Phenotypic Characterization and RT-qPCR Analysis of Flower Development in F1 Transgenics of Chrysanthemum × grandiflorum
Abstract
1. Introduction
2. Results
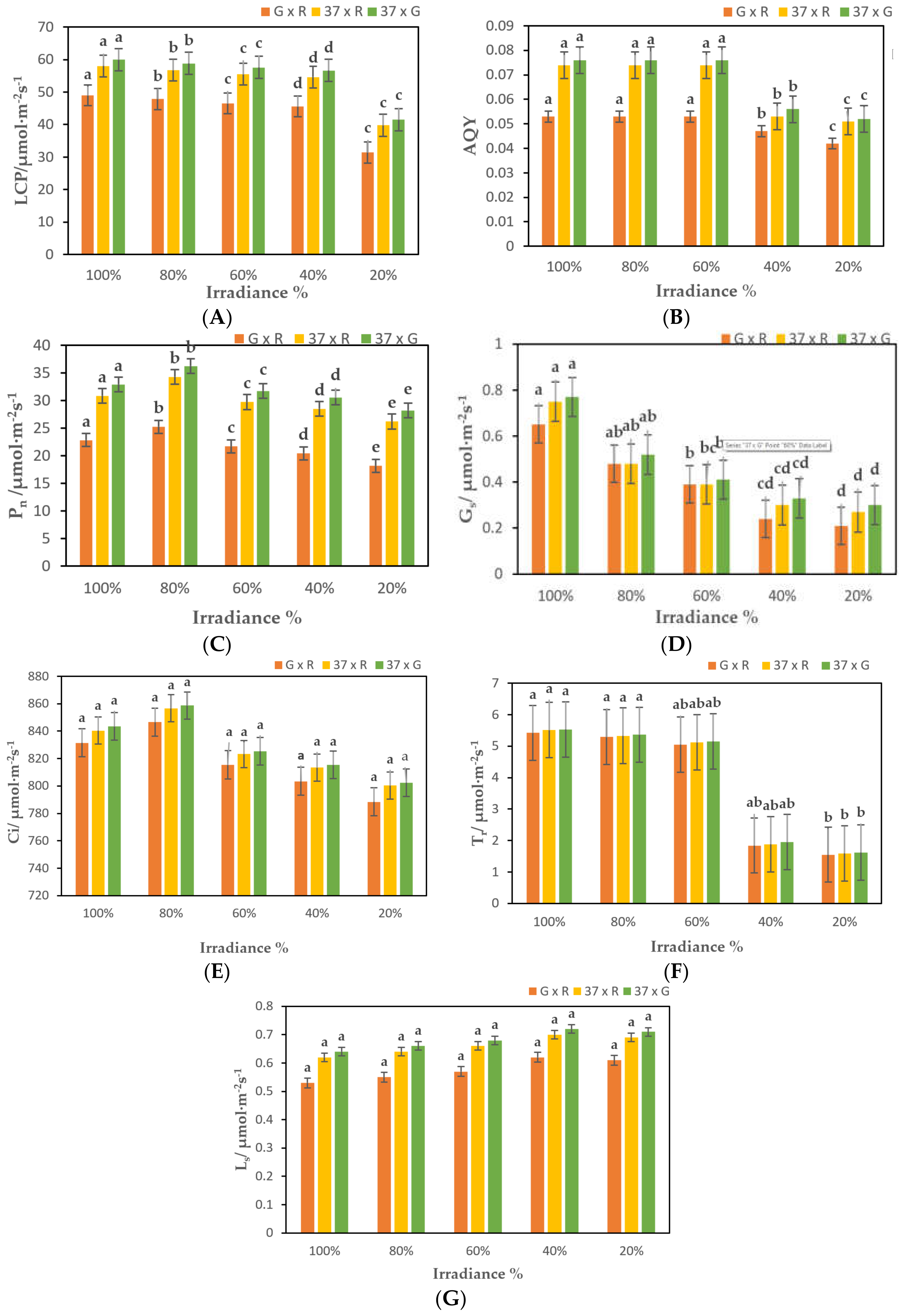
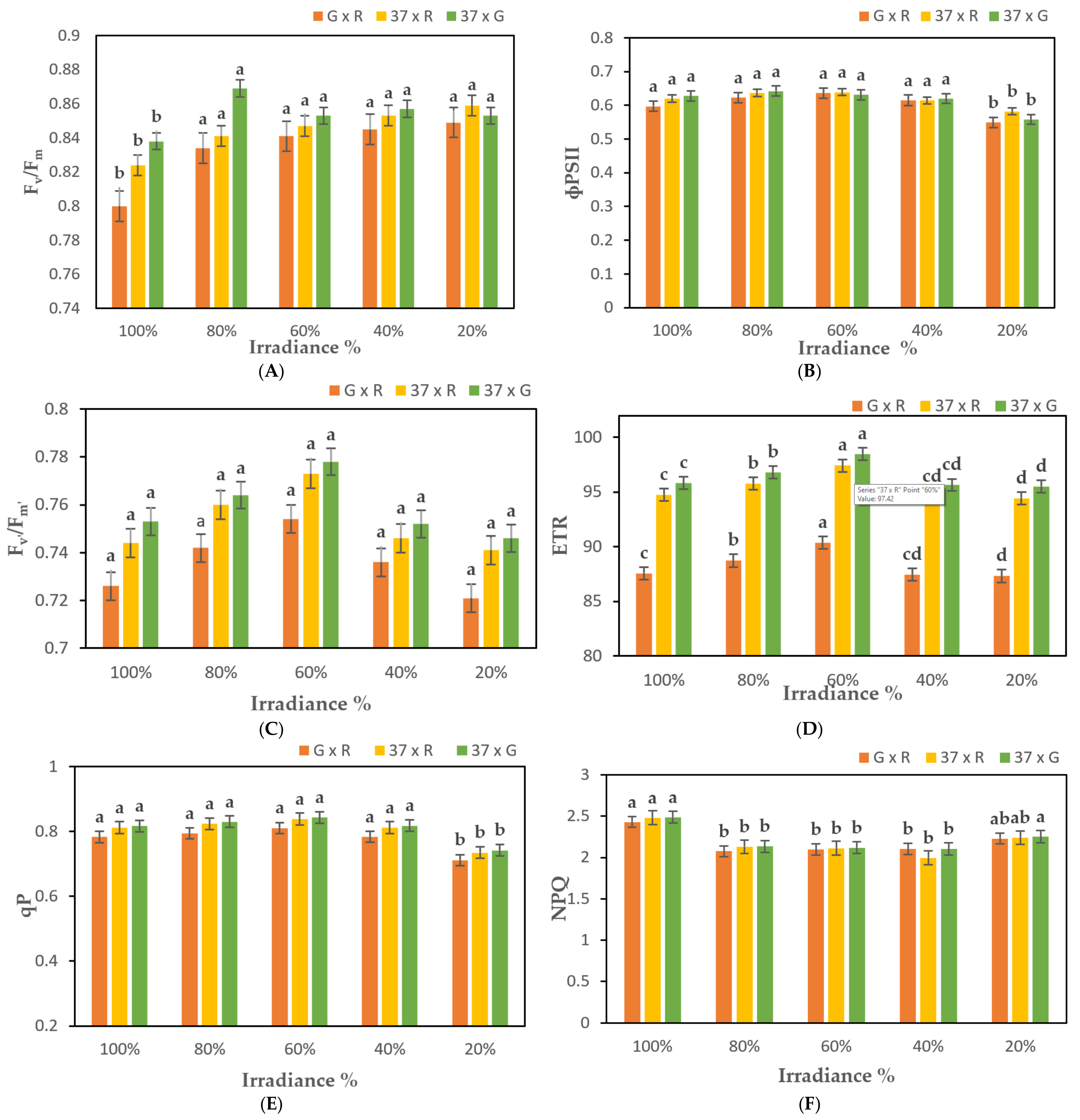
