Ethylene Supplementation Combined with Split Application of Nitrogen and Sulfur Protects Salt-Inhibited Photosynthesis through Optimization of Proline Metabolism and Antioxidant System in Mustard (Brassica juncea L.)
Abstract
1. Introduction
2. Materials and Methods
2.1. Plant Materials, Growth Environments, and Treatments
2.2. Oxidative Stress
H2O2 Concentration and Lipid Peroxidation
2.3. Histochemical Staining
2.4. Nitrogen Assimilation
Activity of Nitrate Reductase and Nitrogen Concentration
2.5. Sulfur Assimilation
2.5.1. ATP-sulfphurylase Activity and Sulfur Concentration
2.5.2. Cysteine Concentration
2.5.3. Glutathione Concentration and Redox State
2.6. Activities ofAntioxidant Enzymes
2.7. Proline Metabolism
2.7.1. Estimation of Proline Concentration
2.7.2. Determination of Glutamyl Kinase and Proline Oxidase Activities
2.8. Ethylene Metabolism
2.8.1. ACS Activity
2.8.2. Ethylene
2.9. Photosynthetic and Growth Characteristics
2.10. Electron Microscopy
Scanning Electron Microscopy
2.11. Statistical Analysis
3. Results
3.1. Impact of Combined N and S Treatment with Ethephon Supplementation on Photosynthetic and Growth Characteristics under Salt Stress
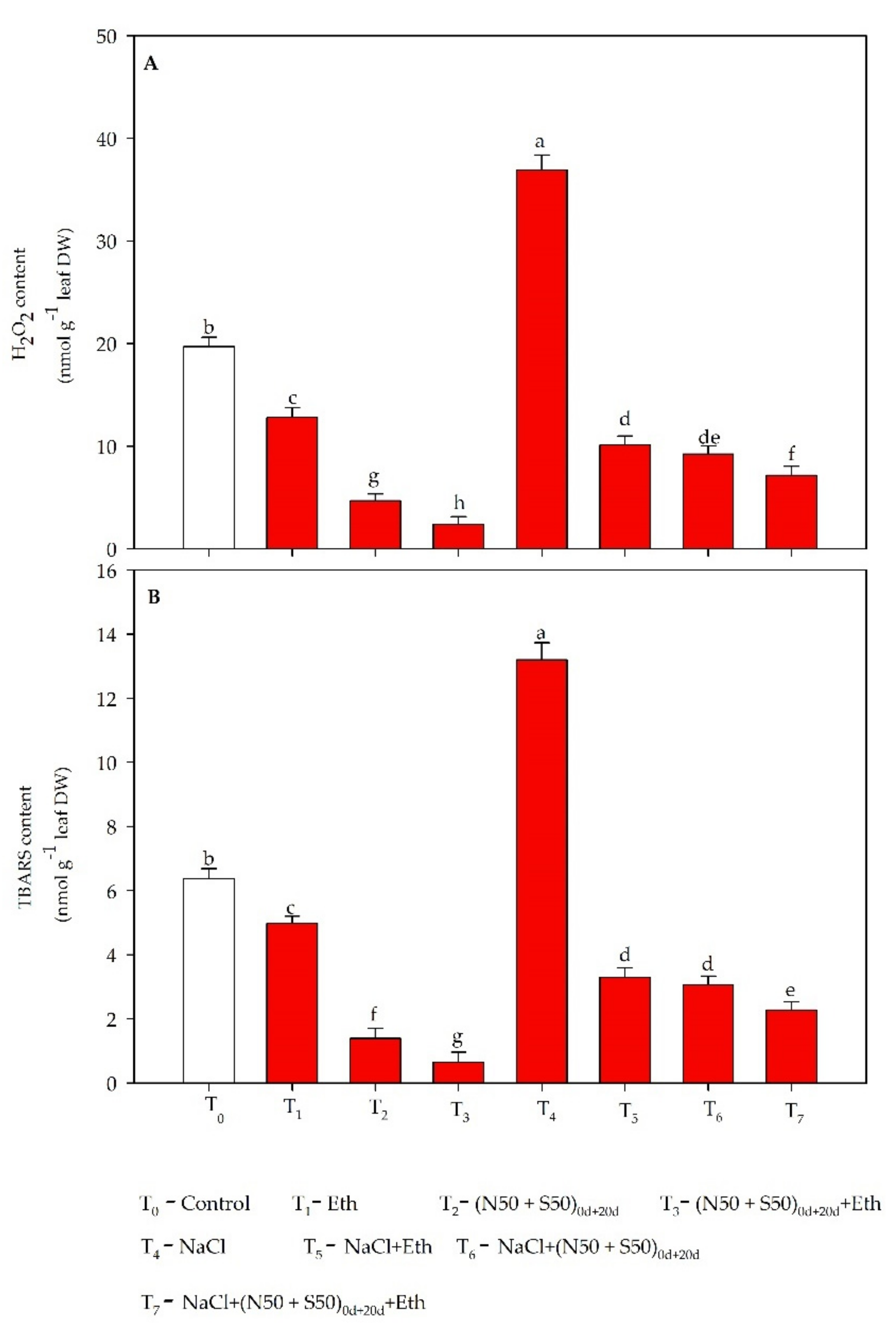
3.2. Oxidative Stress
3.3. ROS Accumulation
3.4. Antioxidant Enzymes and Salt Tolerance
3.5. Nitrogen and SulfurAssimilation
3.6. Proline Metabolism under Salt Stress
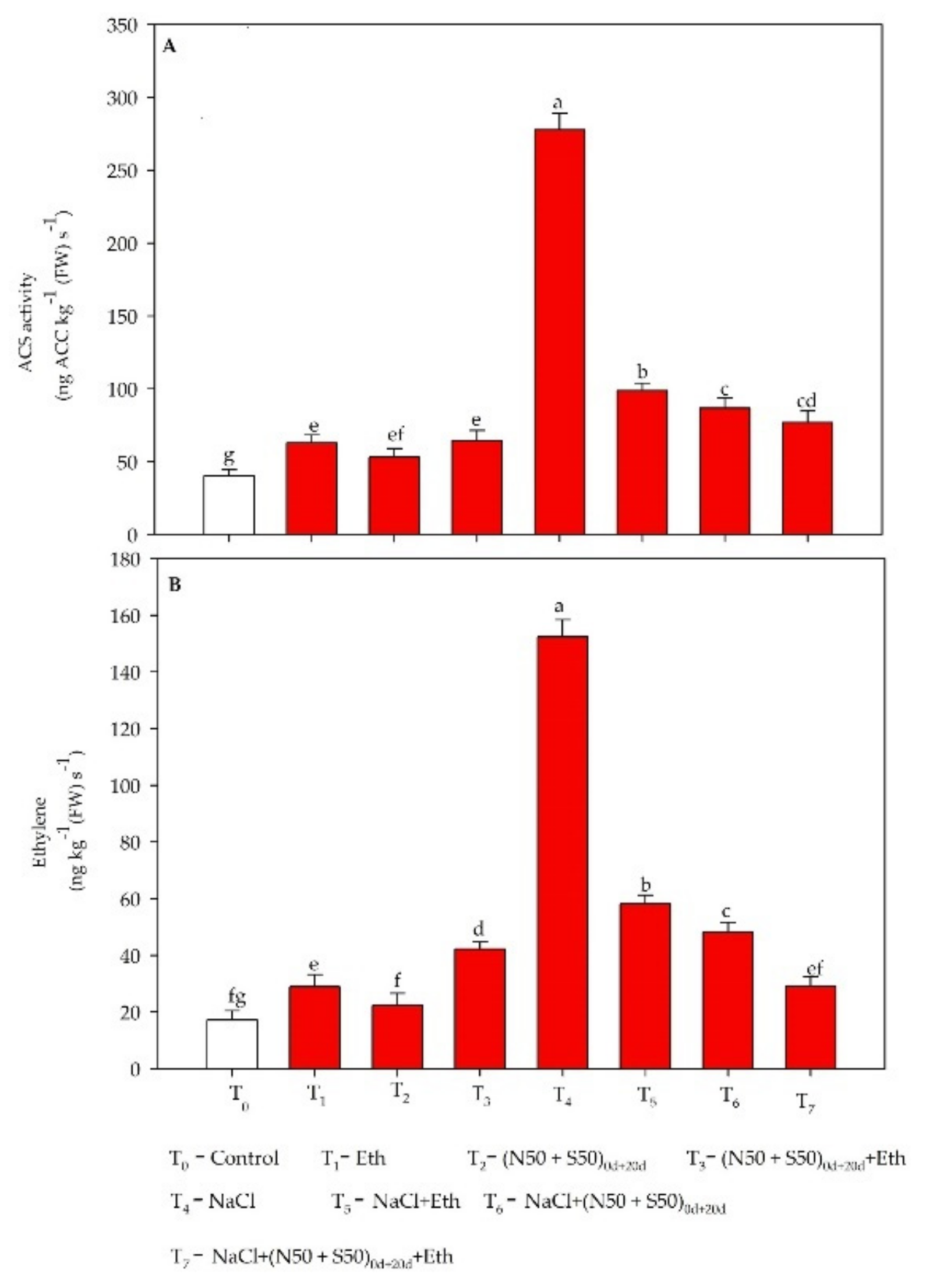
3.7. Ethylene Biosynthesis under Salt Stress
3.8. Stomatal Behavior under Salt Stress
4. Discussion
4.1. Ethephon Plus N and S Mediated Oxidative Stress and Activity of Antioxidant System under Salt Stress
4.2. Nitrogen- and Sulfur-Induced Increase in N and S -Assimilation, Proline and GSH Concentration Enhanced Further with Ethylene
4.3. Influence of Eth with Supplementation of N and S on Ethylene Biosynthesis
4.4. Ethylene Supplementation with N and S Improved Photosynthetic and Growth Performance under Salt Stress
4.5. Ethylene with N and S Modulated Stomatal Behavior under Salt Stress
5. Conclusions
Supplementary Materials
Author Contributions
Funding
Data Availability Statement
Conflicts of Interest
References
- Kim, H.S.; Kwak, S.S. Crop biotechnology for sustainable agriculture in the face of climate crisis. Plant Biotechnol. Rep. 2020, 14, 139–142. [Google Scholar]
- Acosta-Motos, J.R.; Penella, C.; Hernández, J.A.; Díaz-Vivancos, P.; Sánchez-Blanco, M.J.; Navarro, J.M.; Barba-Espín, G. Towards a sustainable agriculture: Strategies involving phytoprotectants against salt stress. Agronomy 2020, 10, 194. [Google Scholar] [CrossRef]
- Gelaye, K.K.; Zehetner, F.; Loiskandl, W.; Klik, A. Comparison of growth of annual crops used for salinity bioremediation in the semi-arid irrigation area. Plant Soil Environ. 2019, 65, 165–171. [Google Scholar] [CrossRef]
- Sofy, M.R.; Elhindi, K.M.; Farouk, S.; Alotaibi, M.A. Zinc and paclobutrazol mediated regulation of growth, upregulating antioxidant aptitude and plant productivity of pea plants under salinity. Plants 2020, 9, 1197. [Google Scholar]
- Jahan, B.; AlAjmi, M.F.; Rehman, M.T.; Khan, N.A. Treatment of nitric oxide supplemented with nitrogen and sulfur regulates photosynthetic performance and stomatal behavior in mustard under salt stress. Physiol. Plant 2020, 168, 490–510. [Google Scholar]
- Khanna, R.R.; Jahan, B.; Iqbal, N.; Khan, N.A.; AlAjmi, M.F.; Rehman, M.T.; Khan, M.I.R. GABA reverses salt-inhibited photosynthetic and growth responses through its influence on NO-mediated nitrogen-sulfur assimilation and antioxidant system in wheat. J. Biotechnol. 2021, 325, 73–82. [Google Scholar] [CrossRef] [PubMed]
- Guo, H.; Chen, H.; Hong, C.; Jiang, D.; Zheng, B. Exogenous malic acid alleviates cadmium toxicity in Miscanthus sacchariflorusthrough enhancing photosynthetic capacity and restraining ROS accumulation. Ecotoxicol. Environ. Saf. 2017, 141, 119–128. [Google Scholar]
- Rattan, A.; Kapoor, D.; Kapoor, N.; Bhardwaj, R.; Sharma, A. Brassinosteroids regulate functional components of antioxidative defense system in salt stressed maize seedlings. J. Plant Growth Regul. 2020, 39, 1465–1475. [Google Scholar] [CrossRef]
