Sub- and Supercritical Extraction of Slovenian Hops (Humulus lupulus L.) Aurora Variety Using Different Solvents
Abstract
1. Introduction
2. Results and Discussion
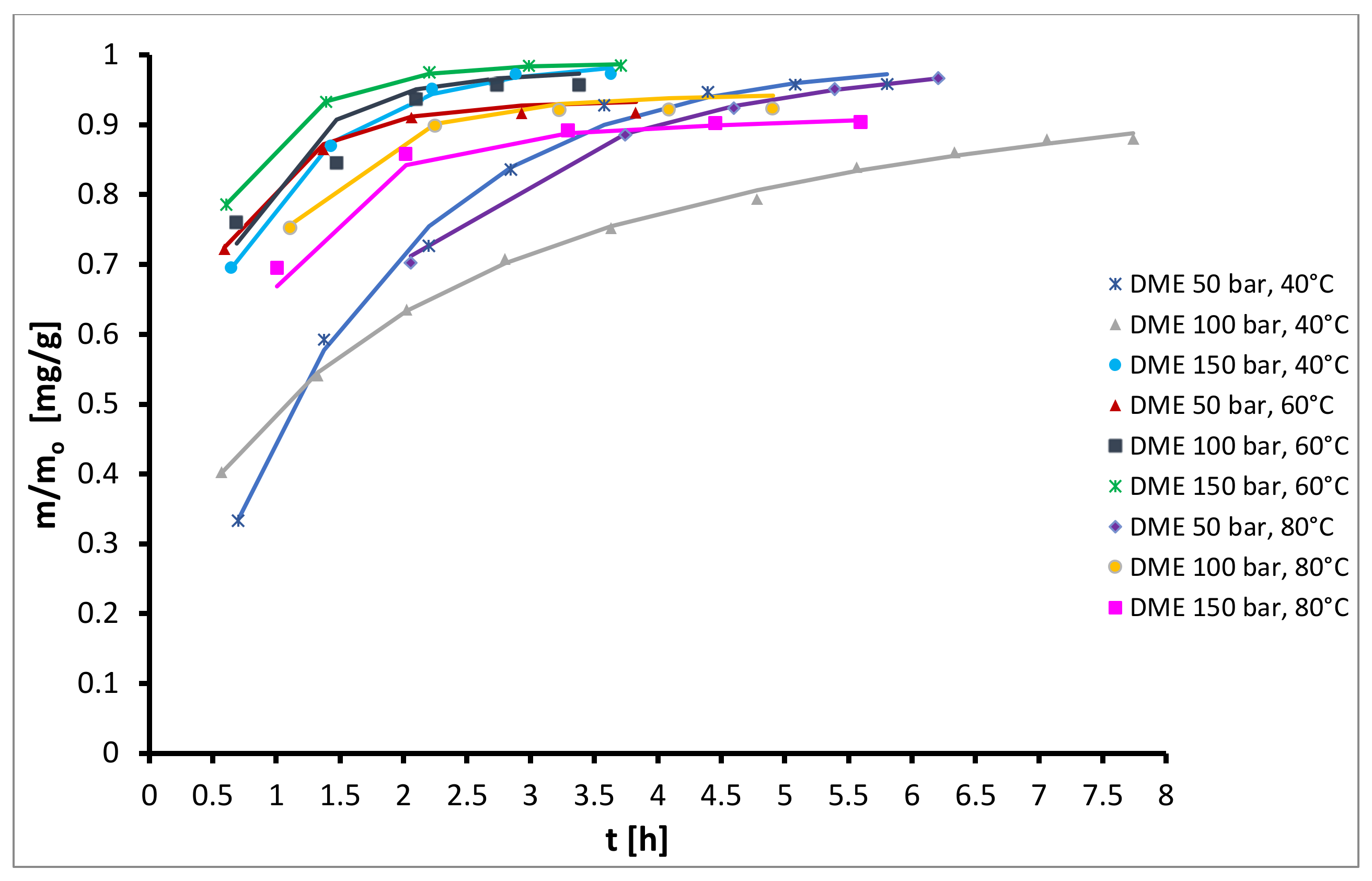
2.1. Extraction Kinetics Study
2.2. Mathematical Modelling of Kinetic Curves
2.3. HPLC Analysis of Hop Extracts
3. Conclusions
4. Materials and Methods
4.1. Materials
4.2. Equipment and Experimental Procedures
4.2.1. Methods for Characterization of Material
4.2.2. Sub- and Supercritical Fluid Extraction (SFE)
4.2.3. High-Performance Liquid Chromatography (HPLC) Analysis of Extract
4.2.4. Mathematical Model
Author Contributions
Funding
Conflicts of Interest
References
- Karabín, M.; Hudcová, T.; Jelínek, L.; Dostálek, P. Biologically Active Compounds from Hops and Prospects for Their Use. Compr. Rev. Food Sci. Food Saf. 2016, 15, 542–567. [Google Scholar] [CrossRef]
- Awasthi, P.; Kocábek, T.; Mishra, A.K.; Nath, V.S.; Shrestha, A.; Matoušek, J. Establishment of CRISPR/Cas9 mediated targeted mutagenesis in hop (Humulus lupulus). Plant Physiol. Biochem. 2021, 160, 1–7. [Google Scholar] [CrossRef]
- Afonso, S.; Arrobas, M.; Pereira, E.L.; Rodrigues, M.Â. Recycling nutrient-rich hop leaves by composting with wheat straw and farmyard manure in suitable mixtures. J. Environ. Manag. 2021, 284, 112105. [Google Scholar] [CrossRef] [PubMed]
- Economic Commission. Summary Reports. In Proceedings of the International Hop Growers’ Convention, Online. 9 November 2020. [Google Scholar]
- Mishra, A.K.; Kocábek, T.; Nath, V.S.; Awasthi, P.; Shrestha, A.; Killi, U.K.; Jakse, J.; Patzak, J.; Krofta, K.; Matoušek, J. Dissection of Dynamic Transcriptome Landscape of Leaf, Bract, and Lupulin Gland in Hop (Humulus lupulus L.). Int. J. Mol. Sci. 2020, 21, 233. [Google Scholar] [CrossRef]
- Bocquet, L.; Rivière, C.; Dermont, C.; Samaillie, J.; Hilbert, J.-L.; Halama, P.; Siah, A.; Sahpaz, S. Antifungal activity of hop extracts and compounds against the wheat pathogen Zymoseptoria tritici. Ind. Crop. Prod. 2018, 122, 290–297. [Google Scholar] [CrossRef]
- Milligan, S.; Kalita, J.; Pocock, V.; Heyerick, A.; de Cooman, L.; Rong, H.; de Keukeleire, D. Oestrogenic Activity of the Hop Phyto-Oestrogen, 8-Prenylnaringenin. Reprod. Camb. Engl. 2002, 123, 235–242. [Google Scholar] [CrossRef]
