Allelopathic and Herbicidal Effects of Crude Extract from Chromolaena odorata (L.) R.M.King and H.Rob. on Echinochloa crus-galli and Amaranthus viridis
Abstract
:1. Introduction
2. Results
2.1. Effects of Extracts from Different Parts of Chromolaena odorata on the Test Plants
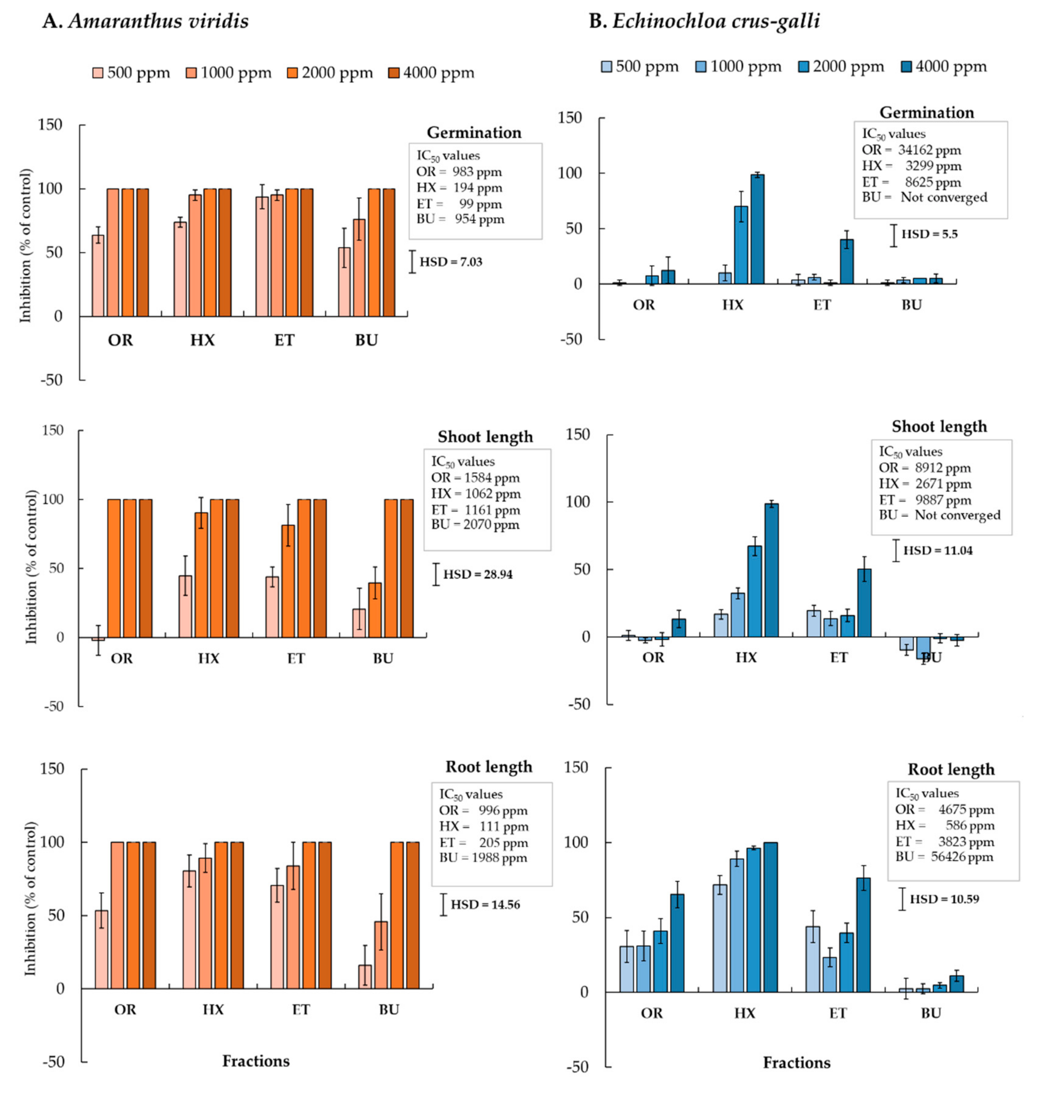
2.2. Effects of Sequential Solvent Extraction of Active Compounds on the Test Plant
2.3. Pre- and Post-Emergence Herbicidal Activity
2.4. Chlorophyll and Carotenoid Contents
2.5. Lipid Peroxidation
3. Discussion
4. Materials and Methods
4.1. General Preparation
4.2. Different Part Extract Bioassay
4.3. Sequential Solvent Extraction of Active Compounds and Bioassay in the Laboratory
4.4. Suspension Concentrate Formulation
4.5. Herbicidal Characteristic
4.6. Estimation of Chlorophylls and Carotenoids Content
4.7. Lipid Peroxidation
4.8. Statistical Analysis
5. Conclusions
Author Contributions
Funding
Conflicts of Interest
References
- Uddin, M.R.; Li, X.; Won, O.J.; Park, S.U.; Pyon, J.Y. Herbicidal activity of phenolic compounds from hairy root cultures of Fagopyrum tataricum. Weed Res. 2012, 52, 25–33. [Google Scholar] [CrossRef]
- Vyvyan, J.R. Allelochemicals as leads for new herbicides and agrochemicals. Tetrahedron 2002, 58, 1631–1646. [Google Scholar] [CrossRef]
- Teerarak, M.; Charoenying, P.; Laosinwattana, C. Physiological and cellular mechanisms of natural herbicide resource from Aglaia odorata Lour. on bioassay plants. Acta Physiol. Plant. 2012, 34, 1277–1285. [Google Scholar] [CrossRef]
- Cheng, F.; Cheng, Z. Research progress on the use of plant allelopathy in agriculture and the physiological and ecological mechanisms of allelopathy. Front. Plant Sci. 2015, 6, 1020. [Google Scholar] [CrossRef]
- Dayan, F.E.; Romagni, J.G.; Duke, S.O. Investigating the mode of action of natural phytotoxins. J. Chem. Ecol. 2000, 26, 2079–2094. [Google Scholar] [CrossRef]
- Laosinwattana, C.; Poonpaiboonpipat, T.; Teerarak, M.; Phuwiwat, W.; Mongkolaussavaratana, T.; Charoenying, P. Allelopathic potential of Chinese rice flower (Aglaia odorata Lour.) as organic herbicide. Allelopath. J. 2009, 24, 45–54. [Google Scholar]
- Singh, H.P.; Batish, D.R.; Pandher, J.K.; Kohli, R.K. Assessment of allelopathic properties of Parthenium hysterophorus residues. Agric. Ecosyst. Environ. 2003, 95, 537–541. [Google Scholar] [CrossRef]
- Khanh, T.D.; Xuan, T.D.; Chung, I.M. Rice allelopathy and the possibility for weed management. Ann. Appl. Biol. 2007, 151, 325–339. [Google Scholar] [CrossRef]
- Sodaeizadeh, H.; Rafieiolhossaini, M.; Van Damme, P. Herbicidal activity of a medicinal plant, Peganum harmala L., and decomposition dynamics of its phytotoxins in the soil. Ind. Crops Prod. 2010, 31, 385–394. [Google Scholar] [CrossRef]
