Genetic Mapping for Agronomic Traits in IAPAR 81/LP97-28 Population of Common Bean (Phaseolus vulgaris L.) under Drought Conditions
Abstract
:1. Introduction
2. Results
2.1. Level of Water Stress and Its Effects on Genotype Performance
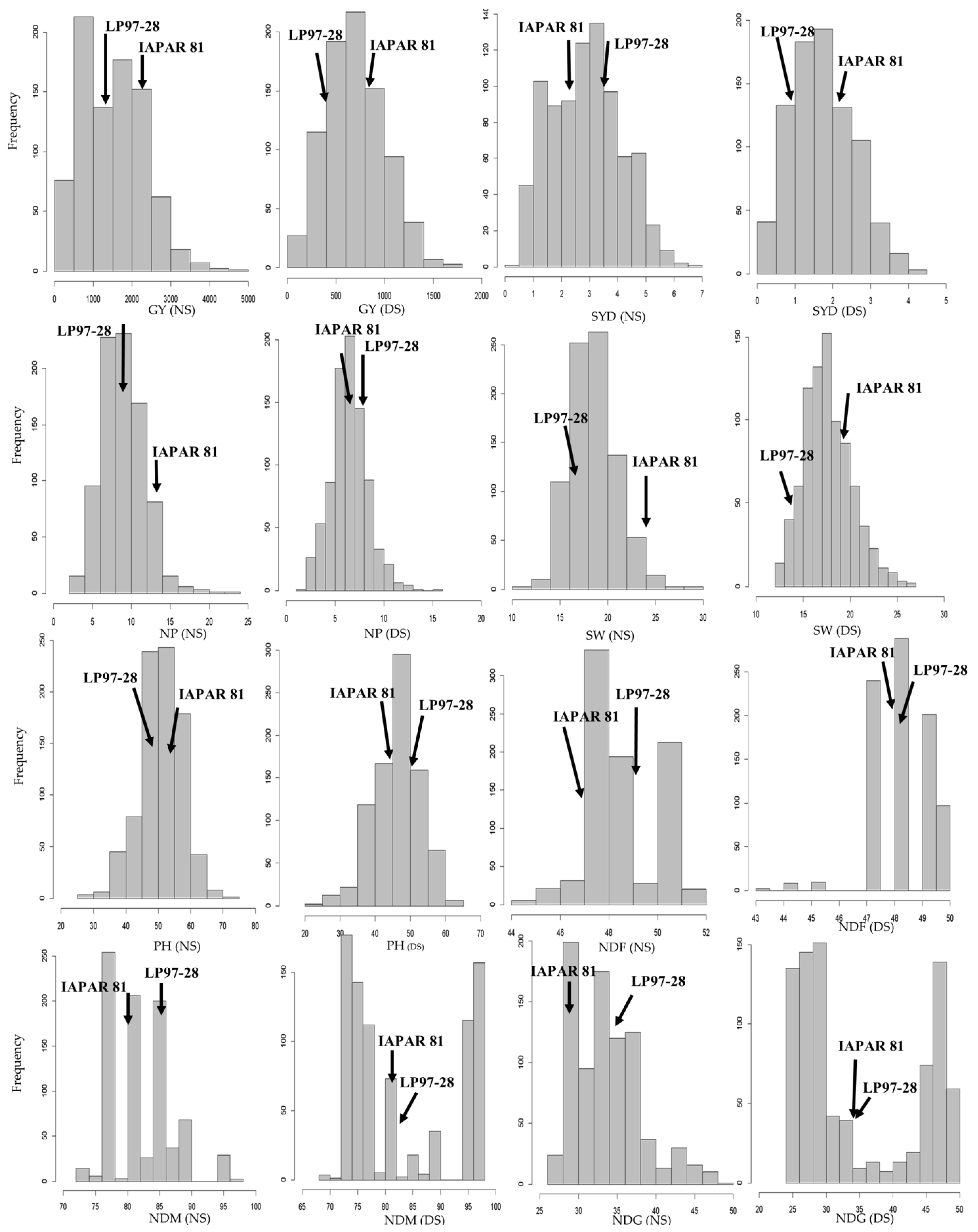
2.2. Phenotypic Data
2.3. Genetic Mapping
2.4. QTLs Mapping
2.4.1. QTLs for 100-Seed Weight (SW)
2.4.2. QTLs for Number of Pods per Plant (NP)
2.4.3. QTLs for Plant Height (PH)
2.4.4. QTLs for Number of Days to Flowering (NDF)
2.4.5. QTLs for Number of Days to Maturity (NDM)
3. Discussion
3.1. Genetic Diversity
3.2. Phenotypic Data
3.3. QTLs Mapping
4. Material and Methods
4.1. Population Development
4.2. Field Trial Design, Evaluation of Productivity and Morpho Agronomic Characteristics
4.3. Phenotypic Data Analysis
4.4. Genotyping of the RILs Using BARCBean6K_3 BeadChip
4.5. Genetic Mapping
4.6. QTL Analysis
5. Conclusions
Author Contributions
Funding
Institutional Review Board Statement
Informed Consent Statement
Data Availability Statement
Acknowledgments
Conflicts of Interest
References
- Beebe, S.E.; Rao, I.M.; Blair, M.W.; Acosta-Gallegos, J.A. Phenotyping common beans for adaptation to drought. Front. Physiol. 2013, 4, 35. [Google Scholar] [CrossRef] [PubMed] [Green Version]
- Diaz, S.; Ariza-Suarez, D.; Izquierdo, P.; Lobaton, J.D.; de la Hoz, J.F.; Acevedo, F.; Duitama, J.; Guerrero, A.F.; Cajiao, C.; Mayor, V.; et al. Genetic mapping for agronomic traits in a MAGIC population of common bean (Phaseolus vulgaris L.) under drought conditions. BMC Genom. 2020, 21, 799. [Google Scholar] [CrossRef]
- Gepts, P. Tropical environments, biodiversity, and the origin of crops. In Genomics of Tropical Crop Plants. Plant Genetics and Genomics: Crops and Models; Springer: New York, NY, USA, 2008; pp. 1–20. [Google Scholar] [CrossRef]
- Barili, L.D.; Vale, N.M.; Moura, L.M.; Paula, R.G.; Silva, F.F.; Carneiro, J.E. Genetic progress resulting from forty-three years of breeding of the carioca common bean in Brazil. Gen. Mol. Res. 2016, 15, 1–11. [Google Scholar] [CrossRef] [PubMed]
- McClean, P.E.; Burridge, J.; Beebe, S.; Rao, I.M.; Porch, T.G. Crop improvement in the era of climate change: An integrated, multi-disciplinary approach for common bean (Phaseolus vulgaris). Funct. Plant Biol. 2011, 38, 927–933. [Google Scholar] [CrossRef] [PubMed]
- Beebe, S. Common Bean Breeding in the Tropics. Plant Breed. Rev. 2012, 36, 357–426. [Google Scholar]
- Blair, M.W.; Galeano, C.H.; Tovar, E.; Torres, M.C.M.; Castrillón, A.L.; Beebe, S.E.; Rao, I.M. Development of a Mesoamerican intra-gene pool genetic map for quantitative trait loci detection in a drought tolerant × susceptible common bean (Phaseolus vulgaris L.) cross. Mol. Breed. 2012, 29, 71–88. [Google Scholar] [CrossRef] [PubMed] [Green Version]
- Mukeshimana, G.; Butare, L.; Cregan, P.B.; Blair, M.W.; Kelly, J.D. Quantitative trait loci associated with drought tolerance in common bean. Crops Sci. 2014, 54, 923–938. [Google Scholar] [CrossRef] [Green Version]
- Traub, J.; Kelly, J.D.; Loescher, W. Early Metabolic and Photosynthetic Responses to Drought Stress in Common and Tepary Bean. Crops Sci. 2017, 57, 1670–1686. [Google Scholar] [CrossRef]
