Chemical Composition and Antimicrobial Properties of Mentha × piperita cv. ‘Kristinka’ Essential Oil
Abstract
:1. Introduction
2. Results
2.1. Identification of M. piperita EO Components
2.2. Antibacterial Activity
2.3. Antifungal Activity
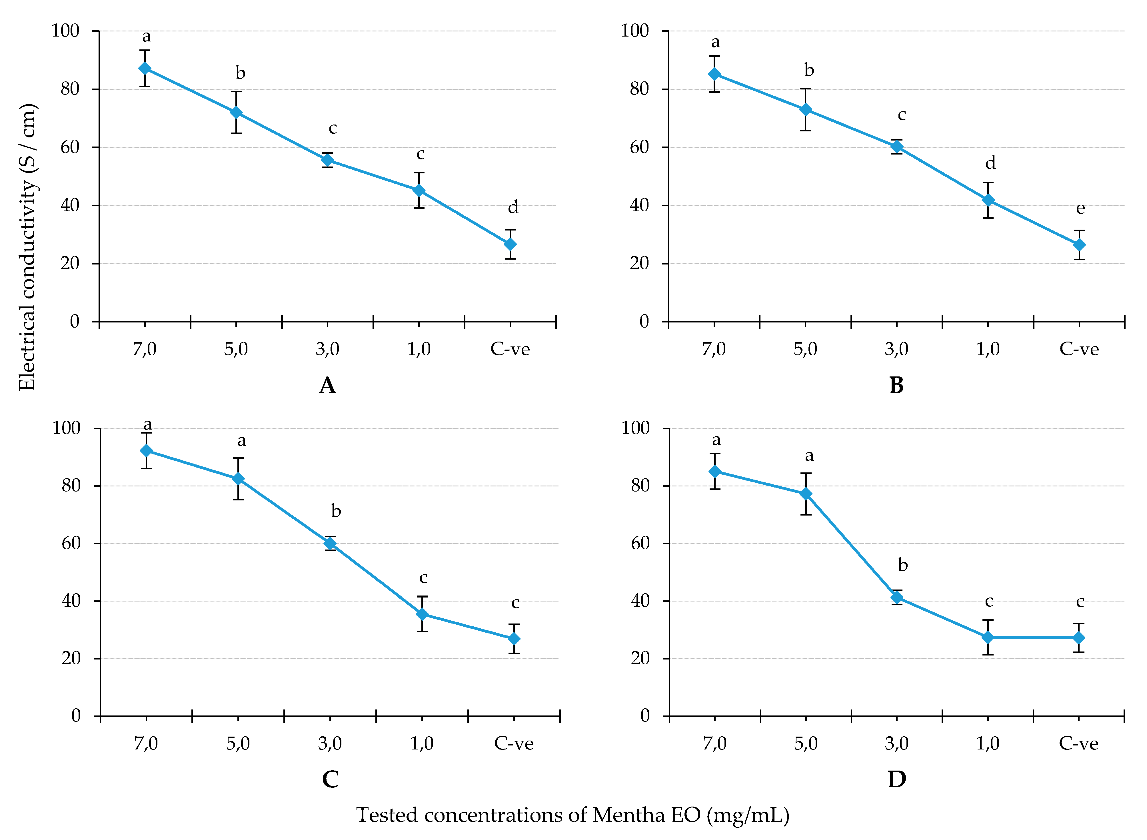
2.4. Fungal Cell Membrane Permeability Assay
2.5. Fungicidal Microdilution Broth Assay (96-Microplate)
3. Discussion
4. Materials and Methods
4.1. Plant Materials and Extraction of Essential Oil
4.2. Gas Chromatography-Mass Spectrometry Analysis
4.3. Preliminary Screening of Antimicrobial Activity
4.3.1. Tested Bacterial and Fungal Isolates
4.3.2. Antibacterial Activity
4.3.3. Antifungal Activity
4.4. Cell Membrane Permeability
4.5. Fungicidal Microdilution Broth Assay
4.6. Statistical Analysis
5. Conclusions
Author Contributions
Funding
Institutional Review Board Statement
Informed Consent Statement
Data Availability Statement
Conflicts of Interest
References
- Selvam, S.P.; Dharini, S.; Puffy, S. Antifungal activity and chemical composition of thyme, peppermint and citronella oils in vapour phase against avocado and peach postharvest pathogens. J. Food Saf. 2013, 33, 86–93. [Google Scholar]
- Plavšić, D.V.; Škrinjar, M.M.; Psodorov, Đ.B.; Pezo, L.L.; Milovanović, I.L.J.; Psodorov, D.Đ.; Kojić, P.S.; Kocić, T.D. Chemical structure and antifungal activity of mint essential oil components. J. Serb. Chem. Soc. 2020, 85, 1149–1161. [Google Scholar] [CrossRef] [Green Version]
- Ippolito, A.; Schena, L.; Pentimone, I.; Nigro, F. Control of postharvest rots of sweet cherries by pre and postharvest applications of Aureobasidium pullulans in combination with calcium chloride or sodium bicarbonate. Postharvest Biol. Technol. 2005, 36, 245–252. [Google Scholar] [CrossRef]
- Bautista-Baños, S.; Hernandez-Lauzardo, A.N.; Velázquez-Del Valle, M.G.; Hernandez-Lopez, M.; Ait-Barka, E.; Bosquez-Molina, E.; Wilson, C.L. Chitosan as a potential natural compound to control pre and postharvest diseases of horticultural commodities. Crop Prot. 2006, 25, 108–118. [Google Scholar] [CrossRef]