- Arruda, T.R.; Pinheiro, P.F.; Silva, P.I.; Bernardes, P.C. A new perspective of a well-recognized raw material: Phenolic content, antioxidant and antimicrobial activities and α- and β-acids profile of Brazilian hop (Humulus lupulus L.) extracts. LWT 2021, 141, 110905. [Google Scholar] [CrossRef]
- Rutnik, K.; Hrnčič, M.K.; Košir, I.J. Hop Essential Oil: Chemical Composition, Extraction, Analysis, and Applications. Food Rev. Int. 2021, 37, 1–23. [Google Scholar] [CrossRef]
- Holubkova, A.; Mosovska, S.; Baloghová, B.; Šturdík, E. Hop pellets as an interesting source of antioxidant active compounds. Potravin. Slovak J. Food Sci. 2013, 7, 53–57. [Google Scholar] [CrossRef]
- Lafontaine, S.; Varnum, S.; Roland, A.; Delpech, S.; Dagan, L.; Vollmer, D.; Kishimoto, T.; Shellhammer, T. Impact of harvest maturity on the aroma characteristics and chemistry of Cascade hops used for dry-hopping. Food Chem. 2019, 278, 228–239. [Google Scholar] [CrossRef]
- Schönberger, C.; Kostelecky, T. 125th Anniversary Review: The Role of Hops in Brewing. J. Inst. Brew. 2011, 117, 259–267. [Google Scholar] [CrossRef]
- Laws, D.R.J. Hop Extracts—A Review. J. Inst. Brew. 1981, 87, 24–29. [Google Scholar] [CrossRef]
- Caballero, I.; Blanco, C.A.; Porras, M. Iso-α-acids, bitterness and loss of beer quality during storage. Trends Food Sci. Technol. 2012, 26, 21–30. [Google Scholar] [CrossRef]
- Steenackers, B.; de Cooman, L.; de Vos, D. Chemical transformations of characteristic hop secondary metabolites in relation to beer properties and the brewing process: A review. Food Chem. 2015, 172, 742–756. [Google Scholar] [CrossRef]
- Tyśkiewicz, K.; Gieysztor, R.; Konkol, M.; Szałas, J.; Rój, E. Essential Oils from Humulus lupulus scCO2 Extract by Hydrodistillation and Microwave-Assisted Hydrodistillation. Molecules 2018, 23, 2866. [Google Scholar] [CrossRef] [PubMed]
- Krottenthaler, M. Hops. In Handbook of Brewing; John Wiley & Sons: Hoboken, NJ, USA, 2009; pp. 85–104. ISBN 978-3-527-62348-8. [Google Scholar]
- Biendl, M.; Pinzl, C. Hops and Health: Uses, Effects, History, 2nd updated ed.; German Hop Museum: Wolnzach, Germany, 2013; ISBN 978-3-929749-10-6. [Google Scholar]
- Matsui, H.; Inui, T.; Oka, K.; Fukui, N. The influence of pruning and harvest timing on hop aroma, cone appearance, and yield. Food Chem. 2016, 202, 15–22. [Google Scholar] [CrossRef] [PubMed]