- Trapp, J.J.; Urrea, C.A.; Zhou, J.; Khotc, L.R.; Sankaranc, S.; Miklas, P.N. Selective phenotyping traits related to multiple stress and drought response in dry bean. Crops Sci. 2016, 56, 1460–1472. [Google Scholar] [CrossRef] [Green Version]
- Blair, M.W.; Brondani, R.V.P.; Díaz, L.M.; Del Peloso, M.J. Diversity and population structure of common bean from Brazil. Crops Sci. 2013, 53, 1983–1993. [Google Scholar] [CrossRef]
- Bitocchi, E.; Rau, D.; Bellucci, E.; Rodriguez, M.; Murgia, M.L.; Gioia, T.; Santo, D.; Nanni, L.; Attene, G.; Papa, R. Beans (Phaseolus ssp) as a model for understanding crop evolution. Front. Plant Sci. 2017, 8, 722. [Google Scholar] [CrossRef] [Green Version]
- Possobom, M.T.D.F.; Ribeiro, N.D.; da Domingues, L.S.; Casagrande, C.R. Genetic control of iron concentration in Mesoamerican and Andean common bean seeds. Pesq. Agrop. Bras. 2015, 383–391. [Google Scholar] [CrossRef] [Green Version]
- Schmutz, J.; McClean, P.E.; Mamidi, S.; Wu, G.A.; Cannon, S.B.; Grimwood, J.; Jenkins, J.; Shu, S.; Song, Q.; Chavarro, C.; et al. A reference genome for common bean and genome-wide analysis of dual domestications. Nat. Genet. 2014, 46, 707–713. [Google Scholar] [CrossRef] [Green Version]
- Frahm, M.A.; Rosas, J.C.; Mayek-Pérez, N.; López-Salinas, E.; Acosta-Gallegos, J.A. Breeding beans for resistance to terminal drought in the lowland tropics. Euphytica 2004, 136, 223–232. [Google Scholar] [CrossRef]
- Miklas, P.N.; Singh, S.P. Common bean. In Genome Mapping and Molecular Breeding in Plants: Pulses, Sugar and Tuber Crops; Kole, C., Ed.; Springer: Berlin/Heidelberg, Germany, 2007; pp. 1–31. [Google Scholar]
- Singh, V.; Nguyen, C.T.; Yang, Z.; Chapmand, S.C.; van Oosteroma, E.J.; Hammera, G.L. Genotypic differences in effects of short episodes of high-temperature stress during reproductive development in sorghum. Crops Sci. 2016, 56, 1561–1572. [Google Scholar] [CrossRef]
- Porch, T.; Beaver, J.; Debouck, D.; Jackson, S.A.; Kelly, J.D.; Dempewolf, H. Use of wild relatives and closely related species to adapt common bean to climate change. Agronomy 2013, 3, 433–461. [Google Scholar] [CrossRef] [Green Version]
- Oliveira, M.R.C.; Corrêa, A.S.; de Souza, G.A.; Guedes, R.N.C.; Oliveira, L.O. Mesoamerican origin and pre- and post-columbian expansions of the ranges of Acanthoscelides obtectus Say, a cosmopolitan insect pest of the common bean. PLoS ONE 2013, 8, e70039. [Google Scholar] [CrossRef] [Green Version]
- Ramirez-Vallejo, P.; Kelly, J.D. Traits related to drought resistance in common bean. Euphytica 1998, 99, 127–136. [Google Scholar] [CrossRef]
- Rosales-Serna, R.; Kohashi-Shibata, J.; Acosta-Gallegos, J.A.; Trejo-Lópeza, C.; Ortiz-Cereceres, J.; Kelly, J.D. Biomass distribution, maturity acceleration and yield in drought-stressed common bean cultivars. Field Crop. Res. 2004, 85, 203–211. [Google Scholar] [CrossRef]
- Asfaw, A.; Ambachew, D.; Shah, T.; Blair, M.W. Trait associations in diversity panels of the two common bean (Phaseolus vulgaris L.) gene pools grown under well-watered and water-stress conditions. Front. Plant Sci. 2017, 8, 1–15. [Google Scholar] [CrossRef] [PubMed]
