Plant Available Zinc Is Influenced by Landscape Position in the Amhara Region, Ethiopia
Abstract
1. Introduction
2. Materials and Methods
2.1. Site Description
2.2. Soil Sample Collection, Preparation and Standard Analysis
2.3. Adsorption and Desorption Isotherms
2.4. Zn Analysis in the Soil Solutions
2.5. Langmuir and Freundlich Isotherm Models
2.6. Statistics and Modelling
3. Results
3.1. General Soil Physico-Chemical Properties
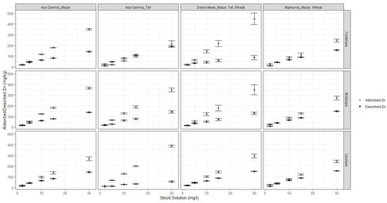
3.2. Effect of Stock Solution on Equilibrium, Adsorbed and Desorbed Zn
3.3. Comparing the Adsorption-Desorption Results with the Langmuir and Freundlich Isotherms
3.4. Empirical Models with Soil Parameters
4. Discussion
4.1. Amount of Adsorbed and Desorbed Zn with Landscape Positions
4.2. Langmuir and Freundlich Isotherms
4.3. Soil Factors Driving These Processes
4.4. Implications for Zn in the Soil and Potential Availability for Crop Uptake
5. Conclusions
Author Contributions
Funding
Institutional Review Board Statement
Informed Consent Statement
Acknowledgments
Conflicts of Interest
References
- Hambridge, K.M. Human Zn deficiency. J. Nutr. 2000, 130, 1344–1349. [Google Scholar] [CrossRef] [PubMed]
- Broadley, M.R.; White, P.J.; Hammond, J.P.; Zelko, I.; Lux, A. Zn in plants. New Phytol. 2007, 173, 677–702. [Google Scholar] [CrossRef] [PubMed]
- Chasapis, C.T.; Loutsidou, A.C.; Spiliopoulou, C.A.; Stefanidou, M.E. Zn and human health: An update. Arch. Toxicol. 2012, 86, 521–534. [Google Scholar] [CrossRef] [PubMed]
- Kumssa, D.; Edward, J.M.; Joy, E.; Ander, L.; Watts, M.J.; Young, S.D.; Walker, S.; Broadley, M.R. Dietary calcium and Zn deficiency risks are decreasing but remain prevalent. Sci. Rep. 2015, 5, 10974. [Google Scholar] [CrossRef] [PubMed]
- EPHI—Ethiopian Public Health Institute. Annual Report; EPHI: Addis Ababa, Ethiopia, 2016.
- Masresha, T.; De Groote, H.; Brouwer, I.D.; Feskens, E.J.M.; Belachew, T.; Zerfu, D.; Belay, A.; Demelash, Y.; Gunaratna, N.S. Soil Zn is associated with Serum Zn but not with linear growth of children in Ethiopia. Nutrients 2019, 11, 221. [Google Scholar]
- Alloway, B.J. Soil factors associated with Zn deficiency in crops and humans. Environ. Geochem. Health 2009, 31, 537–548. [Google Scholar] [CrossRef]
- Bereket, H. Assessment of Zn and Iron, Zn and Adsorption, and Effects of Zn and Iron on Yields and Grain Nutrient Concentration of Teff and Bread Wheat in Some Soils of Tigray, Northern Ethiopia. Ph.D. Thesis, Haramaya University, Dire Dawa, Ethiopia, 2018. [Google Scholar]