- İbrahimova, U.; Kumari, P.; Yadav, S.; Rastogi, A.; Antala, M.; Suleymanova, Z.; Zivcak, M.; Tahjib-Ul-Arif, M.; Husain, S.; Abdelhamid, M.; et al. Progress in understanding salt stress response in plants using biotechnological tools. J. Biotechnol. 2021, 329, 180–191. [Google Scholar] [CrossRef]
- Giannakoula, A.; Therios, I.; Chatzissavvidis, C. Effect of lead and copper on photosynthetic apparatus in citrus (Citrus aurantium L.) plants. The role of antioxidants in oxidative damage as a response to heavy metal stress. Plants 2021, 10, 155. [Google Scholar] [CrossRef]
- Khan, M.I.R.; Jahan, B.; Alajmi, M.F.; Rehman, M.T.; Khan, N.A. Exogenously-sourced ethylene modulates defense mechanisms and promotes tolerance to zinc stress in mustard (Brassica juncea L.). Plants 2019, 8, 540. [Google Scholar]
- Parihar, P.; Singh, S.; Singh, R.; Singh, V.P.; Prasad, S.M. Effect of salinity stress on plants and its tolerance strategies: A review. Environ. Sci. Pollut. Res. 2015, 22, 4056–4075. [Google Scholar] [CrossRef]
- Rasheed, F.; Anjum, N.A.; Masood, A.; Sofo, A.; Khan, N.A. The key roles of salicylic acid and sulfur in plant salinity stress tolerance. J. Plant Growth Regul. 2020. [Google Scholar] [CrossRef]
- Liu, C.; Zhao, X.; Yan, J.; Yuan, Z.; Gu, M. Effects of salt stress on growth, photosynthesis, and mineral nutrients of 18 pomegranate (Punica granatum) cultivars. Agronomy 2020, 10, 27. [Google Scholar]
- Hesse, H.; Nikiforova, V.; Gakière, B.; Hoefgen, R. Molecular analysis and control of cysteine biosynthesis: Integration of nitrogen and sulphur metabolism. J. Exp. Bot. 2004, 55, 1283–1292. [Google Scholar] [CrossRef] [PubMed]
- Scherer, H.W. Impact of sulfur on N2 fixation of legumes. In Sulfur Assimilation and Abiotic Stress in Plants; Khan, N.A., Singh, S., Umar, S., Eds.; Springer: Berlin/Heidelberg, Germany, 2008; pp. 43–54. [Google Scholar]
- Xu, G.; Fan, X.; Miller, A.J. Plant nitrogen assimilation and use efficiency. Ann. Rev. Plant Biol. 2012, 63, 153–182. [Google Scholar]
- Jahan, B.; Sehar, Z.; Masood, A.; Anjum, N.A.; Khan, M.I.R.; Khan, N.A. Sulfur availability potentiates phytohormones-mediated action in plants. In Plant Signaling Molecules; Khan, M.I.R., Reddy, S., Ferrante, A., Khan, N.A., Eds.; Woodhead Publishing: Philadelphia, PA, USA, 2019; pp. 287–301. [Google Scholar]
- Siddiqui, M.H.; Mohammad, F.; Khan, M.M.A.; Al-Whaibi, M.H. Cumulative effect of nitrogen and sulphur on Brassica juncea L. genotypes under NaCl stress. Protoplasma 2012, 249, 139–153. [Google Scholar] [CrossRef]
- Rais, L.; Masood, A.; Inam, A.; Khan, N. Sulfur and nitrogen co-ordinately improve photosynthetic efficiency, growth and proline accumulation in two cultivars of mustard under salt stress. J. Plant Biochem. Physiol. 2013, 1, 1. [Google Scholar]
- Iqbal, N.; Umar, S.; Khan, N.A. Nitrogen availability regulates proline and ethylene production and alleviates salinity stress in mustard (Brassica juncea). J. Plant Physiol. 2015, 78, 184–191. [Google Scholar]
- Cui, M.; Lin, Y.; Zu, Y.; Efferth, T.; Li, D.; Tang, Z. Ethylene increases accumulation of compatible solutes and decreases oxidative stress to improve plant tolerance to water stress in Arabidopsis. J. Plant Biol. 2015, 58, 193–201. [Google Scholar]
- Sehar, Z.; Iqbal, N.; Khan, M.I.R.; Masood, A.; Rehman, M.T.; Hussain, A.; AlAjmi, M.F.; Ahmad, A. Ethylene reduces glucose sensitivity and reverses photosynthetic repression through optimization of glutathione production in salt-stressed wheat (Triticum aestivum L.). Sci. Rep. 2021, 11, 12650. [Google Scholar]
- El-Bassiouny, H.M.S.; Bekheta, M.A. Effect of salt stress on relative water content, lipid peroxidation, polyamines, amino acids and ethylene of two wheat cultivars. Int. J. Agric. Biol. 2005, 7, 363–368. [Google Scholar]
- Datta, R.; Kumar, D.; Sultana, A.; Hazra, S.; Bhattacharyya, D.; Chattopadhyay, S. Glutathione regulates 1-aminocyclopropane-1-carboxylate synthase transcription via WRKY33 and 1-aminocyclopropane-1-carboxylate oxidase by modulating messenger RNA stability to induce ethylene synthesis during stress. Plant Physiol. 2015, 169, 2963–2981. [Google Scholar]