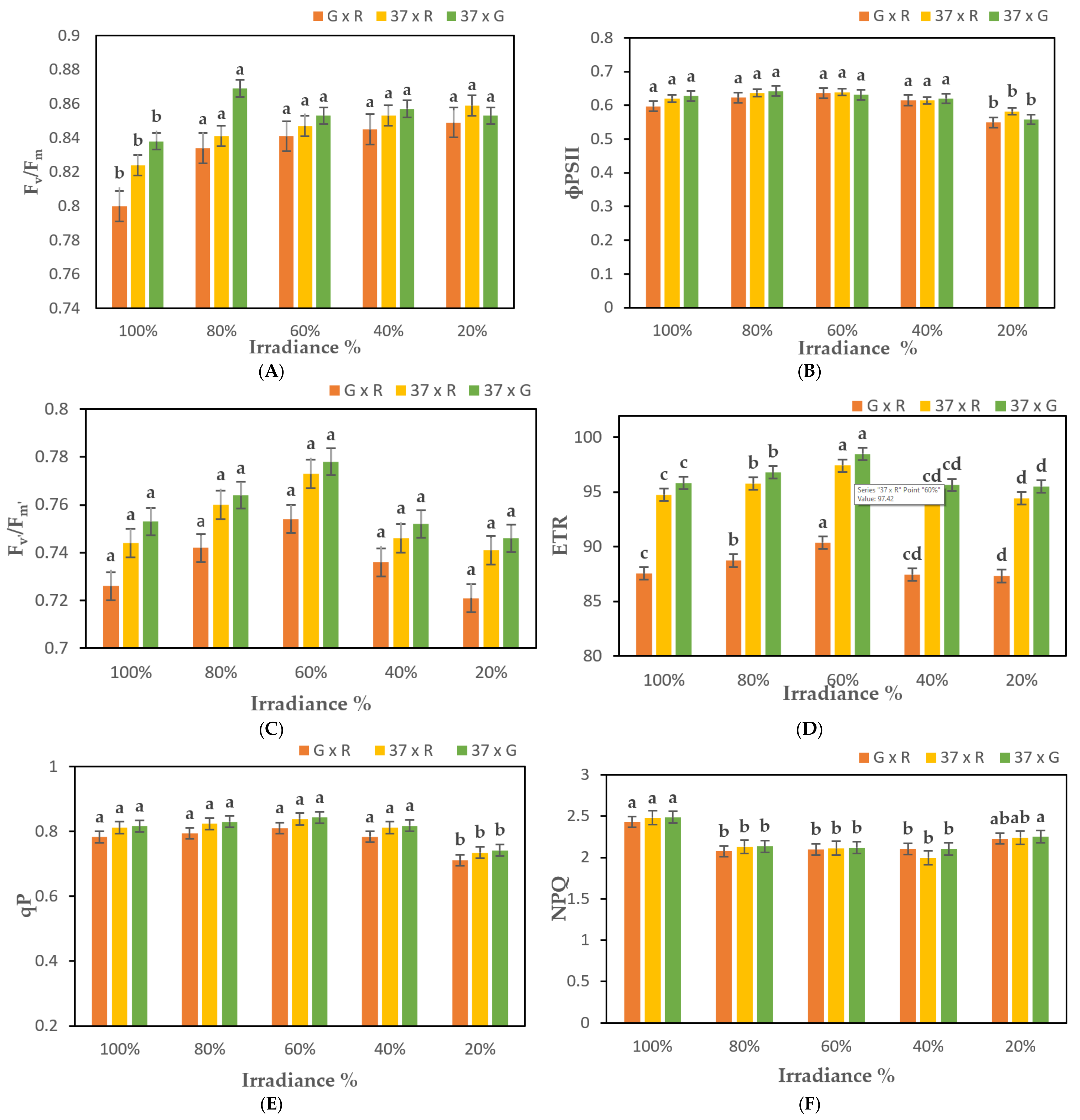
2.1. Evaluation of Phenotypic Parameters of Chrysanthemum F1 Hybrids
2.2. Identification of the Transgene CmSVP in F1 Hybrids
3. Discussion
4. Materials and Methods
4.1. Plant Materials
4.2. Hybridization and Seed Setting
- CmSVP overexpressed plants (G-♀) × RNAi-mediated CmTFL1 plants (R♂);
- Non-mutant Chrysanthemum Selection (37♀) × RNAi-mediated CmTFL1 parent (R♂);
- Non-mutant Chrysanthemum Selection (37♀) × CmSVP overexpressed parent (G♂).