- Daoud, I.S.; Kusinski, S. Process Aspects of the Extraction of Hops with Liquid Carbon Dioxide. J. Inst. Brew. 1986, 92, 559–567. [Google Scholar] [CrossRef]
- Kupski, S.C.; Klein, E.J.; Silva, E.A.; Palú, F.; Guirardello, R.; Vieira, M.G.A. Mathematical modeling of supercritical CO2 extraction of hops (Humulus lupulus L.). J. Supercrit. Fluids 2017, 130, 347–356. [Google Scholar] [CrossRef]
- Knez, Ž.; Markočič, E.; Leitgeb, M.; Primožič, M.; Hrnčič, M.K.; Škerget, M. Industrial applications of supercritical fluids: A review. Energy 2014, 77, 235–243. [Google Scholar] [CrossRef]
- Hrnčič, M.K.; Španinger, E.; Košir, I.J.; Knez, Ž.; Bren, U. Hop Compounds: Extraction Techniques, Chemical Analyses, Antioxidative, Antimicrobial, and Anticarcinogenic Effects. Nutrients 2019, 11, 257. [Google Scholar] [CrossRef]
- Pereira, C.G.; Meireles, M.A.A. Supercritical Fluid Extraction of Bioactive Compounds: Fundamentals, Applications and Economic Perspectives. Food Bioprocess Technol. 2010, 3, 340–372. [Google Scholar] [CrossRef]
- Solana, M.; Boschiero, I.; dall’Acqua, S.; Bertucco, A. Extraction of bioactive enriched fractions from Eruca sativa leaves by supercritical CO2 technology using different co-solvents. J. Supercrit. Fluids 2014, 94, 245–251. [Google Scholar] [CrossRef]
- Shabkhiz, M.A.; Eikani, M.H.; Sadr, Z.B.; Golmohammad, F. Superheated water extraction of glycyrrhizic acid from licorice root. Food Chem. 2016, 210, 396–401. [Google Scholar] [CrossRef]
- Fetzer, D.L.; Cruz, P.N.; Hamerski, F.; Corazza, M.L. Extraction of baru (Dipteryx alata vogel) seed oil using compressed solvents technology. J. Supercrit. Fluids 2018, 137, 23–33. [Google Scholar] [CrossRef]
- Czaikoski, K.; Mesomo, M.C.; Scheer, A.D.P.; Santa, O.R.D.; Queiroga, C.L.; Corazza, M.L. Kinetics, composition and biological activity of Eupatorium intermedium flower extracts obtained from scCO2 and compressed propane. J. Supercrit. Fluids 2015, 97, 145–153. [Google Scholar] [CrossRef]
- Mesomo, M.C.; Scheer, A.D.P.; Perez, E.; Ndiaye, P.M.; Corazza, M.L. Ginger (Zingiber officinale R.) extracts obtained using supercritical CO2 and compressed propane: Kinetics and antioxidant activity evaluation. J. Supercrit. Fluids 2012, 71, 102–109. [Google Scholar] [CrossRef]
