Radical Scavenging Actions and Immunomodulatory Activity of Aronia melanocarpa Propylene Glycol Extracts
Abstract
:1. Introduction
2. Results
2.1. Chemical Composition and Antioxidant Activity Analysis of Extracts
2.2. Effect of Extracts on Rat Red Blood Cells Hemolysis in In Vitro Tests
2.3. Determination of Cytoprotective Activity for Extracts from A. melanocarpa Fruits In Vitro
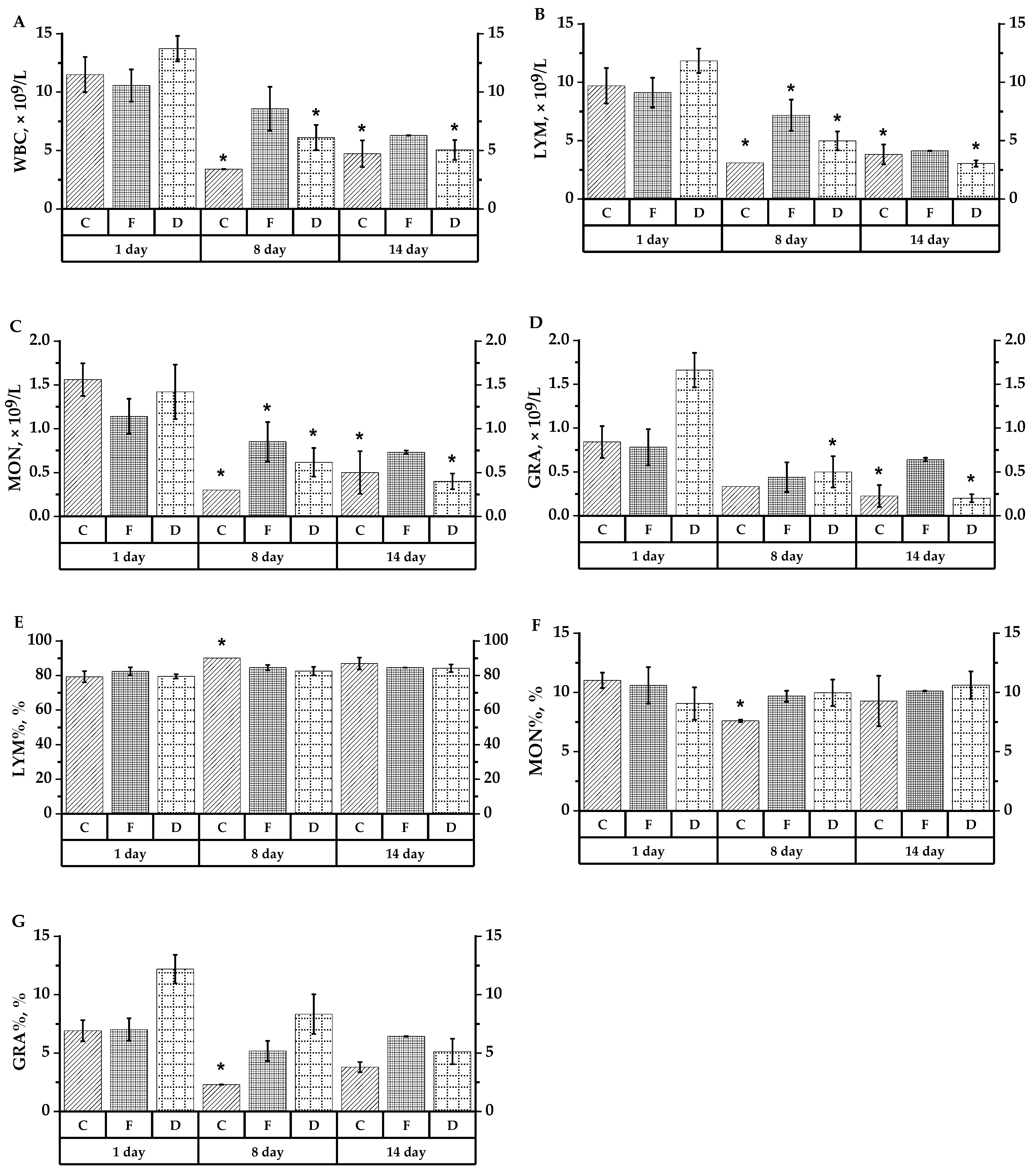
2.4. Hematological Analysis in Peripheral Rat Blood
2.5. Analysis of Phagocytic Leukocyte Activity
2.6. Spontaneous and Zymosan-Induced Chemiluminescent Neutrophil Activity Analysis
2.7. Cytokine Analysis
3. Discussion
4. Materials and Methods
4.1. Research Subject
4.2. Obtaining the Extract
4.3. Determination of Antioxidant Activity and Biologically Active Substances in A. melanocarpa Extracts
4.4. Protective Activity of Extracts on the Osmotic Hemolysis Model for Rat Red Blood Cells In Vitro
4.5. In Vitro Experiments on the Human Leukocyte Cell Line RPMI-1788
4.5.1. Determination of In Vitro Cytoprotective Properties
4.5.2. Cell Staining and Counting
4.6. In Vivo Experiments
4.6.1. Hematological Tests
4.6.2. Functional Assessment of Neutrophil Granulocytes in the Rat Blood
4.6.3. Cytokine Level Determination in Rat Leukoconcentrates
4.7. Statistical Analysis
5. Conclusions
Author Contributions
Funding
Institutional Review Board Statement
Informed Consent Statement
Data Availability Statement
Conflicts of Interest
References
- Zapolska-Downar, D.; Bryk, D.; Małecki, M.; Hajdukiewicz, K.; Sitkiewicz, D. Aronia melanocarpa fruit extract exhibits anti-inflammatory activity in human aortic endothelial cells. Eur. J. Nutr. 2012, 51, 563–572. [Google Scholar] [CrossRef] [PubMed] [Green Version]
- Tzianabos, A.O. Polysaccharide immunomodulators as therapeutic agents: Structural aspects and biologic function. Clin. Microbiol. Rev. 2000, 13, 523–533. [Google Scholar] [CrossRef] [PubMed]
- Kolodziej, H.; Kiderlen, A.F. Antileishmanial activity and immune modulatory effects of tannins and related compounds on Leishmania parasitised RAW 264.7 cells. Phytochemistry 2005, 66, 2056–2071. [Google Scholar] [CrossRef] [PubMed]
- Kharazmi, A. Laboratory and preclinical studies on the anti-inflammatory and anti-oxidant properties of rosehip powder–Identification and characterization of the active component GOPO®. Osteoarthr. Cartil. 2008, 16, S5–S7. [Google Scholar] [CrossRef] [Green Version]
- Daels-Rakotoarison, D.; Gressier, B.; Trotin, F.; Brunet, C.; Luyckx, M.; Dine, T.; Bailleul, F.; Cazin, M.; Cazin, J.-C. Effects of Rosa canina fruit extract on neutrophil respiratory burst. Phytother. Res. Int. J. Devot. Pharmacol. Toxicol. Eval. Nat. Prod. Deriv. 2002, 16, 157–161. [Google Scholar] [CrossRef] [PubMed]