- Hsouna, A.B.; Touj, N.; Hammami, I.; Dridi, K.; Al-Ayed, A.S.; Hamdi, N. Chemical composition and in vivo efficacy of the essential oil of Mentha piperita L. in the suppression of crown gall disease on tomato plants. J. Oleo Sci. 2019, 68, 419–426. [Google Scholar] [CrossRef]
- Pedrotti, C.; da Silva Ribeiro, R.T.; Schwambach, J. Control of postharvest fungal rots in grapes through the use of Baccharis trimera and Baccharis dracunculifolia essential oils. Crop Prot. 2019, 125, 1–7. [Google Scholar] [CrossRef]
- Filho, J.G.; Silva, G.; de Aguiar, A.C.; Cipriano, L.; de Azeredo, H.M.C.; Junior, S.B.; Ferreira, M.D. Chemical composition and antifungal activity of essential oils and their combinations against Botrytis cinerea in strawberries. J. Food Meas. Charact. 2021, 15, 1815–1825. [Google Scholar] [CrossRef]
- Tomazoni, E.Z.; Pauletti, G.F.; da Silvaibeiro, R.T.; Moura, S.; Schwambach, J. In vitro and in vivo activity of essential oils extracted from Eucalyptus staigeriana, Eucalyptus globulus and Cinnamomum camphora against Alternaria solani Sorauer causing early blight in tomato. Sci. Hortic. 2017, 223, 72–77. [Google Scholar] [CrossRef]
- Gruľová, D.; Caputo, L.; Elshafie, H.S.; Baranová, B.; De Martino, L.; Sedlák, V.; Camele, I.; De Feo, V. Thymol chemotype Origanum vulgare L. essential oil as a potential selective bio-based herbicide on monocot plant species. Molecules 2020, 25, 595. [Google Scholar] [CrossRef] [PubMed] [Green Version]
- Raymond, H.; Atkins, S.; Budantsev, A.; Cantino, P.; Conn, B.; Grayer, R. The Families and Genera of Vascular Plants, Lamiales. In The Families and Genera of Vascular Plants; Kadereit, J.W., Ed.; Springer: Berlin/Heidelberg, Germany, 2004; Volume VII, pp. 9–38. [Google Scholar]
- Jirovetz, L.; Buchbauer, G.; Bail, S.; Denkova, Z.; Slavchev, A.; Stoyanova, A.; Schmidt, E.; Geissler, M. Antimicrobial activities of essential oils of mint and peppermint as well as some of their main compounds. J. Essen. Oil Res. 2009, 21, 363–366. [Google Scholar] [CrossRef]
- The Wealth of India: A Dictionary of Indian Raw Materials and Industrial Products; Raw Material Series; CSIR: New Delhi, India, 1962; Volume VI, pp. 342–343.
