Influence of Glycine Betaine (Natural and Synthetic) on Growth, Metabolism and Yield Production of Drought-Stressed Maize (Zea mays L.) Plants
Abstract
1. Introduction
2. Results
3. Discussion
4. Materials and Methods
4.1. Plant Material and Growth Conditions
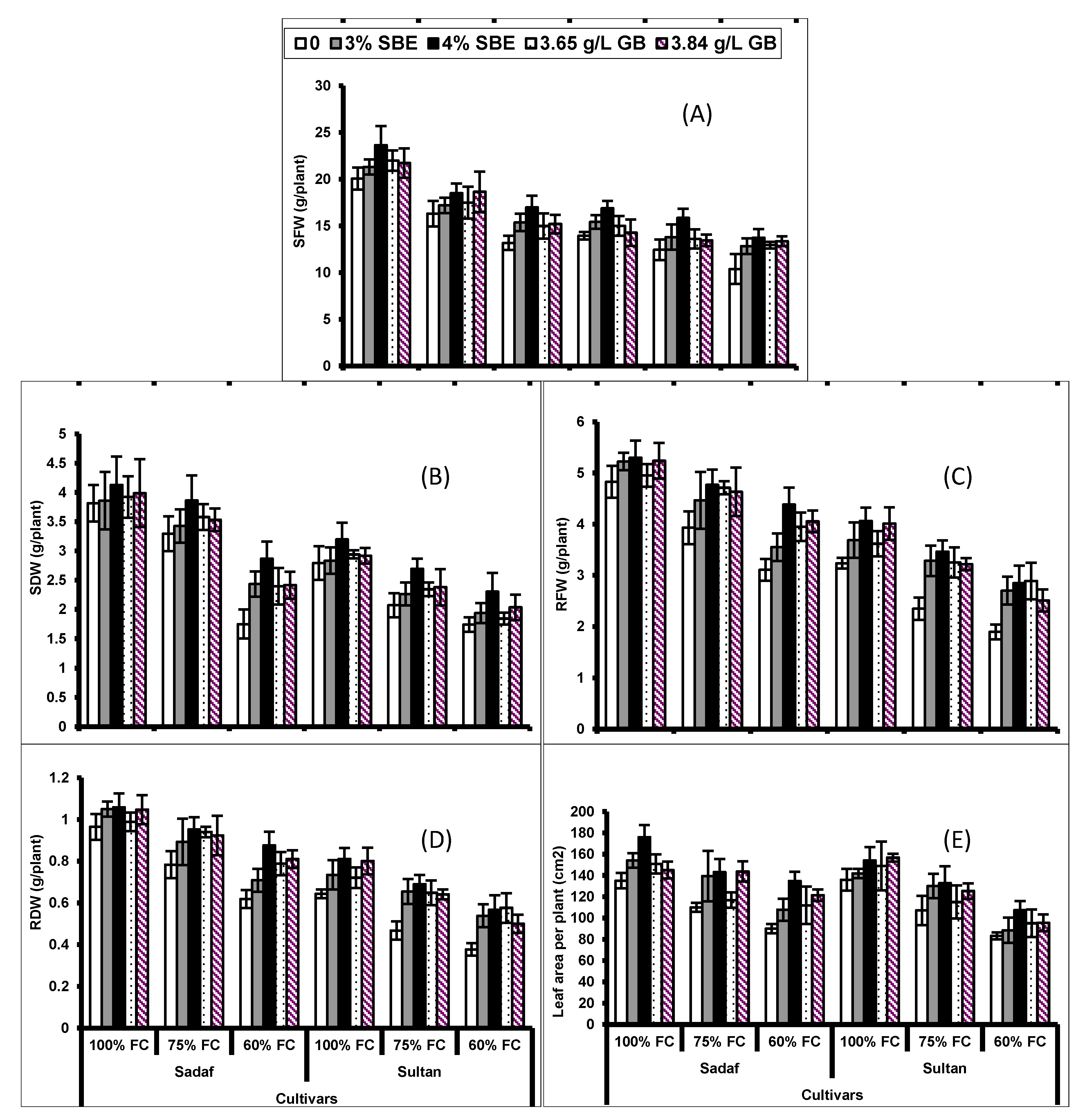
4.2. Plant Fresh and Dry Biomass
4.3. Leaf Area per Plant
4.4. Chlorophyll Pigments
4.5. Relative Membrane Permeability (RMP)
4.6. Leaf Proline
4.7. Leaf Glycine Betaine
4.8. Malondialdehyde (MDA)
4.9. Hydrogen Peroxide (H2O2)
4.10. Total Phenolics
4.11. Ascorbic Acid (AsA)
4.12. Activities of Enzymatic Antioxidants
4.13. Yield Attributes
4.14. Statistical Analysis
5. Conclusions and Recommendations
Author Contributions
Funding
Data Availability Statement
Acknowledgments
Conflicts of Interest
References
- Aghdam, M.T.B.; Mohammadi, H.; Ghorbanpour, M. Effects of nanoparticulate anatase titanium dioxide on physiological and biochemical performance of Linum usitatissimum (Linaceae) under well-watered and drought stress conditions. Braz. J. Bot. 2016, 39, 139–146. [Google Scholar] [CrossRef]
- Raza, A.; Razzaq, A.; Mehmood, S.S.; Zou, X.; Zhang, X.; Lv, Y.; Xu, J. Impact of climate change on crops adaptation and strategies to tackle its outcome: A review. Plants 2019, 8, 34. [Google Scholar] [CrossRef] [PubMed]
- Osmolovskaya, N.; Shumilina, J.; Kim, A.; Didio, A.; Grishina, T.; Bilova, T.; Keltsieva, O.A.; Zhukov, V.; Tikhonovich, I.; Tarakhovskaya, E.; et al. Methodology of drought stress research: Experimental setup and physiological characterization. Int. J. Mol. Sci. 2018, 19, 4089. [Google Scholar] [CrossRef] [PubMed]
- Li, D.M.; Zhang, J.; Sun, W.J.; Li, Q.; Dai, A.H.; Bai, J.G. 5-Aminolevulinic acid pretreatment mitigates drought stress of cucumber leaves through altering antioxidant enzyme activity. Sci. Hort. 2011, 130, 820–828. [Google Scholar] [CrossRef]
- Hussain, H.A.; Hussain, S.; Khaliq, A.; Ashraf, U.; Anjum, S.A.; Men, S.; Wang, L. Chilling and drought stresses in crop plants: Implications, cross talk, and potential management opportunities. Front. Plant Sci. 2018, 9, 393. [Google Scholar] [CrossRef] [PubMed]
- Ilyas, M.; Nisar, M.; Khan, N.; Hazrat, A.; Khan, A.H.; Hayat, K.; Fahad, S.; Khan, A.; Ullah, A. Drought tolerance strategies in plants: A mechanistic approach. J. Plant Growth Regul. 2020, 40, 926–944. [Google Scholar] [CrossRef]
- Anjum, S.A.; Ashraf, U.; Tanveer, M.; Khan, I.; Hussain, S.; Shahzad, B.; Zohaib, A.; Abbas, F.; Saleem, M.F.; Ali, I. Drought induced changes in growth, osmolyte accumulation and antioxidant metabolism of three maize hybrids. Front. Plant Sci. 2017, 8, 69. [Google Scholar] [CrossRef] [PubMed]
- Sharma, A.; Shahzad, B.; Kumar, V.; Kohli, S.K.; Sidhu, G.P.S.; Bali, A.S.; Handa, N.; Kapoor, D.; Bhardwaj, R.; Zheng, B. Phytohormones regulate accumulation of osmolytes under abiotic stress. Biomolecules 2019, 9, 285. [Google Scholar] [CrossRef]
- Ashraf, M.; Foolad, M.R. Roles of glycinebetaine and proline in improving plant abiotic stress tolerance. Environ. Exp. Bot. 2007, 59, 206–216. [Google Scholar] [CrossRef]