- Correa, M.; Bombardelli, M.C.M.; Fontana, P.D.; Bovo, F.; Messias-Reason, I.J.; Maurer, J.B.B.; Corazza, M.L. Bioactivity of extracts of Musa paradisiaca L. obtained with compressed propane and supercritical CO2. J. Supercrit. Fluids 2017, 122, 63–69. [Google Scholar] [CrossRef]
- Teixeira, G.L.; Ghazani, S.M.; Corazza, M.L.; Marangoni, A.G.; Ribani, R.H. Assessment of subcritical propane, supercritical CO2 and Soxhlet extraction of oil from sapucaia (Lecythis pisonis) nuts. J. Supercrit. Fluids 2018, 133, 122–132. [Google Scholar] [CrossRef]
- Guedes, A.R.; de Souza, A.R.C.; Zanoelo, E.F.; Corazza, M.L. Extraction of citronella grass solutes with supercritical CO2, compressed propane and ethanol as cosolvent: Kinetics modeling and total phenolic assessment. J. Supercrit. Fluids 2018, 137, 16–22. [Google Scholar] [CrossRef]
- Catchpole, O.J.; Tallon, S.J.; Grey, J.B.; Fenton, K.; Fletcher, K.; Fletcher, A.J. Extraction of Lipids from Aqueous Protein-Rich Streams using Near-Critical Dimethylether. Chem. Eng. Technol. 2007, 30, 501–510. [Google Scholar] [CrossRef]
- Knez, Ž.; Ilić, L.; Škerget, M.; Kotnik, P. High-Pressure Solubility Data for Palm Oil−SF6and Coconut Oil−SF6Systems. J. Chem. Eng. Data 2010, 55, 5829–5833. [Google Scholar] [CrossRef]
- Ilič, L.; Škerget, M.; Hrncic, M.K.; Knez, Ž. Phase behavior of sunflower oil and soybean oil in propane and sulphur hexafluoride. J. Supercrit. Fluids 2009, 51, 109–114. [Google Scholar] [CrossRef]
- Biendl, M.; Engelhard, B.; Forster, A.; Gahr, A.; Lutz, A.; Mitter, W.; Schmidt, R.; Schönberger, C. Hops: Their Cultivation, Composition and Usage; Fachverlag Hans Carl GmbH: Nuremberg, Germany, 2015; Volume 2014, ISBN 978-3-418-00904-9. [Google Scholar]
- Campos, L.M.A.S.; Michielin, E.M.Z.; Danielski, L.; Ferreira, S.R.S. Experimental data and modeling the supercritical fluid extraction of marigold (Calendula officinalis) oleoresin. J. Supercrit. Fluids 2005, 34, 163–170. [Google Scholar] [CrossRef]
- Del Valle, J.M.; Rivera, O.; Teuber, O.; Palma, M.T. Supercritical CO2 extraction of Chilean hop (Humulus lupulus) ecotypes. J. Sci. Food Agric. 2003, 83, 1349–1356. [Google Scholar] [CrossRef]
- Vargas, R.M.F.; Cassel, E.; Gomes, G.M.F.; Longhi, L.G.S.; Atti-Serafini, L.; Atti-Santos, A.C. Supercritical extraction of carqueja essential oil: Experiments and modeling. Braz. J. Chem. Eng. 2006, 23, 375–382. [Google Scholar] [CrossRef][Green Version]