- Khan, M.I.R.; Jahan, B.; AlAjmi, M.F.; Rehman, M.T.; Khan, N.A. Ethephon mitigates nickel stress by modulating antioxidant system, glyoxalase system and proline metabolism in Indian mustard. Physiol. Mol. Biol. Plants 2020, 26, 1201–1213. [Google Scholar]
- Fatma, M.; Iqbal, N.; Gautam, H.; Sehar, Z.; Sofo, A.; D’Ippolito, I.; Khan, N.A. Ethylene and sulfur coordinately modulate the antioxidant system and ABA accumulation in mustard plants under salt stress. Plants 2021, 10, 180. [Google Scholar] [CrossRef] [PubMed]
- Iqbal, N.; Nazar, R.; Syeed, S.; Masood, A.; Khan, N.A. Exogenously-sourced ethylene increases stomatal conductance, photosynthesis, and growth under optimal and deficient nitrogen fertilization in mustard. J. Exp. Bot. 2011, 62, 4955–4963. [Google Scholar] [CrossRef]
- Lin, Y.; Wang, J.; Zu, Y.; Tang, Z. Ethylene antagonizes the inhibition of germination in Arabidopsis induced by salinity by modulating the concentration of hydrogen peroxide. Acta Physiol. Plant. 2012, 34, 1895–1904. [Google Scholar]
- Nazar, R.; Umar, S.; Khan, N.A.; Sareer, O. Salicylic acid supplementation improves photosynthesis and growth in mustard through changes in proline accumulation and ethylene formation under drought stress. S. Afr. J. Bot. 2015, 98, 84–94. [Google Scholar] [CrossRef]
- Iqbal, N.; Masood, A.; Khan, M.I.R.; Asgher, M.; Fatma, M.; Khan, N.A. Cross-talk between sulfur assimilation and ethylene signaling in plants. Plant Signal. Behav. 2013, 8, e22478. [Google Scholar] [CrossRef] [PubMed]
- Gavelienė, V.; Pakalniškytė, L.; Novickienė, L. Regulation of proline and ethylene levels in rape seedlings for freezing tolerance. Cent. Eur. J. Biol. 2014, 9, 1099–1107. [Google Scholar]
- Peng, J.; Li, Z.; Wen, X.; Li, W.; Shi, H.; Yang, L.; Zhu, H.; Guo, H. Salt-induced stabilization of ein3/eil1 confers salinity tolerance by deterring ros accumulation in Arabidopsis. PLoS Genet. 2014, 10, e1004664. [Google Scholar]
- Hartman, S.; van Dongen, N.; Renneberg, D.M.H.J.; Welschen-Evertman, R.A.M.; Kociemba, J.; Sasidharan, R.; Voesenek, L.A.C.J. Ethylene differentially modulates hypoxia responses and tolerance across solanum species. Plants 2020, 9, 1022. [Google Scholar] [CrossRef] [PubMed]
- Pandey, B.K.; Huang, G.; Bhosale, R.; Hartman, S.; Sturrock, C.J.; Jose, L. Plant roots sense soil compaction through restricted ethylene diffusion. Science 2021, 371, 276–280. [Google Scholar] [CrossRef]
- Jaiswal, P.C. Soil, Plant and Water Analyses; Kalyani Publishers Ludhiana: New Delhi, India, 2003; pp. 1–399. [Google Scholar]
- Khan, N.A.; Mir, M.R.; Nazar, R.; Singh, S. The application of ethephon (an ethylene releaser) increases growth, photosynthesis and nitrogen accumulation in mustard (Brassica juncea L.) under high nitrogen levels. Plant Biol. 2008, 10, 534–538. [Google Scholar]
- Okuda, T.; Matsuda, Y.; Yamanaka, A.; Sagisaka, S. Abrupt increase in the level of hydrogen peroxide in leaves of winter wheat is caused by cold treatment. Plant Physiol. 1991, 97, 1265–1267. [Google Scholar] [CrossRef] [PubMed]
- Dhindsa, R.H.; Plumb-Dhindsa, P.; Thorpe, T.A. Leaf senescence correlated with increased level of membrane permeability, lipid peroxidation and decreased level of SOD and CAT. J. Exp. Bot. 1981, 32, 93–101. [Google Scholar] [CrossRef]
- Wang, J.; Sun, P.P.; Chen, C.L.; Wang, Y.; Fu, X.Z.; Liu, J.H. An arginine decarboxylase gene PtADC from Poncirus trifoliata confers abiotic stress tolerance and promotes primary root growth in Arabidopsis. J. Exp. Bot. 2011, 62, 2899–2914. [Google Scholar] [CrossRef]
- Kuo, T.M.; Warner, R.L.; Kleinhofs, A. In vitro stability of nitrate reductase from barley leaves. Phytochemistry 1982, 21, 531–533. [Google Scholar]
- Lindner, R.C. Rapid analytical methods for some of the more common inorganic constituents of plant tissues. Plant Physiol. 1944, 19, 76. [Google Scholar] [CrossRef]
- Lappartient, A.G.; Touraine, B. Demand-driven control of root ATP-sulfurylase activity and SO42− uptake in intact canola. Plant Physiol. 1996, 111, 147–157. [Google Scholar] [CrossRef]