- Joko, S.; Watanabe, M.; Fuda, H.; Takeda, S.; Furukawa, T.; Hui, S.P.; Shrestha, R.; Chiba, H. Comparison of chemical structures and cytoprotection abilities between direct and indirect antioxidants. J. Funct. Foods 2017, 35, 245–255. [Google Scholar] [CrossRef]
- Pap, N.; Fidelis, M.; Azevedo, L.; Wang, D.; Mocan, A.; Pereira, E.P.R.; Penha, R.; Xavier-Santos, D.; Sant’Ana, A.S.; Yang, B.; et al. Berry polyphenols and human health: Evidence of antioxidant, anti-inflammatory, microbiota modulation, and cell-protecting effects. Curr. Opin. Food Sci. 2021, 42, 167–186. [Google Scholar] [CrossRef]
- Harsha, C.; Banik, K.; Bordoloi, D.; Kunnumakkara, A.B. Antiulcer properties of fruits and vegetables: A mechanism-based perspective. Food Chem. Toxicol. 2017, 108, 104–119. [Google Scholar] [CrossRef] [PubMed]
- de Pascual-Teresa, S.; Sanchez-Ballesta, M.T. Anthocyanins: From plant to health. Phytochem. Rev. 2008, 7, 281–299. [Google Scholar] [CrossRef]
- Scalbert, A.; Johnson, I.T.; Saltmarsh, M. Polyphenols: Antioxidants and beyond. Am. J. Clin. Nutr. 2005, 81, 215S–217S. [Google Scholar] [CrossRef] [PubMed]
- Mitchell, B.L.; Ulrich, C.M.; McTiernan, A. Supplementation with vitamins or minerals and immune function: Can the elderly benefit? Nutr. Res. 2003, 23, 1117–1139. [Google Scholar] [CrossRef]
- Sidor, A.; Drożdżyńska, A.; Gramza-Michałowska, A. Black chokeberry (Aronia melanocarpa) and its products as potential health-promoting factors-An overview. Trends Food Sci. Technol. 2019, 89, 45–60. [Google Scholar] [CrossRef]
- Klimova, E.M.; Drozdova, L.A.; Lavinskaya, E.V.; Bychenko, E.A. Integral methodology of A.I. Mechnikov and modern targeted immunocorrection in myasthenia gravis. Ann. Mech. Inst. 2015, 2, 30–37. [Google Scholar]
- Godiska, R.; Chantry, D.; Raport, C.J.; Sozzani, S.; Allavena, P.; Leviten, D.; Mantovani, A.; Gray, P.W. Human macrophage–derived chemokine (MDC), a novel chemoattractant for monocytes, monocyte-derived dendritic cells, and natural killer cells. J. Exp. Med. 1997, 185, 1595–1604. [Google Scholar] [CrossRef] [PubMed] [Green Version]
- Benvenuti, S.; Pellati, F.; Melegari, M.A.; Bertelli, D. Polyphenols, anthocyanins, ascorbic acid, and radical scavenging activity of Rubus, Ribes, and Aronia. J. Food Sci. 2004, 69, FCT164–FCT169. [Google Scholar] [CrossRef]
- Adamska, T.; Ewertowska, M.; Ignatowicz, E.; Kujawska, M.; Kidoń, M.; Matuszewska, A.; Oszmiański, J.S.; Hanna, J.-L.J. Effects of long-term administration of freeze-dried chokeberry juice to rats. J. Pharm. Nutr. Sci. 2014, 4, 154–161. [Google Scholar] [CrossRef] [Green Version]
- Oszmiański, J.; Wojdylo, A. Aronia melanocarpa phenolics and their antioxidant activity. Eur. Food Res. Technol. 2005, 221, 809–813. [Google Scholar] [CrossRef]