- Nazar, Z.; Akram, N.A.; Saleem, M.H.; Ashraf, M.; Ahmed, S.; Ali, S.; Alsahli, A.A.; Alyemeni, M.N. Glycinebetaine-induced alteration in gaseous exchange capacity and osmoprotective phenomena in safflower (Carthamus tinctorius L.) under water deficit conditions. Sustainability 2020, 12, 10649. [Google Scholar] [CrossRef]
- Quan, R.; Shang, M.; Zhang, H.; Zhao, Y.; Zhang, J. Engineering of enhanced glycine betaine synthesis improves drought tolerance in maize. Plant Biotechnol. 2004, 2, 477–486. [Google Scholar] [CrossRef]
- Lixin, Z.; Shengxiu, L.; Zongsuo, L. Differential plant growth and osmotic effects of two maize (Zea mays L.) cultivars to exogenous glycinebetaine application under drought stress. Plant Growth Regul. 2009, 58, 297–305. [Google Scholar] [CrossRef]
- Anjum, S.A.; Wang, L.C.; Farooq, M.; Hussain, M.; Xue, L.L.; Zou, C.M. Brassinolide application improves the drought tolerance in maize through modulation of enzymatic antioxidants and leaf gas exchange. J. Agron. Crop Sci. 2011, 197, 177–185. [Google Scholar] [CrossRef]
- Zhang, W.; Han, Z.; Guo, Q.; Liu, Y.; Zheng, Y.; Wu, F.; Jin, W. Identification of maize long non-coding RNAs responsive to drought stress. PLoS ONE 2014, 9, e98958. [Google Scholar] [CrossRef]
- Shi, L.; Wang, Z.; Kim, W.S. Effect of drought stress on shoot growth and physiological response in the cut rose ‘charming black’ at different developmental stages. Hort. Environ. Biotechnol. 2019, 60, 1–8. [Google Scholar] [CrossRef]
- Parkash, V.; Singh, S. A review on potential plant-based water stress indicators for vegetable crops. Sustainability 2020, 12, 3945. [Google Scholar] [CrossRef]
- Hasanuzzaman, M.; Hossain, M.A.; da Silva, J.T.; Fujita, M. Crop stress and its management: Perspectives and strategies. Plant response and tolerance to abiotic oxidative stress. In Antioxidant Defense Is a Key Factor; Springer: Dordrecht, The Netherlands, 2012; pp. 261–315. [Google Scholar]
- Hasanuzzaman, M.; Nahar, K.; Fujita, M. Extreme temperature responses, oxidative stress and antioxidant defense in plants. Abiotic Stress Plant Responses Appl. Agric. 2013, 13, 169–205. [Google Scholar]
- Kumar, A.A.; Mishra, P.; Kumari, K.; Panigrahi, K.C. Environmental stress influencing plant development and flowering. Front. Biosci. 2012, 4, 1315–1324. [Google Scholar] [CrossRef]
- Saini, D.K.; Chakdar, H.; Pabbi, S.; Shukla, P. Enhancing production of microalgal biopigments through metabolic and genetic engineering. Crit. Rev. Food Sci. Nutr. 2020, 60, 391–405. [Google Scholar] [CrossRef] [PubMed]
- Ghassemi-Golezani, K.; Heydari, S.; Dalil, B. Field performance of maize (Zea mays L.) cultivars under drought stress. Acta Agric. Sloven 2018, 111, 25–32. [Google Scholar] [CrossRef][Green Version]
- Shafiq, S.; Akram, N.A.; Ashraf, M. Assessment of physio-biochemical indicators for drought tolerance in different cultivars of maize (Zea mays L.). Pak. J. Bot. 2019, 51, 1241–1247. [Google Scholar] [CrossRef]
- Shafiq, S.; Akram, N.A.; Ashraf, M. Foliar-applied sugar beet (Beta vulgaris L.) extract enriched with glycinebetaine alleviates water stress-induced drastic effects on maize (Zea mays L.). PLoS ONE 2020, in press. [Google Scholar]