- Alammar, N.; Wang, L.; Saberi, B.; Nanavati, J.; Holtmann, G.; Shinohara, R.T.; Mullin, G.E. The impact of peppermint oil on the irritable bowel syndrome: A meta-analysis of the pooled clinical data. BMC Compl. Altern. Med. 2019, 19, 21. [Google Scholar] [CrossRef]
- Briggs, C. Peppermint: Medicinal herb and flavouring agent. Can. Pharm. J. 1993, 126, 89–92. [Google Scholar]
- Beigi, M.; Torki-Harchegani, M.; Pirbalouti, A.G. Quantity and chemical composition of essential oil of peppermint (Mentha × piperita L.) leaves under different drying methods. Int. J. Food Prop. 2018, 21, 267–276. [Google Scholar] [CrossRef] [Green Version]
- Singh, P.; Pandey, A.K. Prospective of essential oils of the genus mentha as biopesticides: A review. Front. Plant Sci. 2018, 9, 1295. [Google Scholar] [CrossRef]
- Figueiredo, A.C.; Barroso, J.G.; Pedro, L.G.; Scheffer, J.C. Factors affecting secondary metabolite production in plants: Volatile components and essential oils. Flavour Fragr. J. 2008, 23, 213–226. [Google Scholar] [CrossRef]
- Kamatou, G.P.P.; Vermaak, I.; Viljoen, A.M.; Lawrence, B.M. Menthol: A simple monoterpene with remarkable biological properties. Phytochemistry 2013, 96, 15–25. [Google Scholar] [CrossRef]
- Mishra, R.C.; Krumar, J. Evaluation of Mentha piperita L. oil as a fumigant against red flour beetle, Tribolium castaneum (Herbst). Indian Perfum. 1983, 27, 73–76. [Google Scholar]
- Fejér, J.; Gruľová, D.; De Feo, V.; Ürgeová, E.; Obert, B.; Preťová, A. Mentha × piperita L. nodal segments cultures and their essential oil production. Indust. Crops Prod. 2018, 112, 550–555. [Google Scholar] [CrossRef]
- Elshafie, H.S.; Caputo, L.; De Martino, L.; Gruľová, D.; Zheljazkov, V.D.; De Feo, V.; Camele, I. Biological investigations of essential oils extracted from three Juniperus species and evaluation of their antimicrobial, antioxidant and cytotoxic activities. J. Appl. Microbiol. 2020, 129, 1261–1271. [Google Scholar] [CrossRef] [PubMed]
- Elshafie, H.S.; Gruľová, D.; Baranová, B.; Caputo, L.; De Martino, L.; Sedlák, V.; Camele, I.; De Feo, V. Antimicrobial activity and chemical composition of essential oil extracted from Solidago canadensis L. growing wild in Slovakia. Molecules 2019, 24, 1206. [Google Scholar] [CrossRef] [Green Version]
- Arikan, S. Current status of antifungal susceptibility testing methods. Med. Mycol. 2007, 45, 569–587. [Google Scholar] [CrossRef] [Green Version]
- Jozef, F.; Gruľová, D.; De Feo, V. Biomass production and essential oil in a new bred cultivar of peppermint (Mentha × piperita L.). Indus. Crop. Prod. 2017, 109, 812–817. [Google Scholar]
- Grulová, D.; De Martino, L.; Mancini, E.; Salamon, I.; De Feo, V. Seasonal variability of the main components in essential oil of Mentha × piperita L. J. Sci. Food Agric. 2015, 95, 621–627. [Google Scholar] [CrossRef]