- Kavar, T.; Maras, M.; Kidrič, M.; Suštar-Vozlič, J.; Meglič, V. Identification of genes involved in the response of leaves of Phaseolus vulgaris to drought stress. Mol. Breed. 2008, 21, 159–172. [Google Scholar] [CrossRef]
- Asfaw, A.; Blair, M.W. Quantitative trait loci for rooting pattern traits of common beans grown under drought stress versus non-stress conditions. Mol. Breed. 2012, 30, 681–695. [Google Scholar] [CrossRef]
- Toaldo, D.; de Morais, P.P.P.; Battilana, J.; Coimbra, J.L.M.; Guidolin, A.F. Selection in early generations and the occurrence of heterosis for the character root distribution. Euphytica 2013, 190, 335–344. [Google Scholar] [CrossRef]
- Hoyos-Villegas, V.; Song, Q.; Wright, E.M.; Beebe, S.E.; Kelly, J.D. Joint linkage QTL mapping for yield and agronomic traits in a composite map of three common bean RIL populations. Crops Sci. 2016, 56, 2546–2563. [Google Scholar] [CrossRef]
- Schneider, K.A.; Rosales-Serna, R.; Ibarra-Perez, F.; Cazares-Enriquez, B.; Acosta-Gallegos, J.A.; Ramirez-Vallejo, P.; Wassimi, N.; Kelly, J.D. Improving common bean performance under drought stress. Crops Sci. 1997, 37, 43–50. [Google Scholar] [CrossRef]
- De Ron, A.M.; Kalavacharla, V.K.; Álvarez-García, S.; Casquero, P.A.; Rodríguez-González, A.; Suárez-Villanueva, S.; Rodiño, A.P.; Beaver, J.S.; Porch, T.; Galván, M.Z.; et al. Common Bean Genetics, Breeding, and Genomics for Adaptation to Changing to New Agri-environmental Conditions. In Genomic Designing of Climate-Smart Pulse Crops; Kole, C., Ed.; Springer: New York, NY, USA, 2019; pp. 1–106. [Google Scholar] [CrossRef]
- Blum, A. Drought resistance-is it a complex trait? Funct. Plant Biol. 2011, 38, 753–757. [Google Scholar] [CrossRef]
- Muñoz-Perea, C.G.; Terán, H.; Allen, R.G.; Wright, J.L.; Westermann, D.T.; Singh, S.P. Selection for drought resistance in dry bean landraces and cultivars. Crops Sci. 2006, 46, 2111–2120. [Google Scholar] [CrossRef] [Green Version]
- Miklas, P.N.; Kelly, J.D.; Beebe, S.E.; Blair, M.W. Common bean breeding for resistance against biotic and abiotic stresses: From classical to MAS breeding. Euphytica 2006, 147, 105–131. [Google Scholar] [CrossRef]
- Dramadri, I.O.; Nkalubo, S.T.; Kelly, J.D. Identification of QTL Associated with Drought Tolerance in Andean Common Bean. Crops Sci. 2019, 59, 1007–1020. [Google Scholar] [CrossRef]
- Beebe, S.; Ramirez, J.; Jarvis, A.; Rao, I.M.; Mosquera, G.; Bueno, J.M.; Blair, M.W. Genetic Improvement of Common Beans and the Challenges of Climate Change. In Crop Adaptation to Climate Changes; John Wiley & Sons, Ltd.: Chichester, UK, 2011; pp. 356–369. [Google Scholar]
- Polania, J.A.; Rao, I.M.; Cajiao, C.; Rivera, M.; Raatz, B.; Beebe, S.E. Physiological traits associated with drought resistance in Andean and Mesoamerican genotypes of common bean (Phaseolus vulgaris L.). Euphytica 2016, 210, 17–29. [Google Scholar] [CrossRef]