- Kapoor, D.; Bhardwaj, S.; Landi, M.; Sharma, A.; Ramakrishnan, M.; Sharma, A. The impact of drought in plant metabolism: How to exploit tolerance mechanisms to increase crop production. Appl. Sci. 2020, 10, 5692. [Google Scholar] [CrossRef]
- Abdel Latef, A.A.; Omer, A.M.; Badawy, A.A.; Osman, M.S.; Ragaey, M.M. Strategy of salt tolerance and interactive impact of Azotobacter chroococcum and/or Alcaligenes faecalis inoculation on canola (Brassica napus L.) plants grown in saline soil. Plants 2021, 10, 110. [Google Scholar] [CrossRef]
- Attia, M.S.; Osman, M.S.; Mohamed, A.S.; Mahgoub, H.A.; Garada, M.O.; Abdelmouty, E.S.; Abdel Latef, A.A. Impact of foliar application of chitosan dissolved in different organic acids on isozymes, protein patterns and physio-biochemical characteristics of tomato grown under salinity stress. Plants 2021, 10, 388. [Google Scholar] [CrossRef]
- Abdel Latef, A.A.; Srivastava, A.K.; Saber, H.; Eman, A.; Alwaleed Tran, L.-S.P. Sargassum muticum and Jania rubens regulate amino acid metabolism to improve growth and alleviate salinity in chickpea. Sci. Rep. 2017, 7, 10537. [Google Scholar] [CrossRef]
- Abdel Latef, A.A.; Mostafa, M.G.; Rahman, M.M.; Abdel-Farid, A.B.; Tran, L.-S.P. Extracts from yeast and carrot roots enhance maize performance under seawater-induced salt stress by altering physio-biochemical characteristics of stressed plants. J. Plant Growth Regul. 2019, 38, 966–979. [Google Scholar] [CrossRef]
- Abbas, W.; Ashraf, M.; Akram, N.A. Alleviation of salt-induced adverse effects in eggplant (Solanum melongena L.) by glycinebetaine and sugarbeet extracts. Sci Hort. 2010, 125, 188–195. [Google Scholar] [CrossRef]
- Zhang, Y.; Nan, J.; Yu, B. OMICS technologies and applications in sugar beet. Front. Plant Sci. 2016, 7, 900. [Google Scholar] [CrossRef]
- Catusse, J.; Strub, J.M.; Job, C.; Dorsselaer, A.; Job, D. Proteome-wide characterization of sugarbeet seed vigor and its tissue specific expression. Proc. Natl. Acad. Sci. USA 2008, 105, 10262–10267. [Google Scholar] [CrossRef] [PubMed]
- Noman, A.; Ali, Q.; Naseem, J.; Javed, M.T.; Kanwal, H.; Islam, W.; Aqeel, M.; Khalid, N.; Zafar, S.; Tayyeb, M.; et al. Sugar beet extract acts as a natural bio-stimulant for physio-biochemical attributes in water stressed wheat (Triticum aestivum L.). Acta Physiol. Plant. 2018, 40, 110. [Google Scholar] [CrossRef]
- Khodarahmpour, Z. Morphological classification of maize (Zea mays L.) genotypes in heat stress condition. J. Agric. Sci. 2012, 4, 31. [Google Scholar] [CrossRef]
- Liu, N.; Zhang, G.; Xu, S.; Mao, W.; Hu, Q.; Gong, Y. Comparative transcriptomic analyses of vegetable and grain pea (Pisum sativum L.) seed development. Front. Plant Sci. 2015, 6, 1039. [Google Scholar] [CrossRef]
- Pei, L.; Li, H.; Zhou, Y.; Li, W.; Jiang, Y.; Li, H. Exogenous glycinebetaine application contributes to abiotic stress tolerance in maize. J. Plant Biol. 2020, 1–13. [Google Scholar] [CrossRef]
- Bhuiyan, T.F.; Ahamed, K.U.; Nahar, K.; Al Mahmud, J.; Bhuyan, M.B.; Anee, T.I.; Fujita, M.; Hasanuzzaman, M. Mitigation of PEG-induced drought stress in rapeseed (Brassica rapa L.) by exogenous application of osmolytes. Biocat. Agric. Biotechnol. 2019, 20, 101197. [Google Scholar] [CrossRef]
