Usefulness of Tree Species as Urban Health Indicators
Abstract
:1. Introduction
2. Results
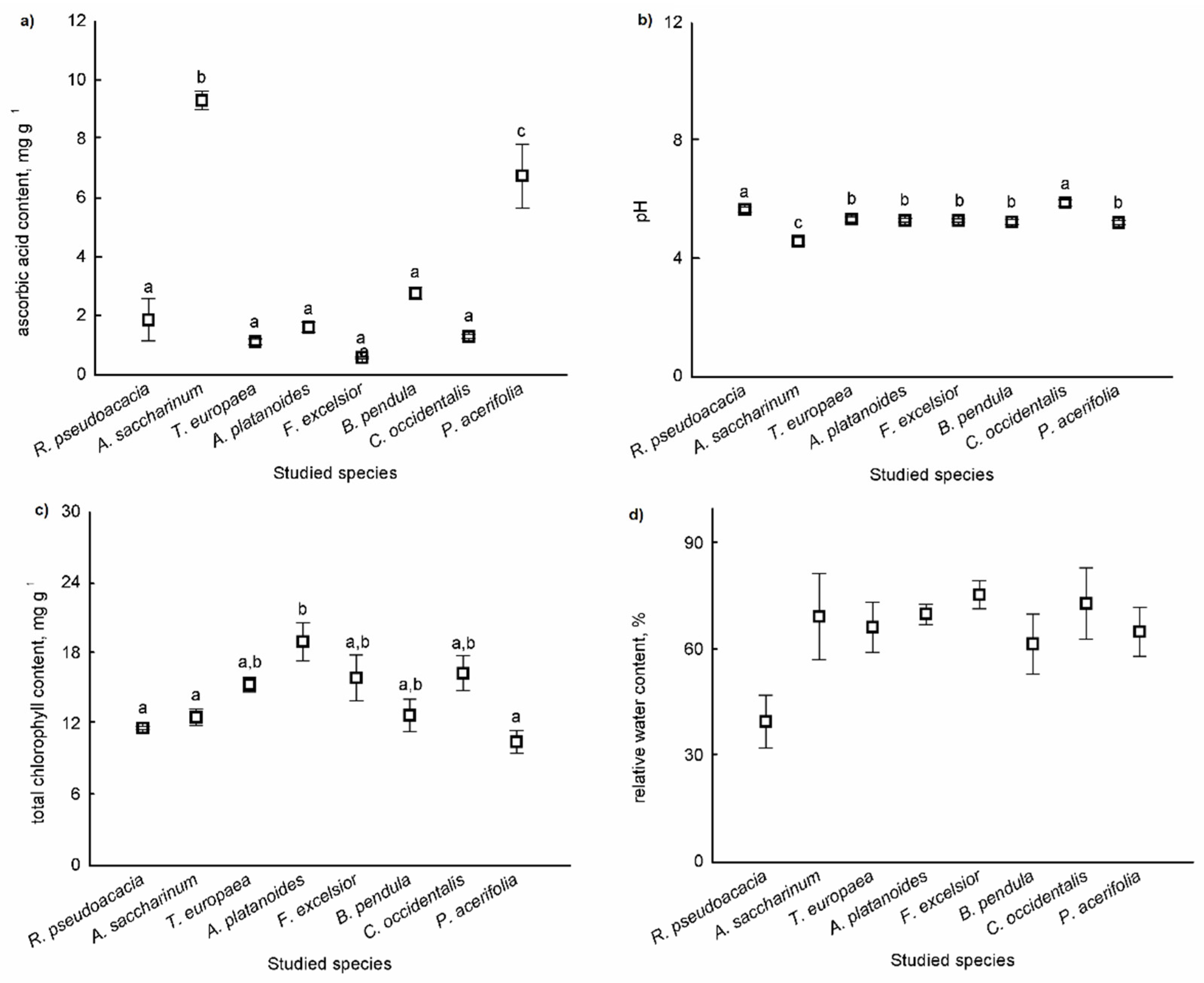
2.1. Particulate Material (PM) and Air Pollution Tolerance Index (APTI)
2.2. Elemental Concentration of Leaves
3. Discussion
4. Materials and Methods
4.1. Study Sites and Sample Collection
4.2. Dust Amount Analysis
4.3. Air Pollution Tolerance Index (APTI)
4.4. Elemental Analysis in Leaves
4.5. Statistical Analyses
5. Conclusions
Supplementary Materials
Author Contributions
Funding
Institutional Review Board Statement
Informed Consent Statement
Data Availability Statement
Acknowledgments
Conflicts of Interest
References
- Sicard, P.; Agathokleous, E.; De Marco, A.; Paoletti, E.; Calatayud, V. Urban population exposure to air pollution in Europe over the last decades. Environ. Sci. Eur. 2021, 33, 28–40. [Google Scholar] [CrossRef]
- Koolen, C.D.; Rothenberg, G. Air pollution in Europe. ChemSusChem 2019, 12, 164–172. [Google Scholar] [CrossRef]
- Feng, W.; Guo, Z.; Xiao, X.; Peng, C.; Shi, L.; Ran, H.; Xu, W. Atmospheric deposition as a source of cadmium and lead to soil-rice system and associated risk assessment. Ecotoxicol. Environ. Saf. 2019, 180, 160–170. [Google Scholar] [CrossRef] [PubMed]
- Breuste, J.; Artmann, M.; Ioja, C.; Qureshi, S. (Eds.) Making Green Cities: Concepts, Challenges and Practice; Springer: Berlin/Heidelberg, Germany, 2020. [Google Scholar]
- Hüse, B.; Szabó, S.; Deák, B.; Tóthmérész, B. Mapping an ecological network of green habitat patches and their role in maintaining urban biodiversity in and around Debrecen city (Eastern Hungary). Land Use Pol. 2016, 57, 574–581. [Google Scholar] [CrossRef]
- Ferrini, F.; Fini, A.; Mori, J.; Gori, A. Role of vegetation as a mitigating factor in the urban context. Sustainability 2020, 12, 4247. [Google Scholar] [CrossRef]
- Du, X.; Cheng, Y.; Liu, Z.; Hou, Z.; Wu, T.; Lei, R.; Shu, C. Study on the adsorption of CH4, CO2 and various CH4/CO2 mixture gases on shale. Alex. Eng. J. 2020, 17, 5165–5178. [Google Scholar] [CrossRef]