4.3. Field Planting of Hybrid Plants
4.4. Phenotypic Characterization of Hybrid Plants
4.4.1. Measurement of Plant Growth and Development Parameters
4.4.2. Measurement of Gas Exchange Parameters
4.4.3. Measurement of Chlorophyll Fluorescence
4.4.4. Polymerase Chain Reaction (PCR) Analysis
4.4.5. Classification of Hybrid Plants
5. Conclusions
Supplementary Materials
Author Contributions
Funding
Acknowledgments
Conflicts of Interest
References
- Hall, C.R.; Dickson, M.W. Economic, environmental, and health/well-being benefits associated with green industry products and services: A review. J. Environ. Hortic. 2011, 29, 96–103. [Google Scholar] [CrossRef]
- Teixeira da Silva, J. Tissue culture and cryopreservation of chrysanthemum: A review. Biotechnol. Adv. 2003, 21, 715–766. [Google Scholar] [CrossRef]
- Dai, S.L. Chinese chrysanthemums and world horticulture. J. Hebei Norm. Univ. Sci. Technol. 2004, 2, 1–5. [Google Scholar]
- Dai, S.L.; Song, X.B.; Deng, C.Y.; Gao, K.; Li, M.L.; Ma, C.F.; Zhang, M.M. Comprehensive approach and molecular tools for breeding and production of ornamental crops. Acta Hortic. 2019, 1263, 1–16. [Google Scholar] [CrossRef]
- Zhang, F.; Chen, S.; Chen, F.; Fang, W.; Li, F. A preliminary genetic linkage map of chrysanthemum (Chrysanthemum morifolium) cultivars using RAPD, ISSR and AFLP markers. Sci. Hortic. 2010, 125, 422–428. [Google Scholar] [CrossRef]
- Fang, W.; Guo, W.; Chen, J. Effects of grafting on the improvement of heat tolerance and antioxidant abilities in leaves of chrysanthemum. Acta Hortic. Sin. 2009, 36, 1327–1332. [Google Scholar]
- Cockshull, K.; Kofranek, A. High night temperatures delay flowering, produce abnormal flowers and retard stem growth of cut-flower chrysanthemums. Sci. Hort. 1994, 56, 217–234. [Google Scholar] [CrossRef]
- Chen, J. Classification System for Chinese Flower Cultivars; China Forestry Press: Beijing, China, 2001. [Google Scholar]
- Anderson, N.O. Chrysanthemum. In Flower Breeding and Genetics; Springer: Berlin/Heidelberg, Germany, 2007; pp. 389–437. [Google Scholar]
- Junyu, C.; Siqing, W.; Xiangchun, W.; Pengwei, W. Thirty years’ studies on breeding ground-cover chrysanthemum new cultivars. In Proceedings of the International Symposium on Cultivar Improvement of Horticultural Crops—Part 3: Flowers, Beijing, China, 1 July 1995; Volume 1, pp. 30–36. [Google Scholar]
- Sun, C.; Chen, F.; Fang, W.; Liu, Z.; Teng, N. Advances in research on distant hybridization of chrysanthemum. Sci. Agric. Sin. 2010, 43, 2508–2517. [Google Scholar]
- Anderson, N.O.; Ascher, P.D. Fertility changes in inbred families of self-incompatible chrysanthemums (Dendranthema grandiflora). J. Am. Soc. Hortic. Sci. 2000, 125, 619–625. [Google Scholar] [CrossRef]
- Park, S.K.; Arens, P.; Esselink, D.; Lim, J.H.; Shin, H.K. Analysis of inheritance mode in chrysanthemum using EST-derived SSR markers. Sci. Hortic. 2015, 192, 80–88. [Google Scholar] [CrossRef]
- Wang, F.; Zhong, X.; Wang, H.; Song, A.; Chen, F.; Fang, W.; Jiang, J.; Teng, N. Investigation of differences in fertility among progenies from self-pollinated Chrysanthemum. Int. J. Mol. Sci. 2018, 19, 832. [Google Scholar] [CrossRef] [PubMed]
- Fadi, Z.J.C.S.C. Conversion of RAPD Marker Linked to Creep Plant Type in Ground-Cover Chrysanthemum to SCAR Marker. J. Sci. Sil. Sin. 2009, 9, 147–150. [Google Scholar]