- Teklu, B.; Suwanarit, A.; Osotsapar, Y.; Sarobol, E. Status of B, Cu, Fe, Mo and Zn of Soils of Ethiopia for Maize Production: Greenhouse Assessment. Kasetsart J. Nat. Sci. 2005, 39, 357–367. [Google Scholar]
- Asgelil, D.; Taye, B.; Yesuf, A. The status of micro-nutrients in Nitisols, Vertisols, Cambisols and Fluvisols in major maize, wheat, teff and citrus growing areas of Ethiopia. In Proceedings of the Agricultural Research Fund Research Projects Completion Workshop, Addis Ababa, Ethiopia, 1–2 February 2007; pp. 77–96. [Google Scholar]
- Yifru, A.; Kebede, M. Assessment on the Status of Some Micronutrients in Vertisols of the Central Highlands of Ethiopia. Inter. Res. J. Agr. Sci. Soil Sci. 2013, 3, 169–173. [Google Scholar]
- Yifru, A.; Kassa, S. Status of Soil Micronutrients in Ethiopian Soils: A Review. J. Envir. Earth Sci. 2017, 7, 85–90. [Google Scholar]
- Ashenafi, W.; Bedadi, B.; Mohammed, M. Assessment on the Status of Some Micronutrients of Salt Affected Soils in Amibara Area, Central Rift Valley of Ethiopia. Acad. J. Agri. Res. 2016, 4, 534–542. [Google Scholar]
- Dandanmozd, F.; Hosseinpur, A.R. Thermodynamic parameters of Zn sorption in some calcareous soils. J. Am. Sci 2010, 6, 298–304. [Google Scholar]
- Rutkowska, B.; Szulc, W.; Bomze, K. Soil factors affecting solubility and mobility of Zn in contaminated soils. Int. J. Environ. Sci. Technol. 2015, 12, 1687–1694. [Google Scholar] [CrossRef]
- Dhanwinder, S.; McLaren, R.G.; Cameron, K.C. Effect of pH on Zn Sorption–Desorption by Soils. J. Comm. Soil Sci. Plant. Anal. 2008, 39, 2971–2984. [Google Scholar]
- Muhammad, I.; Alloway, B.J.; Aslam, M.; Memon, M.Y.; Khan, P.; Siddiqui, S.-u.-H.; Shah, S.K.H. Zn Sorption in Selected Soils. Comm. Soil Sci. Plant. Anal. 2006, 37, 1675–1688. [Google Scholar]
- Gaudalix, M.E.; Pardo, M.T. Zn sorption by acid tropical soil as affected by cultivation. Eur. J. Soil Sci. 1995, 46, 317–322. [Google Scholar] [CrossRef]
- Tisdale, S.L.; Nelson, W.L.; Beaton, J.D.; Havlin, J.L. Soil Fertility and Fertilizers, 5th ed.; Macmillan Publishing Company: New York, NY, USA, 1993. [Google Scholar]
- Available online: https://www.meteoblue.com (accessed on 24 September 2020).
- Tiessen, H.; Bettany, J.R.; Stewart, J.W.B. An improved method for the determination of carbon in soils and soil extracts by dry combustion. Commun. Soil Sci. Plant. Anal. 1981, 12, 211–218. [Google Scholar] [CrossRef]
- Olsen, S.R.; Cole, C.V.; Watanabe, F.S.; Dean, L.A. Estimation of available phosphorus in soils by extraction with sodium carbonate. USDA Circ. 1954, 939, 1–19. [Google Scholar]
- McGrath, S.P.; Cunliffe, C.H. A Simplified Method for the Extraction of the metals Fe, Zn, Cu, Ni, Cd, Pb, Cr, Co and Mn from Soils and Sewage Sludges. J. Sci. Food Agric. 1985, 36, 794–798. [Google Scholar] [CrossRef]