- Dayan, F.E.; Cantrell, C.L.; Duke, S.O. Natural products in crop protection. Bioorg. Med. Chem. 2009, 17, 4022–4034. [Google Scholar] [CrossRef] [PubMed]
- Dayan, F.E.; Owens, D.K.; Duke, S.O. Rationale for a natural products approach to herbicide discovery. Pest Manag. Sci. 2012, 68, 519–528. [Google Scholar] [CrossRef] [PubMed]
- Wichittrakarn, P.; Teerarak, M.; Charoenying, P.; Laosinwattana, C. Effects of natural herbicide from Tagetes erecta on Echinochloa crus-galli (L.) Beauv. Allelopath. J. 2018, 43, 17–30. [Google Scholar] [CrossRef]
- Heisey, R.M. Allelopathic and herbicidal effects of extracts from tree of heaven (Ailanthus altissima). Am. J. Bot. 1990, 77, 662–670. [Google Scholar] [CrossRef]
- Otsuka, H. Purification by solvent extraction using partition coefficient. In Natural Products Isolation; Humana Press: Totowa, NJ, USA, 2006; pp. 269–273. [Google Scholar] [CrossRef]
- Duke, S.O. Interaction of chemical pesticides and their formulation ingredients with microbes associated with plants and plant pests. J. Agric. Food Chem. 2018, 66, 7553–7561. [Google Scholar] [CrossRef] [PubMed]
- McFadyen, R.C.; Skarratt, B. Potential distribution of Chromolaena odorata (siam weed) in Australia, Africa and Oceania. Agric. Ecosyst. Environ. 1996, 59, 89–96. [Google Scholar] [CrossRef]
- Hamidi, F.W.A.; Zainuddin, F.H.I.; Ismail, A.M.; Hasan, M.Y. Preliminary study on allelopathic effect from Chromolaena odarata (siam weed) leaves extract towards Vigna radiata. Int. J. Eng. Res. 2014, 3, 406–411. [Google Scholar]
- Taiwo, O.B.; Olajide, O.A.; Soyannwo, O.O.; Makinde, J.M. Anti-inflammatory, antipyretic and antispasmodic: Properties of Chromolaena odorata. Pharm. Biol. 2000, 38, 367–370. [Google Scholar] [CrossRef] [Green Version]
- Naidoo, K.K.; Coopoosamy, R.M.; Naidoo, G. Screening of Chromolaeana odorata (L.) King and Robinson for antibacterial and antifungal properties. J. Med. Plants Res. 2011, 5, 4859–4862. [Google Scholar] [CrossRef]
- Bouda, H.; Tapondjou, L.A.; Fontem, D.A.; Gumedzoe, M.Y.D. Effect of essential oils from leaves of Ageratum conyzoides, Lantana camara and Chromolaena odorata on the mortality of Sitophilus zeamais (Coleoptera, Curculionidae). J. Stored Prod. Res. 2001, 37, 103–109. [Google Scholar] [CrossRef]
- Ambika, S.R. Allelopathic Plants. 5. Chromolaena odorata (L.) King and Robinson. Allelopath. J. 2002, 9, 35–41. [Google Scholar]
- Julio, A.; Tandoc, W.C.; Tipace, H.D.; Vendivil, Y.F.; Yanesa, Z.; Tare, M.V.R.; Lactaoen, E.J.; Clemente, K.J. Allelopathic effect of Lantana camara and Chromolaena odorata leaf extracts on plant germination. Asian J. Agric. Biol. 2019, 7, 190–196. [Google Scholar]