- Chesnin, L.; Yien, C.H. Turbidimetric determination of available sulphates. Soil Sci. Soc. Am. J. 1951, 15, 149–151. [Google Scholar] [CrossRef]
- Giatonde, M.K. A spectrophotometric method for direct determination of cysteine in the presence of other naturally occurring amino acids. Biochem. J. 1967, 104, 627–633. [Google Scholar] [CrossRef] [PubMed]
- Anderson, M.E. Determination of glutathione and glutathione disulfide in biological samples. Meth. Enzymol. 1985, 113, 548–555. [Google Scholar]
- Beyer, W.F.; Fridovich, I. Assaying for superoxide dismutase activity: Some large consequences of minor changes in conditions. Anal. Biochem. 1987, 161, 559–566. [Google Scholar] [CrossRef]
- Giannopolitis, C.N.; Ries, S.K. Superoxide dismutase. I. Occurrence in higher plants. Plant Physiol. 1977, 59, 309–314. [Google Scholar] [CrossRef]
- Aebi, H.E. Catalase in vitro. Meth. Enzymol. 1984, 105, 121–126. [Google Scholar]
- Nakano, Y.; Asada, K. Hydrogen peroxide is scavenged by ascorbate-specific peroxidase in spinach chloroplasts. Plant Cell Physiol. 1981, 22, 867–880. [Google Scholar]
- Foyer, C.H.; Halliwell, B. The presence of glutathione and glutathione reductase in chloroplast: A proposed role in ascorbic acid metabolism. Planta 1976, 133, 21–25. [Google Scholar] [CrossRef]
- Bates, L.S.; Waldren, R.P.; Teare, I.D. Rapid determination of free proline for water-stress studies. Plant Soil 1973, 39, 205–207. [Google Scholar] [CrossRef]
- Hayzer, D.J.; Leisinger, T.H. The gene-enzyme relationships of proline biosynthesis in Escherichia coli. J. Gen. Microbiol. 1980, 118, 287–293. [Google Scholar]
- Huang, A.H.; Cavalieri, A.J. Proline oxidase and water stress-induced proline accumulation in spinach leaves. Plant Physiol. 1979, 63, 531–535. [Google Scholar] [CrossRef]
- Avni, A.; Bailey, B.A.; Mattoo, A.K.; Anderson, J.D. Induction of ethylene biosynthesis in Nicotiana tabacum by a Trichoderma viride xylanase is correlated to the accumulation of 1-aminocyclopropane-1-carboxylic acid (ACC) synthase and ACC oxidase transcripts. Plant Physiol. 1994, 106, 1049–1055. [Google Scholar]
- Woeste, K.E.; Ye, C.; Kieber, J.J. Two Arabidopsis mutants that overproduce ethylene are affected in the posttranscriptional regulation of 1-aminocyclopropane-1-carboxylic acid synthase. Plant Physiol. 1999, 119, 521–530. [Google Scholar] [CrossRef]
- Daud, M.K.; Sun, Y.; Dawood, M.; Hayat, Y.; Variath, M.T.; Wu, Y.X.; Mishkat, U.; Najeeb, U.; Zhu, S. Cadmium-induced functional and ultrastructural alterations in roots of two transgenic cotton cultivars. J. Hazard. Mater. 2009, 161, 463–473. [Google Scholar] [CrossRef] [PubMed]
- Sehar, Z.; Masood, A.; Khan, N.A. Nitric oxide reverses glucose-mediated photosynthetic repression in wheat (Triticum aestivum L.) under salt stress. Environ. Exp. Bot. 2019, 161, 277–289. [Google Scholar] [CrossRef]
- Masood, A.; Iqbal, N.; Khan, M.I.R.; Khan, N.A. The coordinated role of ethylene and glucose in sulfur-mediated protection of photosynthetic inhibition by cadmium. Plant Signal. Behav. 2012, 7, 1420–1422. [Google Scholar] [CrossRef] [PubMed][Green Version]
- Asgher, M.; Ahmed, S.; Sehar, Z.; Gautam, H.; Gandhi, S.G.; Khan, N.A. Hydrogen peroxide modulates activity and expression of antioxidant enzymes and protects photosynthetic activity from arsenic damage in rice (Oryza sativa L.). J. Hazard. Mater. 2021, 401, 123365. [Google Scholar] [CrossRef]
- Nahar, K.; Hasanuzzaman, M.; Alam, M.M.; Rahman, A.; Suzuki, T.; Fujita, M. Polyamine and nitric oxide crosstalk: Antagonistic effects on cadmium toxicity in mung bean plants through upregulating the metal detoxification, antioxidant defense and methylglyoxal detoxification systems. Ecotoxicol. Environ. Saf. 2016, 126, 245–255. [Google Scholar]
- Khan, M.I.R.; Khan, N.A.; Jahan, B.; Goyal, V.; Hamid, J.; Khan, S.; Siddiqui, M.H. Phosphorus supplementation modulates nitric oxide biosynthesis and stabilizes defense system to improve arsenic stress tolerance in mustard. Plant Biol. 2021. In press. [Google Scholar] [CrossRef]