- Schwertmann, U. Differenzierung der Eisenoxide des Bodens durch Extraktion mit Ammoniumoxalat-Lösung. Z. Pflanzenernahr. Bodenkd. 1964, 105, 194–202. (In German) [Google Scholar] [CrossRef]
- Ciesielski, H.; Sterckeman, T. Determination of cation exchange capacity and exchangeable cations in soils by means of cobalt hexamine trichloride. Effect of experimental conditions. Agronomie 1977, 17. [Google Scholar] [CrossRef]
- Reyhanitabar, A.; Ardalan, M.; Gilkes, R.J.; Savaghebi, G. Zn sorption characteristics of some selected calcareous soils of Iran. J. Agr. Sci. Tech. 2010, 12, 99–110. [Google Scholar]
- Tan, I.A.W.; Ahmed, A.L.; Hammed, B.H. Adsorption isotherms, kinetics, thermodynamics and desorption studies of 2,4,6-trichlorophenol on oil palm empty fruit bunch-based activated carbon. J. Hazard. Mat. 2009, 164, 473–482. [Google Scholar] [CrossRef] [PubMed]
- Langmuir, I. The sorption of gases on plane surface of glass Mica and Platin. J. Am. Chem. Sos. 1918, 40, 1361–1403. [Google Scholar] [CrossRef]
- Freundlich, H. Kapillarchemie: Eine Darstellung der Chemie der Kolloide und verwandter Gebiete; Akademische Verlagsgesellschaf: Leipzig, Germany, 1909. [Google Scholar]
- Tekalign, T. Soil, Plant, Water, Fertilizer, Animal Manure and Compost Analysis; Working Document No. 13; International Livestock Research Center for Africa: Addis Ababa, Ethiopia, 1991. [Google Scholar]
- Landon, J.R. Booker Tropical Soil Manual: A Handbook for Soil Survey and Agricultural Land Evaluation in the Tropics and Subtropics; Longman Scientific and Technical: Essex, NY, USA; John Wiley & Sons Inc.: New York, NY, USA, 1991; 474p. [Google Scholar]
- Jones, J.B. Agronomic Handbook: Management of Crops, Soils, and Their Fertility; CRC Press LLC: Boca Raton, FL, USA, 2003; 482p. [Google Scholar]
- FAO. Plant Nutrition for Food Security: A Guide for Integrated Nutrient Management; Food and Agriculture Organization, Fertilizer and Plant Nutrition Bulletin; FAO: Rome, Italy, 2006; p. 16. [Google Scholar]
- Mohammed, H.S. Sorption Mechanisms of Zn in Different Clay Minerals and Soil Systems as Influenced by Various Natural Ligands. Ph.D. Thesis, Louisiana State University and Agricultural and Mechanical College, Baton Rouge, LA, USA, 2010. [Google Scholar]
- Aysen, A.; Doulati, B. The Effect of Soil Properties on Zn Adsorption. J. Int. Environ/ App. Sci. 2012, 7, 151–160. [Google Scholar]
