Optimization of the Multienzyme-Assisted Extraction Procedure of Bioactive Compounds Extracts from Common Buckwheat (Fagopyrum esculentum M.) and Evaluation of Obtained Extracts
Abstract
:1. Introduction
2. Results and Discussion
2.1. Optimization of Multienzyme-Assisted Extraction
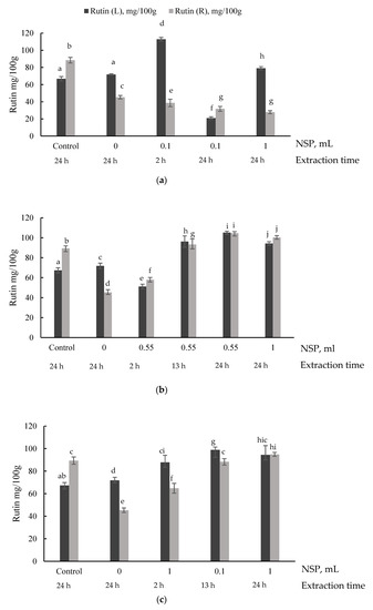
2.2. Determination of Rutin
2.3. Water Contact Angle
3. Materials and Methods
3.1. Plant Material (Dependent Sub-Sample)
3.2. Enzyme Products (Independent Sub-Sample)
3.3. Experimental Design of Multienzyme-Assisted Extraction Optimization and Statistical Data Handling
3.4. Determination of Total Phenolic Content (TPC)
3.5. Qualitative and Quantitative Analysis of Rutin Using High-Performance Liquid Chromatography
3.6. Water Contact Angle Measurement
3.7. Statistical Analysis
4. Conclusions
Author Contributions
Funding
Institutional Review Board Statement
Informed Consent Statement
Data Availability Statement
Acknowledgments
Conflicts of Interest
References
- Chia-Chen, L.; Siou-Ru, S.; Ying-Jang, L.; She-Ching, W. Rutin and Quercetin, Bioactive Compounds from Tartary Buckwheat, Prevent Liver Inflammatory Injury. Food Funct. 2013, 4, 794–802. [Google Scholar] [CrossRef]
- Gutierrez, A.; Gomer, J.; Yarce, C.J.; Salamanca, C.H. Pre-Formulation Studies for Water-Dispersible Powdered Beverages Using Contact Angles and Wetting Properties. Powder Technol. 2019, 353, 302–310. [Google Scholar] [CrossRef]
- Noguerol, A.T.; Pagan, M.J.; Garcia-Segovia, P.; Varela, P. Green or Clean? Perception of Clean Label Plant-Based Products by Omnivorous, Vegan, Vegetarian and Flexitarian Consumers. Food Res. Int. 2021, 149, 110652. [Google Scholar] [CrossRef]
- Domínguez-Rodríguez, G.; Marina, M.L.; Plaza, M. Enzyme-Assisted Extraction of Bioactive Non-Extractable Polyphenols from Sweet Cherry (Prunus avium L.) Pomace. Food Chem. 2021, 339, 128086. [Google Scholar] [CrossRef] [PubMed]
- Yang, G.; Hongmei, S.; Jiangchao, Z.; Hexiang, Z.; Shilun, C. Enzyme-Assisted Extraction of a Cup Plant (Silphium perfoliatum L.) Polysaccharide and Its Antioxidant and Hypoglycemic Activities. Process Biochem. 2020, 92, 17–28. [Google Scholar] [CrossRef]
- Olszewska, A.M.; Astrid, G.; Manuel, S. Antimicrobial Polyphenol-Rich Extracts: Applications and Limitations in the Food Industry. Food Res. Int. 2020, 134, 109214. [Google Scholar] [CrossRef] [PubMed]
- Česonienė, L.; Labokas, J.; Jasutienė, I.; Šarkinas, A.; Kaškonienė, V.; Kaškonas, P.; Kazernavičiūtė, R.; Pažereckaitė, A.; Daubaras, R. Bioactive Compounds, Antioxidant, and Antibacterial Properties of Lonicera Caerulea Berries: Evaluation of 11 Cultivars. Plants 2021, 10, 624. [Google Scholar] [CrossRef] [PubMed]