- Rezaei, M.A.; Kaviani, B.; Jahanshahi, H. Application of exogenous glycine betaine on some growth traits of soybean (Glycine max L.) cv. DPX in drought stress conditions. Sci. Res. Essay 2012, 7, 432–436. [Google Scholar]
- Din, J.; Khan, S.U.; Khan, A.; Naveed, S. Effect of exogenously applied kinetin and glycinebetaine on metabolic and yield attributes of rice (Oryza sativa L.) under drought stress. Emir. J. Food Agric. 2015, 27, 75–81. [Google Scholar] [CrossRef]
- Khan, N.A.; Singh, S.; Nazar, R.; Lone, P.M. The source sinks relationship in mustard. Asian Aust. J. Plant Sci. Biotechnol. 2007, 1, 10–18. [Google Scholar]
- Liu, F.; Stützel, H. Biomass partitioning, specific leaf area, and water use efficiency of vegetable amaranth (Amaranthus spp.) in response to drought stress. Sci. Hort. 2004, 102, 15–27. [Google Scholar] [CrossRef]
- Sun, Y.; Liu, F.; Bendevis, M.; Shabala, S.; Jacobsen, S.E. Sensitivity of two quinoa (Chenopodium quinoa Willd.) varieties to progressive drought stress. J. Agron. Crop Sci. 2014, 200, 12–23. [Google Scholar] [CrossRef]
- Yang, X.; Shao, X.; Mao, X.; Li, M.; Zhao, T.; Wang, F.; Chang, T.; Guang, J. Influences of drought and microbial water-retention fertilizer on leaf area index and photosynthetic characteristics of flue-cured tobacco. Irrig. Drain. 2019, 68, 729–739. [Google Scholar] [CrossRef]
- Ali, R.M.; Jokar, I.; Ghorbanli, M.; Kaviani, B.; Kharabian-Masouleh, A. Morpho-physiological improving effects of exogenous glycine betaine on tomato (Lycopersicum esculentum Mill.) cv. PS under drought stress conditions. Plant Omic. 2012, 5, 79–86. [Google Scholar]
- Tisarum, R.; Theerawitaya, C.; Samphumphuang, T.; Phisalaphong, M.; Singh, H.P.; Cha-Um, S. Promoting water deficit tolerance and anthocyanin fortification in pigmented rice cultivar (Oryza sativa L. subsp. indica) using arbuscular mycorrhizal fungi inoculation. Physiol. Mol. Biol. Plants 2019, 25, 821–835. [Google Scholar] [CrossRef]
- Kurepin, L.V.; Ivanov, A.G.; Zaman, M.; Pharis, R.P.; Allakhverdiev, S.I.; Hurry, V.; Hüner, N.P. Stress-related hormones and glycinebetaine interplay in protection of photosynthesis under abiotic stress conditions. Photosyn. Res. 2015, 126, 221–235. [Google Scholar] [CrossRef]
- Ashraf, M.Y.; Akhtar, K.; Hussain, F.; Iqbal, J. Screening of different accessions of three potential grass species from Cholistan desert for salt tolerance. Pak. J. Bot. 2006, 38, 1589–1597. [Google Scholar]
- Masoumi, A.; Kafi, M.; Khazaei, H.; Davari, K. Effect of drought stress on water status, elecrolyte leakage and enzymatic antioxidants of kochia (Kochia scoparia) under saline condition. Pak. J. Bot. 2010, 42, 3517–3524. [Google Scholar]
- Scotti-Campos, P.; Pham-Thi, A.T.; Semedo, J.N.; Pais, I.P.; Ramalho, J.C.; do Céu Matos, M. Physiological responses and membrane integrity in three Vigna genotypes with contrasting drought tolerance. Emir. J. Food Agric. 2013, 23, 1002–1013. [Google Scholar] [CrossRef]
- Li-Ping, B.; Fang-Gong, S.; Ti-Da, G.; Zhao-Hui, S.; Yin-Yan, L.; Guang-Sheng, Z. Effect of soil drought stress on leaf water status, membrane permeability and enzymatic antioxidant system of maize. Pedosphere 2006, 16, 326–332. [Google Scholar] [CrossRef]