- Fan, T.T.; Wang, Y.J.; Li, C.B.; He, J.Z.; Gao, J.; Zhou, D.M.; Friedman, S.P.; Sparks, D.L. Effect of Organic Matter on Sorption of Zn on Soil: Elucidation by Wien Effect Measurements and EXAFS Spectroscopy. Environ. Sci. Technol. 2016, 50, 2931–2937. [Google Scholar] [CrossRef]
- Hamid Reza, B.; Najafi-Ghiri, M.; Amin, H.; Mirsoleimani, A. Zn desorption kinetics from some calcareous soils of orange (Citrus sinensis L.) orchards, southern Iran. Soil Chem. Soil Min. 2018, 20–27. [Google Scholar] [CrossRef]
- Ashraf, M.S.; Ranjha, A.M.; Yaseen, M.; Ahmad, N.; Hannan, A. Zn adsorption behaviour of different textured calcareous soils using Freundlich and Langmuir models. Pakistan J. Agric. Sci. 2008, 45, 6–10. [Google Scholar]
- Hashemi, S.S.; Baghernejad, M. Zn sorption by acid, calcareous and gypsiferous soils as related to soil mineralogy. Iran. Agric. Res. 2009, 28, 1–16. [Google Scholar]
- Gurpreet-Kaur; Sharma, B.D.; Sharma, P. Zn adsorption as affected by concentration, temperature, and time of contact in the presence of electrolytic and aqueous medium in benchmark Soils of Punjab in Northwest India. Comm. Soil Sci. Plant Anal. 2012, 43, 701–715. [Google Scholar]
- Hararah, M.A.; Al-Nasir, F.; El-Hasan, T.; Al-Muhtaseb, A.H. Zn adsorption–desorption isotherms: Possible effects on the calcareous Vertisols from Jordan. Environ. Earth Sci. 2012, 65, 2079–2085. [Google Scholar] [CrossRef]
- Maskina, M.S.; Randhawa, N.S.; Sinha, M.K. Relation of growth and Zn uptake of rice to quantity, intensity and buffering capacity factors of Zn in soils. Plant. Soil 1980, 54, 195–205. [Google Scholar] [CrossRef]
- Nimibofa, A.S.S.; Wankasi, A.D.; Dikio, E.D. Synthesis, characterization and application of Mg/Al layered double hydroxide for the degradation of congo red in aqueous solution. Open J. Phys. Chem. 2015, 5, 56–70. [Google Scholar]
- Shuman, L.M. The effect of soil properties on Zn adsorption by soils. Soil Sci. Soc. Am. Proc. 1975, 39, 454–458. [Google Scholar] [CrossRef]
- Sipos, P.; Nemeth, T. Effect of clay mineralogy on trace metal geochemistry as reflected by the soil profiles from the Cserhat Mts. In Proceedings of the NE Hungary, MEC Conference, Stara Lesna, Slovakia, 1 October 2001; Volume 99. [Google Scholar]






| Location_Crop * | Landscape Position | pH | Total N (%) | SOC (%) | Olsen P (mg kg−1) | Total Concentrations (mg kg−1) | |||||||||
|---|---|---|---|---|---|---|---|---|---|---|---|---|---|---|---|
| Ca | Cu | Fe | K | Mg | Mn | Mo | P | S | Zn | ||||||
| Aba Gerima_T | Upslope | 6.0 | 0.11 | 1.34 | 4.2 | 4470 | 106 | 122,623 | 1514 | 9469 | 1815 | 0.03 | 289 | 140 | 94 |
| Midslope | 5.8 | 0.08 | 0.94 | 3.2 | 3603 | 140 | 125,029 | 1509 | 6358 | 2140 | 0.02 | 156 | 88 | 114 | |