- Urbanavičiūtė, I.; Liaudanskas, M.; Bobinas, Č.; Šarkinas, A.; Rezgienė, A.; Viskelis, P. Japanese Quince (Chaenomeles japonica) as a Potential Source of Phenols: Optimization of the Extraction Parameters and Assessment of Antiradical and Antimicrobial Activities. Foods 2020, 9, 1132. [Google Scholar] [CrossRef] [PubMed]
- Raudonė, L.; Liaudanskas, M.; Vilkickytė, G.; Kviklys, D.; Žvikas, V.; Viškelis, J.; Viškelis, P. Phenolic Profiles, Antioxidant Activity and Phenotypic Characterization of Lonicera caerulea L. Berries, Cultivated in Lithuania. Antioxidants 2021, 10, 115. [Google Scholar] [CrossRef] [PubMed]
- Acosta-Estrada, B.A.; Guttierez-Uribe, J.A.; Serna-Saldivar, S.O. Bound Phenolics in Foods, a Review. Food Chem. 2014, 152, 46–55. [Google Scholar] [CrossRef]
- Semwal, R.; Joshi, S.K.; Semwal, R.B.; Semwal, D.K. Deepak Health Benefits and Limitations of Rutin—A Natural Flavonoid with High Nutraceutical Value. Phytochem. Lett. 2021, 46, 119–128. [Google Scholar] [CrossRef]
- Das, S.; Nadar, S.S.; Rathod, V.K. Virendra Integrated Strategies for Enzyme Assisted Extraction of Bioactive Molecules: A Review. Int. J. Biol. Macromol. 2021, 191, 899–917. [Google Scholar] [CrossRef]
- Ji, X.; Han, L.; Liu, F.; Yin, S.; Peng, Q.; Wang, M. A Mini-Review of Isolation, Chemical Properties and Bioactivities of Polysaccharides from Buckwheat (Fagopyrum Mill). Int. J. Biol. Macromol. 2019, 127, 204–209. [Google Scholar] [CrossRef]
- Mackėla, I.; Andriekus, T.; Venskutonis, P.R. Biorefining of Buckwheat (Fagopyrum esculentum) Hulls by Using Supercritical Fluid, Soxhlet, Pressurized Liquid and Enzyme-Assisted Extraction Methods. J. Food Eng. 2017, 213, 38–46. [Google Scholar] [CrossRef]
- Ahmed, A.; Khalid, N.; Ahmad, A.; Abbasi, N.A.; Latif, M.S.Z.; Randhawa, M.A. Phytochemicals and Biofunctional Properties of Buckwheat: A Review. J. Agric. Sci. 2014, 152, 349–369. [Google Scholar] [CrossRef]
- Zapata-Morales, J.R.; Alonso-Castro, A.J.; Munoz-Martinez, G.S.; Martinez-Rodriguez, M.M.; Nambo-Arcos, M.M.; Brennan-Bourdon, L.M.; Aragon-Martinez, O.H.; Martinez-Morales, J.F. In Vitro and In Vivo Synergistic Interactions of the Flavonoid Rutin with Paracetamol and with Non-Steroidal Anti-Inflammatory Drugs. Arch. Med. Res. 2021, 52, 611–619. [Google Scholar] [CrossRef] [PubMed]
- Ye, J.; Deng, L.; Wang, Y.; McClements, D.J.; Luo, S.; Liu, C. Impact of Rutin on the Foaming Properties of Soybean Protein: Formation and Characterization of Flavonoid-Protein Complexes. Food Chem. 2021, 362, 130238. [Google Scholar] [CrossRef]
- Cui, Z.; Kong, X.; Chen, Y.; Zhang, C.; Hua, Y. Effects of rutin incorporation on the physical and oxidative stability of soy protein-stabilized emulsions. Food Hydrocoll. 2014, 41, 1–9. [Google Scholar] [CrossRef]