- Ahmed, N.; Zhang, Y.; Li, K.; Zhou, Y.; Zhang, M.; Li, Z. Exogenous application of glycine betaine improved water use efficiency in winter wheat (Triticum aestivum L.) via modulating photosynthetic efficiency and antioxidative capacity under conventional and limited irrigation conditions. Crop, J. 2019, 7, 635–650. [Google Scholar] [CrossRef]
- Molla, M.R.; Ali, M.R.; Hasanuzzaman, M.; Al-Mamun, M.H.; Ahmed, A.; Nazim-UdDowla, M.A.N.; Rohman, M.M. Exogenous proline and betaine-induced upregulation of glutathione transferase and glyoxalase I in lentil (Lens culinaris) underdrought stress. Not. Bot. Hort. Agrobot. 2014, 42, 73–80. [Google Scholar] [CrossRef]
- Osman, H.S. Enhancing antioxidant–yield relationship of pea plant under drought at different growth stages by exogenously applied glycine betaine and proline. Ann. Agric. Sci. 2015, 60, 389–402. [Google Scholar] [CrossRef]
- Yaqoob, H.; Akram, N.A.; Iftikhar, S.; Ashraf, M.; Khalid, N.; Sadiq, M.; Alyemeni, M.N.; Wijaya, L.; Alam, P.J.; Ahmad, P. Seed pretreatment and foliar application of proline regulates morphological, physio-biochemical processes and activity of antioxidant enzymes in two cultivars of quinoa (Chenopodium quinoa Willd.) plants. Plants 2019, 8, 588. [Google Scholar] [CrossRef] [PubMed]
- Cha-um, S.; Samphumphuang, T.; Kirdmanee, C. Glycinebetaine alleviates water deficit stress in indica rice using proline accumulation, photosynthetic efficiencies, growth performances and yield attributes. Aust. J. Crop Sci. 2013, 7, 213. [Google Scholar]
- Shehzadi, A.; Akram, N.A.; Ali, A.; Ashraf, M. Exogenously applied glycinebetaine induced alteration in some key physio-biochemical attributes and plant anatomical features in water stressed oat (Avena sativa L.) plants. J. Arid Land 2019, 11, 292–305. [Google Scholar] [CrossRef]
- Farooq, M.; Wahid, A.; Lee, D.J.; Cheema, S.A.; Aziz, T. Drought stress: Comparative time course action of the foliar applied glycinebetaine, salicylic acid, nitrous oxide, brassinosteroids and spermine in improving drought resistance of rice. J. Agron. Crop Sci. 2010, 196, 336–345. [Google Scholar] [CrossRef]
- Quan, N.; Anh, L.A.; Khang, D.; Tuyen, P.; Toan, N.; Minh, T.; Bach, D.; Ha, P.; Elzaawely, A.; Khanh, T. Involvement of secondary metabolites in response to drought stress of rice (Oryza sativa L.). Agriculture 2016, 6, 23. [Google Scholar] [CrossRef]
- Shallan, M.A.; Hassan, H.M.; Namich, A.A.; Ibrahim, A.A. Effect of sodium nitroprusside, putrescine and glycine betaine on alleviation of drought stress in cotton plant. Am-Eur. J. Agric. Environ. Sci. 2012, 12, 1252–1265. [Google Scholar]
- Raza, M.A.S.; Saleem, M.F.; Jamil, M.; Khan, I.H. Impact of foliar applied glycinebetaine on growth and physiology of wheat (Triticum aestivum L.) under drought conditions. Pak. J. Agric. Sci. 2014, 51, 327–334. [Google Scholar]
- Akram, N.A.; Shafiq, F.; Ashraf, M. Ascorbic acid-a potential oxidant scavenger and its role in plant development and abiotic stress tolerance. Front. Plant Sci. 2017, 8, 613. [Google Scholar] [CrossRef] [PubMed]