- Sahid, I.; Yusoff, N. Allelopathic effects of ‘Chromolaena odorata’ (L.) King and Robinson and ‘Mikania micrantha’ HBK on three selected weed species. Aust. J. Crop Sci. 2014, 8, 1024–1028. [Google Scholar]
- Poonpaiboonpipat, T. Allelopathic effect of Barleria lupulina Lindl. on germination and seedling growth of pigweed and barnyardgrass. Naresuan Univ. J. Sci. Technol. 2017, 25, 44–50. [Google Scholar]
- Krumsri, R.; Kato-Noguchi, H.; Poonpaiboonpipat, T. Allelopathic effect of Sphenoclea zeylanica Gaertn. on rice (Oryza sativa L.) germination and seedling growth. Aust. J. Crop Sci. 2020, 14, 1450–1455. [Google Scholar] [CrossRef]
- Xuan, T.D.; Shinkichi, T.; Hong, N.H.; Khanh, T.D.; Min, C.I. Assessment of phytotoxic action of Ageratum conyzoides L. (billy goat weed) on weeds. Crop Prot. 2004, 23, 915–922. [Google Scholar] [CrossRef]
- Sisodia, S.; Siddiqui, M.B. Allelopathic effect by aqueous extracts of different parts of Croton bonplandianum Baill. on some crop and weed plants. J. Agric. Ext. Rural Dev. 2010, 2, 22–28. [Google Scholar] [CrossRef]
- Bart, J.C.J.; Palmeri, N.; Cavallaro, S. 3—Oleochemical sources: Basic science, processing and applications of oils. In Biodiesel Science and Technology; Bart, J.C.J., Palmeri, N., Cavallaro, S., Eds.; Woodhead Publishing: Sawston, UK, 2010; pp. 62–113. [Google Scholar] [CrossRef]
- Shentode, O.M.; Ishmael, B.M.; Sichilongo, K.; Ndombele, L. Preliminary GC-MS profiling and anti-bacterial activity investigation of Chromolaena orodata Linn. R.M. King and H. Robinson (Asteraceae). IJCA 2015, 1, 38–49. [Google Scholar]
- Ling, B.; Zhang, M.; Kong, C.; Pang, X.; Liang, G. Chemical composition of volatile oil from Chromolaena odorata and its effect on plant, fungi and insect growth. Chin. J. Appl. Ecol. 2003, 14, 744–746. [Google Scholar]
- Inderjit; Streibig, J.C.; Olofsdotter, M. Joint action of phenolic acid mixtures and its significance in allelopathy research. Physiol. Plant. 2002, 114, 422–428. [Google Scholar] [CrossRef]
- Chotsaeng, N.; Laosinwattana, C.; Charoenying, P. Herbicidal activities of some allelochemicals and their synergistic behaviors toward Amaranthus tricolor L. Molecules 2017, 22, 1841. [Google Scholar] [CrossRef] [Green Version]
- Laosinwattana, C.; Wichittrakarn, P.; Teerarak, M. Chemical composition and herbicidal action of essential oil from Tagetes erecta L. leaves. Ind. Crops Prod. 2018, 126, 129–134. [Google Scholar] [CrossRef]
- Almarie, A.A.; Mamat, A.S.; Wahab, Z.; Rukunudin, I.H. Chemical composition and phytotoxicity of essential oils isolated from Malaysian plants. Allelopath. J. 2016, 37, 55–70. [Google Scholar]