- Rani, P.; Xu, Y.; Liu, H.; Li, K.; He, Y.; Tian, H.; Kumar, R. Material, antibacterial and anticancer properties of natural polyphenols incorporated soy protein isolate: A review. Eur. Polym. J. 2021, 152, 110494. [Google Scholar] [CrossRef]
- Gligor, O.; Mocan, A.; Moldovan, C.; Locatelli, M.; Crișan, G.; Ferreira, I.C. Enzyme-Assisted Extractions of Polyphenols—A Comprehensive Review. Trends Food Sci. Tech. 2019, 88, 302–315. [Google Scholar] [CrossRef]
- Penha, C.B.; Santos, V.D.P.; Speranza, P.; Kurozawa, L.E. Louise Plant-Based Beverages: Ecofriendly Technologies in the Production Process. Innov. Food Sci. Emerg. 2021, 72, 102760. [Google Scholar] [CrossRef]
- Battista, F.; Zuliani, L.; Rizzioli, F.; Fusco, S.; Bolzonella, D. Biodiesel, Biogas and Fermentable Sugars Production from Spent Coffee Grounds: A Cascade Biorefinery Approach. Bioresour. Technol. 2021, 342, 125952. [Google Scholar] [CrossRef] [PubMed]
- Luft, L.; Confortin, T.C.; Todero, I.; Ugalde, G.; Zabot, G.L.; Mazutti, M.A. Transformation of Residual Starch from Brewer’s Spent Grain into Fermentable Sugars Using Supercritical Technology. J. Supercrit. Fluids 2018, 140, 85–90. [Google Scholar] [CrossRef]
- Zieliński, H.; Szawara-Nowak, D.; Bączek, N.; Wronkowska, M. Effect of Liquid-State Fermentation on the Antioxidant and Functional Properties of Raw and Roasted Buckwheat Flours. Food Chem. 2019, 271, 291–297. [Google Scholar] [CrossRef]
- Cermeño, M.; Dermiki, M.; Kleekayai, T.; Cope, L.; McManus, R.; Ryan, C.; FitzGerald, R.J. Effect of Enzymatically Hydrolysed Brewers’ Spent Grain Supplementation on the Rheological, Textural and Sensory Properties of Muffins. Future Foods 2021, 4, 100085. [Google Scholar] [CrossRef]
- Tepel, U.; Mikonsaari, I. The Determination of the Contact Angle of Bulk Powders. Powder Handl. Process. 2006, 18, 36–40. [Google Scholar]
- Tepel, U.; Mikonsaari, I. Determining Contact Angles of Powders by Liquid Penetration. Part. Part. Syst. Charact. 2004, 21, 255–260. [Google Scholar] [CrossRef]
- Oamen, H.P.; Ojo, E.O.; Hobbs, P.J.; Retter, A. Hydrolysis of Plant Biomass at Different Growth Stages Using Enzyme Cocktails for Increased Fermentable Hydrolysates. Sci. Afr. 2019, 3, e00077. [Google Scholar] [CrossRef]
- Pedersen, N.R.; Ravn, J.L.; Pettersson, D. A Multienzyme NSP Product Solubilises and Degrades NSP Structures in Canola and Mediates Protein Solubilisation and Degradation in Vitro. Anim. Feed Sci. Technol. 2017, 234, 244–252. [Google Scholar] [CrossRef]
- Forssell, P.; Treimo, J.; Eijsink, V.G.H.; Fauld, C.B.; Collins, S.; Shols, H.A.; Hinz, S.W.A.; Myllymaki, O.; Tamminen, T.; Zoldners, J.; et al. Enzyme-Aided Fractionation of Brewer’s Spent Grains in Pilot Scale. J. Am. Soc. Brew. Chem. 2011, 69, 91–99. [Google Scholar] [CrossRef]