- Fukai, S.; Goi, M.; Tanaka, M. Cryopreservation of shoot tips of Chrysanthemum morifolium and related species native to Japan. Euphytica 1991, 54, 201–204. [Google Scholar] [CrossRef]
- Nguyen, T.K.; Lim, J. HTools for Chrysanthemum genetic research and breeding: Is genotyping-by-sequencing (GBS) the best approach? Hortic. Environ. Biotechnol. 2019, 60, 625–635. [Google Scholar] [CrossRef]
- Indu, R.; Kaushik, R.A.; Deepak, R.; Maloo, S.R.; Manish, C. Molecular characterization of chrysanthemum by using RAPD and ISSR markers. J. Pharmacogn. Phytochem. 2020, 9, 1423–1429. [Google Scholar]
- Dowrick, G. The chromosomes of Chrysanthemum. Heredity 1953, 7, 59–72. [Google Scholar] [CrossRef]
- Shibata, M.; Kawata, J. The introduction of heat tolerance for flowering from Japanese summer-flowering chrysanthemums into year-round chrysanthemums. Work. Party Greenh. Chrysanth. 1986, 197, 77–84. [Google Scholar] [CrossRef]
- van Wordragen, M.F.; de Jong, J.; Huitema, H.B.; Dons, H.J. Genetic transformation of chrysanthemum using wild type Agrobacterium strains; strain and cultivar specificity. Plant. Cell Rep. 1991, 9, 505–508. [Google Scholar] [CrossRef] [PubMed]
- Boase, M.R.; Miller, R.; Deroles, S.C. Chrysanthemum systematics, genetics, and breeding. Plant. Breed. Rev. 1997, 14, 321–361. [Google Scholar]
- Ohashi, H.; Yonekura, K. New Combinations in Chrysanthemum (Compositae anthemideae) of Asia with a List of Japanese Species. J. Jpn. Bot. 2004, 79, 186–195. [Google Scholar]
- Dong, Y.; Zhao, X.; Wang, J.; Yuan, G.; Zhang, X. Improvement for agronomic traits of partial waxy wheat by combination of backcrossing with a PCR-based DNA marker. J. Genet. Genom. 2007, 34, 836–841. [Google Scholar] [CrossRef]
- Yang, S.; Zeng, Y.; Du, J.; Pu, X.; Yang, T.; Tai, L.; Yi, J. Analysis on cold tolerance at seedling stage of the backcross hybrids of Indica with core collection for rice landrace in Yunnan. Ecol. Environ. 2007, 1, 1754–1758. [Google Scholar]
- Cheng, X.; Chen, S.; Chen, F.; Deng, Y.; Fang, W.; Tang, F.; Liu, Z.; Shao, W. Creating novel chrysanthemum germplasm via interspecific hybridization and backcrossing. Euphytica 2011, 177, 45–53. [Google Scholar] [CrossRef]
- Abd E-Twab, M.H.; Kondo, K. Rapid genome reshuffling induced by allopolyploidization in F1 hybrid in Chrysanthemum remotipinnum (formerly Ajania remotipinna) and Chrysanthemum chanetii (formerly Dendranthema chanetii). Chromosome Bot. 2007, 2, 1–9. [Google Scholar] [CrossRef][Green Version]
- Deng, Y.; Jiang, J.; Chen, S.; Teng, N.; Song, A.; Guan, Z.; Fang, W.; Chen, F. Combination of multiple resistance traits from wild relative species in Chrysanthemum via trigeneric hybridization. PLoS ONE 2012, 7, e44337. [Google Scholar] [CrossRef]
- Shinoyama, H.; Ichikawa, H.; Nishizawa-Yokoi, A.; Skaptsov, M.; Toki, S. Simultaneous TALEN-mediated knockout of chrysanthemum DMC1 genes confers male and female sterility. Sci. Rep. 2020, 10, 1–14. [Google Scholar] [CrossRef]
- Yaohui, G.; Pu, W.G.; Bin, M.; Jie, X.F.; Ming, M. Analysis of the Structure and Expression Pattern of Chrysanthemum CmSVP Gene. Henan Agric. Sci. 2021, 50, 124–129. [Google Scholar]
- Quero, J.L.; Villar, R.; Marañón, T.; Zamora, R. Interactions of drought and shade effects on seedlings of four Quercus species: Physiological and structural leaf responses. New Phytol. 2006, 170, 819–834. [Google Scholar] [CrossRef]