- Asgher, M.; Khan, N.A.; Khan, M.I.R.; Fatma, M.; Masood, A. Ethylene production is associated with alleviation of cadmium-induced oxidative stress by sulfur in mustard types differing in ethylene sensitivity. Ecotoxicol. Environ. Saf. 2014, 106, 54–61. [Google Scholar] [CrossRef] [PubMed]
- Khan, N.A.; Asgher, M.; Per, T.S.; Masood, A.; Fatma, M.; Khan, M.I.R. Ethylene potentiates sulfur-mediated reversal of cadmium inhibited photosynthetic responses in mustard. Front. Plant Sci. 2016, 7, 1628. [Google Scholar]
- Hussain, S.J.; Khan, N.A.; Anjum, N.A.M.I.R.; Masood, A.; Khan, M.I.R. Mechanistic elucidation of salicylic acid and sulphur-induced defence systems, nitrogen metabolism, photosynthetic, and growth potential of mungbean (Vigna radiata) under salt stress. J. Plant Growth Regul. 2020, 40, 1000–1016. [Google Scholar]
- Wang, H.; Zhang, M.; Guo, R.; Shi, D.; Liu, B.; Lin, X.; Yang, C. Effects of salt stress on ion balance and nitrogen metabolism of old and young leaves in rice (Oryza sativa L.). BMC Plant Biol. 2012, 12, 194. [Google Scholar]
- Foyer, C.H.; Valadier, M.H.; Migge, A.; Becker, T.W. Drought-induced effects on nitrate reductase activity and mRNA and on the coordination of nitrogen and carbon metabolism in maize leaves. Plant Physiol. 1998, 117, 283–292. [Google Scholar] [CrossRef] [PubMed]
- Iqbal, N.; Khan, N.A.; Ferrante, A.; Trivellini, A.; Francini, A.; Khan, M.I.R. Ethylene role in plant growth, development and senescence: Interaction with other phytohormones. Front. Plant Sci. 2017, 8, 475. [Google Scholar]
- Khan, M.I.R.; Iqbal, N.; Masood, A.; Per, T.S.; Khan, N.A. Salicylic acid alleviates adverse effects of heat stress on photosynthesis through changes in proline production and ethylene formation. Plant Signal. Behav. 2013, 8, e26374. [Google Scholar]
- Reddy, P.S.; Jogeswar, G.; Rasineni, G.K.; Maheswari, M.; Reddy, A.R.; Varshney, R.K.; Kavi Kishor, P.B. Proline over-accumulation alleviates salt stress and protects photosynthetic and antioxidant enzyme activities in transgenic sorghum [Sorghum bicolor (L.) Moench]. Plant Physiol. Biochem. 2015, 94, 104–113. [Google Scholar]
- Khan, M.N.; Siddiqui, M.H.; Mohammad, F.; Naeem, M.; Khan, M.M.A. Calcium chloride and gibberellic acid protect linseed (Linum usitatissimum L.) from NaCl stress by inducing antioxidative defence system and osmoprotectant accumulation. Acta Physiol. Plant 2010, 32, 121–132. [Google Scholar]
- Jogaiah, S.; Govind, S.R.; Tran, L.S.P. Systems biology-based approaches toward understanding drought tolerance in food crops. Crit. Rev. Biotechnol. 2013, 33, 23–39. [Google Scholar] [CrossRef]
- Hamilton, E.W., III; Heckathorn, S.A. Mitochondrial adaptations to NaCl. Complex I Is protected by anti-oxidants and small heat shock proteins, whereas complex II Is protected by proline and betaine. Plant Physiol. 2001, 126, 1266–1274. [Google Scholar] [CrossRef]
- Albert, B.; Le Cahérec, F.; Niogret, M.; Faes, P.; Avice, J.; Leport, L.; Bouchereau, A. Nitrogen availability impacts oilseed rape (Brassica napus L.) plant water status and proline production efficiency under water-limited conditions. Planta 2012, 236, 659–676. [Google Scholar] [CrossRef]
- Ashraf, M.; Foolad, M.R. Roles of glycine betaine and proline in improving plant abiotic stress resistance. Environ. Exp. Bot. 2007, 59, 206–216. [Google Scholar] [CrossRef]
- Per, T.S.; Khan, N.A.; Reddy, P.S.; Masood, A.; Hasanuzzaman, M.; Khan, M.I.R.; Anjum, N.A. Approaches in modulating proline metabolism in plants for salt and drought stress tolerance: Phytohormones, mineral nutrients and transgenics. Plant Physiol. Biochem. 2017, 115, 126–140. [Google Scholar] [CrossRef]
- Iqbal, N.; Umar, S.; Khan, N.A.; Khan, M.I.R. A new perspective of phytohormones in salinity tolerance: Regulation of proline metabolism. Environ. Exp. Bot. 2014, 100, 34–42. [Google Scholar] [CrossRef]
- Iqbal, N.; Nazar, R.; Khan, M.I.R.; Khan, N.A. Variation in photosynthesis and growth of mustard cultivars: Role of ethylene sensitivity. Sci. Hort. 2012, 135, 1–6. [Google Scholar] [CrossRef]
- Kopriva, S.; Rennenberg, H. Control of sulphate assimilation and glutathione synthesis: Interaction with N and C metabolism. J. Exp. Bot. 2004, 55, 1831–1842. [Google Scholar] [CrossRef] [PubMed]