- Fejér, J.; Gruľová, D.; Eliašová, A.; Kron, I.; De Feo, V. Influence of environmental factors on content and composition of essential oil from common juniper ripe berry cones (Juniperus communis L.). Plant Biosys. 2018, 152, 1227–1235. [Google Scholar] [CrossRef]
- Singh, R.; Shushni, M.A.; Belkheir, A. Antibacterial and antioxidant activities of Mentha piperita L. Arab. J. Chem. 2015, 8, 322–328. [Google Scholar] [CrossRef] [Green Version]
- Clark, R.K.; Menory, R.C. Environmental effects or peppermint (Mentha piperita). Aust. J. Plant Physiol. 1980, 7, 685–692. [Google Scholar]
- Nagarjuna, R.D.; Jabbar, A.A.; Mukul, S.; Mary, M.; Ramachandra, R.G.; Mohammed, A. Chemical constituents, in vitro antibacterial and antifungal activity of Mentha Piperita L. (peppermint) essential oils. J. King Saud Uni. Sci. 2019, 31, 528–533. [Google Scholar]
- Burt, S. Essential oils: Their antibacterial properties and potential applications in foods—A review. Int. J. Food Microbiol. 2004, 94, 223–253. [Google Scholar] [CrossRef]
- Nerio, L.S.; Olivero-Verbel, J.; Stashenko, E. Repellent activity of essential oils: A review. Bioresour. Technol. 2010, 101, 372–378. [Google Scholar] [CrossRef] [PubMed]
- Tsao, R.; Zhou, T. Antifungal activity of monoterpenoids against postharvest pathogens Botrytis cinerea and Monilinia fructicola. J. Essen. Oil Res. 2000, 12, 113–121. [Google Scholar] [CrossRef]
- Dambolena, J.S.; Lopez, A.G.; Rubinstein, H.R.; Zygadlo, J.A. Effects of menthol stereoisomers on the growth, sporulation and fumonisin B1 production of Fusarium verticillioides. Food Chem. 2010, 123, 165–170. [Google Scholar] [CrossRef]
- Tyagi, A.K.; Gottardi, D.; Malik, A.; Guerzoni, M.E. Anti-yeast activity of mentha oil and vapours through in vitro and in vivo (real fruit juices) assays. Food Chem. 2013, 137, 108–114. [Google Scholar] [CrossRef]
- Afridi, M.S.; Ali, J.; Abbas, S.; Rehman, S.U.; Khan, F.A.; Khan, M.A.; Shahid, M. Essential oil composition of Mentha piperita L. and its antimicrobial effects against common human pathogenic bacterial and fungal strains. Pharmacol. Online 2016, 3, 90–97. [Google Scholar]
- Elshafie, H.S.; Ghanney, N.; Mang, S.M.; Ferchichi, A.; Camele, I. An in vitro attempt for controlling severe phyto and human pathogens using essential oils from Mediterranean plants of genus Schinus. J. Med. Food 2016, 19, 266–273. [Google Scholar] [CrossRef] [PubMed]
- Elshafie, H.S.; Camele, I. An overview of the biological effects of some Mediterranean essential oils on human health. BioMed Res. Int. 2017, 2017, 1–14. [Google Scholar] [CrossRef]