- Jurgoński, A.; Juśkiewicz, J.; Zduńczyk, Z. Ingestion of black chokeberry fruit extract leads to intestinal and systemic changes in a rat model of prediabetes and hyperlipidemia. Plant Foods Hum. Nutr. 2008, 63, 176–182. [Google Scholar] [CrossRef] [PubMed]
- Bijak, M.; Saluk, J.; Antosik, A.; Ponczek, M.B.; Żbikowska, H.M.; Borowiecka, M.; Nowak, P. Aronia melanocarpa as a protector against nitration of fibrinogen. Int. J. Biol. Macromol. 2013, 55, 264–268. [Google Scholar] [CrossRef]
- Brzóska, M.M.; Rogalska, J.; Galazyn-Sidorczuk, M.; Jurczuk, M.; Roszczenko, A.; Tomczyk, M. Protective effect of Aronia melanocarpa polyphenols against cadmium-induced disorders in bone metabolism: A study in a rat model of lifetime human exposure to this heavy metal. Chem.-Biol. Interact. 2015, 229, 132–146. [Google Scholar] [CrossRef] [PubMed]
- Hwang, S.J.; Yoon, W.B.; Lee, O.H.; Cha, S.J.; Dai Kim, J. Radical-scavenging-linked antioxidant activities of extracts from black chokeberry and blueberry cultivated in Korea. Food Chem. 2014, 146, 71–77. [Google Scholar] [CrossRef]
- Horszwald, A.; Julien, H.; Andlauer, W. Characterisation of Aronia powders obtained by different drying processes. Food Chem. 2013, 141, 2858–2863. [Google Scholar] [CrossRef]
- Kalt, W.; Forney, C.F.; Martin, A.; Prior, R.L. Antioxidant capacity, vitamin C, phenolics, and anthocyanins after fresh storage of small fruits. J. Agric. Food Chem. 1999, 47, 4638–4644. [Google Scholar] [CrossRef]
- Krasowska, A.; Rosiak, D.; Szkapiak, K.; Lukaszewicz, M. Chemiluminescence detection of peroxyl radicals and comparison of antioxidant activity of phenolic compounds. Curr. Top. Biophys. 2000, 240, 89–95. [Google Scholar]
- Prior, R.L.; Cao, G.; Martin, A.; Sofic, E.; McEwen, J.; O’Brien, C.; Lischner, N.; Ehlenfeldt, M.; Kalt, W.; Krewer, G.; et al. Antioxidant capacity as influenced by total phenolic and anthocyanin content, maturity, and variety of Vaccinium species. J. Agric. Food Chem. 1998, 46, 2686–2693. [Google Scholar] [CrossRef]
- Kähkönen, M.P.; Hopia, A.I.; Heinonen, M. Berry phenolics and their antioxidant activity. J. Agric. Food Chem. 2001, 49, 4076–4082. [Google Scholar] [CrossRef] [PubMed]
- Duchnowicz, P.; Nowicka, A.; Koter-Michalak, M.; Broncel, M. In vivo influence of extract from Aronia melanocarpa on the erythrocyte membranes in patients with hypercholesterolemia. Med. Sci. Monit. Int. Med. J. Exp. Clin. Res. 2012, 18, CR569. [Google Scholar] [CrossRef] [PubMed] [Green Version]
- Niedworok, J.; Andryskowski, G.; Blaszczyk, J.; Kopff, M. Antioxidant activity of anthocyanin dye from black chokeberry. Herb. News 1995, 37, 21–23. [Google Scholar]
- Kujawska, M.; Ignatowicz, E.; Ewertowska, M.; Oszmiański, J.; Jodynis-Liebert, J. Protective effect of chokeberry on chemical-induced oxidative stress in rat. Hum. Exp. Toxicol. 2011, 30, 199–208. [Google Scholar] [CrossRef] [PubMed]
