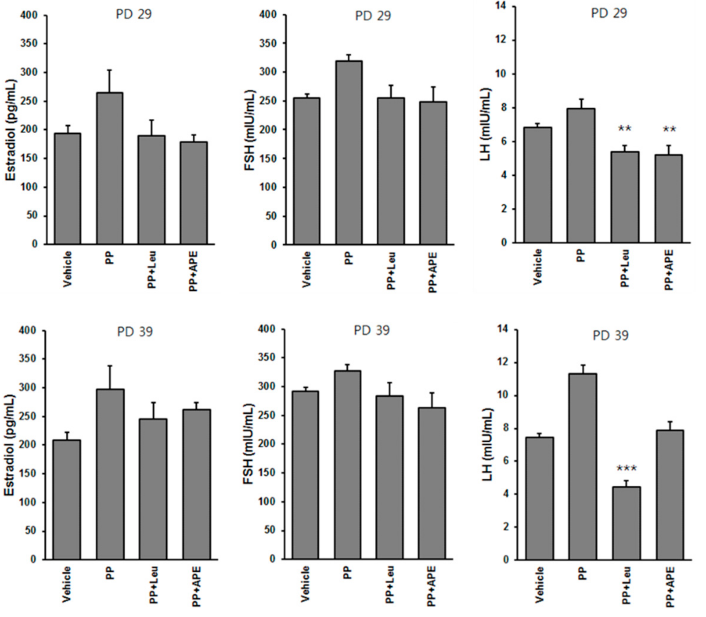
2.5. Effect of APE on Serum Hormone Levels in Rats
2.6. Effect of EIF on Hypothalamic GnRH, Netrin-1, and UNC5C mRNA Expressions
2.7. Identifying Bioactive Compounds and Targets of APE
2.8. Pathway Enrichment Analysis of APE
2.9. Herb–Compound-Target Network of APE
3. Discussion
4. Materials and Methods
4.1. Plant Materials
4.2. Cytotoxicity Test
4.3. Animal Experimental Design
4.4. Blood Sample, Organ, and Brain Tissue Collection
4.5. Quantification of Serum Hormone Levels
4.6. Real-Time Polymerase Chain Reaction
4.7. Construction of Herb–Compound–Target Network
4.8. Pathway Enrichment Analysis
4.9. Network Visualization
4.10. Statistical Analysis
Author Contributions
Funding
Institutional Review Board Statement
Informed Consent Statement
Data Availability Statement
Conflicts of Interest
References
- Franco Antoniazzi, G.Z. Central precocious puberty: Current treatment options. Paediatr. Drugs 2004, 6, 211–231. [Google Scholar] [CrossRef] [PubMed]
- Neely, E.K.; Crossen, S.S. Precocious puberty. Curr. Opin. Obstet. Gynecol. 2014, 26, 332–338. [Google Scholar] [CrossRef]
- Long, D. Precocious Puberty. Pediatr. Rev 2015, 36, 319–321. [Google Scholar] [CrossRef]
- Carel, J.C.; Lahlou, N.; Roger, M.; Chaussain, J.L. Precocious puberty and statural growth. Hum. Reprod. Update 2004, 10, 135–147. [Google Scholar] [CrossRef] [PubMed] [Green Version]
- Kim, Y.J.; Kwon, A.; Jung, M.K.; Kim, K.E.; Suh, J.; Chae, H.W.; Kim, D.H.; Ha, S.; Seo, G.H.; Kim, H.S. Incidence and Prevalence of Central Precocious Puberty in Korea: An Epidemiologic Study Based on a National Database. J. Pediatr. 2019, 208, 221–228. [Google Scholar] [CrossRef]
- Latronico, A.C.; Brito, V.N.; Carel, J.-C. Causes, diagnosis, and treatment of central precocious puberty. Lancet Diabetes Endocrinol. 2016, 4, 265–274. [Google Scholar] [CrossRef]
- Luo, X.; Liang, Y.; Hou, L.; Wu, W.; Ying, Y.; Ye, F. Long-term efficacy and safety of gonadotropin-releasing hormone analog treatment in children with idiopathic central precocious puberty: A systematic review and meta-analysis. Clin. Endocrinol. 2021, 94, 786–796. [Google Scholar] [CrossRef]
- Fuqua, J.S. Treatment and outcomes of precocious puberty: An update. J. Clin. Endocrinol. Metab. 2013, 98, 2198–2207. [Google Scholar] [CrossRef] [Green Version]
- Menon, P.S.; Vijayakumar, M. Precocious puberty--perspectives on diagnosis and management. Indian J. Pediatr. 2014, 81, 76–83. [Google Scholar] [CrossRef]
- Guaraldi, F.; Beccuti, G.; Gori, D.; Ghizzoni, L. MANAGEMENT OF ENDOCRINE DISEASE: Long-term outcomes of the treatment of central precocious puberty. Eur. J. Endocrinol. 2016, 174, R79–R87. [Google Scholar] [CrossRef]