- Khan, M.I.R.; Asgher, M.; Khan, N.A. Alleviation of salt-induced photosynthesis and growth inhibition by salicylic acid involves glycinebetaine and ethylene in mungbean (Vigna radiata L.). Plant Physiol. Biochem. 2014, 80, 67–74. [Google Scholar]
- Nazar, R.; Khan, M.I.R.; Iqbal, N.; Masood, A.; Khan, N.A. Involvement of ethylene in reversal of salt-inhibited photosynthesis by sulfur in mustard. Physiol. Plant. 2014, 152, 331–344. [Google Scholar] [CrossRef]
- Khan, M.I.R.; Iqbal, N.; Masood, A.; Mobin, M.; Anjum, N.A.; Khan, N.A. Modulation and significance of nitrogen and sulfur metabolism in cadmium challenged plants. Plant Growth Regul. 2016, 78, 1–11. [Google Scholar]
- Asgher, M.; Per, T.S.; Verma, S.; Pandith, S.A.; Masood, A.; Khan, N.A. Ethylene supplementation increases PSII efficiency and alleviates chromium-inhibited photosynthesis through increased nitrogen and sulfur assimilation in mustard. J. Plant Growth Regul. 2018, 37, 1300–1317. [Google Scholar] [CrossRef]
- Anjum, N.A.; Ahmad, I.; Mohmood, I.; Pacheco, M.; Duarte, A.C.; Pereira, E.; Prasad, M.N.V. Modulation of glutathione and its related enzymes in plants’ responses to toxic metals and metalloids-a review. Environ. Exp. Bot. 2012, 75, 307–324. [Google Scholar]
- Hasanuzzaman, M.; Nahar, K.; Alam, M.M.; Fujita, M. Exogenous nitric oxide alleviates high temperature induced oxidative stress in wheat (‘Triticum aestivum’ L.) seedlings by modulating the antioxidant defense and glyoxalase system. Aust. J. Crop. Sci. 2012, 6, 1314–1323. [Google Scholar]
- Gill, S.S.; Anjum, N.A.; Hasanuzzaman, M.; Gill, R.; Trivedi, D.K.; Ahmad, I.; Tuteja, N. Glutathione and glutathione reductase: A boon in disguise for plant abiotic stress defense operations. Plant Physiol. Biochem. 2013, 70, 204–212. [Google Scholar]
- Yang, S.F.; Hoffman, N.E. Ethylene biosynthesis and its regulation in higher plants. Annu. Rev. Plant Physiol. 1984, 35, 155–189. [Google Scholar]
- Kende, H. Ethylene biosynthesis. Annu. Rev. Plant Biol. 1993, 44, 283–307. [Google Scholar] [CrossRef]
- Alexander, L.; Grierson, D. Ethylene biosynthesis and action in tomato: A model for climacteric fruit ripening. J. Exp. Bot. 2002, 47, 777–780. [Google Scholar]
- Zarembinski, T.I.; Theologis, A. Ethylene biosynthesis and action: A case of conservation. Plant Mol. Biol. 1994, 26, 1579–1597. [Google Scholar] [CrossRef]
- Ecker, J.R. The ethylene signal transduction pathway in plants. Science 1995, 268, 667–675. [Google Scholar] [CrossRef] [PubMed]
- Masood, A.; Khan, M.I.R.; Fatma, M.; Asgher, M.; Per, T.S.; Khan, N.A. Involvement of ethylene in gibberellic acid-induced sulfur assimilation, photosynthetic responses, and alleviation of cadmium stress in mustard. Plant Physiol. Biochem. 2016, 104, 1–10. [Google Scholar] [CrossRef]
- Chaves, M.M.; Flexas, J.; Pinheiro, C. Photosynthesis under drought and salt stress: Regulation mechanisms from whole plant to cell. Ann. Bot. 2009, 103, 551–560. [Google Scholar] [CrossRef]
- Wang, Y.; Diao, P.; Kong, L.; Yu, R.; Zhang, M.; Zuo, T.; Wuriyanghan, H. Ethylene Enhances Seed Germination and Seedling Growth Under Salinity by Reducing Oxidative Stress and Promoting Chlorophyll Concentration via ETR2 Pathway. Front. Plant Sci. 2020, 11, 1066. [Google Scholar]
- Tahjib-Ul-Arif, M.; Siddiqui, M.N.; Sohag, A.A.M.; Sakil, M.A.; Rahman, M.M.; Polash, M.A.S.; Tran, L.S.P. Salicylic acid-mediated enhancement of photosynthesis attributes and antioxidant capacity contributes to yield improvement of maize plants under salt stress. J. Plant Growth Regul. 2018, 37, 1318–1330. [Google Scholar] [CrossRef]
- Maxwell, K.; Johnson, G.N. Chlorophyll fluorescence a practical guide. J. Exp. Bot. 2000, 51, 659–668. [Google Scholar] [CrossRef]
- Chen, Y.E.; Wu, N.; Zhang, Z.W.; Yuan, M.; Yuan, S. Perspective of monitoring heavy metals by moss visible chlorophyll fluorescence parameters. Front. Plant Sci. 2019, 10, 35. [Google Scholar]
- Khan, N.A. Involvement of 1-aminocyclopropane carboxylic acid synthase in photosynthesis and growth of mustard cultivars with different photosynthetic capacities. Physiol. Mol. Biol. Plants 2005, 11, 333. [Google Scholar]