- Prabu, S.M.; Shagirtha, K.; Renugadevi, J. Quercetin in combination with vitamins (C and E) improve oxidative stress and hepatic injury in cadmium intoxicated rats. Biomed. Prevent. Nutr. 2011, 1, 1–7. [Google Scholar] [CrossRef]
- Morin, B.; Narbonne, J.F.; Ribera, D.; Badouard, C.; Ravanat, J.L. Effect of dietary fat-soluble vitamins A and E and proanthocyanidin-rich extract from grape seeds on oxidative DNA damage in rats. Food Chem. Toxicol. 2008, 46, 787–796. [Google Scholar] [CrossRef] [PubMed]
- Strathearn, K.E.; Yousef, G.G.; Grace, M.H.; Roy, S.L.; Tambe, M.A.; Ferruzzi, M.G.; Wu, Q.-L.; Simon, J.E.; Lila, M.A.; Rochet, J.C. Neuroprotective effects of anthocyanin-and proanthocyanidin-rich extracts in cellular models of Parkinson’s disease. Brain Res. 2014, 1555, 60–77. [Google Scholar] [CrossRef] [Green Version]
- Calabrese, V.; Cornelius, C.; Dinkova-Kostova, A.T.; Iavicoli, I.; Di Paola, R.; Koverech, A.; Cuzzocrea, S.; Rizzarelli, E.; Calabrese, E.J. Cellular stress responses, hormetic phytochemicals and vitagenes in aging and longevity. Biochim. Biophys. Acta (BBA)-Mol. Basis Dis. 2012, 1822, 753–783. [Google Scholar] [CrossRef] [PubMed] [Green Version]
- Correia Jardim Paz, M.F.; Braga, A.L.; PerreiroMelo de Meneses, A.-A.; Melo de Carvalho, R.; Sousa de Aguiar, R.P.; Cronemberger, L.A.C.; Soares da Silva, M.B.; Torres de Lima, R.M.; Oliveira Barros de Alencar, M.V.; Duarte, J.L.; et al. Ascorbic acid and retinol palmitate modulatory effect on omeprazole-induced oxidative damage, and the cytogenetic changes in S. cerevisiae and S180 cells. Chem.-Biol. Interact. 2019, 311, 108776. [Google Scholar] [CrossRef]
- Valcheva-Kuzmanova, S.V.; Beronova, A.B.; Momekov, G.T. Protective effect of Aronia melanocarpa fruit juice in a model of cisplatin-induced cytotoxicity in vitro. Folia Med. 2013, 55, 76–79. [Google Scholar] [CrossRef] [PubMed]
- Do Thi, N.; Hwang, E.-S. Effects of black chokeberry extracts on metastasis and cell-cycle arrest in SK-Hep1 human liver cancer cell line. Asian Pac. J. Trop Biomed. 2018, 8, 285. [Google Scholar] [CrossRef]
- Skupień, K.; Kostrzewa-Nowak, D.; Oszmiański, J.; Tarasiuk, J. In vitro antileukaemic activity of extracts from chokeberry (Aronia melanocarpa [Michx] Elliott) and mulberry (Morus alba L.) leaves against sensitive and multidrug resistant HL60 cells. Phytother. Res. Int. J. Devot. Pharmacol. Toxicol. Eval. Nat. Prod. Deriv. 2008, 22, 689–694. [Google Scholar] [CrossRef]
- Kang, S.-H.; Jeon, Y.D.; Moon, K.H.; Lee, J.H.; Kim, D.G.; Kim, W.; Kim, W.; Myung, H.; Kim, J.-S.; Kim, H.-J.; et al. Aronia berry extract ameliorates the severity of dextran sodium sulfate-induced ulcerative colitis in mice. J. Med. Food 2017, 20, 667–675. [Google Scholar] [CrossRef]