- Zancan, K.C.; Marques, M.O.M.; Petenate, A.J.; Meireles, M.A.A. Extraction of ginger (Zingiber officinale Roscoe) oleoresin with CO2 and co-solvents: A study of the antioxidant action of the extracts. J. Supercrit. Fluids 2002, 24, 57–76. [Google Scholar] [CrossRef]
- Sovová, H.; Jez, J.; Bártlová, M.; St’Astová, J. Supercritical carbon dioxide extraction of black pepper. J. Supercrit. Fluids 1995, 8, 295–301. [Google Scholar] [CrossRef]
- Langezaal, C.R.; Chandra, A.; Katsiotis, S.T.; Scheffer, J.J.C.; De Haan, A.B. Analysis of supercritical carbon dioxide extracts from cones and leaves of a Humulus lupulus L cultivar. J. Sci. Food Agric. 1990, 53, 455–463. [Google Scholar] [CrossRef]
- Veiga, B.A.; Hamerski, F.; Clausen, M.P.; Errico, M.; Scheer, A.D.P.; Corazza, M.L. Compressed fluids extraction methods, yields, antioxidant activities, total phenolics and flavonoids content for Brazilian Mantiqueira hops. J. Supercrit. Fluids 2021, 170, 105155. [Google Scholar] [CrossRef]
- European Brewery Convention. Analytica-EBC, Section 7 Hops, Method 7.7; Hans Carl Getränke Fachverlag: Nürenberg, Germany, 2007. [Google Scholar]
- European Brewery Convention. Analytica-EBC, Section 7 Hops, Method 7.2; Hans Carl Getränke Fachverlag: Nürenberg, Germany, 2007. [Google Scholar]
- Hadolin, M.; Škerget, M.; Knez, Z.; Bauman, D. High pressure extraction of vitamin E-rich oil from Silybum marianum. Food Chem. 2001, 74, 355–364. [Google Scholar] [CrossRef]
- NIST. Nist Chemistry Webbook: Nist Standard Reference Database Number 69. Available online: https://webbook.nist.gov/chemistry/ (accessed on 12 April 2021).
- Skerget, M.; Bezjak, M.; Makovšek, K.; Knez, Z. Extraction of Lutein Diesters from Tagetes erecta using Supercritical CO2 and Liquid Propane. Acta Chim. Slov. 2010, 57, 60–65. [Google Scholar]
- Aleksovski, S.A.; Sovova, H. Supercritical CO2 extraction of Salvia officinalis L. J. Supercrit. Fluids 2007, 40, 239–245. [Google Scholar] [CrossRef]
- Anekpankul, T.; Goto, M.; Sasaki, M.; Pavasant, P.; Shotipruk, A. Extraction of anti-cancer damnacanthal from roots of Morinda citrifolia by subcritical water. Sep. Purif. Technol. 2007, 55, 343–349. [Google Scholar] [CrossRef]