- Molnár, V.É.; Tőzsér, D.; Szabó, S.; Tóthmérész, B.; Simon, E. Use of leaves as bioindicator to assess air pollution based on composite proxy measure (APTI), dust amount and elemental concentration of metals. Plants 2020, 9, 1743. [Google Scholar] [CrossRef] [PubMed]
- Simon, E.; Baranyai, E.; Braun, M.; Cserhati, C.; Fabian, I.; Tóthmérész, B. Elemental concentrations in deposited dust on leaves along an urbanization gradient. Sci. Total. Environ. 2014, 490, 514–520. [Google Scholar] [CrossRef] [PubMed] [Green Version]
- Simon, E.; Harangi, S.; Baranyai, E.; Fábián, I.; Tóthmérész, B. Influence of past industry and urbanization on elemental concentrations in deposited dust and tree leaf tissue. Urban Forest. Urban Green. 2016, 20, 12–19. [Google Scholar] [CrossRef]
- Simon, E.; Molnár, V.É.; Tóthmérész, B.; Szabó, S. Ecological assessment of particulate material (PM5 and PM10) in urban habitats. Atmosphere 2020, 11, 559. [Google Scholar] [CrossRef]
- Gajbhiye, T.; Pandey, S.K.; Lee, S.S.; Kim, K.-H. Size fractionated phytomonitoring of airborne particulate matter (PM) and speciation of PM bound toxic metals pollution through Calotropis procera in an urban environment. Ecol. Indic. 2019, 104, 32–40. [Google Scholar] [CrossRef]
- Mirecki, N.; Agic, R.; Šunić, L.; Milenkovic, L.; Ilic, Z. Transfer factor as indicator of heavy metals content in plants. Fresen Environ. Bull. 2015, 24, 4212–4219. [Google Scholar]
- Prabasiwi, D.S.; Murniasih, S.S.; Rozana, K. Transfer factor as indicator of heavy metal content in plants around adipala steam power plant. IOP Conf. Ser. J. Physics. Conf. 2020, 1436, 12133–12144. [Google Scholar] [CrossRef]
- Sulistijorini; Mas’ud, Z.A.; Nasrullah, N.; Bey, A.; Tjitrosemito, S. Tolerance levels of roadside trees to air pollutants based on relative growth rate and Air Pollution Tolerance Index. Hayati J. Biosci. 2008, 15, 123–129. [Google Scholar] [CrossRef] [Green Version]