| Footslope | 4.9 | 0.13 | 1.41 | 5.4 | 1185 | 78 | 120,950 | 2131 | 3081 | 1675 | 0.08 | 504 | 180 | 96 | |
| Aba Gerima_M | Upslope | 5.2 | 0.14 | 1.53 | 4.8 | 1769 | 74 | 116,409 | 2220 | 3276 | 1513 | 0.10 | 605 | 213 | 98 |
| Midslope | 5.6 | 0.12 | 1.38 | 3.6 | 3952 | 64 | 115,441 | 1446 | 7905 | 1600 | 0.03 | 402 | 171 | 97 | |
| Footslope | 5.5 | 0.11 | 1.31 | 4.9 | 3564 | 69 | 117,034 | 1307 | 7327 | 1808 | 0.03 | 395 | 144 | 103 | |
| Debre Mewi_MTW | Upslope | 5.1 | 0.17 | 1.90 | 5.0 | 2178 | 97 | 112,587 | 3012 | 3158 | 2328 | 0.20 | 552 | 239 | 101 |
| Midslope | 5.6 | 0.12 | 1.37 | 3.2 | 3607 | 64 | 106,311 | 2708 | 4331 | 1918 | 0.09 | 355 | 148 | 91 | |
| Footslope | 6.2 | 0.12 | 1.51 | 3.3 | 6190 | 60 | 106,482 | 3084 | 5334 | 1991 | 0.08 | 233 | 133 | 99 | |
| Markuma_MW | Upslope | 4.8 | 0.18 | 2.44 | 3.9 | 805 | 65 | 102,562 | 2770 | 2281 | 1890 | 0.48 | 532 | 254 | 55 |
| Midslope | 4.9 | 0.17 | 2.27 | 2.5 | 909 | 66 | 103,972 | 2967 | 2287 | 1800 | 0.33 | 499 | 253 | 54 | |
| Footslope | 4.9 | 0.15 | 2.09 | 2.0 | 764 | 70 | 105,920 | 2905 | 2318 | 1761 | 0.27 | 460 | 231 | 59 | |
| LSD | 0.37 | 0.04 | 0.47 | 1.6 | 1378 | 36 | 9987 | 597 | 1842 | 418 | 0.11 | 162 | 61 | 14 | |
| DF | 46 | 46 | 46 | 46 | 46 | 46 | 46 | 46 | 46 | 46 | 46 | 46 | 46 | 46 | |
| Location_Crop * | Landscape Position | AmmOx (mg kg−1) | Exchangeable Cations (cMolc kg−1) | eCEC (cMolc kg−1) | Base Saturation | Soil Texture (%) | Texture Class, USDA | ||||||||
|---|---|---|---|---|---|---|---|---|---|---|---|---|---|---|---|
| Al | Fe | Mn | P | Ca | K | Mg | Na | % | Sand | Silt | Clay | ||||
| Aba Gerima_T | Upslope | 6882 | 14,172 | 1218 | 232 | 16.7 | 0.3 | 10.0 | 0.10 | 29.8 | 91 | 34 | 28 | 38 | CL |
| Midslope | 4358 | 11,411 | 1514 | 138 | 15.2 | 0.1 | 9.1 | 0.10 | 27.8 | 89 | 36 | 28 | 36 | CL | |
| Footslope | 5031 | 12,348 | 1127 | 168 | 6.3 | 0.1 | 3.0 | 0.04 | 12.4 | 76 | 25 | 25 | 50 | C | |
| Aba Gerima_M | Upslope | 4636 | 13,103 | 1036 | 180 | 8.6 | 0.3 | 3.2 | 0.05 | 13.6 | 89 | 25 | 28 | 47 | C |
| Midslope | 5473 | 12,957 | 1085 | 170 | 15.4 | 0.3 | 10.2 | 0.06 | 28.3 | 91 | 29 | 28 | 43 | C | |
| Footslope | 5139 | 14,245 | 1288 | 176 | 13.8 | 0.1 | 9.0 | 0.07 | 25.9 | 89 | 31 | 32 | 37 | CL | |
| Debre Mewi_MTW | Upslope | 3940 | 10,347 | 1894 | 153 | 9.9 | 0.3 | 4.4 | 0.05 | 17.0 | 86 | 23 | 27 | 50 | C |
| Midslope | 3706 | 9012 | 1537 | 94 | 16.2 | 0.3 | 6.7 | 0.07 | 25.8 | 90 | 21 | 22 | 57 | C | |
| Footslope | 3351 | 9759 | 1657 | 82 | 25.7 | 0.4 | 7.8 | 0.06 | 37.3 | 91 | 13 | 17 | 70 | C | |
| Markuma_MW | Upslope | 4767 | 12,527 | 1396 | 162 | 7.7 | 0.1 | 2.8 | 0.03 | 12.7 | 84 | 29 | 32 | 39 | CL |