- Kubátová, A.; Jansen, B.; Vaudoisot, J.-F.; Hawthorne, S.B. Thermodynamic and kinetic models for the extraction of essential oil from savory and polycyclic aromatic hydrocarbons from soil with hot (subcritical) water and supercritical CO2. J. Chromatogr. A 2002, 975, 175–188. [Google Scholar] [CrossRef]
- Machmudah, S.; Kondo, M.; Sasaki, M.; Goto, M.; Munemasa, J.; Yamagata, M. Pressure effect in supercritical CO2 extraction of plant seeds. J. Supercrit. Fluids 2008, 44, 301–307. [Google Scholar] [CrossRef]
- Sovová, H. Rate of the vegetable oil extraction with supercritical CO2—I. Modelling of extraction curves. Chem. Eng. Sci. 1994, 49, 409–414. [Google Scholar] [CrossRef]
- Crank, J.; Crank, E.P.J. The Mathematics of Diffusion; Oxford University Press: Oxford, UK, 1975; ISBN 978-0-19-853411-2. [Google Scholar]











| Solvent | T [°C] | p [bar] | * | ** | ** | *** | *** | **** |
|---|---|---|---|---|---|---|---|---|
| CO2 | 20 | 100 | 856.3 | 0.533 | 0.075 | 0.155 | / | 1.66 |
| 20 | 150 | 904.0 | 1.255 | 0.074 | 0.248 | / | 0.88 | |
| 40 | 100 | 628.6 | 0.184 | 0.786 | 0.252 | / | 1.99 | |
| 40 | 150 | 780.2 | 1.254 | 0.046 | 0.243 | / | 7.77 | |
| 60 | 150 | 604.1 | 0.673 | 0.385 | 0.153 | / | 5.19 | |
| 80 | 150 | 427.2 | 0.619 | 0.387 | 0.039 | / | 4.09 | |
| Propane | 20 | 50 | 510.8 | 0.767 | 0.318 | 0.216 | 0.006 | 2.51 |
| 20 | 100 | 521.3 | 0.161 | 0.852 | 0.220 | 0.566 | 3.38 | |
| 20 | 150 | 530.2 | 0.012 | 0.957 | 0.299 | 0.417 | 3.48 | |
| 40 | 50 | 481.2 | 0.007 | 0.963 | 0.379 | 0.384 | 1.81 | |
| 40 | 100 | 495.5 | 0.007 | 1.095 | 0.413 | 0.630 | 13.1 | |
| 40 | 150 | 506.9 | 0.739 | 0.134 | 0.202 | 0.032 | 0.46 | |
| 60 | 50 | 446.4 | 0.391 | 0.260 | 0.449 | 0.817 | 0.33 | |
| 60 | 100 | 467.2 | 0.651 | 0.241 | 0.537 | 0.681 | 0.35 | |
| 60 | 150 | 482.1 | 0.640 | 0.063 | 0.547 | 0.059 | 3.56 | |
| 80 | 50 | 400.9 | 0.414 | 0.262 | 0.405 | 0.063 | 1.81 | |
| 80 | 100 | 435.2 | 0.637 | 0.326 | 0.422 | 0.011 | 2.96 | |
| 80 | 150 | 455.6 | 0.606 | 0.327 | 0.516 | 0.422 | 1.38 | |
| DME | 40 | 50 | 630.3 | 1.059 | 0.008 | 0.291 | 0.116 | 1.62 |
| 40 | 100 | 635.3 | 0.332 | 0.428 | 0.344 | 0.745 | 0.70 | |
| 40 | 150 | 639.8 | 0.627 | 0.037 | 0.545 | 1.270 | 0.53 | |
| 60 | 50 | 592.7 | 0.894 | 0.129 | 0.726 | 0.196 | 0.81 | |
| 60 | 100 | 599.7 | 1.259 | 0.057 | 0.729 | 0.445 | 3.00 | |
| 60 | 150 | 606.5 | 0.927 | 0.027 | 0.736 | 0.329 | 0.11 | |