- Zheng, H.; Shen, X.; Bu, G.; Luo, Y. Effects of PH, Temperature and Enzyme-to-Substrate Ratio on the Antigenicity of Whey Protein Hydrolysates Prepared by Alcalase. Int. Dairy J. 2008, 18, 1028–1033. [Google Scholar] [CrossRef]
- Horvathovai, V.; Stefan, J.; Ǒturdík, E. Amylolytic Enzymes: Their Specificities, Origins and Properties. Biologia 2000, 55, 605–615. [Google Scholar]
- Rempel, A.; Machado, T.; Treichel, H.; Colla, E.; Margarites, A.C.; Colla, L.M. Saccharification of Spirulina Platensis Biomass Using Free and Immobilized Amylolytic Enzymes. Bioresour. Technol. 2018, 263, 163–171. [Google Scholar] [CrossRef]
- Lu, S.Y.; Chu, Y.L.; Sridhar, K.; Tsai, J.P. Effect of ultrasound, high-pressure processing, and enzymatic hydrolysis on carbohydrate hydrolyzing enzymes and antioxidant activity of lemon (Citrus limon) flavedo. LWT 2021, 138, 110511. [Google Scholar] [CrossRef]
- Abdallah, Q.A.; Nixon, B.T.; Fortwendel, J.R. The Enzymatic Conversion of Major Algal and Cyanobacterial Carbohydrates to Bioethanol. Front. Energy Res. 2016, 4, 36. [Google Scholar] [CrossRef]
- Magwaza, L.S.; Opara, L.U. Analytical Methods for Determination of Sugars and Sweetness of Horticultural Products—A Review. Sci. Hortic. 2015, 184, 179–192. [Google Scholar] [CrossRef]
- Kim, D.; Lim, S. Subcritical water extraction of rutin from the aerial parts of common buckwheat. J. Supercrit. Fluids 2014, 152, 104561. [Google Scholar] [CrossRef]
- Wefers, D.; Bunzel, M. Characterization of Dietary Fibers Polysaccharides from Dehulled Common Buckwheat (Fagopyrum esculentum) Seeds. Cereal Chem. 2015, 6, 598–603. [Google Scholar] [CrossRef]
- Kitrytė, V.; Kavaliauskaitė, A.; Tamkutė, L.; Pukalskienė, M.; Syrpas, M.; Venskutonis, P.R. Zero waste biorefining of lingonberry (Vaccinium vitis-idaea L.) pomace into functional ingredients by consecutive high pressure and enzyme assisted extractions with green solvents. Food Chem. 2020, 332, 126767. [Google Scholar] [CrossRef] [PubMed]
- Kitrytė, V.; Narkevičiūtė, A.; Tamkutė, L.; Syrpas, M.; Pukalskienė, M.; Venskutonis, P.R. Consecutive high-pressure and enzyme assisted fractionation of blackberry (Rubus fructicosus L.) pomace into functional ingredients: Process optimization and product characterization. Food Chem. 2020, 312, 126072. [Google Scholar] [CrossRef] [PubMed]




| Variation Levels and Runs | Variables | Liquid Yield, g | TPC mg GAE/100 g | ||
|---|---|---|---|---|---|
| Time, hours | Temperature, °C | NSP, mL | |||
| Low level | 2 | 60 | 0.10 | ||
| Medium level | 13 | 70 | 0.55 | ||
| High level | 24 | 80 | 1 | ||
| 1 | 24 | 70 | 0.55 | 266 | 300 |
| 2 | 13 | 70 | 1.00 | 251 | 283 |
| 3 | 13 | 70 | 0.55 | 251 | 350 |
| 4 | 13 | 80 | 0.55 | 262 | 228 |
| 5 | 2 | 80 | 1.00 | 250 | 259 |
| 6 | 13 | 70 | 0.55 | 250 | 294 |
| 7 | 13 | 70 | 0.55 | 265 | 317 |
| 8 | 13 | 70 | 0.55 | 262 | 299 |