- Cavagnaro, J.; Trione, S. Physiological, morphological and biochemical responses to shade of Trichloris crinita, a forage grass from the arid zone of Argentina. J. Arid Environ. 2007, 68, 337–347. [Google Scholar] [CrossRef]
- Dai, Y.; Shen, Z.; Liu, Y.; Wang, L.; Hannaway, D.; Lu, H. Effects of shade treatments on the photosynthetic capacity, chlorophyll fluorescence and chlorophyll content of Tetrastigma hemsleyanum Diels et Gilg. Environ. Exp. Bot. 2009, 65, 177–182. [Google Scholar] [CrossRef]
- Craven, D.S.; Gulamhussein, S.; Berlyn, G.P. Physiological and anatomical responses of Acacia koa (Gray) seedlings to varying light and drought conditions. Environ. Exp. Bot. 2010, 69, 205–213. [Google Scholar] [CrossRef]
- Deng, Y.; Li, C.; Shao, Q.; Ye, X.; She, J. Differential responses of double petal and multi petal jasmine to shading: I. Photosynthetic characteristics and chloroplast ultrastructure. Plant. Physiol. Biochnol. 2012, 55, 93–102. [Google Scholar] [CrossRef]
- Castro-Díez, P.; Puyravaud, J.P.; Cornelissen, J.H.C. Leaf structure and anatomy as related to leaf mass per area variation in seedlings of a wide range of woody plant species and types. Oecologia 2000, 124, 476–486. [Google Scholar] [CrossRef]
- Deng, Y.M.; Shao, Q.S.; Li, C.C. Differential responses of double petal and multi petal jasmine to shading: II. Morphology, anatomy and physiology. Sci. Hortic. 2012, 144, 19–28. [Google Scholar] [CrossRef]
- Skillman, J.B.; Garcia, M.; Virgo, A.; Winter, K. Growth irradiance effects on photosynthesis and growth in two co-occurring shade-tolerant neotropical perennials of contrasting photosynthetic pathways. Am. J. Bot. 2005, 92, 1811–1899. [Google Scholar] [CrossRef] [PubMed]
- Ou, L.J.; Wei, G.; Zhang, Z.Q.; Dai, X.Z.; Zou, X.X. Effects of low temperature and low irradiance on the physiological characteristics and related gene expression of different pepper species. Photosynthetica 2015, 53, 85–94. [Google Scholar] [CrossRef]
- Asrar, G.; Kanemasu, E.T.; Yoshida, M. Estimates of leaf area index from spectral reflectance of wheat under different cultural practices and solar angle. Rem. Sens. Environ. 1985, 17, 1–11. [Google Scholar] [CrossRef]
- Dodd, A.N.; Salathia, N.; Hall, A.; Kévei, E.; Tóth, R.; Nagy, F.; Hibberd, J.M.; Millar, A.J.; Webb, A.A. Plant circadian clocks increase photosynthesis, growth, survival, and competitive advantage. Science 2005, 309, 630–633. [Google Scholar] [CrossRef]
- Mascarini, L.; Lorenzo, G.A.; Vilella, F. Leaf area index, water index, and red: Far red ratio calculated by spectral reflectance and its relation to plant architecture and cut rose production. J. Am. Soc. Hortic. Sci. 2006, 131, 313–319. [Google Scholar] [CrossRef]
- Han, S.; Chen, S.M.; Song, A.P.; Liu, R.X.; Li, H.Y.; Jiang, J.F.; Chen, F.D. Photosynthetic responses of Chrysanthemum morifolium to growth irradiance: Morphology, anatomy and chloroplast ultrastructure. Photosynthetica 2017, 55, 184–192. [Google Scholar] [CrossRef]
- Zheng, L.; Van Labeke, M.C. Effects of different irradiation levels of light quality on Chrysanthemum. Sci. Hortic. 2018, 233, 124–131. [Google Scholar] [CrossRef]