| 80 | 50 | 549.1 | 1.379 | 1.090 | 0.624 | 0.205 | 0.38 | |
| 80 | 100 | 560.1 | 0.885 | 0.073 | 0.628 | 0.209 | 1.13 | |
| 80 | 150 | 571.2 | 0.987 | 0.126 | 0.657 | 0.234 | 1.35 | |
| SF6 | 20 | 50 | 1469.7 | 0.936 | 0.024 | 0.067 | 0.586 | 8.90 |
| 20 | 100 | 1545.8 | 0.657 | 0.251 | 0.073 | 0.200 | 4.14 | |
| 20 | 150 | 1598.0 | 0.810 | 0.394 | 0.078 | 0.286 | 2.65 | |
| 40 | 50 | 1273.4 | 0.935 | 0.148 | 0.056 | 0.063 | 9.10 | |
| 40 | 100 | 1419.9 | 0.501 | 0.438 | 0.294 | 0.239 | 1.20 | |
| 40 | 150 | 1495.4 | 0.695 | 0.416 | 0.312 | 0.205 | 3.60 | |
| 60 | 50 | 753.3 | 0.935 | 0.042 | 0.051 | 0.043 | 3.62 | |
| 60 | 100 | 1269.2 | 0.577 | 0.508 | 0.936 | 0.162 | 0.06 | |
| 60 | 150 | 1383.9 | 0.996 | 0.078 | 0.966 | 0.162 | 4.90 | |
| 80 | 100 | 1085.7 | 0.740 | 0.571 | 0.813 | 0.050 | 3.30 | |
| 80 | 150 | 1263.1 | 0.510 | 0.297 | 0.789 | 0.831 | 1.14 |
| Solvent | T [°C] | P [bar] | * [%] | [%] | [%] | [%] | [%] |
|---|---|---|---|---|---|---|---|
| CO2 | 20 | 100 | 11.4 | 64.5 | 48.3 | 6.4 ± 0.3 | 2.4 ± 0.1 |
| 20 | 150 | 11.7 | 50.7 | 79.8 | 5.0 ± 0.2 | 3.8 ± 0.2 | |
| 40 | 100 | 2.6 | 8.1 | 19.5 | 0.8 ± <0.1 | 0.9 ± <0.1 | |
| 40 | 150 | 12.2 ± 0.2 a | 79.7 | 29.6 | 7.9 ± 0.4 | 1.4 ± < 0.1 | |
| 60 | 150 | 6.5 | 24.3 | 64.4 | 2.4 ± 0.1 | 3.0 ± 0.1 | |
| 80 | 150 | 3.7 | 3.8 | 10.1 | 0.4 ± <0.1 | 0.5 ± < 0.1 | |
| Propane | 20 | 50 | 12.6 | 48.8 | 64.7 | 4.8 ± 0.2 | 3.0 ± 0.1 |
| 20 | 100 | 15.3 | 64.5 | 80.7 | 6.4 ± 0.3 | 3.8 ± 0.2 | |
| 20 | 150 | 15.3 | 66.7 | 85.2 | 6.6 ± 0.3 | 4.0 ± 0.2 | |
| 40 | 50 | 15.6 | 66.2 | 77.4 | 6.5 ± 0.3 | 3.6 ± 0.2 | |
| 40 | 100 | 16.9 | 71.2 | 81.2 | 7.0 ± 0.3 | 3.8 ± 0.2 | |
| 40 | 150 | 17.8 | 82.9 | 86.7 | 8.2 ± 0.4 | 4.1 ± 0.2 | |
| 60 | 50 | 18.4 | 82.2 | 83.6 | 8.1 ± 0.4 | 3.9 ± 0.2 | |
| 60 | 100 | 18.6 | 84.6 | 86.7 | 8.4 ± 0.4 | 4.1 ± 0.2 | |
| 60 | 150 | 18.7 ± 0.1 b | 87.6 | 90.5 | 8.7 ± 0.4 | 4.3 ± 0.2 | |
| 80 | 50 | 14.3 | 62.3 | 57.4 | 6.1 ± 0.3 | 2.7 ± 0.1 | |
| 80 | 100 | 16.1 | 55.8 | 66.4 | 5.5 ± 0.2 | 3.1 ± 0.1 | |
| 80 | 150 | 16.9 | 58.5 | 61.9 | 5.8 ± 0.3 | 2.9 ± 0.1 | |
| DME | 40 | 50 | 24.9 | 86.4 | 86.9 | 8.5 ± 0.4 | 4.1 ± 0.2 |
| 40 | 100 | 22.9 | 97.6 | 94.2 | 9.6 ± 0.4 | 4.4 ± 0.2 | |
| 40 | 150 | 25.3 | 90.3 | 92.8 | 8.9 ± 0.4 | 4.4 ± 0.2 | |
| 60 | 50 | 23.9 | 87.0 | 96.2 | 8.6 ± 0.4 | 4.5 ± 0.2 | |
| 60 | 100 | 24.9 | 87.7 | 86.3 | 8.7 ± 0.4 | 4.1 ± 0.2 | |