- Tholen, D.; Voesenek, L.A.; Poorter, H. Ethylene insensitivity does not increase leaf area or relative growth rate in Arabidopsis, Nicotiana tabacum, and Petunia x hybrida. Plant Physiol. 2004, 134, 1803–1812. [Google Scholar] [CrossRef]
- Antunes, W.C.; de Menezes Daloso, D.; Pinheiro, D.P.; Williams, T.C.R.; Loureiro, M.E. Guard cell-specific down-regulation of the sucrose transporter SUT1 leads to improved water use efficiency and reveals the interplay between carbohydrate metabolism and K + accumulation in the regulation of stomatal opening. Environ. Exp. Bot. 2017, 135, 73–85. [Google Scholar]
- Misra, B.B.; Acharya, B.R.; Granot, D.; Assmann, S.M.; Chen, S. The guard cell metabolome: Functions in stomatal movement and global food security. Front. Plant Sci. 2015, 6, 334. [Google Scholar]
- Desikan, R.; Last, K.; Harrett-Williams, R.; Tagliavia, C.; Harter, K.; Hooley, R.; Neill, S.J. Ethylene-induced stomatal closure in Arabidopsis occurs via AtrbohF-mediated hydrogen peroxide synthesis. Plant J. 2006, 47, 907–916. [Google Scholar] [CrossRef]
- Miyazono, K.I.; Miyakawa, T.; Sawano, Y.; Kubota, K.; Kang, H.J.; Asano, A.; Tanokura, M. Structural basis of abscisic acid signalling. Nature 2009, 462, 609–614. [Google Scholar]
- Tanaka, Y.; Sano, T.; Tamaoki, M.; Nakajima, N.; Kondo, N.; Hasezawa, S. Ethylene inhibits abscisic acid-induced stomatal closure in Arabidopsis. Plant Physiol. 2005, 138, 2337–2343. [Google Scholar] [CrossRef] [PubMed]
- Zhang, X.L.; Jiang, L.; Xin, Q.; Liu, Y.; Tan, J.X.; Chen, Z.Z. Structural basis and functions of abscisic acid receptors PYLs. Front. Plant Sci. 2015, 6, 88. [Google Scholar]
- Song, X.G.; She, X.P.; Yue, M.; Liu, Y.E.; Wang, Y.X.; Zhu, X.; Huang, A.X. Involvement of copper amine oxidase (CuAO)-dependent hydrogen peroxide synthesis in ethylene-induced stomatal closure in Vicia faba. Russ. J. Plant Physiol. 2014, 61, 390–396. [Google Scholar]




| Treatments | Net Photosynthesis (μmol CO2 m−2 s−1) | Chlorophyll Content (SPAD Value) | Stomatal Conductance (mmol CO2 m−2 s−1) | Intercellular CO2 Concentration (μmol CO2 mol−1) | Maximum Efficiency of PSII | Leaf Area (cm2 plant−1) | Plant Dry Mass (g plant−1) |
|---|---|---|---|---|---|---|---|
| Control | 14.24 ± 0.36 f | 28.22 ± 0.71 e | 368.17 ± 9.26 e | 272.11 ± 6.85 f | 0.65 ± 0.0099 e | 129.26 ±3.24 f | 2.34 ± 0.06 f |
| Eth | 21.71 ± 0.55 e | 37.66 ± 0.95 d | 462.12 ± 10.60 d | 342.36 ± 8.61 e | 0.77 ± 0.0121 d | 173.64 ±4.35 e | 2.89 ± 0.07 e |
| (N50 + S50)0d + 20d | 30.71 ± 0.47 b | 48.85 ± 0.75 b | 609.54 ± 12.40 b | 448.55 ± 6.84 b | 0.95 ± 0.0148 b | 227.05 ±3.46 b | 3.77 ± 0.06 b |
| (N50 + S50)0d + 20d + Eth | 33.46 ± 0.51 a | 52.71 ± 0.81 a | 643.56 ± 13.82 a | 476.94 ± 7.27 a | 1.02 ± 0.0156 a | 239.51 ±3.65 a | 4.02 ± 0.06 a |
| NaCl | 07.93 ± 0.32 g | 19.25 ± 0.77 f | 289.43 ± 9.12 f | 178.12 ± 7.12 g | 0.49 ± 0.0196 f | 062.53 ±2.5 g | 1.02 ± 0.04 g |
| NaCl + Eth | 24.25 ± 0.49 d | 41.67 ± 0.69 c | 529.26 ± 10.14 c | 386.16 ± 7.8 d | 0.83 ± 0.0165 c | 189.24 ± 3.86 d | 3.28 ± 0.06 d |
| NaCl + [(N50 + S50)0d + 20d] | 25.50 ± 0.53 d | 42.95 ± 0.89 c | 537.71 ± 11.10 c | 392.21 ± 8.16 d | 0.85 ± 0.0177 c | 198.82 ±4.12 d | 3.32 ± 0.07 d |
| NaCl + [(N50 + S50)0d + 20d] + Eth | 29.13 ± 0.61 c | 48.25 ± 1.00 b | 597.22 ± 12.30 b | 433.27 ± 8.81 c | 0.97 ± 0.0193 b | 223.68 ±4.47 c | 3.67 ± 0.07 c |
| Treatment | SOD Activity | CAT Activity | APX Activity | GR Activity |
|---|---|---|---|---|
| (U mg−1Protein min−1) | ||||
| Control | 6.58 ± 0.16f | 118.01 ± 2.96f | 1.32 ± 0.03h | 0.192 ± 0.005f |
| Eth | 12.20 ± 0.30d | 153.43 ± 3.86d | 2.56 ± 0.06f | 0.277 ± 0.007d |
| (N50 + S50)0d + 20d | 17.70 ± 0.27b | 207 02 ± 3.16b | 4.37 ± 0.06b | 0.397 ± 0.006b |
| (N50 + S50)0d + 20d + Eth | 19.20 ± 0.29a | 232.07 ± 3.54a | 4.62 ± 0.07a | 0.428 ± 0.007a |
| NaCl | 8.80 ± 0.35e | 139.00 ± 5.56e | 1.85 ± 0.07g | 0.230 ± 0.009e |
| NaCl + Eth | 14.78 ± 0.26c | 164.13 ± 2.14cd | 3.34 ± 0.05de | 0.319 ±0.006c |
| NaCl + (N50 + S50)0d + 20d | 15.50 ± 0.32c | 178.03 ± 3.70c | 3.57 ± 0.07d | 0.329 ± 0.006c |