- Nahar, K.; Hasanuzzaman, M.; Fujita, M. Roles of osmolytes in plant adaptation to drought and salinity. In Osmolytes and Plants Acclimation to Changing Environment; Iqbal, N., Nazar, R.A., Khan, N., Eds.; Springer: New Delhi, India, 2016. [Google Scholar]
- Hasanuzzaman, M.; Al Mahmud, J.; Anee, T.I.; Nahar, K.; Islam, M.T. Drought stress tolerance in wheat: Omics approaches in understanding and enhancing antioxidant defense. In Abiotic Stress-Mediated Sensing and Signaling in Plants: An Omics Perspective; Springer: Singapore, 2018; pp. 267–307. [Google Scholar] [CrossRef]
- Gupta, N.; Thind, S. Improving photosynthetic performance of bread wheat under field drought stress by foliar applied glycine betaine. J. Agric. Sci. Technol. 2015, 17, 75–86. [Google Scholar]
- Adak, N. Effects of glycine betaine concentrations on the agronomic characteristics of strawberry grown under deficit irrigation conditions. Appl. Ecol. Environ. Res. 2019, 17, 3753–3767. [Google Scholar] [CrossRef]
- Ashraf, M. Biotechnological approach of improving plant salt tolerance using antioxidants as markers. Biotechnol. Adv. 2009, 27, 84–93. [Google Scholar] [CrossRef] [PubMed]
- Chen, D.; Wang, S.; Cao, B.; Cao, D.; Leng, G.; Li, H.; Yin, L.; Shan, L.; Deng, X. Genotypic variation in growth and physiological response to drought stress and re-watering reveals the critical role of recovery in drought adaptation in maize seedlings. Front. Plant Sci. 2016, 6, 1241. [Google Scholar] [CrossRef]
- Hussain, S.; Khan, F.; Cao, W.; Wu, L.; Geng, M. Seed priming alters the production and detoxification of reactive oxygen intermediates in rice seedlings grown under sub-optimal temperature and nutrient supply. Front Plant Sci. 2016, 7, 439. [Google Scholar] [CrossRef] [PubMed]
- Siddiqui, M.H.; Al-Khaishany, M.Y.; Al-Qutami, M.A.; Al-Whaibi, M.H.; Grover, A.; Ali, H.M.; Al-Wahibi, M.S.; Bukhari, N.A. Response of different genotypes of faba bean plant to drought stress. Int. J. Mol. Sci. 2015, 16, 10214–10227. [Google Scholar] [CrossRef] [PubMed]
- Abid, G.; M’hamdi, M.; Mingeot, D.; Aouida, M.; Aroua, I.; Muhovski, Y.; Sassi, K.; Souissi, F.; Mannai, K.; Jebara, M. Effect of drought stress on chlorophyll fluorescence, antioxidant enzyme activities and gene expression patterns in faba bean (Vicia faba L.). Arch. Agron. Soil Sci. 2017, 63, 536–552. [Google Scholar] [CrossRef]
- Ali, Q.; Ahsan, M.; Kanwal, N.; Ali, F.; Ali, A.; Ahmed, W.; Ishfaq, M.; Saleem, M. Screening for drought tolerance: Comparison of maize hybrids under water deficit condition. Adv. Life Sci. 2016, 3, 51–58. [Google Scholar]
- Wang, N.; Cao, F.; Richmond, M.E.A.; Qiu, C.; Wu, F. Foliar application of betaine improves water-deficit stress tolerance in barley (Hordeum vulgare L.). Plant Growth Regul. 2019, 89, 109–118. [Google Scholar] [CrossRef]
- Miri, H.R.; Armin, M. The interaction effect of drought and exogenous application of glycine betaine on corn (Zea mays L.). Eur. J. Exp. Biol. 2013, 3, 197–206. [Google Scholar]
- Grieve, C.M.; Grattan, S.R. Rapid assay for determination of water soluble quaternary ammonium compounds. Plant Soil 1983, 70, 303–307. [Google Scholar] [CrossRef]