- Martin, D.A.; Taheri, R.; Brand, M.H.; Draghi, A., II; Sylvester, F.A.; Bolling, B.W. Anti-inflammatory activity of aronia berry extracts in murine splenocytes. J. Funct. Foods. 2014, 8, 68–75. [Google Scholar] [CrossRef]
- Rauf, A.; Imran, M.; Abu-Izneid, T.; Patel, S.; Pan, X.; Naz, S.; Silva, A.S.; Saeed, F.; Suleria, H.A.R. Proanthocyanidins: A comprehensive review. Biomed. Pharmacother. 2019, 116, 108999. [Google Scholar] [CrossRef] [PubMed]
- Sá, R.R.; da Cruz Caldas, J.; de Andrade Santana, D.; Lopes, M.V.; Dos Santos, W.N.L.; Korn, M.G.A.; Júnior, A.D.F.S. Multielementar/centesimal composition and determination of bioactive phenolics in dried fruits and capsules containing Goji berries (Lycium barbarum L.). Food Chem. 2019, 273, 15–23. [Google Scholar] [CrossRef]
- Sandate-Flores, L.; Rodríguez-Rodríguez, J.; Velázquez, G.; Mayolo-Deloisa, K.; Rito-Palomares, M.; Torres, J.A.; Parra-Saldívar, R. Low-sugar content betaxanthins extracts from yellow pitaya (Stenocereus pruinosus). Food Bioprod. Process. 2020, 121, 178–185. [Google Scholar] [CrossRef]
- Zdunić, G.; Aradski, A.A.; Gođevac, D.; Živković, J.; Laušević, S.D.; Milošević, D.K.; Šavikin, K. In vitro hypoglycemic, antioxidant and antineurodegenerative activity of chokeberry (Aronia melanocarpa) leaves. Ind. Crop. Prod. 2020, 148, 112328. [Google Scholar] [CrossRef]
- Stankovic, M.S. Total phenolic content, flavonoid concentration and antioxidant activity of Marrubium peregrinum L. extracts. Kragujev. J. Sci. 2011, 33, 63–72. [Google Scholar]
- Meng, L.; Zhu, J.; Ma, Y.; Sun, X.; Li, D.; Li, L.; Bai, H.; Xin, G.; Meng, X. Composition and antioxidant activity of anthocyanins from Aronia melanocarpa cultivated in Haicheng, Liaoning, China. Food Biosci. 2019, 30, 100413. [Google Scholar] [CrossRef]
- Lu, G.; Wang, Y.; Yao, L.; Hu, S. Determination of ascorbic acid in fruits and vegetables by stripping voltammetry on a glassy carbon electrode. Food Chem. 1994, 51, 237–239. [Google Scholar] [CrossRef]
- Vyshtakalyuk, A.B.; Semenov, V.E.; Sudakov, I.A.; Bushmeleva, K.N.; Gumarova, L.F.; Parfenov, A.A.; Nazarov, N.G.; Galyametdinova, I.V.; Zobov, V.V. Xymedon conjugate with biogenic acids. Antioxidant properties of a conjugate of Xymedon with L-ascorbic acid. Russ. Chem. Bull. 2018, 67, 705–711. [Google Scholar] [CrossRef]
- Lissi, E.; Salim-Hanna, M.; Pascual, C.; del Castillo, M.D. Evaluation of total antioxidant potential (TRAP) and total antioxidant reactivity from luminol-enhanced chemiluminescence measurements. Free Radic. Biol. Med. 1995, 18, 153–158. [Google Scholar] [CrossRef]
- Brand-Williams, W.; Cuvelier, M.-E.; Berset, C. Use of a free radical method to evaluate antioxidant activity. LWT-Food Sci. Technol. 1995, 28, 25–30. [Google Scholar] [CrossRef]