- Scott, I.; Logan, D.C. Mitochondrial morphology transition is an early indicator of subsequent cell death in Arabidopsis. New Phytol. 2008, 177, 90–101. [Google Scholar] [CrossRef]
- Marnett, L.J. Lipid peroxidation—DNA damage by malondialdehyde. Mutat. Res. Fundam. Mol. Mech. Mutagen. 1999, 424, 83–95. [Google Scholar] [CrossRef]
- Poonpaiboonpipat, T.; Pangnakorn, U.; Suvunnamek, U.; Teerarak, M.; Charoenying, P.; Laosinwattana, C. Phytotoxic effects of essential oil from Cymbopogon citratus and its physiological mechanisms on barnyardgrass (Echinochloa crus-galli). Ind. Crops Prod. 2013, 41, 403–407. [Google Scholar] [CrossRef]
- Kaur, S.; Singh, H.P.; Mittal, S.; Batish, D.R.; Kohli, R.K. Phytotoxic effects of volatile oil from Artemisia scoparia against weeds and its possible use as a bioherbicide. Ind. Crops Prod. 2010, 32, 54–61. [Google Scholar] [CrossRef]
- Kaur, P.; Gupta, S.; Kaur, K.; Kaur, N.; Kumar, R.; Bhullar, M.S. Nanoemulsion of Foeniculum vulgare essential oil: A propitious striver against weeds of Triticum aestivum. Ind. Crops Prod. 2021, 168, 113601. [Google Scholar] [CrossRef]
- Scrivanti, L.R.; Zunino, M.P.; Zygadlo, J.A. Tagetes minuta and Schinus areira essential oils as allelopathic agents. Biochem. Syst. Ecol. 2003, 31, 563–572. [Google Scholar] [CrossRef]
- Shui, J.; An, Y.; Ma, Y.; Ichizen, N. Allelopathic potential of switchgrass (Panicum virgatum L.) on perennial ryegrass (Lolium perenne L.) and alfalfa (Medicago sativa L.). Environ. Manag. 2010, 46, 590–598. [Google Scholar] [CrossRef]
- Lichtenthaler, H.K. Chlorophylls and carotenoids: Pigments of photosynthetic biomembranes. Meth. Enzymol. 1987, 148, 350–382. [Google Scholar] [CrossRef]
- Heath, R.L.; Packer, L. Photoperoxidation in isolated chloroplasts: I. Kinetics and stoichiometry of fatty acid peroxidation. Arch. Biochem. Biophys. 1968, 125, 189–198. [Google Scholar] [CrossRef]








| Concentration | Amaranthus viridis | Echinochloa crus-galli | ||||
|---|---|---|---|---|---|---|
| % Inhibition | % Inhibition | |||||
| Germination | Shoot Length | Root Length | Germination | Shoot Length | Root Length | |
| Shoot extract | ||||||
| 1000 ppm | 33.7 ± 8.5 | −74.3 ± 20.2 | 22.7 ± 4.9 | 2.5 ± 2.8 | −2.7 ± 3.0 | −8.1 ± 1.2 |
| 2000 ppm | 51.2 ± 9.4 | −18.0 ± 26.0 | 18.7 ± 6.5 | 5.0 ± 0.0 | 6.1 ± 2.0 | 9.8 ± 2.1 |
| 4000 ppm | 93.7 ± 2.5 | 31.7 ± 12.5 | 21.9 ±10.1 | 5.0 ± 0.0 | 29.6 ± 7.3 | 9.9 ± 1.7 |
| 8000 ppm | 100 ± 0.0 | 100 ± 0.0 | 100 ± 0.0 | 3.7 ± 2.5 | 70.3 ± 6.7 | 72.5 ± 3.1 |
| IC50 (ppm) | 1610 | 4177 | 4607 | Not converged | 5671 | 6332 |
| Leaf extract | ||||||
| 1000 ppm | 92.5 ± 2.8 | 68.7 ± 16.5 | 15.2 ± 8.1 | 6.2 ± 2.5 | 43.6 ± 9.4 | 47.7 ± 7.7 |
| 2000 ppm | 100 ± 0.0 | 100 ± 0.0 | 100 ± 0.0 | 2.5 ± 2.8 | 53.1 ± 5.8 | 69.8 ± 4.5 |