- Jin, H.; Seo, G.Y.; Jang, M.J.; Chae, Y.Y. Yagdalon; Iljung Publishing, Co.: Seoul, Korea, 1996. [Google Scholar]
- Y.G., Y. New Dongui Medical Prescription; Chungdam Publishing, Co.: Seoul, Korea, 2006; Volume 1. [Google Scholar]
- Sung, S.Y.; Kook, Y.B. Applications of Prescriptions Including Anemarrhenae Rhizoma and Phellodendri Cortex in Dongeuibogam. Herb. Formula Sci. 2011, 19, 1–22. [Google Scholar]
- National Oriental Medical University Textbook Compilation Committee. Herbalism; Yeonglim Publishing Co.: Seoul, Korea, 2016. [Google Scholar]
- Department of Pediatrics; University of Oriental Medicine. Textbook of Pediatrics of Oriental Medicine; Uiseongdang Publishing Co.: Seoul, Korea, 2020. [Google Scholar]
- Lee, M.J.; Chang, G.T.; Han, Y.J. The study for precocious puberty in recent journals of traditional Chinese medicine. J. Pediatr. Korean Med. 2008, 22, 163–187. [Google Scholar]
- Lee, H.L.; Lee, Y.B.; Choi, J.Y.; Lee, J.A. Herbal medicine for idiopathic central precocious puberty: A protocol for a systematic review of controlled trials. Medicine 2018, 97, 267. [Google Scholar] [CrossRef] [PubMed]
- Mellon, P.L.; Windle, J.J.; Goldsmith, P.C.; Padula, C.A.; J L Roberts, R.I.W. Immortalization of hypothalamic GnRH neurons by genetically targeted tumorigenesis. Neuron 1990, 5, 1–10. [Google Scholar] [CrossRef]
- Jwa, H.J.; Yang, S.I.; Lim, H.H. The difference in serum alkaline phosphatase levels between girls with precocious puberty and those with normal puberty. Ann. Pediatr. Endocrinol. Metab. 2013, 18, 191–195. [Google Scholar] [CrossRef] [PubMed] [Green Version]
- Shang, Y.-C.; Zhang, J.; Shang, Y.-Q. Expression and significance of netrin–1 and its receptor UNC5C in precocious puberty female rat hypothalamus. Asian Pac. J. Trop. Med. 2015, 8, 234–238. [Google Scholar] [CrossRef] [Green Version]
- Ru, J.; Li, P.; Wang, J.; Zhou, W.; Li, B.; Huang, C.; Li, P.; Guo, Z.; Tao, W.; Yang, Y.; et al. TCMSP: A database of systems pharmacology for drug discovery from herbal medicines. J. Cheminform. 2014, 6, 13. [Google Scholar] [CrossRef] [Green Version]
- Subramanian, A.; Tamayo, P.; Mootha, V.K.; Mukherjee, S.; Ebert, B.L.; Gillette, M.A.; Paulovich, A.; Pomeroy, S.L.; Golub, T.R.; Lander, E.S.; et al. Gene set enrichment analysis: A knowledge-based approach for interpreting genome-wide expression profiles. Proc. Natl. Acad. Sci. USA 2005, 102, 15545–15550. [Google Scholar] [CrossRef] [Green Version]
- Minoru Kanehisa, S.G. KEGG: Kyoto Encyclopedia of Genes and Genomes. Nucleic Acids Res. 2000, 28, 27–30. [Google Scholar] [CrossRef]
- Shannon, P.; Markiel, A.; Ozier, O.; Baliga, N.S.; Wang, J.T.; Ramage, D.; Amin, N.; Schwikowski, B.; Ideker, T. Cytoscape: A Software Environment for Integrated Models of Biomolecular Interaction Networks. Genome Res. 2003, 13, 2498–2504. [Google Scholar] [CrossRef]