- Kovalev, I.E.; Danilova, N.P.; Andronati, S.A.; Zherebin, Y.L. Enamelanin effect on red blood cells hemolysis caused by free-radical reactions and other factors. Pharmacol. Toxicol. 1986, 7, 709–718. [Google Scholar]
- Freshney, R.I. Culture of Animal Cells: A Manual of Basic Technique and Specialized Applications; John Wiley & Sons: Hoboken, NJ, USA, 2015. [Google Scholar]
- Mironov, A. A Guide to Preclinical Drug Research; Grif and K: Moscow, Russia, 2012. [Google Scholar]
- Oliferuk, N.S. Optimization of Methods for Evaluation of Phagocytic Activity of Peripheral Blood Leukocytes Using Laser Flow Cytometry. Ph.D. Thesis, Institute of Immunology, FU “Medbioekstrem” under the Ministry of Health of the Russian Federation, Moscow, Russia, 2008; p. 25. [Google Scholar]
- Miliukene, V.; Bizulyavicienė, G.Y.; Khaustova, L.P.; Pilinkene, A.V.; Bizulyavichyus, G.A. Quantification of Escherichia coli phagocytosis by mouse peritoneal macrophages. Cytology 2007, 49, 853–857. [Google Scholar]
- Muniz-Junqueira, M.I.; Peçanha, L.M.F.; da Silva-Filho, V.L.; de Almeida Cardoso, M.C.; Tosta, C.E. Novel microtechnique for assessment of postnatal maturation of the phagocytic function of neutrophils and monocytes. Clin. Vaccine Immunol. 2003, 10, 1096–1102. [Google Scholar] [CrossRef] [PubMed] [Green Version]
- Kai, K.; Komine, K.I.; Komine, Y.; Kuroishi, T.; Kozutsumi, T.; Kobayashi, J.; Ohta, M.; Kitamura, H.; Kumagai, K. Lactoferrin stimulates a Staphylococcus aureus killing activity of bovine phagocytes in the mammary gland. Microbiol. Immunol. 2002, 46, 187–194. [Google Scholar] [CrossRef] [PubMed]






| Materials | Dry Matter | Total Sugars | Total Phenolic | Total Flavonoids | Total Anthocyanins | Ascorbic Acid | EC50, mg/mL 5 | ||||||
|---|---|---|---|---|---|---|---|---|---|---|---|---|---|
| Raw Material % | Extract % | Raw Material mg Xy/g 1 | Extract mg Xy/mL 1 | Raw Material mg GAE/g 2 | Extract mg GAE/mL 2 | Raw Material mg Rut/g 3 | Extract mg Rut/mL 3 | Raw Material mg/g 4 | Extract mg/mL 4 | Raw Material mg/g | Extract mg/mL | ||
| Aronia melanocarpa fruits, frozen | 24.7 | 13–16 | 23.2 | 3.64 | 97 | 15.63 | 45 | 7.25 | 6.79 | 1.11 | 0.737 | 0.127 | 0.2285 |
| Aronia melanocarpa fruits, dried | 93.4 | 11–13 | 12.7 | 1.56 | 121 | 15.61 | 63 | 7.75 | 4.28 | 0.535 | 0.193 | 0.023 | 0.0082 |
| Indicator | Group C | Group F | Group D | ||||||
|---|---|---|---|---|---|---|---|---|---|
| 1st Day | 8th Day | 14th Day | 1st Day | 8th Day | 14th Day | 1st Day | 8th Day | 14th Day | |
| EGF | 1.85 ± 0.10 | 3.85 ± 0.59 | 4.48 ± 0.96 | <3.2 | <3.2 | 6.76 ± 1.45 | <3.2 | 2.58 ± 0.73 | 1.85 ± 0.10 |
| TGFα | 0.05 ± 0.02 | 0.14 ± 0.02 * | 0.19 ± 0.05 * | 0.07 ± 0.02 | <3.2 | 0.22 ± 0.11 | 0.01 ± 0.01 | 0.06 ± 0.02 | 0.03 ± 0.02 |
| FGF-2 | 44.1 ± 6.01 | 55.07 ± 8.08 | 66.05 ± 5.98 * | 15.27 ± 4.17 ° | 13.10 ± 2.00 ° | 41.40 ± 7.27 #° | 42.67 ± 6.56 ” | 51.27 ± 3.05 ” | 51.11 ± 10.98 |