- Ultee, A.; Bennik, M.; Moezelaar, R. The phenolic hydroxyl group of carvacrol is essential for action against the food-borne pathogen Bacillus cereus. Appl. Environ. Microbiol. 2002, 68, 1561–1568. [Google Scholar] [CrossRef] [PubMed] [Green Version]
- Adams, R.P. Identification of Essential Oil Components by Gas Chromatography/Mass Spectroscopy, 4th ed.; Allured Publishing Corporation: Carol Stream, IL, USA, 2007. [Google Scholar]
- Bhunia, A.; Johnson, M.C.; Ray, B. Purification, characterization and antimicrobial spectrum of a bacteriocin produced by Pediococcus acidilactici. J. Appl. Bacteriol. 1988, 65, 261–268. [Google Scholar] [CrossRef]
- Elshafie, H.S.; Sakr, S.H.; Sadeek, S.A.; Camele, I. Biological investigations and spectroscopic studies of new Moxifloxacin/Glycine-Metal complexes. Chem. Biodiver. 2019, 16, e1800633. [Google Scholar] [CrossRef]
- King, E.O.; Ward, M.K.; Raney, D.E. Two simple media for the demonstration of pyocyanin and fluorescin. J. Lab. Clin. Med. 1954, 44, 301–307. [Google Scholar]
- Sofo, A.; Elshafie, H.S.; Scopa, A.; Mang, S.M.; Camele, I. Impact of airborne zinc pollution on the antimicrobial activity of olive oil and the microbial metabolic profiles of Zn-contaminated soils in an Italian olive orchard. J. Trace Elem. Med. Biol. 2018, 49, 276–284. [Google Scholar] [CrossRef]
- Elshafie, H.S.; Camele, I.; Sofo, A.; Mazzone, G.; Caivano, M.; Masi, S.; Caniani, D. Mycoremediation effect of Trichoderma harzianum strain T22 combined with ozonation in diesel-contaminated sand. Chemosphere 2020, 252, 126597. [Google Scholar] [CrossRef]
- Elshafie, H.S.; Mancini, E.; Sakr, S.; De Martino, L.; Mattia, C.A.; De Feo, V.; Camele, I. In vivo antifungal activity of two essential oils from Mediterranean plants against postharvest brown rot disease of peach fruit. J. Med. Food 2015, 18, 929–934. [Google Scholar] [CrossRef] [PubMed]
- Elshafie, H.S.; Sakr, S.; Mang, S.M.; De Feo, V.; Camele, I. Antimicrobial activity and chemical composition of three essential oils extracted from Mediterranean aromatic plants. J. Med. Food 2016, 19, 1096–1103. [Google Scholar] [CrossRef] [PubMed]
- Zygadlo, J.A.; Guzmán, C.A.; Grosso, N.R. Antifungal properties of the leaf oils of Tagetes minuta L. and T. filifolia Lag. J. Essent. Oil Res. 1994, 6, 617–621. [Google Scholar] [CrossRef]
- Sakr, S.H.; Elshafie, H.S.; Camele, I.; Sadeek, S.A. Synthesis, spectroscopic, and biological studies of mixed ligand complexes of gemifloxacin and glycine with Zn(II), Sn(II), and Ce(III). Molecules 2018, 23, 1182. [Google Scholar] [CrossRef] [Green Version]



| Components | Mentha × piperita cv. ‘Kristinka’ | ||||
|---|---|---|---|---|---|
| Ki Exp | Ki Lit. | % | Formula | Chem. Group | |
| α-Pinene | 935 | 936 | 0.47 ± 0.01 | C10H16 | MH |
| β-Pinene | 976 | 978 | 0.45 ± 0.01 | C10H16 | MH |