- Lin, Y.C.; Chang, T.T.; Chen, H.J.; Wang, C.H.; Sun, M.F.; Yen, H.R. Characteristics of traditional Chinese medicine usage in children with precocious puberty: A nationwide population-based study. J. Ethnopharmacol. 2017, 205, 231–239. [Google Scholar] [CrossRef]
- Bai, G.L.; Hu, K.L.; Huan, Y.; Wang, X.; Lei, L.; Zhang, M.; Guo, C.Y.; Chang, H.S.; Zhao, L.B.; Liu, J.; et al. The Traditional Chinese Medicine Fuyou Formula Alleviates Precocious Puberty by Inhibiting GPR54/GnRH in the Hypothalamus. Front. Pharmacol. 2020, 11, 596525. [Google Scholar] [CrossRef] [PubMed]
- Yin, W.; Li, S.; Zhang, K.; Xu, Y.; Ma, D.; Shi, T.; Xiong, L.; Xia, J. The Therapeutic Effect of Shugan Xiehuo Formula in the Female Rat Model with Central Precocious Puberty. Evid.-Based Complement. Altern. Med. 2020, 2020, 5916168. [Google Scholar] [CrossRef]
- Yi, S.A.; Lee, J.; Park, S.K.; Kim, J.Y.; Park, J.W.; Lee, M.G.; Nam, K.H.; Park, J.H.; Oh, H.; Kim, S.; et al. Fermented ginseng extract, BST204, disturbs adipogenesis of mesenchymal stem cells through inhibition of S6 kinase 1 signaling. J. Ginseng Res. 2020, 44, 58–66. [Google Scholar] [CrossRef]
- Ryu, Y.S.; Hyun, J.W.; Chung, H.S. Fucoidan induces apoptosis in A2058 cells through ROS-exposed activation of MAPKs signaling pathway. Nat. Prod. Sci. 2020, 26, 191–199. [Google Scholar]
- Lee, S.R.; Kang, H.; Yoo, M.J.; Yu, J.S.; Lee, S.; Yi, S.A.; Beemelmanns, C.; Lee, J.; Kim, K.H. Anti-adipogenic pregnane steroid from a Hydractinia-associated fungus, Cladosporium sphaerospermum SW67. Nat. Prod. Sci. 2020, 26, 230–235. [Google Scholar]
- Kim, H.; Choi, P.; Kim, T.; Kim, Y.; Song, B.G.; Park, Y.-T.; Choi, S.-J.; Yoon, C.H.; Lim, W.-C.; Ko, H. Ginsenosides Rk1 and Rg5 inhibit transforming growth factor-β1-induced epithelial-mesenchymal transition and suppress migration, invasion, anoikis resistance, and development of stem-like features in lung cancer. J. Ginseng Res. 2021, 45, 134–148. [Google Scholar] [CrossRef] [PubMed]








| Name of Compound | Pubchem ID | Structure | OB (%) | DL (%) |
|---|---|---|---|---|
| Niloticin | 44559946 | ![]() | 41.41427 | 0.81833 |
| Stigmasterol | 5280794 | ![]() | 43.82985 | 0.75665 |
| β-sitosterol | 222284 | ![]() | 36.91391 | 0.75123 |
| Corbisterol | 12303924 | ![]() | 37.42312 | 0.75103 |
| Palmatine | 19009 | ![]() | 64.60111 | 0.64524 |
| Isocorypalmine | 440229 | ![]() | 35.76844 | 0.59227 |
| Asperglaucide | 10026486 | ![]() | 58.0163 | 0.51972 |
| Beta-Anhydroicaritin | 14583584 | ![]() | 45.41193 | 0.43786 |
| Dehydrotanshinone IIA | 128994 | ![]() | 43.76229 | 0.40019 |
| Phellopterin | 98608 | ![]() | 40.18556 | 0.27878 |