| 4000 ppm | 100 ± 0.0 | 100 ± 0.0 | 100 ± 0.0 | 91.2 ± 4.7 | 90.5 ± 5.2 | 98.1 ± 1.5 |
| 8000 ppm | 100 ± 0.0 | 100 ± 0.0 | 100 ± 0.0 | 92.5 ± 5.0 | 92.3 ± 5.0 | 99.6 ± 0.6 |
| IC50 (ppm) | 862.3 | 975.5 | 1049 | 3047 | 1367 | 1101 |
| Root extract | ||||||
| 1000 ppm | 30.0 ± 7.0 | −32.6 ± 22.5 | 11.1 ± 10.3 | 2.5 ± 2.8 | 22.3 ± 6.2 | 2.1 ± 4.4 |
| 2000 ppm | 52.5 ± 6.4 | 3.0 ± 0.5 | 12.5 ± 12.3 | 1.2 ± 0.5 | 28.3 ± 5.9 | 7.5 ± 4.5 |
| 4000 ppm | 100 ± 0.0 | 100 ± 0.0 | 100 ± 0.0 | 3.7 ± 1.4 | 29.7 ± 7.3 | 18.5 ± 5.1 |
| 8000 ppm | 100 ± 0.0 | 100 ± 0.0 | 100 ± 0.0 | 5.0 ± 2.4 | 46.5 ± 6.7 | 26.9 ± 1.2 |
| IC50 (ppm) | 1633 | 2385 | 2366 | Not converged | 13,126 | 19,473 |
| Whole plant extract | ||||||
| 1000 ppm | 33.7 ± 6.2 | −8.2 ± 14.0 | 34.7 ± 11.3 | 0.0 ± 0.0 | 26.4 ± 4.1 | 15.3 ± 4.1 |
| 2000 ppm | 81.2 ± 4.7 | 60 ± 17.5 | 35.9 ± 12.3 | 1.2 ± 0.5 | 39.6 ± 6.2 | 46.5 ± 4.5 |
| 4000 ppm | 100 ± 0.0 | 90.4 ± 19.1 | 100 ± 0.0 | 6.2 ± 0.5 | 39.6 ± 6.3 | 35.7 ± 7.1 |
| 8000 ppm | 100 ± 0.0 | 100 ± 0.0 | 100 ± 0.0 | 1.2 ± 0.5 | 52.1 ± 6.5 | 68.4 ± 5.3 |
| IC50 (ppm) | 1241 | 1965 | 1856 | Not converged | 7204 | 4310 |
| HSD | 15.4 | 28.5 | 22.2 | 17.8 | 21.6 | 24.5 |
Publisher’s Note: MDPI stays neutral with regard to jurisdictional claims in published maps and institutional affiliations. |
© 2021 by the authors. Licensee MDPI, Basel, Switzerland. This article is an open access article distributed under the terms and conditions of the Creative Commons Attribution (CC BY) license (https://creativecommons.org/licenses/by/4.0/).
Share and Cite
Poonpaiboonpipat, T.; Krumsri, R.; Kato-Noguchi, H. Allelopathic and Herbicidal Effects of Crude Extract from Chromolaena odorata (L.) R.M.King and H.Rob. on Echinochloa crus-galli and Amaranthus viridis. Plants 2021, 10, 1609. https://doi.org/10.3390/plants10081609
Poonpaiboonpipat T, Krumsri R, Kato-Noguchi H. Allelopathic and Herbicidal Effects of Crude Extract from Chromolaena odorata (L.) R.M.King and H.Rob. on Echinochloa crus-galli and Amaranthus viridis. Plants. 2021; 10(8):1609. https://doi.org/10.3390/plants10081609
Chicago/Turabian StylePoonpaiboonpipat, Thanatsan, Ramida Krumsri, and Hisashi Kato-Noguchi. 2021. "Allelopathic and Herbicidal Effects of Crude Extract from Chromolaena odorata (L.) R.M.King and H.Rob. on Echinochloa crus-galli and Amaranthus viridis" Plants 10, no. 8: 1609. https://doi.org/10.3390/plants10081609
APA StylePoonpaiboonpipat, T., Krumsri, R., & Kato-Noguchi, H. (2021). Allelopathic and Herbicidal Effects of Crude Extract from Chromolaena odorata (L.) R.M.King and H.Rob. on Echinochloa crus-galli and Amaranthus viridis. Plants, 10(8), 1609. https://doi.org/10.3390/plants10081609