| Midslope | 4057 | 10,492 | 1284 | 136 | 7.9 | 0.2 | 2.9 | 0.02 | 13.0 | 85 | 28 | 30 | 42 | C | |
| Footslope | 4422 | 10,602 | 1242 | 142 | 7.2 | 0.2 | 2.8 | 0.02 | 12.5 | 82 | 27 | 29 | 44 | C | |
| LSD | 784 | 2781 | 392 | 83 | 5 | 0.2 | 2.6 | 0.02 | 7.5 | 6 | 5 | 5 | 8 | ||
| DF | 46 | 46 | 46 | 46 | 46 | 46 | 46 | 46 | 46 | 46 | 46 | 46 | 46 | ||
| Landscape Position | Co (mg L−1) | Aba Gerima_Tef | Aba Gerima_Maize | Debre Mewi_Maize, Tef, Wheat | Markuma_Maize, Wheat | ||||
|---|---|---|---|---|---|---|---|---|---|
| RL_Ad | RL_De | RL_Ad | RL_De | RL_Ad | RL_De | RL_Ad | RL_De | ||
| Upslope | 2 | 0.92 | 0.84 | 0.87 | 0.89 | 0.90 | 0.90 | 0.84 | 0.89 |
| 5 | 0.83 | 0.67 | 0.73 | 0.77 | 0.78 | 0.78 | 0.67 | 0.77 | |
| 10 | 0.71 | 0.50 | 0.57 | 0.63 | 0.64 | 0.64 | 0.51 | 0.62 | |
| 15 | 0.62 | 0.40 | 0.47 | 0.53 | 0.54 | 0.55 | 0.41 | 0.52 | |
| 30 | 0.45 | 0.25 | 0.31 | 0.36 | 0.37 | 0.38 | 0.26 | 0.35 | |
| Midslope | 2 | 0.93 | 0.91 | 0.90 | 0.90 | 0.91 | 0.89 | 0.82 | 0.89 |
| 5 | 0.84 | 0.80 | 0.79 | 0.79 | 0.80 | 0.77 | 0.65 | 0.77 | |
| 10 | 0.72 | 0.67 | 0.65 | 0.65 | 0.66 | 0.62 | 0.48 | 0.62 | |
| 15 | 0.63 | 0.58 | 0.55 | 0.56 | 0.57 | 0.52 | 0.38 | 0.52 | |
| 30 | 0.46 | 0.41 | 0.38 | 0.39 | 0.40 | 0.35 | 0.24 | 0.35 | |
| Footslope | 2 | 0.73 | 0.88 | 0.90 | 0.91 | 0.95 | 0.93 | 0.83 | 0.90 |
| 5 | 0.52 | 0.74 | 0.79 | 0.80 | 0.89 | 0.84 | 0.66 | 0.77 | |
| 10 | 0.35 | 0.58 | 0.66 | 0.66 | 0.80 | 0.73 | 0.49 | 0.63 | |
| 15 | 0.26 | 0.48 | 0.56 | 0.57 | 0.73 | 0.64 | 0.39 | 0.53 | |
| 30 | 0.15 | 0.32 | 0.39 | 0.40 | 0.57 | 0.44 | 0.24 | 0.36 | |
| LSD | 0.10 | 0.11 | 0.10 | 0.11 | 0.09 | 0.11 | 0.12 | 0.11 | |
| DF | 72 | 72 | 67 | 67 | 67 | 67 | 72 | 72 | |
| Location_Crop * | Landscape Position | Langmuir Isotherm Coefficients | |||||
|---|---|---|---|---|---|---|---|
| Adsorption | Desorption | ||||||
| b | K | r2 | b | K | r2 | ||
| Aba Gerima_T | Upslope | −646 | −0.04 | 0.16 | 152 | 0.09 | 0.75 |
| Midslope | −890 | −0.02 | 0.17 | 365 | 0.07 | 0.72 | |
| Footslope | −452 | −0.03 | 0.41 | 753 | 0.02 | 0.55 | |
| Aba Gerima_M | Upslope | 3020 | −0.02 | 0.18 | 305 | 0.06 | 0.93 |
| Midslope | −420 | −0.05 | 0.35 | 377 | 0.05 | 0.80 | |
| Footslope | −671 | −0.03 | 0.36 | 334 | 0.06 | 0.85 | |
| Debre Mewi_MTW | Upslope | −27554 | −0.01 | 0.12 | 329 | 0.06 | 0.86 |
| Midslope | −1061 | −0.05 | 0.20 | 45 | 0.04 | 0.72 | |
| Footslope | −654 | −0.18 | 0.53 | 165 | 0.21 | 0.70 | |
| Markuma_MW | Upslope | −877 | −0.02 | 0.30 | 313 | 0.05 | 0.80 |
| Midslope | −324 | −0.04 | 0.44 | 333 | 0.05 | 0.81 | |