- Romano, S.; Perrone, M.R.; Becagli, S.; Pietrogrande, M.C.; Russo, M.; Caricato, R.; Lionetto, M.G. Ecotoxicity, genotoxicity, and oxidative potential tests of atmospheric PM10 particles. Atmos. Environ. 2020, 221, 117085–117096. [Google Scholar] [CrossRef]
- Harrison, R.M. Airborne particulate matter. Phil. Trans. R. Soc. A 2020, 378, 20190319. [Google Scholar] [CrossRef] [PubMed]
- Cohen, A.J.; Brauer, M.; Burnett, R.; Anderson, H.R.; Frostad, J.; Estep, K.; Balakrishnan, K.; Brunekreef, B.; Dandona, L.; Dandona, R.; et al. Estimates and 25-year trends of the global burden of disease attributable to ambient air pollution: An analysis of data from the Global Burden of Diseases Study 2015. Lancet 2017, 389, 1907–1918. [Google Scholar]
- Liacos, J.W.; Kam, W.; Delfino, R.J.; Schauer, J.J.; Sioutas, C. Characterization of organic, metal and trace element PM2.5 species and derivation of freeway-based emission rates in Los Angeles, CA. Sci. Total Environ. 2012, 435–436, 159–166. [Google Scholar] [CrossRef]
- Pascal, M.; Corso, M.; Chanel, O.; Declercq, C.; Badaloni, C.; Cesaroni, G.; Henschel, S.; Meister, K.; Haluza, D.; Martin-Olmedo, P.; et al. Assessing the public health impacts of urban air pollution in 25 European cities: Results of the Aphekom project. Sci. Total Environ. 2013, 449, 390–440. [Google Scholar] [CrossRef] [PubMed]
- Maeaba, W.; Prasad, S.; Chandra, S. First assessment of metals contamination in road dust and roadside soil of Suva City, Fiji. Arch. Environ. Contam. Toxicol. 2019, 77, 249–262. [Google Scholar] [CrossRef] [PubMed] [Green Version]
- Panyacosit, L. Health effects. In A Review of Particulate Matter and Health: Focus on Developing Countries; International Institute for Applied Systems Analysis (IIASA): Laxenburg, Austria, 2000; pp. 16–19. Available online: https://doi.org/10.2139/ssrn.235099 (accessed on 23 May 2000).