| NaCl + (N50 + S50)0d +20d+ Eth | 17.03 ± 0.36b | 203.07 ± 4.22b | 4.10 ± 0.08c | 0.380 ± 0.008b |
| Treatments | NR Activity (nmol NO2 h−1) | ATP-S Activity (µmol g−1 Protein s−1) | N Content (mg g−1 DW) | S Content (mg g−1 DW) | Cys Content (nmol g−1 Leaf DW) | GSH Content (nmol g−1 Leaf DW) | Redox State (GSH/GSSG) |
|---|---|---|---|---|---|---|---|
| Control | 414.35 ± 10.40 e | 1.36 ± 0.03 f | 35.91 ± 0.90 f | 4.83 ± 0.12 e | 6.41 ± 0.16 f | 65.13 ± 1.64 g | 17.91 ± 0.45 f |
| Eth | 587.48 ± 14.84 d | 2.65 ± 0.07 d | 41.87 ± 1.05 e | 6.10 ± 0.15 d | 8.46 ± 0.21 d | 87.25 ± 2.20 e | 25.43 ± 0.63 e |
| (N50 + S50)0d + 20d | 739.48 ± 11.36 b | 3.62 ± 0.05 b | 54.98 ± 0.84 b | 8.57 ± 0.13 b | 11.67 ± 0.17 b | 126.50 ± 1.92 b | 36.76 ± 0.56 b |
| (N50 + S50)0d + 20d + Eth | 784.53 ± 11.91 a | 3.83 ± 0.05 a | 58.94 ± 0.89 a | 9.28 ± 0.14 a | 12.78 ± 0.19 a | 134.34 ± 2.04 a | 38.76 ± 0.59 a |
| NaCl | 325.27 ± 13.03 f | 1.59 ± 0.06 e | 23.85 ± 0.95 g | 3.83 ± 0.15 f | 7.44 ± 0.29 e | 79.27 ± 3.18 f | 08.42 ± 0.33 g |
| NaCl + Eth | 632.12 ± 12.46 c | 3.03 ± 0.05 c | 47.11 ± 0.99 d | 7.31 ± 0.14 c | 9.79 ± 0.25 c | 97.14 ± 1.97 d | 28.1 ± 0.31 d |
| NaCl + (N50 + S50)0d + 20d | 652.84 ± 13.66 c | 3.13 ± 0.06 c | 48.24 ± 1.01 d | 7.43 ± 0.15 c | 9.88 ± 0.20 c | 102.25 ± 2.12 d | 30.55 ± 0.63 d |
| NaCl + (N50 + S50)0d + 20d + Eth | 713.03 ± 14.81 b | 3.57 ± 0.07 b | 51.84 ± 1.07 c | 8.42 ± 0.17 b | 11.23 ± 0.23 b | 118.18 ± 2.45 c | 34.27 ± 0.71 c’ |
| Treatments | GK Activity (U mg−1 Protein min−1) | PROX Activity (U g−1 Protein min−1) | Proline Content (mg g−1 FW) |
|---|---|---|---|
| Control | 0.65 ± 0.02 h | 90.05 ± 2.04 a | 05.63 ± 0.14 g |
| Eth | 0.88 ± 0.03 f | 53.07 ± 1.08 c | 8.32 ± 0.26 e |
| (N50 + S50)0d + 20d | 0.96 ± 0.02 e | 29.04 ± 0.41 d | 9.06 ± 0.27 d |
| (N50 + S50)0d + 20d + Eth | 1.01 ± 0.03 d | 25.00 ± 0.40 e | 10.12 ± 0.33 b |
| NaCl | 0.79±0.04 g | 61.05±1.44 b | 06.92±0.35 f |
| NaCl + Eth | 1.12 ± 0.05 bc | 06.10 ± 0.14 f | 9.32 ± 0.42 c |
| NaCl + (N50 + S50)0d + 20d | 1.16 ± 0.04 b | 06.21 ± 0.12 f | 9.48 ± 0.40 c |
| NaCl + (N50 + S50)0d + 20d + Eth | 1.29 ± 0.05 a | 05.23 ± 0.01 g | 11.16 ± 0.48 a |
Publisher’s Note: MDPI stays neutral with regard to jurisdictional claims in published maps and institutional affiliations. |
© 2021 by the authors. Licensee MDPI, Basel, Switzerland. This article is an open access article distributed under the terms and conditions of the Creative Commons Attribution (CC BY) license (https://creativecommons.org/licenses/by/4.0/).
Share and Cite
Jahan, B.; Iqbal, N.; Fatma, M.; Sehar, Z.; Masood, A.; Sofo, A.; D'Ippolito, I.; Khan, N.A. Ethylene Supplementation Combined with Split Application of Nitrogen and Sulfur Protects Salt-Inhibited Photosynthesis through Optimization of Proline Metabolism and Antioxidant System in Mustard (Brassica juncea L.). Plants 2021, 10, 1303. https://doi.org/10.3390/plants10071303
Jahan B, Iqbal N, Fatma M, Sehar Z, Masood A, Sofo A, D'Ippolito I, Khan NA. Ethylene Supplementation Combined with Split Application of Nitrogen and Sulfur Protects Salt-Inhibited Photosynthesis through Optimization of Proline Metabolism and Antioxidant System in Mustard (Brassica juncea L.). Plants. 2021; 10(7):1303. https://doi.org/10.3390/plants10071303
Chicago/Turabian StyleJahan, Badar, Noushina Iqbal, Mehar Fatma, Zebus Sehar, Asim Masood, Adriano Sofo, Ilaria D'Ippolito, and Nafees A. Khan. 2021. "Ethylene Supplementation Combined with Split Application of Nitrogen and Sulfur Protects Salt-Inhibited Photosynthesis through Optimization of Proline Metabolism and Antioxidant System in Mustard (Brassica juncea L.)" Plants 10, no. 7: 1303. https://doi.org/10.3390/plants10071303
APA StyleJahan, B., Iqbal, N., Fatma, M., Sehar, Z., Masood, A., Sofo, A., D'Ippolito, I., & Khan, N. A. (2021). Ethylene Supplementation Combined with Split Application of Nitrogen and Sulfur Protects Salt-Inhibited Photosynthesis through Optimization of Proline Metabolism and Antioxidant System in Mustard (Brassica juncea L.). Plants, 10(7), 1303. https://doi.org/10.3390/plants10071303