- Arnon, D.T. Copper enzymes in isolated chloroplasts polyphenol-oxidase in Beta vulgaris . Plant Physiol. 1949, 24, 1–15. [Google Scholar] [CrossRef] [PubMed]
- Yang, G.; Rhodes, D.; Joly, R.J. Effects of high temperature on membrane stability and chlorophyll fluorescence in glycinebetaine-deficient and glycinebetaine-containing maize lines. Aust. J. Plant Physiol. 1996, 23, 437–443. [Google Scholar] [CrossRef]
- Bates, L.S.; Waldren, R.P.; Teare, I.D. Rapid determination of free proline for water stress studies. Plant Sci. 1973, 39, 205–207. [Google Scholar] [CrossRef]
- Cakmak, I.; Horst, J.H. Effects of aluminium on lipid peroxidation, superoxide dismutase, catalase and peroxidase activities in root tips of soybean (Glycine max). Acta Physiol. Plant. 1991, 83, 463–468. [Google Scholar] [CrossRef]
- Velikova, V.; Yordanov, I.; Adreva, A. Oxidative stress and some antioxidant systems in acid rain treated bean plants: Protective role of exogenous polyamines. Plant Sci. 2000, 151, 59–66. [Google Scholar] [CrossRef]
- Julkunen-Titto, R. Phenolic constituents in the leaves of northern willows: Methods for the analysis of certain phenolics. J. Agric. Food Chem. 1985, 33, 213–217. [Google Scholar] [CrossRef]
- Mukherjee, S.P.; Choudhuri, M.A. Implications of water stress-induced changes in the levels of endogenous ascorbic acid and hydrogen peroxide in Vigna seedlings. Physiol. Plant. 1983, 58, 166–170. [Google Scholar] [CrossRef]
- Giannopolitis, C.N.; Ries, S.K. Superoxide dismutase I. Occurrence in higher plants. Plant Physiol. 1977, 59, 309–314. [Google Scholar] [CrossRef] [PubMed]
- Chance, M.; Maehly, A.C. Assay of catalases and peroxidases. Meth. Enzymol. 1955, 2, 764–817. [Google Scholar]









| Source of Variation | df | Shoot FW | Shoot DW | Root FW | Root DW |
|---|---|---|---|---|---|
| Drought stress (D) | 2 | 207.4 *** | 16.32 *** | 15.08 *** | 0.605 *** |
| Treatments (Trs) | 4 | 29.42 *** | 1.110 * | 2.855 *** | 0.115 *** |
| Cultivar (Cvs) | 1 | 543.3 *** | 22.45 *** | 53.83 *** | 2.165 *** |
| D x Trs | 8 | 0.983 ns | 0.072 ns | 0.164 ns | 0.006 ns |
| D x Cvs | 2 | 45.01 *** | 1.707 ** | 0.072 ns | 0.003 ns |
| Cvs x Trs | 4 | 0.777 ns | 0.026 ns | 0.065 ns | 0.002 ns |
| D x Trs x Cvs | 8 | 1.139 ns | 0.044 ns | 0.111 ns | 0.004 ns |
| Error | 90 | 5.613 | 0.030 | 0.337 | 0.013 |
| Source of Variation | df | Chl a | Chl b | Total chl | Chl a/b Ratio | Leaf Area | RMP | Proline | GB |
|---|---|---|---|---|---|---|---|---|---|
| Drought stress (D) | 2 | 0.298 ** | 2.748 *** | 4.757 *** | 0.018 ns | 21,451.8 *** | 3804.7 *** | 33.16 *** | 4059.5 *** |
| Treatments (Trs) | 4 | 0.257 ** | 0.803 * | 1.936 *** | 0.012 ns | 3124.8 *** | 475.7 *** | 4.218 *** | 786.4 ** |
| Cultivar (Cvs) | 1 | 0.043 ns | 0.308 ns | 0.583 ns | 0.019 ns | 3519.2 * | 16,742.4 *** | 23.10 *** | 7586.4 *** |
| D x Trs | 8 | 0.036 ns | 0.044 ns | 0.091 ns | 0.018 ns | 224.2 ns | 95.76 ns | 0.332 ns | 106.1 ns |
| D x Cvs | 2 | 0.025 ns | 0.027 ns | 7.141 ns | 0.017 ns | 564.9 ns | 428.1 ** | 0.565 ns | 340.4 ns |
| Cvs x Trs | 4 | 0.021 ns | 0.071 ns | 0.066 | 0.008 ns | 251.1 ns | 90.01 ns | 0.201 ns | 109.8 ns |
| D x Trs x Cvs | 8 | 0.010 ns | 0.029 ns | 0.055 ns | 0.005 ns | 150.7 ns | 67.95 ns | 0.123 ns | 35.21 ns |