- Heuvelink, E.; Lee, J.H.; Buiskool, R.P.M.; Ortega, L. Light on cut chrysanthemum: Measurement and simulation of crop growth and yield. In Proceedings of the IV International ISHS Symposium on Artificial Lighting, Quebec, QC, Canada, 7–9 November 2000; ISHS Acta Horticulturae: Quebec, QC, Canada, 2000; Volume 580, pp. 197–202. [Google Scholar]
- Amiri, A.; Kafi, M.; Kalate-Jari, S.; Matinizadeh, M.; Karaj, I. Tulip response to different light sources. J. Anim. Plant. Sci. 2018, 28, 539–545. [Google Scholar]
- Ahmed, M.; Rab, A. Exogenous application of calcium improved the vegetative attributes and corm production in gladiolus. Sarhad J. Agric. 2019, 35, 1011–1019. [Google Scholar] [CrossRef]
- Uddin, A.J.; Roni, M.Z.K.; Islam, M.S.; Ona, A.F.; Sarker, M.S.; Shimasaki, K. Study on growth, flowering and seed production of eight nandini Eustoma grandiflorum varieties. Int. J. Bus. Soc. Sci. Res. 2015, 3, 9–25. [Google Scholar]
- Gregoriou, K.; Pontikis, K.; Vemmos, S. Effects of reduced irradiance on leaf morphology, photosynthetic capacity, and fruit yield in olive (Olea europaea L.). Photosynthetica 2007, 45, 172–181. [Google Scholar] [CrossRef]
- Chen, X.Y.; Li, W.; Lu, Q.T. The xanthophyll cycle and antioxidative defense system are enhanced in the wheat hybrid subjected to high light stress. J. Plant. Physiol. 2011, 168, 1828–1836. [Google Scholar] [CrossRef]
- Xingyuan, Z.; Fuliang, C. Effects of shade on antioxidant enzyme systems and photocodychroidation. Nanjing Linlin Univ. Nat. Sci. Ed. 2006, 30, 32–36. [Google Scholar]
- Xiangxiang, Z.; Fuliang, C. Effect of shade on Ginkgo photosynthetic properties and leaf yield. J. Nanjing For. Univ. Nat. Sci. Ed. 2000, 24, 11–15. [Google Scholar]
- Xinrong, Q.; Qiaoyan, G.; Guoshun, L.; Fang, W. Effect of light strength on the growth and development and photolysing properties of roasted tobacco. N. Chi. J. Agric. 2007, 22, 76–79. [Google Scholar]
- Daquan, X. Efficiency of Photosynthetic System; Shanghai Science and Technology Press: Shanghai, China, 2002; p. 8. [Google Scholar]
- Fu, W.; Li, P.; Wu, Y. Effects of different light intensities on chlorophyll fluorescence characteristics and yield in lettuce. Sci. Hortic. 2012, 135, 45–51. [Google Scholar] [CrossRef]
- Valladares, F.; Chico, J.M.; Aranda, I. The greater seedlings highlight tolerance of Quercus robur over Fagus sylvatica is linked to a greater physiological plasticity. Trees 2002, 16, 395–403. [Google Scholar] [CrossRef]
- Naramoto, M.; Katahata, S.I.; Mukai, Y.; Kakubari, Y. Photosynthetic acclimation and photoinhibition on exposure to high light in shade-developed leaves of Fagus crenata seedlings. Flora 2006, 201, 120–126. [Google Scholar] [CrossRef]
- Maxwell, K.; Johnson, G.N. Chlorophyll fluorescence-a practical guide. J. Exp. Bot. 2000, 51, 659–668. [Google Scholar] [CrossRef]
- Shouren, Z. The significance and discussion of the aerosphere fluorescence dynamics parameters. J. Bot. 1999, 16, 444–448. [Google Scholar]
- Buschmann, C. Photosynthesis and Production in a Changing Environment–A Field and Laboratory Manual; Hall, D.O., Scurlock, J.M.O., Bolhàr-Nordenkampf, H.R., Leegod, R.C., Long, S.P., Eds.; Chapman & Hall: London, UK; Urban & Fischer: München, Germany, 1993. [Google Scholar]
- Müller, P.; Li, X.P.; Niyogi, K.K. Non-photochemical quenching. A response to excess light energy. Plant. Physiol. 2001, 125, 1558–1566. [Google Scholar] [CrossRef] [PubMed]