- Valdisser, P.A.M.R.; Müller, B.S.F.; Almeida Filho, J.E.; Morais Júnior, O.P.; Guimarães, C.M.; Borba, T.C.O.; Souza, I.P.; Zuc-chi, M.I.; Neves, L.G.; Coelho, A.S.G.; et al. Genome-wide association studies detect multiple QTLs for productivity in Mesoamerican Diversity Panel of common bean under drought stress. Front. Plant Sci. 2020, 11, 574674. [Google Scholar] [CrossRef]
- Song, Q.; Jia, G.; Hyten, D.L.; Jenkins, J.; Hwang, E.Y.; Schroeder, S.G.; Cregan, P.B. SNP assay development for linkage map construction, anchoring whole genome sequence and other genetic and genomic applications in common bean. G3 GenesGenomesGenet. 2015, 5, 2285–2290. [Google Scholar] [CrossRef] [Green Version]
- Yuste-Lisbona, F.J.; Santalla, M.; Capel, C.; García-Alcázar, M.; Fuente, M.D.L.; Capel, J.; Ron, A.M.D.; Lozano, R. Marker-based linkage map of Andean common bean (Phaseolus vulgaris L.) and mapping of QTLs underlying popping ability traits. BMC Plant. Biol. 2012, 12, 136. [Google Scholar] [CrossRef] [PubMed] [Green Version]
- Frei, A.; Blair, M.W.; Cardona, C.; Beebe, S.E.; Gu, H.; Dorn, S. QTL mapping of resistance to Thrips palmi karny in common bean. Crops Sci. 2005, 45, 379–387. [Google Scholar] [CrossRef]
- Assefa, T.; Beebe, S.E.; Rao, I.M.; Cuasquer, J.B.; Duque, M.C.; Rivera, M.; Battisti, A.; Lucchinc, L. Pod harvest index as a selection criterion to improve drought resistance in white pea bean. Field Crop. Res. 2013, 148, 24–33. [Google Scholar] [CrossRef]
- Beaver, J.S.; Osorno, J.M. Achievements and limitations of contemporary common bean breeding using conventional and molecular approaches. Euphytica 2009, 168, 145–175. [Google Scholar] [CrossRef]
- Blair, M.W.; Iriarte, G.; Beebe, S. QTL analysis of yield traits in an advanced backcross population derived from a cultivated Andean x wild common bean (Phaseolus vulgaris L.) cross. Theor. Appl. Genet. 2006, 112, 1149–1163. [Google Scholar] [CrossRef]
- Checa, O.E.; Blair, M.W. Mapping QTL for climbing ability and component traits in common bean (Phaseolus vulgaris L.). Mol. Breed. 2008, 22, 201–215. [Google Scholar] [CrossRef]
- Beattie, A.D.; Larsen, J.; Michaels, T.E.; Pauls, K.P. Mapping quantitative trait loci for a common bean (Phaseolus vulgaris L.) ideotype. Genome Natl. Res. Counc. Can. 2003, 46, 411–422. [Google Scholar] [CrossRef]
- Nodari, R.O.; Tsail, S.M.; Gilbertson, R.L.; Gepts, P. Towards an integrated linkage map of common bean 2. Development of an RFLP-based linkage map. Theor. Appl. Genet. 1993, 85, 513–520. [Google Scholar] [CrossRef]
- Koinage, E.M.K.; Singh, S.P.; Gepts, P. Genetic control of the domestication syndrome in common bean. Crops Sci. 1996, 36, 1037–1045. [Google Scholar] [CrossRef] [Green Version]
- Diaz, L.M.; Ricaurte, J.; Tovar, E.; Cajiao, C.; Teran, H.; Grajales, M.; Polania, J.; Rao, I.; Beebe, S.; Raatz, B. QTL analyses for tolerance to abiotic stresses in a common bean (Phaseolus vulgaris L.) population. PLoS ONE 2018, 13, e0202342. [Google Scholar] [CrossRef]
- Wright, E.M.; Kelly, J.D. Mapping QTL for seed yield and canning quality following processing of black bean (Phaseolus vulgaris L.). Euphytica 2011, 179, 471–484. [Google Scholar] [CrossRef]
- Tar’an, B.; Michaels, T.E.; Pauls, K.P. Genetic mapping of agronomic traits in common bean. Crops Sci. 2002, 42, 544–556. [Google Scholar] [CrossRef]