- Agnihotri, R.; Mishra, S.K.; Yadav, P.; Singh, S.; Rashmi, R.; Prasad, M.V.S.N.; Sharma, C.; Arya, B.C. Bulk level to individual particle level chemical composition of atmospheric dust aerosols (PM5) over a semi-arid urban zone of Western India (Rajasthan). Aeros. Air Qual. Res. 2015, 15, 58–71. [Google Scholar] [CrossRef] [Green Version]
- Hoseinzadeh, E.; Ebrahimi, N.; Safari, M.; Ghorbani, M. Airborne particulate matter (PM5) density in traditional bakeries of saveh, central of Iran, in 2020. J. Environ. Health Sus. Develop. 2020, 5, 1035–1042. [Google Scholar]
- Massey, D.; Kulshrestha, A.; Maish, J.; Taneja, A. Seasonal trends of PM10, PM5.0, PM2.5 & PM1.0 in indoor and outdoor environments of residential homes located in North-Central India. Build. Environ. 2012, 47, 223–231. [Google Scholar]
- Girish, L.; Krishnankutty, K.; Vaidya, S. Air pollution tolerance index of selected plants growing near road side of Navi Mumbai, Maharashtra. Int. J. Curr. Res. 2017, 9, 57807–57811. [Google Scholar]
- Łukowski, A.; Popek, R.; Karolewski, P. Particulate matter on foliage of Betula pendula, Quercus robur, and Tilia cordata: Deposition and ecophysiology. Environ. Sci. Poll. Res. 2020, 27, 10296–10307. [Google Scholar] [CrossRef] [PubMed] [Green Version]
- Popek, R.; Łukowski, A.; Karolewski, P. Particulate matter accumulation—Further differences between native Prunus padus and non-native P. serotina. Dendrobiology 2017, 78, 89–95. [Google Scholar]
- Singh, S.K.; Rao, D.N. Evaluation of plants for their tolerance to air pollution. In Proceedings of the International Symposium on Air Pollution Control, Delphi, Greece, 23–25 November 1983; pp. 218–224. [Google Scholar]
- Molnár, V.É.; Simon, E.; Tóthmérész, B.; Ninsawat, S.; Szabó, S. Air pollution induced vegetation stress—The Air Pollution Tolerance Index as a quick tool for city health evaluation. Ecol. Ind. 2020, 113, 106234–106242. [Google Scholar] [CrossRef]
- Kretinin, V.M.; Selyanina, Z.M. Dust retention by tree and shrub leaves and its accumulation in light chestnut soils under forest shelterbelts. Eurasian Soil Sci. 2006, 39, 334–338. [Google Scholar] [CrossRef]
- Yang, J.; Chang, Y.; Yan, P. Ranking the suitability of common urban tree species for controlling PM2.5 pollution. Atmos. Poll. Res. 2015, 6, 267–277. [Google Scholar] [CrossRef] [Green Version]
- Gregorová, B.; Černý, K.; Holub, V.; Strnadová, V. Effects of climatic factors and air pollution on damage of London plane (Platanus hispanica Mill.). Hort. Sci. 2010, 37, 109–117. [Google Scholar] [CrossRef] [Green Version]
- Haynes, A.; Popek, R.; Boles, M.; Paton-Walsh, C.; Robinson, S.A. Roadside Moss turfs in South East Australia capture more particulate matter along an urban gradient than a common native tree species. Atmosphere 2019, 10, 224. [Google Scholar] [CrossRef] [Green Version]