| n-cis-feruloyltyramine | 6440659 | ![]() | 118.3477 | 0.26399 |
| Kaempferol | 5280863 | ![]() | 41.88225 | 0.24066 |
| Coumaroyltyramine | 13939145 | ![]() | 112.9016 | 0.20234 |
| Skimmianine | 6760 | ![]() | 40.13655 | 0.19638 |
| Magnograndiolide | 5319198 | ![]() | 63.70888 | 0.18833 |
| Pathway | Overlap | p-Value | Adjusted p-Value | Targets (Gene Symbol) |
|---|---|---|---|---|
| GnRH signaling | 5/93 | 0.00012 | 0.00059 | MAPK8; JUN; PRKACA; MAPK14; CALM1 |
| Ovarian steroidogenesis | 5/49 | 5.49 × 10−0.6 | 4.45 × 10−5 | ALOX5; INSR; AKR1C3; PRKACA; PTGS2 |
| Gene | Primer (5′-3′) |
|---|---|
| GnRH | F: GGCAAGGAGGAGGATCAAA R: CCAGTGCATTACATCTTCTTCTG |
| Netrin-1 | F: AGAGTTTGTGGATCCGTTCG R: TTCTTGCACTTGCCCTTCTT |
| UNC5C | F: CACGACTCTCAGATACAGC R: TTCTTGGATTGGAGGACCAG |
| β-actin | F: CACCCGCGAGTACAACCTCC R: CCCATACCCACCATCACACC |
Publisher’s Note: MDPI stays neutral with regard to jurisdictional claims in published maps and institutional affiliations. |
© 2021 by the authors. Licensee MDPI, Basel, Switzerland. This article is an open access article distributed under the terms and conditions of the Creative Commons Attribution (CC BY) license (https://creativecommons.org/licenses/by/4.0/).
Share and Cite
Kim, K.R.; Trinh, T.A.; Baek, J.Y.; Lee, D.; Lim, S.; Kim, J.; Lee, W.-Y.; Kim, C.-E.; Kang, K.S.; Lee, H.L. Preventive Effect of Anemarrhenae rhizome and Phellodendri cortex on Danazol-Induced in Precocious Puberty in Female Rats and Network Pharmacological Analysis of Active Compounds. Plants 2022, 11, 23. https://doi.org/10.3390/plants11010023
Kim KR, Trinh TA, Baek JY, Lee D, Lim S, Kim J, Lee W-Y, Kim C-E, Kang KS, Lee HL. Preventive Effect of Anemarrhenae rhizome and Phellodendri cortex on Danazol-Induced in Precocious Puberty in Female Rats and Network Pharmacological Analysis of Active Compounds. Plants. 2022; 11(1):23. https://doi.org/10.3390/plants11010023
Chicago/Turabian StyleKim, Kyeong Ri, Tuy An Trinh, Ji Yun Baek, Dahae Lee, Sehun Lim, Jonghyup Kim, Won-Yung Lee, Chang-Eop Kim, Ki Sung Kang, and Hye Lim Lee. 2022. "Preventive Effect of Anemarrhenae rhizome and Phellodendri cortex on Danazol-Induced in Precocious Puberty in Female Rats and Network Pharmacological Analysis of Active Compounds" Plants 11, no. 1: 23. https://doi.org/10.3390/plants11010023
APA StyleKim, K. R., Trinh, T. A., Baek, J. Y., Lee, D., Lim, S., Kim, J., Lee, W.-Y., Kim, C.-E., Kang, K. S., & Lee, H. L. (2022). Preventive Effect of Anemarrhenae rhizome and Phellodendri cortex on Danazol-Induced in Precocious Puberty in Female Rats and Network Pharmacological Analysis of Active Compounds. Plants, 11(1), 23. https://doi.org/10.3390/plants11010023
