| Error | 90 | 0.054 | 0.283 | 0.327 | 0.027 | 524.07 | 81.29 | 0.657 | 189.2 |
| df | AsA | MDA | H2O2 | Total phenolics | CAT | POD | SOD | ||
| Drought stress (D) | 2 | 142.9 *** | 3845.8 ** | 543,596.6 *** | 307.5 *** | 0.109 ns | 1329.7 *** | 3.083 *** | |
| Treatments (Trs) | 4 | 13.90 *** | 2849.4 ** | 61,664.1 ns | 90.48 *** | 1.493** | 527.4 ** | 0.224 ** | |
| Cultivar (Cvs) | 1 | 31.13 *** | 2615.7 * | 4,659,542.8 *** | 43.95 ** | 0.886 ns | 373.3 ns | 0.428 ** | |
| D x Trs | 8 | 2.677 ns | 966.6 ns | 105,882.9 ** | 9.463 * | 0.252 ns | 73.12 ns | 0.017 ns | |
| D x Cvs | 2 | 1.158 ns | 3158.9 ** | 67,809.4 ns | 5.397 ns | 0.097 ns | 2.494 ns | 0.032 ns | |
| Cvs x Trs | 4 | 0.747 ns | 1537.5 ns | 29,364.8 ns | 15.37 ** | 0.047 ns | 37.59 ns | 0.011 ns | |
| D x Trs x Cvs | 8 | 0.294 ns | 1058.06 ns | 26,489.2 ns | 1.461 ns | 0.074 ns | 28.65 ns | 0.006 ns | |
| Error | 90 | 2.430 | 637.7 | 36,554.2 | 4.126 | 0.329 | 129.9 | 0.053 |
| Source of Variation | df | No of Grains/Plant | 100-Grain Weight | Grain Yield/Plant |
|---|---|---|---|---|
| Drought stress (D) | 2 | 29,868.1 *** | 87.01 *** | 1584.7 *** |
| Treatments (Trs) | 4 | 6866.4 *** | 67.21 *** | 172.6 *** |
| Cultivar (Cvs) | 1 | 77,216.1 *** | 177.3 *** | 2377.1 *** |
| D × Trs | 8 | 155.5 ns | 1.935 ns | 3.097 ns |
| D × Cvs | 2 | 1593.9 ** | 5.861 ns | 50.46 *** |
| Cvs × Trs | 4 | 209.08 ns | 0.873 ns | 3.964 ns |
| D × Trs × Cvs | 8 | 561.4 ns | 2.374 ns | 5.800 ns |
| Error | 90 | 279.08 ns | 4.875 ns | 4.604 |
Publisher’s Note: MDPI stays neutral with regard to jurisdictional claims in published maps and institutional affiliations. |
© 2021 by the authors. Licensee MDPI, Basel, Switzerland. This article is an open access article distributed under the terms and conditions of the Creative Commons Attribution (CC BY) license (https://creativecommons.org/licenses/by/4.0/).
Share and Cite
Shafiq, S.; Akram, N.A.; Ashraf, M.; García-Caparrós, P.; Ali, O.M.; Latef, A.A.H.A. Influence of Glycine Betaine (Natural and Synthetic) on Growth, Metabolism and Yield Production of Drought-Stressed Maize (Zea mays L.) Plants. Plants 2021, 10, 2540. https://doi.org/10.3390/plants10112540
Shafiq S, Akram NA, Ashraf M, García-Caparrós P, Ali OM, Latef AAHA. Influence of Glycine Betaine (Natural and Synthetic) on Growth, Metabolism and Yield Production of Drought-Stressed Maize (Zea mays L.) Plants. Plants. 2021; 10(11):2540. https://doi.org/10.3390/plants10112540
Chicago/Turabian StyleShafiq, Sidra, Nudrat Aisha Akram, Muhammad Ashraf, Pedro García-Caparrós, Omar M. Ali, and Arafat Abdel Hamed Abdel Latef. 2021. "Influence of Glycine Betaine (Natural and Synthetic) on Growth, Metabolism and Yield Production of Drought-Stressed Maize (Zea mays L.) Plants" Plants 10, no. 11: 2540. https://doi.org/10.3390/plants10112540
APA StyleShafiq, S., Akram, N. A., Ashraf, M., García-Caparrós, P., Ali, O. M., & Latef, A. A. H. A. (2021). Influence of Glycine Betaine (Natural and Synthetic) on Growth, Metabolism and Yield Production of Drought-Stressed Maize (Zea mays L.) Plants. Plants, 10(11), 2540. https://doi.org/10.3390/plants10112540