- Kwak, M.; Velasco, D.; Gepts, P. Mapping homologous sequences for determinacy and photoperiod sensitivity in common bean (Phaseolus vulgaris). Jour. Hered. 2008, 99, 283–291. [Google Scholar] [CrossRef]
- Moda-Cirino, V.; Oliari, L.; Lollato, M.A.; Fonseca, S. Iapar 81–Common bean. Crop. Breed. Appl. Biotechnol. 2001, 203–204. [Google Scholar] [CrossRef]
- Molina, J.; Moda-Cirino, V.; Júnior, N.S.F.; de Faria, R.T.; Destro, D. Response of common bean cultivars and lines to water stress. Crop. Breed. Appl. Biot. 2001, 363–372. [Google Scholar] [CrossRef]
- Resende, M.D.V. Selegen Reml/Blup–Sistema estatístico e seleção genética computadorizada. In Manual Complementar do Selegen-Reml/Blup; Embrapa Florestas: Colombo, Sri Lanka, 2014; pp. 1–17. [Google Scholar]
- Resende, M.D.V.; Duarte, J.B. Precisão e controle de qualidade em experimentos de avaliação de cultivares. Pesq. Agrop. Trop. 2007, 37, 182–194. [Google Scholar]
- Van Ooijen, J.W. JoinMap®4, Software for the Calculation of Genetic Linkage Maps in Experimental Populations; Kyazma, B.V., Ed.; Wageningen University: Wageningen, The Netherlands, 2006. [Google Scholar]
- Voorrips, R.E. MapChart: Software for the graphical presentation of linkage maps and QTLs. The J. Hered. 2002, 93, 77–78. [Google Scholar] [CrossRef] [PubMed] [Green Version]
- Wang, S.; Basten, C.J.; Zeng, Z.B. Windows QTL Cartographer 2.5. J. Infect. Dis. 2011, 204, 198–199. Available online: http://statgen.ncsu.edu/qtlcart/WQTLCart.htm (accessed on 1 June 2016).
- Miklas, P.N.; Porch, T. Guidelines for common bean QTL nomenclature. Annu. Rep. Bean Improv. Coop. 2010, 53, 202–204. [Google Scholar]




| Traits | Drought Intensity Indices | |||||||||||
|---|---|---|---|---|---|---|---|---|---|---|---|---|
| 2014 | 2015 | |||||||||||
| GY | 0.59 | 0.59 | 0.70 | 0.72 | 0.65 | 0.65 | 0.30 | 0.29 | 0.38 | 0.21 | 0.50 | 0.34 |
| SYD | 0.41 | 0.41 | 0.44 | 0.40 | 0.50 | 0.42 | 0.35 | 0.34 | 0.40 | 0.26 | 0.50 | 0.37 |
| NP | 0.30 | 0.30 | 0.59 | 0.64 | 0.44 | 0.46 | 0.22 | 0.21 | 0.12 | 0.04 | 0.18 | 0.17 |
| SW | 0.06 | 0.06 | 0.16 | 0.27 | - | 0.11 | 0.03 | 0.03 | 0.13 | 0.11 | 0.15 | 0.08 |
| PH | 0.09 | 0.09 | 0.11 | 0.15 | 0.07 | 0.10 | 0.10 | 0.10 | 0.06 | 0.15 | - | 0.08 |
| NDF | - | - | 0.01 | - | 0.02 | - | 0.01 | 0.01 | - | - | 0.02 | - |
| NDM | 0.03 | 0.03 | 0.04 | 0.02 | 0.06 | 0.04 | - | - | - | - | 0.01 | - |
| NDG | 0.10 | 0.10 | 0.09 | 0.05 | 0.13 | 0.09 | - | - | - | - | - | - |
| Traits | Year | Con. | Parents | RILs | §Gê | PEV | |||
|---|---|---|---|---|---|---|---|---|---|
| IAPAR 81 | LP97-28 | Average | Interval | LRT (x2) | |||||
| Yield and Its Components | |||||||||
| Grain Yield (kg ha−1) | 2014 | NS | 3381.50 | 2048.17 | 2363.49 | 2020.68–3581.05 | 169.22 ** | ** | 31,674.07 |
| DS | 980.23 | 819.52 | 897.38 | 820.89–1068.32 | 45.05 ** | 5134.52 | |||
| 2015 | NS | 959.61 | 1207.77 | 993.92 | 744.72–1508.50 | 297.85 ** | ** | 3147.65 | |
| DS | 765.77 | 751.01 | 754.47 | 521.96–1621.87 | 319.35 ** | 2369.41 | |||
| Seed Yield per day (g m2) | 2014 | NS | 3.64 | 4.39 | 3.96 | 3.64–4.74 | 18.73 ** | ** | 0.079 |
| DS | 2.63 | 2.15 | 2.37 | 2.155–2.91 | 53.28 ** | 0.037 | |||