| 9 | 24 | 60 | 1.00 | 289 | 289 |
| 10 | 24 | 80 | 1.00 | 214 | 294 |
| 11 | 2 | 80 | 0.10 | 246 | 260 |
| 12 | 2 | 60 | 1.00 | 267 | 282 |
| 13 | 2 | 60 | 0.10 | 246 | 309 |
| 14 | 2 | 70 | 0.55 | 268 | 336 |
| 15 | 13 | 60 | 0.55 | 268 | 249 |
| 16 | 13 | 70 | 0.10 | 254 | 294 |
| 17 | 13 | 70 | 0.55 | 262 | 262 |
| 18 | 24 | 80 | 0.10 | 196 | 256 |
| 19 | 13 | 70 | 0.55 | 260 | 299 |
| 20 | 24 | 60 | 0.10 | 277 | 262 |
| Sample Name | Fraction | Hot Water Extraction Time, hours | Cellulase Activity CellG5 Units/mL | Water Contact Angle, ° (degree) |
|---|---|---|---|---|
| Control | Solid | 24 | - | 39.0 ± 1.3 |
| Water | 24 | - | 47.8 ± 5.4 | |
| 1 | Solid | 13 | 8 | 35.6 ± 6.1 |
| Water | 13 | 8 | 57.5 ± 3.6 | |
| 2 | Solid | 13 | 4 | 38.1 ± 0.3 |
| Water | 13 | 4 | 57.4 ± 9.0 | |
| 3 | Solid | 24 | 4 | 35.7 ± 5.0 |
| Water | 24 | 4 | 50.7 ± 4.0 |
| Energy value (kcal/kJ) | 353/1497 |
| Fat, g | 3.0 |
| Saturated fat, g | 0.7 |
| Carbohydrates, g | 68.8 |
| Sugars, g | 1.3 |
| Proteins, g | 12.6 |
| Salt, g | 0 |
Publisher’s Note: MDPI stays neutral with regard to jurisdictional claims in published maps and institutional affiliations. |
© 2021 by the authors. Licensee MDPI, Basel, Switzerland. This article is an open access article distributed under the terms and conditions of the Creative Commons Attribution (CC BY) license (https://creativecommons.org/licenses/by/4.0/).
Share and Cite
Štreimikytė, P.; Urbonavičienė, D.; Balčiūnaitienė, A.; Viškelis, P.; Viškelis, J. Optimization of the Multienzyme-Assisted Extraction Procedure of Bioactive Compounds Extracts from Common Buckwheat (Fagopyrum esculentum M.) and Evaluation of Obtained Extracts. Plants 2021, 10, 2567. https://doi.org/10.3390/plants10122567
Štreimikytė P, Urbonavičienė D, Balčiūnaitienė A, Viškelis P, Viškelis J. Optimization of the Multienzyme-Assisted Extraction Procedure of Bioactive Compounds Extracts from Common Buckwheat (Fagopyrum esculentum M.) and Evaluation of Obtained Extracts. Plants. 2021; 10(12):2567. https://doi.org/10.3390/plants10122567
Chicago/Turabian StyleŠtreimikytė, Paulina, Dalia Urbonavičienė, Aistė Balčiūnaitienė, Pranas Viškelis, and Jonas Viškelis. 2021. "Optimization of the Multienzyme-Assisted Extraction Procedure of Bioactive Compounds Extracts from Common Buckwheat (Fagopyrum esculentum M.) and Evaluation of Obtained Extracts" Plants 10, no. 12: 2567. https://doi.org/10.3390/plants10122567
APA StyleŠtreimikytė, P., Urbonavičienė, D., Balčiūnaitienė, A., Viškelis, P., & Viškelis, J. (2021). Optimization of the Multienzyme-Assisted Extraction Procedure of Bioactive Compounds Extracts from Common Buckwheat (Fagopyrum esculentum M.) and Evaluation of Obtained Extracts. Plants, 10(12), 2567. https://doi.org/10.3390/plants10122567