| Limonene | 1025 | 1025 | 4.32 ± 0.03 | C10H16 | MH |
| cis-β-Ocimene | 1028 | 1029 | 0.02 ± 0.00 | C10H16 | MH |
| Menthone | 1146 | 1136 | 14.49 ± 0.01 | C10H18O | OM |
| Menthol | 1174 | 1172 | 70.08 ± 0.05 | C10H20O | OM |
| α-Terpineol | 1177 | 1176 | 0.18 ± 0.00 | C10H18O | OM |
| Carvone | 1210 | 1214 | 0.01 ± 0.00 | C10H14O | OM |
| Piperitone | 1223 | 1226 | 0.60 ± 0.02 | C10H16O | OM |
| Isopulegol acetate | 1271 | 1263 | 0.01 ± 0.00 | C12H20O2 | OM |
| Menthyl acetate | 1278 | 1280 | 3.76 ± 0.01 | C12H22O2 | OM |
| α-Cubebene | 1354 | 1355 | 0.01 ± 0.00 | C15H24 | SH |
| Clovene | 1365 | 1365 | 0.03 ± 0.00 | C15H24 | SH |
| Isoledene | 1370 | 1382 | 0.01 ± 0.00 | C15H24 | SH |
| β-Bourbonene | 1386 | 1378 | 0.07 ± 0.01 | C15H24 | SH |
| β-Elemene | 1389 | 1389 | 0.03 ± 0.00 | C15H24 | SH |
| β-Cubebene | 1390 | 1390 | 0.17 ± 0.02 | C15H24 | SH |
| Longifolene | 1404 | 1411 | 0.04 ± 0.00 | C15H24 | SH |
| α-Gurjunene | 1410 | 1413 | 0.20 ± 0.01 | C15H24 | SH |
| (Z)-β-Farnesene | 1420 | 1420 | 0.50 ± 0.00 | C15H24 | SH |
| β-Caryophyllene | 1421 | 1421 | 2.96 ± 0.04 | C15H24 | SH |
| Aristolene | 1422 | 1423 | 0.02 ± 0.00 | C15H24 | SH |
| Aromadendrene | 1435 | 1443 | 0.01 ± 0.00 | C15H24 | SH |
| α-Humulene | 1448 | 1455 | 0.07 ± 0.00 | C15H24 | SH |
| Allo-Aromadendrene | 1460 | 1462 | 0.20 ± 0.01 | C15H24 | SH |
| γ-Gurjunene | 1472 | 1472 | 0.14 ± 0.01 | C15H24 | SH |
| β-Chamigrene | 1474 | 1474 | 0.03 ± 0.00 | C15H24 | SH |
| γ-Muurolene | 1475 | 1474 | 0.01 ± 0.00 | C15H24 | SH |
| α-Amorphene | 1477 | 1477 | 0.03 ± 0.00 | C15H24 | SH |
| Germacrene D | 1479 | 1479 | 0.03 ± 0.00 | C15H24 | SH |
| Ledene | 1489 | 1491 | 0.53 ± 0.02 | C15H24 | SH |
| Valencene | 1493 | 1494 | 0.06 ± 0.00 | C15H24 | SH |
| α-Muurolene | 1496 | 1496 | 0.06 ± 0.01 | C15H24 | SH |
| γ-Cadinene | 1507 | 1507 | 0.09 ± 0.01 | C15H24 | SH |
| δ-Cadinene | 1520 | 1520 | 0.16 ± 0.02 | C15H24 | SH |
| Spathulenol | 1565 | 1572 | 0.03 ± 0.00 | C15H24O | OS |
| Total | 99.88 | ||||
| Tested EOs | Diameter of Inhibition Zones (mm) | ||||
|---|---|---|---|---|---|
| Conc. | X. campestris | C. michiganensis | P. syr. pv. phaseolicola | P. savastanoi | |
| Peppermint EO | 10 mg/mL | 0.0 ± 0.0 b | 27.5 ± 2.8 b | 39.5 ± 0.5 a | 09.0 ± 1.2 b |
| 1 mg/mL | 0.0 ± 0.0 b | 17.0 ± 2.3 c | 26.5 ± 1.6 b | 0.0 ± 0.0 c | |
| 0.1 mg/mL | 0.0 ± 0.0 b | 09.0 ± 1.1 d | 19.5 ± 0.6 c | 0.0 ± 0.0 c | |
| Tetracycline (1.6 mg/mL) | 23.5 ± 1.70 a | 39.5 ± 0.6 a | 40.0 ± 1.6 a | 37.0 ± 2.2 a | |
| Tested Concentrations (mg/mL) | Mycelium Growth Percentage (MGP) | |||
|---|---|---|---|---|
| M. fructicola | B. cinerea | A. niger | P. expansum | |
| M. piperita 7.0 | 33.3 ± 4.0 d | 31.6 ± 6.0 d | 35.1 ± 4.1 d | 18.6 ± 3.0 c |