| VEGF | 69.98 ± 6.21 | 112.8 ± 24.21 * | 99.67 ± 15.08 | 30.33 ± 7.32 ° | 36.94 ± 5.17 ° | 137.97 ± 17.22 *# | 45.53 ± 3.55 ° | 92.11 ± 9.12 *” | 58.59 ± 7.91 *°” |
| PDGF-AA | 0.27 ± 0.12 | 0.47 ± 0.09 | 0.47 ± 0.07 | 0.11 ± 0.03 | 0.13 ± 0.03 ° | 0.47 ± 0.13 | 0.33 ± 0.12 | 0.25 ± 0.04 ” | 0.36 ± 0.07 |
| PDGF-AB/BB | 52.87 ± 13.29 | 42.97 ± 4.14 | 59.19 ± 7.69 | 39.3 ± 7.66 | 21.2 ± 3.3 ° | 32.07 ± 4.87 #° | 16.03 ± 2.48 °” | 40.02 ± 4.54 *” | 38.65 ± 5.7 * |
| Eotaxin | 9.27 ± 0.79 | 10.88 ± 2.18 | 15.49 ± 1.4 *# | 3.31 ± 1.10 ° | 2.64 ± 1.12 | 11.38 ± 1.68 *#° | 7.2 ± 1.94 | 9.51 ± 0.98 ” | 9.31 ± 0.81 ° |
| G-CSF | 19.46 ± 3.05 | 18.27 ± 2.05 | 20.61 ± 2.8 # | 12.26 ± 0.03 | 6.77 ± 2.26 | 16.43 ± 6.42 | 19.83 ± 3.44 | 10.11 ± 2.12 *° | 4.5 ± 2.24 *° |
| GM-CSF | 0.97 ± 0.00 | 0.44 ± 0.23 | 0.59 ± 0.34 | <3.2 | <3.2 | 1.42 ±1.06 | <3.2 | 0.13 ± 0.03 | <3.2 |
| IL-7 | 3.79 ± 1.3 | 3.44 ± 0.69 | 6.22 ± 1.16 # | 4.98 ± 1.78 | <3.2 | 5.91 ± 1.92 | 9.82 ± 4.5 | 2.44 ± 0.63 | 3.1 ± 1.04 |
| IL-5 | <3.2 | 0.11 ± 0.03 | 0.13 ± 0.04 | 0.04 ± 0 | <3.2 | 0.35 ± 0.21 | <3.2 | 0.07 ± 0.02 | 0.06 ± 0.02 |
| fLT-3L | 7.16 ± 0.86 | 9.90 ± 1.59 | 12.22 ± 1.70 * | 5.26 ± 0.10 | 2.95 ± 0 ° | 9.08 ± 2.09 * | 6.41 ± 1.15 | 7.65 ± 1.11 ” | 6.35 ± 0.77 ° |
| Fractalkine | 80.93 ± 7.44 | 105.75 ± 15.3 | 131.39 ± 18.96 * | 44.51 ± 6.42 ° | 35.75 ± 2.36 ° | 102.14 ± 19.74 *# | 66.34 ± 8.59 | 77.44 ± 12.01 | 72.34 ± 8.65 |
| IFNα2 | 37.78 ± 7.01 | 64.18 ± 10.48 * | 47.48 ± 2.56 | 36.34 ± 3.12 | 16.39 ± 2.17 *° | 33.71 ± 7.45 #° | 17.63 ± 2.61 °” | 47.32 ± 5.31 *” | 28.34 ± 2.27 *#° |
| IFNγ | 0.72 ± 0.23 | 1.47 ± 0.29 | 2.18 ± 0.41 * | 1.08 ± 0.14 ° | 2.1 ± 0.1 | 1.96 ± 1.07 | 0.36 ± 0.02 | 1.00 ± 0.20 | 0.68 ± 0.32 ° |
| IP-10 | 7.37 ± 1.05 | 15.46 ± 1.87 * | 15.86 ± 2.17 * | 6.32 ± 0 | <3.2 | 16.82 ± 3.93 | 10.51 ± 0 | 11.31 ± 1.38 | 10.16 ± 2.12 |
| TNFβ | <3.2 | 0.27 ± 0.09 | 0.3 ± 0.13 | <3.2 | <3.2 | 0.76 ± 0.45 | <3.2 | 0.11 ± 0.02 | <3.2 |
| GRO | 27.72 ± 2.34 | 33.99 ± 3.55 | 37.92 ± 2.36 | 15.11 ± 0.00 | <3.2 | 41.14 ± 4.88 | 48.06 ± 6.18 | 27.71 ± 3.02 * | 23.06 ± 3.09 *°” |
| IL-10 | <3.2 | 0.53 ± 0.19 | 0.87 ± 0.58 | <3.2 | <3.2 | 2.06 ± 1.34 | 4.67 ± 1.27 | <3.2 | <3.2 |
| MCP-3 | 13.74 ± 2.01 | 16.74 ± 2.7 | 21.34 ± 2.42 | 5.00 ± 2.17 | 2.83 ± 0.00 | 15.11 ± 3.32 | 10.59 ± 3.97 | 13.85 ± 2.39 | 12.63 ± 1.17 ° |
| MDC | 49.53 ± 3.76 | 59.4 ± 6.63 | 72.36 ± 7.08 *# | 22.4 ± 8.46 ° | 12.83 ± 4.6 ° | 44.72 ± 8.05 # | 34.75 ± 10.37 | 45.28 ± 7.28 ” | 42.96 ± 4.86 |
| IL-12p40 | 1.60 ± 0.10 | 4.42 ± 0.89 | 5.47 ± 1.44 | <3.2 | <3.2 | 8.63 ± 3.82 | <3.2 | 2.40 ± 0.80 | <3.2 |
| IL-12P70 | <3.2 | 1.62 ± 0.26 | 1.57 ± 0.79 # | <3.2 | <3.2 | 2.98 ± 1.62 | 7.4 ± 0.92 | <3.2 | <3.2 |
| sCD40 | 21.29 ± 2.58 | 40.71 ± 6.37 * | 42.46 ± 7.54 * | 30.62 ± 0.02 | <3.2 | 38.17 ± 10.09 | <3.2 | 30.38 ± 2.65 | 20.54 ± 2.96 |