| 2015 | NS | 2.20 | 2.74 | 2.27 | 1.71–3.55 | ns | ** | 0.017 | |
| DS | 1.65 | 1.63 | 1.60 | 1.11–3.45 | ns | 0.013 | |||
| Number of pods per plant | 2014 | NS | 17.49 | 10.23 | 11.41 | 10.12–18.13 | 125.40 ** | ** | 0.613 |
| DS | 7.95 | 7.05 | 8.03 | 7.07–10.40 | 214.06 ** | 0.180 | |||
| 2015 | NS | 8.10 | 9.46 | 8.61 | 7.13–14.11 | 118.32 ** | ** | 0.464 | |
| DS | 7.44 | 8.88 | 7.23 | 5.59–12.67 | 179.12 ** | 0.323 | |||
| Number of seeds per pod | 2014 | NS | 5.58 | 5.59 | 5.60 | 5.53–5.76 | ns | ns | 0.020 |
| DS | 5.11 | 5.13 | 5.13 | 5.08–5.24 | ns | 0.019 | |||
| 2015 | NS | 5.10 | 5.11 | 5.00 | 4.91–5.17 | ns | * | 0.040 | |
| DS | 4.58 | 4.55 | 4.51 | 4.36–4.80 | ns | 0.075 | |||
| 100-seed weight (g) | 2014 | NS | 25.53 | 17.81 | 19.39 | 17.84–25.68 | 374.43 ** | ** | 0.268 |
| DS | 18.97 | 16.74 | 17.79 | 16.77–19.70 | 150.26 ** | 0.349 | |||
| 2015 | NS | 21.13 | 19.93 | 20.91 | 19.60–23.78 | 74.88 ** | ** | 0.736 | |
| DS | 20.45 | 19.17 | 20.28 | 18.97–22.68 | 46.98 ** | 1.110 | |||
| Plant height (Cm) | 2014 | NS | 56.39 | 55.42 | 56.00 | 54.28–59.87 | 26.98 ** | ** | 3.656 |
| DS | 49.80 | 50.13 | 50.23 | 49.31–52.11 | 8.26 ** | 2.371 | |||
| 2015 | NS | 51.75 | 49.87 | 50.49 | 48.71–53.47 | 10.51 ** | ** | 6.116 | |
| DS | 45.78 | 47.37 | 45.65 | 44.02–49.09 | 8.00 ** | 6.347 | |||
| Phenology | |||||||||
| Number of days for flowering | 2014 | NS | 48.02 | 48.87 | 48.15 | 47.59–48.15 | 92.33 ** | ** | 0.168 |
| DS | 48.02 | 48.03 | 48.21 | 47.92–49.02 | 34.46 ** | 0.130 | |||
| 2015 | NS | 48.89 | 9.22 | 49.00 | 48.80–49.24 | ns | ** | 0.241 | |
| DS | 48.71 | 48.77 | 48.64 | 48.39–48.89 | 5.87 * | 0.196 | |||
| Number of days to maturity | 2014 | NS | 79.00 | 80.98 | 79.67 | 78.93–80.90 | 37.3 ** | ** | 0.612 |
| DS | 76.70 | 78.11 | 77.67 | 76.25–80.01 | 141.25 ** | 0.641 | |||
| 2015 | NS | 87.95 | 89.31 | 88.22 | 87.23–91.16 | 11.10 ** | ** | 1.640 | |
| DS | 94.42 | 94.40 | 94.43 | 94.40–94.46 | ns | 0.153 | |||
| Number of days to grain filling | 2014 | NS | 31.36 | 32.17 | 31.72 | 31.33–32.45 | 10.03 ** | ** | 0.376 |
| DS | 28.84 | 29.74 | 29.39 | 28.29–31.51 | 73.86 ** | 0.620 | |||
| 2015 | NS | 39.28 | 39.27 | 39.04 | 38.41–41.01 | 3.87 * | ** | 1.307 | |
| DS | 46.03 | 46.01 | 46.05 | 46.01–46.09 | ns | 0.147 | |||
| Traits | GY | SYD | NP | SW | PH | NDF | NDM | NDG |
|---|---|---|---|---|---|---|---|---|
| GY | -0.07 ns | 0.00 ns | 0.05 ns | 0.07 ns | −0.04 ns | 0.00 ns | −0.01 ns | |
| SYD | 0.73 *** | 0.72 *** | 0.46 *** | 0.14 ns | −0.28 *** | −0.34 ** | −0.27 *** | |
| NP | 0.65 *** | 0.57 *** | 0.21 ** | 0.11 ns | −0.11 ns | −0.21 ** | −0.21 ** | |
| SW | 0.42 *** | 0.35 *** | 0.29 *** | 0.18 * | −0.25 ** | −0.21 ** | −0.13 ns | |
| PH | 0.09 ns | 0.08 ns | 0.02 ns | 0.14 ns | −0.07 ns | −0.04 ns | −0.01 ns | |
| NDF | −0.16 * | −0.15 * | −0.13 ns | −0.21 ** | 0.00 ns | 0.04 *** | 0.07 ns | |
| NDM | −0.01 ns | −0.07 ns | 0.03 ns | −0.20 * | 0.09 ns | 0.37 *** | 0.93 ** | |
| NDE | 0.08 ns | 0.04 ns | 0.05 ns | −0.10 ns | 0.08 ns | −0.14 ns | 0.84 *** |
| Chromosome | Number of SNP Markers | Chromosome Size | Average Distance between Markers |