- Alotaibi, M.D.; Alharbi, B.H.; Al-Shamsi, M.A.; Alshahrani, T.S.; Al-Namazi, A.A.; Alharbi, S.F.; Alotaibi, F.S.; Qian, Y. Assessing the response of five tree species to air pollution in Riyadh City, Saudi Arabia, for potential green belt application. Environ. Sci. Poll. Res. 2020, 27, 29156–29170. [Google Scholar] [CrossRef] [PubMed]
- Weerakkody, U.; Dover, J.W.; Mitchell, P.; Reiling, K. Particulate matter pollution capture by leaves of seventeen living wall species with special reference to rail-traffic at a metropolitan station. Urban For. Urban Green. 2017, 27, 173–186. [Google Scholar] [CrossRef]
- Cheng, X.; Zhou, Z.; Teng, M.; Wang, P.; Zhou, L. Accumulation of three different sizes of particulate matter on plant leaf surfaces: Effect on leaf traits. Arch. Biol. Sci. 2015, 67, 1257–1267. [Google Scholar] [CrossRef]
- Nadgórska-Socha, A.; Kandziora-Ciupa, M.; Trzęsicki, M.; Barczyk, G. Air pollution tolerance index and heavy metal bioaccumulation in selected plant species from urban biotopes. Chemosphere 2017, 183, 471–482. [Google Scholar] [CrossRef] [PubMed]
- Rai, P.K.; Panda, L.L.S.; Chutia, B.M.C.; Singh, M.M. Comparative assessment of air pollution tolerance index (APTI) in the industrial (Rourkela) and non industrial area (Aizawl) of India: An ecomanagement approach. Afr. J. Environ. Sci. Technol. 2013, 7, 944–948. [Google Scholar]
- Ogunkunle, C.O.; Suleiman, L.B.; Oyedeji, S.; Awotoye, O.O.; Fatoba, P.O. Assessing the air pollution tolerance index and anticipated performance index of some tree species for biomonitoring environmental health. Agroforest. Syst. 2015, 89, 447–454. [Google Scholar] [CrossRef]
- Jyothi, S.J.; Jaya, D.S. Evaluation of air pollution tolerance index of selected plant species along roadsides in Thiruvananthapuram, Kerala. J. Environ. Biol. 2010, 31, 379–386. [Google Scholar] [PubMed]
- Gholami, A.; Mojiri, A.; Amini, H. Investigation of the air pollution tolerance index (APTI) using some plant species in Ahvaz region. J. Anim. Plant Sci. 2016, 26, 475–480. [Google Scholar]
- European Parliament. Directive 2008/50/EC of the European Parliament and of the Council of 21 May 2008 on ambient air quality and cleaner air for Europe. Off. J. Eur. Union 2008, 152, 1–44. [Google Scholar]
- De Sá, J.P.M. Applied Statistics Using SPSS, STATISTICA, MATLAB and R, 2nd ed.; Springer: Berlin/Heidelberg, Germany, 2007; ISBN 978-3-540-71971-7. [Google Scholar]
- Singh, S.; Rao, D.; Agrawal, M.; Pandey, J.; Naryan, D. Air pollution tolerance index of plants. J. Environ. Manag. 1991, 32, 45–55. [Google Scholar] [CrossRef]





| Elements | R. pseudoacacia | A. saccharinum | T. × europaea | A. platanoides | F. excelsior | B. pendula | C. occidentalis | P. acerifolia |
|---|---|---|---|---|---|---|---|---|
| Al, mg kg−1 | 12.3 ± 1.1 | 21.3 ± 2.6 | 48.7 ± 3.6 | 34.0 ± 4.7 | 15.8 ± 0.9 | 12.6 ± 2.3 | 24.6 ± 2.2 | 23.6 ± 2.8 |