| Footslope | −211 | −0.02 | 0.21 | 289 | 0.06 | 0.83 | |
| LSD | 4716 | 0.02 | 90 | 0.02 | |||
| DF | 285 | 285 | 285 | 285 | |||
| Location_Crop * | Landscape Position | Freundlich Isotherm Coefficients | |||||
|---|---|---|---|---|---|---|---|
| Adsorption | Desorption | ||||||
| 1/n | Kf | r2 | 1/n | Kf | r2 | ||
| Aba Gerima_T | Upslope | 1.24 | 1.39 | 0.90 | 0.78 | 0.99 | 0.96 |
| Midslope | 0.91 | 1.43 | 0.88 | 1.33 | 1.33 | 0.95 | |
| Footslope | 0.79 | 0.63 | 0.91 | 1.21 | 1.21 | 0.99 | |
| Aba Gerima_M | Upslope | 1.17 | 1.06 | 0.97 | 0.75 | 1.27 | 0.99 |
| Midslope | 0.76 | 1.24 | 0.96 | 1.21 | 1.29 | 0.98 | |
| Footslope | 0.80 | 1.23 | 0.97 | 1.28 | 1.31 | 0.98 | |
| Debre Mewi_MTW | Upslope | 0.93 | 1.23 | 0.99 | 1.34 | 1.29 | 0.99 |
| Midslope | 0.80 | 1.27 | 0.95 | 1.20 | 1.24 | 0.98 | |
| Footslope | 0.64 | 1.68 | 0.94 | 1.40 | 1.36 | 0.92 | |
| Markuma_MW | Upslope | 0.87 | 0.95 | 0.97 | 1.44 | 1.30 | 0.98 |
| Midslope | 0.75 | 0.86 | 0.96 | 1.38 | 1.28 | 0.98 | |
| Footslope | 0.86 | 0.92 | 0.87 | 1.46 | 1.32 | 0.98 | |
| LSD | 0.09 | 0.10 | 0.03 | 0.03 | |||
| DF | 285 | 285 | 285 | 285 | |||
Publisher’s Note: MDPI stays neutral with regard to jurisdictional claims in published maps and institutional affiliations. |
© 2021 by the authors. Licensee MDPI, Basel, Switzerland. This article is an open access article distributed under the terms and conditions of the Creative Commons Attribution (CC BY) license (http://creativecommons.org/licenses/by/4.0/).
Share and Cite
Desta, M.K.; Broadley, M.R.; McGrath, S.P.; Hernandez-Allica, J.; Hassall, K.L.; Gameda, S.; Amede, T.; Haefele, S.M. Plant Available Zinc Is Influenced by Landscape Position in the Amhara Region, Ethiopia. Plants 2021, 10, 254. https://doi.org/10.3390/plants10020254
Desta MK, Broadley MR, McGrath SP, Hernandez-Allica J, Hassall KL, Gameda S, Amede T, Haefele SM. Plant Available Zinc Is Influenced by Landscape Position in the Amhara Region, Ethiopia. Plants. 2021; 10(2):254. https://doi.org/10.3390/plants10020254
Chicago/Turabian StyleDesta, Mesfin K., Martin R. Broadley, Steve P. McGrath, Javier Hernandez-Allica, Kirsty L. Hassall, Samuel Gameda, Tilahun Amede, and Stephan M. Haefele. 2021. "Plant Available Zinc Is Influenced by Landscape Position in the Amhara Region, Ethiopia" Plants 10, no. 2: 254. https://doi.org/10.3390/plants10020254
APA StyleDesta, M. K., Broadley, M. R., McGrath, S. P., Hernandez-Allica, J., Hassall, K. L., Gameda, S., Amede, T., & Haefele, S. M. (2021). Plant Available Zinc Is Influenced by Landscape Position in the Amhara Region, Ethiopia. Plants, 10(2), 254. https://doi.org/10.3390/plants10020254