|---|---|---|---|
| ––––––––––––––– cM –––––––––––––– | |||
| Pv01 | 43 | 117.4 | 2.73 |
| Pv02 | 195 | 101.4 | 0.52 |
| Pv03 | 61 | 84.1 | 1.38 |
| Pv04 | 23 | 13.1 | 0.57 |
| Pv05 | 31 | 71.1 | 2.29 |
| Pv06 | 84 | 95.3 | 1.13 |
| Pv07 | 72 | 91.3 | 1.27 |
| Pv08 | 132 | 66.4 | 0.50 |
| Pv09 | 49 | 61.3 | 1.25 |
| Pv10 | 60 | 66.6 | 1.11 |
| Pv11 | 23 | 47.8 | 2.07 |
| Total | 773 | 815.8 | |
| Average | 1.34 | ||
| § Traits/QTL | Year | Cond. * | Chr | Peak of QTL Position | QTL INTERVAL | Nearest SNP Marker | # LOD Score | LOD Threshold | ¥ Add | ¶ R2 |
|---|---|---|---|---|---|---|---|---|---|---|
| ––––––––cM–––––––––––– | % | |||||||||
| Grain yield | ||||||||||
| GY9IL | 2014 | NS | 9 | 59.1 | 46.7–59.9 | ss715640302 | 3.13 | 3.1 | −136.67 | 8.7 |
| Yield per day | ||||||||||
| SYD7L | 2014 | DS | 7 | 52.1 | 49.8–57.1 | ss715640487 | 3.83 | 0.61 | 12.1 | |
| SYD8IL | Combined | DS | 8 | 43.0 | 28.1–49.2 | ss715648231 | 3.53 | 2.99 | −0.56 | 9.0 |
| SYD9IL | 2014 | NS | 9 | 22.5 | 13.5–27.3 | ss715649357 | 3.17 | 0.34 | 8.3 | |
| 100-seed weight | ||||||||||
| SW7IL | 2014 | DS | 7 | 61.8 | 57.8–63.3 | ss715639385 | 7.3 | 2.99 | −0.61 | 15.4 |
| 2015 | NS | 7 | 61.0 | 50.6–64.1 | ss715647728 | 4.54 | −0.72 | 11.2 | ||
| 2015 | DS | 7 | 61.0 | 57.3–66.1 | ss715647728 | 3.13 | −0.61 | 6.9 | ||
| Combined | NS | 7 | 61.0 | 48.1–61.4 | ss715647728 | 4.25 | 3.33 | −0.54 | 10.2 | |
| Combined | DS | 7 | 61.0 | 58.0–61.4 | ss715647728 | 6.42 | −0.62 | 13.8 | ||
| SW8IL | 2014 | DS | 8 | 3.6 | 2.1–5.1 | ss715649604 | 9.44 | 4.67 | −0.73 | 20.6 |
| 2014 | DS | 8 | 6.4 | 5.1–9.5 | ss715648220 | 9.25 | 4.02 | −0.75 | 21.0 | |
| 2015 | NS | 8 | 5.1 | 0.6–5.4 | ss715648549 | 4.49 | 3.42 | −0.75 | 10.5 | |
| 2015 | NS | 8 | 7.1 | 5.4–11.9 | ss715648929 | 4.87 | 3.6 | −0.78 | 11.3 | |
| 2015 | DS | 8 | 4.4 | 1.9–5.1 | ss715648219 | 3.98 | −0.74 | 9.4 | ||
| 2015 | DS | 8 | 11.1 | 6.5–16.5 | ss715648929 | 6.33 | 3.92 | −0.97 | 16.6 | |
| Combined | NS | 8 | 2.0 | 0.0–3.6 | ss715650783 | 3.33 | −0.5 | 8.5 | ||
| Combined | NS | 8 | 7.1 | 5.4–12.1 | ss715648929 | 3.7 | −0.52 | 8.7 | ||
| Combined | NS | 8 | 0.0 | 0.0–1.6 | ss715648043 | 3.08 | −0.13 | 7.5 | ||
| Combined | DS | 8 | 4.4 | 2.7–5.1 | ss715648219 | 8.65 | 4.87 | −0.75 | 19.3 | |
| Combined | DS | 8 | 6.4 | 5.1–12.2 | ss715648220 | 8.96 | 4.67 | −0.78 | 20.5 | |
| Combined | DS | 8 | 15.3 | 14.3–16.4 | ss715649378 | 6.89 | −0.71 | 17.2 | ||
| Number of pods per plant | ||||||||||
| NP11IL | 2014 | DS | 11 | 38.6 | 31.1–41.4 | ss715647465 | 4.88 | 2.65 | 0.71 | 13.0 |
| 2015 | DS | 11 | 38.6 | 31.1–41.4 | ss715647465 | 4.88 | 0.71 | 13.0 | ||
| Plant height | ||||||||||
| PH1IL | 2014 | DS | 1 | 67.0 | 61.0–79.7 | ss715646868 | 3.15 | −1.48 | 8.9 | |
| 2015 | DS | 1 | 67.0 | 61.0–79.7 | ss715646868 | 3.15 | −1.48 | 8.9 | ||
| Combined | DS | 1 | 68.0 | 61.0–78.3 | ss715646868 | 4.34 | 2.93 | −1.02 | 11.2 | |
| PH2.1IL | Combined | NS | 2 | 19.4 | 18.5–29.8 | ss715640941 | 3.48 | −1.26 | 8.7 | |
| PH2.2IL | 2014 | DS | 2 | 96.7 | 93.8–98.8 | ss715646144 | 3.95 | 3.69 | −1.53 | 9.8 |
| 2014 | DS | 2 | 99.2 | 98.8–100.2 | ss715646929 | 3.51 | 3.24 | −1.46 | 8.8 | |