| M. piperita 5.0 | 47.8 ± 4.0 c | 42.8 ± 2.4 bc | 71.3 ± 3.4 c * | 48.6 ± 4.0 b |
| M. piperita 3.0 | 60.5 ± 6.0 c * | 48.9 ± 0.6 bc | 74.3 ± 0.5 ab | 50.1 ± 3.0 b |
| M. piperita 1.0 | 77.8 ± 4.1 ab | 66.1 ± 5.9 b * | 78.6 ± 1.9 ab | 52.4 ± 0.5 b * |
| C-ve: PDB + F | 100.0 ± 0.0 a | 100.0 ± 0.0 a | 100.0 ± 0.0 a | 100.0 ± 0.0 a |
| Principal Single Components | ||||
| Menthol 1.6 | 40.0 ± 5.6 c | 41.7 ± 4.3 d | 58.1 ± 6.2 c | 51.9 ± 7.4 cd |
| Menthol 0.8 | 50.5 ± 6.6 c | 66.1 ± 5.7 c * | 60.0 ± 5.8 c | 52.8 ± 7.3 cd |
| Menthol 0.4 | 60.1 ± 4.3 b | 78.2 ± 1.3 ab | 62.1 ± 4.4 c | 66.4 ± 5.0 c |
| Menthol 0.2 | 65.0 ± 5.0 b * | 78.7 ± 3.3 ab | 71.2 ± 3.8 b * | 76.7 ± 5.3 b * |
| Menthol 0.1 | 69.1 ± 2.9 ab | 81.4 ± 6.3 ab | 93.8 ± 3.5 a | 85.2 ± 4.2 ab |
| Menthone 1.6 | 29.2 ± 4.4 d | 42.9 ± 2.0 d | 45.1 ± 3.0 d | 33.6 ± 3.3 d |
| Menthone 0.8 | 55.8 ± 4.0 c | 66.0 ± 3.7 c | 63.5 ± 4.5 c | 60.6 ± 6.7 c |
| Menthone 0.4 | 64.2 ± 6.2 b * | 70.4 ± 3.4 b * | 71.3 ± 3.3 b | 68.9 ± 5.8 b * |
| Menthone 0.2 | 69.6 ± 2.2 ab | 89.2 ± 4.7 a | 76.6 ± 4.2 b | 79.2 ± 4.3 ab |
| Menthone 0.1 | 75.7 ± 1.5 ab | 97.1 ± 0.6 a | 77.0 ± 4.2 b * | 83.2 ± 2.3 ab |
| C-ve: PDB + F | 100.0 ± 0.0 a | 100.0 ± 0.0 a | 100.0 ± 0.0 a | 100.0 ± 0.0 a |
| MFC (mg/mL) | ||||
|---|---|---|---|---|
| M. fructicola | B. cinerea | A. niger | P. expansum | |
| M. piperita EO | 4.78 | 2.91 | 5.40 | 4.98 |
| Menthol | 0.85 | 1.40 | 1.45 | 1.21 |
| Menthone | 1.31 | 1.37 | 1.90 | 1.69 |
Publisher’s Note: MDPI stays neutral with regard to jurisdictional claims in published maps and institutional affiliations. |
© 2021 by the authors. Licensee MDPI, Basel, Switzerland. This article is an open access article distributed under the terms and conditions of the Creative Commons Attribution (CC BY) license (https://creativecommons.org/licenses/by/4.0/).
Share and Cite
Camele, I.; Gruľová, D.; Elshafie, H.S. Chemical Composition and Antimicrobial Properties of Mentha × piperita cv. ‘Kristinka’ Essential Oil. Plants 2021, 10, 1567. https://doi.org/10.3390/plants10081567
Camele I, Gruľová D, Elshafie HS. Chemical Composition and Antimicrobial Properties of Mentha × piperita cv. ‘Kristinka’ Essential Oil. Plants. 2021; 10(8):1567. https://doi.org/10.3390/plants10081567
Chicago/Turabian StyleCamele, Ippolito, Daniela Gruľová, and Hazem S. Elshafie. 2021. "Chemical Composition and Antimicrobial Properties of Mentha × piperita cv. ‘Kristinka’ Essential Oil" Plants 10, no. 8: 1567. https://doi.org/10.3390/plants10081567
APA StyleCamele, I., Gruľová, D., & Elshafie, H. S. (2021). Chemical Composition and Antimicrobial Properties of Mentha × piperita cv. ‘Kristinka’ Essential Oil. Plants, 10(8), 1567. https://doi.org/10.3390/plants10081567