- Veres, S.; Tóth, V.R.; Láposi, R.; Oláh, V.; Lakatos, G.; Mészáros, I. Carotenoid composition and photochemical activity of four sandy grassland species. Photosynthetica 2006, 44, 255–261. [Google Scholar] [CrossRef]
- Genty, B.; Harbinson, J.M.; Baker, N.R. Relative quantum efficiencies of the two photosystems of and photorespiratory non-respiratory conditions. Plant. Physiol. Biochnol. 1990, 28, 1–10. [Google Scholar]
- Cheng, X.; Chen, S.; Chen, F.; Fang, W.; Deng, Y.; She, L. Interspecific hybrids between Dendranthema morifolium (Ramat.) Kitamura and D. nankingense (Nakai) Tzvel. achieved using ovary rescue and their cold tolerance characteristics. Euphytica 2010, 172, 101–108. [Google Scholar] [CrossRef]
- Genty, B.; Harbinson, J.; Briantais, J.M.; Baker, N.R. The relationship between the relative quantum efficiencies of photosystems in leaves. Efficiency of PS2 in relation to non-photochemical fluorescence quenching. In Current Research in Photosynthesis; Springer: Dordrecht, The Netherlands, 1990; Volume 4, pp. 3159–3162. [Google Scholar]
- Bilger, W.; Schreiber, U.; Bock, M. Determination of the quantum efficiency of photosystem II and of non-photochemical quenching of chlorophyll fluorescence in the field. Oecologia 1995, 102, 425–432. [Google Scholar] [CrossRef] [PubMed]
- Wang, Y.; Guo, Q.; Jin, M. Effects of light intensity on growth and photosynthetic characteristics of Chrysanthemum morifolium. China J. Chin. Mater. Med. 2009, 13, 3. [Google Scholar]
- Edwards, K.; Johnstone, C.; Thompson, C. A simple and rapid method for the preparation of plant genomic DNA for PCR analysis. Nucleic Acids Res. 1991, 19, 1349. [Google Scholar] [CrossRef] [PubMed]
- Gao, Y.; Gao, Y.; Wu, Z.; Bu, X.; Fan, M.; Zhang, Q. Characterization of TEMINAL FLOWER1 homologs CmTFL1c gene from Chrysanthemum morifolium. Plant. Mol. Biol. 2019, 99, 587–601. [Google Scholar] [CrossRef] [PubMed]







Publisher’s Note: MDPI stays neutral with regard to jurisdictional claims in published maps and institutional affiliations. |
© 2021 by the authors. Licensee MDPI, Basel, Switzerland. This article is an open access article distributed under the terms and conditions of the Creative Commons Attribution (CC BY) license (https://creativecommons.org/licenses/by/4.0/).
Share and Cite
Haider, S.; Bashir, M.A.; Habib, U.; Gao, Y.; Shaheen, M.R.; Hussain, R.; Min, F. Phenotypic Characterization and RT-qPCR Analysis of Flower Development in F1 Transgenics of Chrysanthemum × grandiflorum. Plants 2021, 10, 1681. https://doi.org/10.3390/plants10081681
Haider S, Bashir MA, Habib U, Gao Y, Shaheen MR, Hussain R, Min F. Phenotypic Characterization and RT-qPCR Analysis of Flower Development in F1 Transgenics of Chrysanthemum × grandiflorum. Plants. 2021; 10(8):1681. https://doi.org/10.3390/plants10081681
Chicago/Turabian StyleHaider, Saba, Muhammad Ajmal Bashir, Umer Habib, Yike Gao, Muhammad Rashid Shaheen, Rashid Hussain, and Fan Min. 2021. "Phenotypic Characterization and RT-qPCR Analysis of Flower Development in F1 Transgenics of Chrysanthemum × grandiflorum" Plants 10, no. 8: 1681. https://doi.org/10.3390/plants10081681
APA StyleHaider, S., Bashir, M. A., Habib, U., Gao, Y., Shaheen, M. R., Hussain, R., & Min, F. (2021). Phenotypic Characterization and RT-qPCR Analysis of Flower Development in F1 Transgenics of Chrysanthemum × grandiflorum. Plants, 10(8), 1681. https://doi.org/10.3390/plants10081681