| 60 | 150 | 25.6 ± 0.5 c | 84.6 | 84.9 | 8.3 ± 0.4 | 4.0 ± 0.2 | |
| 80 | 50 | 24.7 | 49.7 | 61.7 | 4.9 ± 0.2 | 2.9 ± 0.1 | |
| 80 | 100 | 24.0 | 52.9 | 66.0 | 5.2 ± 0.2 | 3.1 ± 0.1 | |
| 80 | 150 | 23.5 | 59.9 | 74.8 | 5.9 ± 0.3 | 3.5 ± 0.2 | |
| SF6 | 20 | 50 | 0.8 | 0.01 | <0.01 | 0.1 ± <0.01 | <0.1 ± <0.01 |
| 20 | 100 | 0.7 | <0.01 | <0.01 | <0.1 ± <0.01 | <0.1 ± <0.01 | |
| 20 | 150 | 0.6 | 0.01 | <0.01 | 0.1 ± <0.01 | <0.1 ± <0.01 | |
| 40 | 50 | 0.7 | 0.01 | <0.01 | 0.1 ± <0.01 | <0.1 ± <0.01 | |
| 40 | 100 | 0.7 | 0.01 | <0.01 | 0.1 ± <0.01 | <0.1 ± <0.01 | |
| 40 | 150 | 0.7 | <0.01 | <0.01 | <0.1 ± <0.01 | <0.1 ± <0.01 | |
| 60 | 50 | 0.5 | 0.01 | <0.01 | 0.1 ± <0.01 | <0.1 ± <0.01 | |
| 60 | 100 | 0.7 | <0.01 | <0.01 | <0.1 ± <0.01 | <0.1 ± <0.01 | |
| 60 | 150 | 0.9 ± 0.01 d | <0.01 | <0.01 | <0.1 ± <0.01 | <0.1 ± <0.01 | |
| 80 | 100 | 0.7 | <0.01 | 0.01 | <0.1 ± <0.01 | <0.1 ± <0.01 | |
| 80 | 150 | 0.8 | 0.01 | 0.01 | 0.1 ± <0.01 | 0.1 ± <0.01 |
Publisher’s Note: MDPI stays neutral with regard to jurisdictional claims in published maps and institutional affiliations. |
© 2021 by the authors. Licensee MDPI, Basel, Switzerland. This article is an open access article distributed under the terms and conditions of the Creative Commons Attribution (CC BY) license (https://creativecommons.org/licenses/by/4.0/).
Share and Cite
Bizaj, K.; Škerget, M.; Košir, I.J.; Knez, Ž. Sub- and Supercritical Extraction of Slovenian Hops (Humulus lupulus L.) Aurora Variety Using Different Solvents. Plants 2021, 10, 1137. https://doi.org/10.3390/plants10061137
Bizaj K, Škerget M, Košir IJ, Knez Ž. Sub- and Supercritical Extraction of Slovenian Hops (Humulus lupulus L.) Aurora Variety Using Different Solvents. Plants. 2021; 10(6):1137. https://doi.org/10.3390/plants10061137
Chicago/Turabian StyleBizaj, Katja, Mojca Škerget, Iztok Jože Košir, and Željko Knez. 2021. "Sub- and Supercritical Extraction of Slovenian Hops (Humulus lupulus L.) Aurora Variety Using Different Solvents" Plants 10, no. 6: 1137. https://doi.org/10.3390/plants10061137
APA StyleBizaj, K., Škerget, M., Košir, I. J., & Knez, Ž. (2021). Sub- and Supercritical Extraction of Slovenian Hops (Humulus lupulus L.) Aurora Variety Using Different Solvents. Plants, 10(6), 1137. https://doi.org/10.3390/plants10061137