| IL-1RA | 6.25 ± 2.11 | 5.74 ± 0.64 | 3.88 ± 1.16 | <3.2 | <3.2 | 36.57 ± 17 | 15.87 ± 9.11 | 11.6 ± 9.69 ° | 30.5 ± 11.01 |
| IL-9 | 3.03 ± 1.06 | 3.74 ± 1.11 | 1.29 ± 0.35 | 0.75 ± 0.19 | 0.53 ± 0.09 ° | 1.98 ± 0.44 | 3.44 ± 0.79 | 2.48 ± 0.62 | 1.80 ± 0.29 |
| IL-4 | 6.68 ± 2.81 | 24.1 ± 3.98 | 27.76 ± 4.57 | 4.1 ± 3.62 | <3.2 | 25.83 ± 10.2 | 5.31 ± 2.42 | 10.68 ± 3.38 ° | 7.14 ± 2.76 °” |
| IL-13 | 7.0 ± 0.01 | 1.28 ± 0.23 | 2.23 ± 0.43 | 1.82 ± 0.39 | <3.2 | 5.04 ± 0.01 | <3.2 | 2.13 ± 0.47 | 1.67 ± 0.01 |
| IL-8 | 1.94 ± 0.72 | 0.73 ± 0.14 | 1.4 ± 0.56 | 0.74 ± 0.18 | 0.93 ± 0.41 | 7.48 ± 1.28 *#° | 6.18 ± 2.71 | 1.07 ± 0.37 | 1.05 ± 0.34 ” |
| MCP-1 | 1.37 ± 0.28 | 2.99 ± 0.49 | 4.35 ± 0.43 * | 2.66 ± 0.18 ° | <3.2 | 3.75 ± 1.13 | 1.53 ± 0.32 | 2.05 ± 0.32 | 1.41 ± 0.34 ° |
| MIP1α | 1.86 ± 0.57 | 5.39 ± 0.52 * | 5.67 ± 0.75 * | 1.28 ± 0.02 | <3.2 | 5.03 ± 1.72 | <3.2 | 3.12 ± 0.86 | 2.05 ± 0.77 ° |
| MIP1β | 1.66 ± 0.88 | 3.1 ± 0.98 | 3.73 ± 0.96 | 1.37 ± 0.59 | <3.2 | 3.95 ± 1.54 | <3.2 | 2.06 ± 0.56 | 0.78 ± 0.02 |
| RANTES | 4.17 ± 0.65 | 8.15 ± 1.0 * | 8.45 ± 1.63 | 3.82 ± 0.67 | <3.2 | 5.63 ± 2.06 | 3.3 ± 0.39 | 6.13 ± 0.48 * | 4.12 ± 0.75 * |
Publisher’s Note: MDPI stays neutral with regard to jurisdictional claims in published maps and institutional affiliations. |
© 2021 by the authors. Licensee MDPI, Basel, Switzerland. This article is an open access article distributed under the terms and conditions of the Creative Commons Attribution (CC BY) license (https://creativecommons.org/licenses/by/4.0/).
Share and Cite
Bushmeleva, K.; Vyshtakalyuk, A.; Terenzhev, D.; Belov, T.; Parfenov, A.; Sharonova, N.; Nikitin, E.; Zobov, V. Radical Scavenging Actions and Immunomodulatory Activity of Aronia melanocarpa Propylene Glycol Extracts. Plants 2021, 10, 2458. https://doi.org/10.3390/plants10112458
Bushmeleva K, Vyshtakalyuk A, Terenzhev D, Belov T, Parfenov A, Sharonova N, Nikitin E, Zobov V. Radical Scavenging Actions and Immunomodulatory Activity of Aronia melanocarpa Propylene Glycol Extracts. Plants. 2021; 10(11):2458. https://doi.org/10.3390/plants10112458
Chicago/Turabian StyleBushmeleva, Kseniya, Alexandra Vyshtakalyuk, Dmitriy Terenzhev, Timur Belov, Andrey Parfenov, Natalia Sharonova, Evgeniy Nikitin, and Vladimir Zobov. 2021. "Radical Scavenging Actions and Immunomodulatory Activity of Aronia melanocarpa Propylene Glycol Extracts" Plants 10, no. 11: 2458. https://doi.org/10.3390/plants10112458
APA StyleBushmeleva, K., Vyshtakalyuk, A., Terenzhev, D., Belov, T., Parfenov, A., Sharonova, N., Nikitin, E., & Zobov, V. (2021). Radical Scavenging Actions and Immunomodulatory Activity of Aronia melanocarpa Propylene Glycol Extracts. Plants, 10(11), 2458. https://doi.org/10.3390/plants10112458