| 2015 | DS | 2 | 96.7 | 93.8–98.8 | ss715646144 | 3.95 | 3.6 | −1.53 | 9.8 | |
| 2015 | DS | 2 | 99.2 | 98.8–100.2 | ss715646929 | 3.51 | 3.24 | −1.46 | 8.8 | |
| Combined | NS | 2 | 98.1 | 90.4–100.2 | ss715645186 | 3.45 | −0.95 | 8.5 | ||
| Combined | DS | 2 | 96.7 | 94.9–98.8 | ss715646144 | 4.18 | 3.19 | −0.92 | 9.5 | |
| PH3IL | Combined | DS | 3 | 66.4 | 60.7–70.4 | ss715650580 | 4.32 | 4.54 | 0.95 | 9.5 |
| Number of days for flowering | ||||||||||
| NDF2IL | 2014 | NS | 2 | 39.7 | 29.0–42.8 | ss715648819 | 5.55 | 3.07 | 0.34 | 14.1 |
| 2014 | NS | 2 | 48.4 | 43.5–52.7 | ss715647526 | 4.26 | 3.17 | 0.3 | 10.2 | |
| Combined | NS | 2 | 28.8 | 22.9–35.8 | ss715647652 | 3.51 | 0.29 | 13.1 | ||
| NDF3IL | 2014 | NS | 3 | 48.4 | 42.4–50.5 | ss715647689 | 5.02 | −0.32 | 12.3 | |
| NDF10IL | Combined | DS | 10 | 0.0 | 0.0–7.0 | ss715639783 | 3.38 | 2.88 | 0.17 | 8.6 |
| Number of days to maturity | ||||||||||
| NDM7IL | 2014 | DS | 7 | 54.11 | 50.6–57.2 | ss715640487 | 3.74 | 0.66 | 12.1 | |
| 2015 | NS | 7 | 60.31 | 55–65.3 | ss715647734 | 4.86 | 3.38 | 0.96 | 12.5 | |
| 2015 | NS | 7 | 73.41 | 71.2–74.5 | ss715648553 | 3.86 | 0.87 | 10.3 | ||
| Combined | NS | 7 | 59.31 | 50.8–64.2 | ss715648619 | 4.73 | 3.34 | 0.53 | 13.2 | |
| Combined | DS | 7 | 61.81 | 60.3–65.9 | ss715639385 | 3.17 | 0.53 | 8.4 | ||
Publisher’s Note: MDPI stays neutral with regard to jurisdictional claims in published maps and institutional affiliations. |
© 2021 by the authors. Licensee MDPI, Basel, Switzerland. This article is an open access article distributed under the terms and conditions of the Creative Commons Attribution (CC BY) license (https://creativecommons.org/licenses/by/4.0/).
Share and Cite
Elias, J.C.F.; Gonçalves-Vidigal, M.C.; Vaz Bisneta, M.; Valentini, G.; Vidigal Filho, P.S.; Gilio, T.A.S.; Moda-Cirino, V.; Song, Q. Genetic Mapping for Agronomic Traits in IAPAR 81/LP97-28 Population of Common Bean (Phaseolus vulgaris L.) under Drought Conditions. Plants 2021, 10, 1568. https://doi.org/10.3390/plants10081568
Elias JCF, Gonçalves-Vidigal MC, Vaz Bisneta M, Valentini G, Vidigal Filho PS, Gilio TAS, Moda-Cirino V, Song Q. Genetic Mapping for Agronomic Traits in IAPAR 81/LP97-28 Population of Common Bean (Phaseolus vulgaris L.) under Drought Conditions. Plants. 2021; 10(8):1568. https://doi.org/10.3390/plants10081568
Chicago/Turabian StyleElias, Júlio César Ferreira, Maria Celeste Gonçalves-Vidigal, Mariana Vaz Bisneta, Giseli Valentini, Pedro Soares Vidigal Filho, Thiago Alexandre Santana Gilio, Vânia Moda-Cirino, and Qijian Song. 2021. "Genetic Mapping for Agronomic Traits in IAPAR 81/LP97-28 Population of Common Bean (Phaseolus vulgaris L.) under Drought Conditions" Plants 10, no. 8: 1568. https://doi.org/10.3390/plants10081568
APA StyleElias, J. C. F., Gonçalves-Vidigal, M. C., Vaz Bisneta, M., Valentini, G., Vidigal Filho, P. S., Gilio, T. A. S., Moda-Cirino, V., & Song, Q. (2021). Genetic Mapping for Agronomic Traits in IAPAR 81/LP97-28 Population of Common Bean (Phaseolus vulgaris L.) under Drought Conditions. Plants, 10(8), 1568. https://doi.org/10.3390/plants10081568