| Ba, mg kg−1 | 26.8 ± 8.7 | 5.9 ± 0.8 | 10.8 ± 2.1 | 9.6 ± 1.1 | 10.8 ± 3.7 | 14.6 ± 2.0 | 30.8 ± 9.3 | 7.2 ± 1.4 |
| Ca, g kg−1 | 23.2 ± 1.5 | 12.5 ± 1.3 | 22.4 ± 2.8 | 16.9 ± 0.8 | 17.8 ± 4.0 | 12.4 ± 0.7 | 46.2 ± 2.9 | 14.1 ± 1.2 |
| Cu, mg kg−1 | 5.1 ± 0.7 | 8.6 ± 1.6 | 6.8 ± 0.9 | 7.9 ± 1.7 | 9.5 ± 1.1 | 6.1 ± 0.6 | 6.2 ± 0.3 | 4.4 ± 0.2 |
| Fe, mg kg−1 | 72.2 ± 3.1 | 69. 7 ± 0.7 | 101.2 ± 2.8 | 92.0 ± 10.0 | 62.7 ± 8.8 | 46.2 ± 2.8 | 86.4 ± 6.6 | 55.5 ± 1.9 |
| K, g kg−1 | 5.9 ± 1.5 | 6.8 ± 0.7 | 4.4 ± 0.3 | 6.6 ± 2.9 | 9.0 ± 0.5 | 8.7 ± 0.6 | 4.3 ± 1.9 | 6.5 ± 1.4 |
| Li, mg kg−1 | 0.4 ± 0.1 | 0.5 ± 0.1 | 0.4 ± 0.1 | 0.5 ± 0.1 | 0.3 ± 0.1 | 0.4 ± 0.1 | 0.7 ± 0.1 | 0.6 ± 0.1 |
| Mg, g kg−1 | 2.5 ± 0.3 | 2.4 ± 0.1 | 1.7 ± 0.3 | 2.9 ± 0.1 | 2.2 ± 0.4 | 0.5 ± 0.1 | 2.6 ± 0.6 | 4.0 ± 0.5 |
| Mn, mg kg−1 | 24.2 ± 3.8 | 160.1 ± 91.8 | 29.0 ± 4.5 | 41.3 ± 4.9 | 67.0 ± 20.3 | 2.8 ± 0.2 | 31.5 ± 9.6 | 27.5 ±7.4 |
| Na, g kg−1 | 0.1 ± 0.1 | 0.7 ± 0.1 | 1.3 ± 0.6 | 0.7 ± 0.1 | 1.3 ± 0.4 | 36.6 ± 6.6 | 0.6 ± 0.1 | 0.6 ± 0.1 |
| Ni, mg kg−1 | 0.4 ± 0.1 | 0.4 ± 0.1 | 1.3 ± 0.4 | 0.5 ± 0.2 | 0.6 ± 0.1 | 0.7 ± 0.1 | 1.4 ± 0.5 | 4.5 ± 1.7 |
| P, g kg−1 | 1.7 ± 0.1 | 1.9 ± 0.3 | 2.0 ± 0.1 | 2.2 ± 0.1 | 2.1 ± 0.4 | 0.4 ± 0.1 | 1.3 ± 0.2 | 1.8 ± 0.2 |
| Pb, mg kg−1 | 1.3 ± 0.4 | 1.2 ± 0.1 | 1.5 ± 0.2 | 1.7 ± 0.1 | 1.8 ± 0.3 | 1.9 ± 0.2 | 1.3 ± 0.1 | 1.2 ± 0.3 |
| S, g kg−1 | 1.9 ± 0.1 | 2.0 ± 0.1 | 2.2 ± 0.1 | 1.6 ± 0.1 | 1.7 ± 0.1 | 1.7 ± 0.5 | 3.0 ± 0.4 | 2.1 ± 0.1 |
| Sr, mg kg−1 | 43.5 ± 8.2 | 40.8 ± 2.3 | 64.6 ± 3.2 | 111.6 ± 30.2 | 39.0 ± 1.7 | 1.9 ± 0.1 | 39.0 ± 4.5 | 39.6 ± 12.5 |
| Zn, mg kg−1 | 36.4 ± 3.1 | 43.5 ± 6.7 | 42.7 ± 3.7 | 26.9 ± 2.9 | 99.2 ± 25.3 | 67.2 ± 6.0 | 41.5 ± 0.9 | 31.1 ± 0.8 |
Publisher’s Note: MDPI stays neutral with regard to jurisdictional claims in published maps and institutional affiliations. |
© 2021 by the authors. Licensee MDPI, Basel, Switzerland. This article is an open access article distributed under the terms and conditions of the Creative Commons Attribution (CC BY) license (https://creativecommons.org/licenses/by/4.0/).
Share and Cite
Simon, E.; Molnár, V.É.; Lajtos, D.; Bibi, D.; Tóthmérész, B.; Szabó, S. Usefulness of Tree Species as Urban Health Indicators. Plants 2021, 10, 2797. https://doi.org/10.3390/plants10122797
Simon E, Molnár VÉ, Lajtos D, Bibi D, Tóthmérész B, Szabó S. Usefulness of Tree Species as Urban Health Indicators. Plants. 2021; 10(12):2797. https://doi.org/10.3390/plants10122797
Chicago/Turabian StyleSimon, Edina, Vanda Éva Molnár, Domonkos Lajtos, Dina Bibi, Béla Tóthmérész, and Szilárd Szabó. 2021. "Usefulness of Tree Species as Urban Health Indicators" Plants 10, no. 12: 2797. https://doi.org/10.3390/plants10122797
APA StyleSimon, E., Molnár, V. É., Lajtos, D., Bibi, D., Tóthmérész, B., & Szabó, S. (2021). Usefulness of Tree Species as Urban Health Indicators. Plants, 10(12), 2797. https://doi.org/10.3390/plants10122797

